Submitted:
21 February 2024
Posted:
21 February 2024
You are already at the latest version
Abstract
Keywords:
Introduction
CCF, Continuous Cover Forestry:
CCF and a sustainable planet Earth:
Understanding and predicting CCF growth:
Optimization approaches:
Optimization of CCS:
Structure of the analysis:
- to estimate parameters of a tree size and competition dependent growth function for individual trees?
- to estimate the applied harvest strategy?
- to explain and reproduce the empirically estimated tree size equilibrium distribution?
- The analysis is divided into the following sections:
- The empirical facts.
- The basal area differential equation and the dynamic properties of the solution.
- The dynamics of trees in size classes.
- Construction of a nonlinear dynamic optimization model.
- Estimation of the model parameters.
Materials and Methods
a. The empirical facts:
b. The basal area differential equation and the dynamic properties of the solution:
c. The dynamics of trees in size classes:
Forests without harvests and lethal competition:
Forests with harvests and competition:
Observation:
d. Construction of a nonlinear dynamic optimization model:
Grow(i-1)*N(i-1) – (Grow(i)+Hpar*Harv(i))*N(i) = 0 )
@FOR( size(i)| i#GT#4 #AND# i#LE#8: Harv(i) = (i-4)/4 );
Harv(9) = 1;
@FOR( size(i)| i#LT#9: Grow(i) = 1.0 + Dpar*Dia(i)+ Gpar*(BA_Larger(i))^BAL_exp)
e. Estimation of the model parameters:
Results
Discussion
Conclusions
- Estimate parameters of tree size and competition dependent growth functions for individual trees.
- Estimate the applied harvest strategy.
- Explain and reproduce the empirically estimated tree size equilibrium distribution.
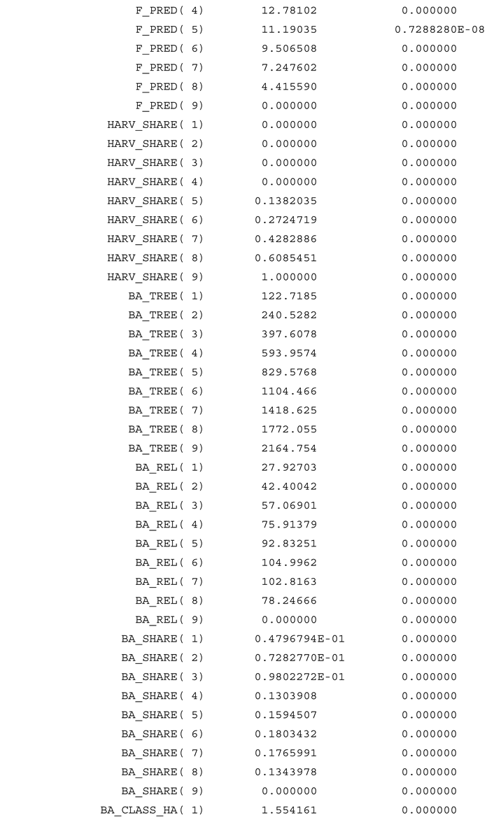
Appendix A







References
- Fagerberg, N., Lohmander, P., Eriksson, O., Olsson, J-O., Poudel, B.C., & Bergh, J. (2022a). Evaluation of individual-tree growth models for Picea abies based on a case study of an uneven-sized stand in southern Sweden, Scandinavian Journal of Forest Research, 37 (1), 45-58. https://www.tandfonline.com/doi/pdf/10.1080/02827581.2022.2037700. [CrossRef]
- Fagerberg, N., Olsson, J-O., Lohmander, P., Andersson, M., Bergh, J. (2022b). Individual-tree distance-dependent growth models for uneven-sized Norway spruce, Forestry: An International Journal of Forest Research, 2022;, cpac017. [CrossRef]
- Fagerberg, N., Seifert, S., Seifert, T., Lohmander, P., Alissandrakis, A., Magnusson, B., Bergh, J., Adamopoulos, S., Bader, M.K.-F. (2023). Prediction of knot size in uneven-sized Norway spruce stands in Sweden, Forest Ecology and Management, Volume 544, 121206, ISSN 0378-1127, https://www.sciencedirect.com/science/article/pii/S0378112723004401. [CrossRef]
- Haight, Robert. (1987). Evaluating the Efficiency of Even-Aged and Uneven-Aged Stand Management. Forest Science. 33. 116-134. https://www.researchgate.net/publication/233630266_Evaluating_the_Efficiency_of_Even-Aged_and_Uneven-Aged_Stand_Management.
- Hatami, N., Lohmander, P., Moayeri, M.H., Mohammadi Limaei, S. (2018). A basal area increment model for individual trees in mixed continuous cover forests in Iranian Caspian forests, Journal of Forestry Research, pp 1-8. Springer Link. https://link.springer.com/article/10.1007%2Fs11676-018-0862-8. [CrossRef]
- Hessenmöller, D., Bouriaud, O., Fritzlar, D., Elsenhans, A.S. & Schulze, E.D. (2018) A silvicultural strategy for managing uneven-aged beech-dominated forests in Thuringia, Germany: a new approach to an old problem, Scandinavian Journal of Forest Research, 33:7, 668-680, https://www.tandfonline.com/doi/full/10.1080/02827581.2018.1453081. [CrossRef]
- Hou R, Chai Z. (2022). Predicting crown width using nonlinear mixed-effects models accounting for competition in multi-species secondary forests. PeerJ, 10:e13105. [CrossRef]
- Lohmander, P. (1987). The economics of forest management under risk, Swedish University of Agricultural Sciences, Dept. of Forest Economics, Report 79, 1987 (Doctoral dissertation), 311p.
- Lohmander, P. (1988a). Continuous extraction under risk, SYSTEMS ANALYSIS - MODELLING - SIMULATION, Vol. 5, No. 2, 131-151, http://www.Lohmander.com/PL_SAMS_5_2_1988.pdf.
- Lohmander, P. (1988b). Pulse extraction under risk and a numerical forestry application, SYSTEMS ANALYSIS -MODELLING - SIMULATION, Vol. 5, No. 4, 339-354, http://www.Lohmander.com/PL_SAMS_5_4_1988.pdf.
- Lohmander, P. (1992). Continuous harvesting with a nonlinear stock dependent growth function and stochastic prices: Optimization of the adaptive stock control function via a stochastic quasi-gradient method, in: Hagner, M. (editor), Silvicultural Alternatives, Proceedings from an internordic workshop, June 22-25, 1992, Swedish University of Agricultural Sciences, Dept. of Silviculture, No. 35, 198-214, 1992. http://www.Lohmander.com/Lohmander_SilvAlt_1992.pdf.
- Lohmander, P. (2017a). A General Dynamic Function for the Basal Area of Individual Trees Derived from a Production Theoretically Motivated Autonomous Differential Equation, Iranian Journal of Management Studies (IJMS), Vol. 10, No. 4, Autumn 2017, pp. 917-928, https://ijms.ut.ac.ir/article_64225_61b32fe374f9df8bca512abbe3b5c379.pdf, https://ijms.ut.ac.ir/article_64225.html.
- Lohmander, P. (2017b). Two Approaches to Optimal Adaptive Control under Large Dimensionality, INTERNATIONAL ROBOTICS AND AUTOMATION JOURNAL, Volume 3, Issue 4, http://medcraveonline.com/IRATJ/IRATJ-03-00062.php. [CrossRef]
- Lohmander, P. (2018a). Applications and Mathematical Modeling in Operations Research, In: Cao BY. (ed) Fuzzy Information and Engineering and Decision. IWDS 2016. Advances in Intelligent Systems and Computing, vol 646. Springer, Cham, Print ISBN 978-3-319-66513-9, Online ISBN 978-3-319-66514-6, eBook Package: Engineering, https://doi.org/10.1007/978-3-319-66514-6_5. [CrossRef]
- Lohmander, P. (2018b). Optimal Stochastic Dynamic Control of Spatially Distributed Interdependent Production Units. In: Cao BY. (ed) Fuzzy Information and Engineering and Decision. IWDS 2016. Advances in Intelligent Systems and Computing, vol 646. Springer, Cham, Print ISBN 978-3-319-66513-9, Online ISBN 978-3-319-66514-6, eBook Package: Engineering. [CrossRef]
- Lohmander, P. (2019a). Control function optimization for stochastic continuous cover forest management, International Robotics and Automation Journal, 5(2), pages 85-89. https://medcraveonline.com/IRATJ/IRATJ-05-00178.pdf.
- Lohmander, P. (2019b). Market Adaptive Control Function Optimization in Continuous Cover Forest Management, Iranian Journal of Management Studies, Article 1, Volume 12, Issue 3, Summer, Page 335-361. https://ijms.ut.ac.ir/article_71443.html. [CrossRef]
- Lohmander, P. (2020a). Fundamental principles of optimal utilization of forests with consideration of global warming, Central Asian Journal of Environmental Science and Technology Innovation, Volume 1, Issue 3, May and June, 134-142. http://www.cas-press.com/article_111213.html , http://www.cas-press.com/article_111213_5ab21574a30f6f2c7bdc0a0733234181.pdf. [CrossRef]
- Lohmander, P. (2020b). Optimization of continuous cover forestry expansion under the influence of global warming, International Robotics & Automation Journal, Volume 6, Issue 3, 127-132. https://medcraveonline.com/IRATJ/IRATJ-06-00211.pdf , https://medcraveonline.com/IRATJ/IRATJ-06-00211A.pdf.
- Lohmander, P. (2021a). Optimization of forestry, infrastructure and fire management, Caspian Journal of Environmental Sciences, Vol. 19 No. 2 pp. 287-316. https://cjes.guilan.ac.ir/article_4746_197fe867639c4cc5e317b63f9f9d370b.pdf.
- Lohmander, P. (2021b). Statistics and Mathematics of General Control Function Optimization for Continuous Cover Forestry, with a Swedish Case Study based on Picea abies, including Nils Fagerberg, Forest data and functions, Statistics for Twenty-first Century 2021, (ICSTC 2021), 16-19 December 2021, Organized by Department of Statistics, University of Kerala, Trivandrum, India, Complete pdf version that cannot show movie clips: http://www.Lohmander.com/PL_NF_ICSTC_2021.pdf , Complete pptx version with movie clips (243 Mb): http://www.Lohmander.com/PL_NF_ICSTC_2021.pptx , Complete presentation as movie: https://www.youtube.com/watch?v=RL2qaZ9O5rU.
- Lohmander, P. (2022a). Rational Control of Global Warming Dynamics via the CO2 Level, Emission Reductions and Forestry Expansion. Biomed J Sci & Tech Res 47(3), BJSTR. MS.ID.007501. https://biomedres.us/pdfs/BJSTR.MS.ID.007501.pdf.
- Lohmander, P. (2022b). Rational Control of Global Warming Dynamics via the CO2 Level, Emission Reductions and Forestry Expansion, Invited Talk, Eighth International Conference on Statistics for Twenty-first Century-2022 (ICSTC 2022), 16-19 December, International Statistics Fraternity (ISF), Department of Statistics, University of Kerala, School of Physical & Mathematical Sciences, University of Kerala, India. http://www.lohmander.com/Lohmander_Peter_ICSTC_2022.pdf.
- Lohmander, P., Fagerberg, N. (2022). Statistics and Mathematics of General Control Function Optimization for Continuous Cover Forestry, with a Swedish Case Study based on Picea abies, Asian Journal of Statistical Sciences, Vol. 2, No-1, pp. 01-35. https://www.arfjournals.com/ajss/issue/169.
- Lohmander, P., Helles, F. (1987). Windthrow probability as a function of stand characteristics and shelter, SCANDINAVIAN JOURNAL OF FOREST RESEARCH, Vol. 2, No. 2, 227-238http://www.Lohmander.com/PL_SJFR_2_2_1987.pdf.
- Lohmander, P., Mohammadi Limaei, S. (2017). Stochastic Dynamic Programming with Markov Chains for Optimal Sustainable Control of the Forest Sector with Continuous Cover Forestry, Iranian Journal of Operations Research, Vol. 8, No. 1, pp.91-96, http://iors.ir/journal/article-1-534-en.pdf.
- Mohammadi Limaei, S., Lohmander, P., Olsson, L. (2017). Dynamic growth models for continuous cover multi-species forestry in Iranian Caspian forests, JOURNAL OF FOREST SCIENCE, 63 (11): 519-529, http://www.agriculturejournals.cz/publicFiles/232535.pdf. [CrossRef]
- Mohammadi, Z. (1), Lohmander, P. (1), Kašpar, J., Tahri, M., Marušák, R. (2023). Climate-related subsidies for CO2 absorption and fuel substitution: Effects on optimal forest management decisions, Journal of Environmental Management, Volume 344, 1-8, 118751, ISSN 0301-4797. [CrossRef]
- Mohammadi, Z., Mohammadi Limaei, S., Lohmander, P., Olsson, L. (2017). Estimation of a basal area growth model for individual trees in uneven-aged Caspian mixed species forests, JOURNAL OF FORESTRY RESEARCH, November 30, 2017, https://doi.org/, https://link.springer.com/article/10.1007%2Fs11676-017-0556-7. [CrossRef]
- Pukkala, T., Lähde, E., & Laiho, O. (2010). Optimizing the structure and management of uneven-sized stands of Finland. Forestry, 83, 129-142. [CrossRef]
- Schütz, J-P. (2006). Modelling the demographic sustainability of pure beech planter forests in Eastern Germany, Annals of Forest Science, 63, 93-100. https://www.afs-journal.org/articles/forest/pdf/2006/01/F6010.pdf. [CrossRef]
- Tahvonen, O., Pukkala, T., Laiho, O., Lähde, E., Niinimäki, S. (2010). Optimal management of uneven-aged Norway spruce stands, Forest Ecology and Management, Volume 260, Issue 1, Pages 106-115, ISSN 0378-1127. [CrossRef]
- Tahvonen, O., Rämö, J. (2016). Optimality of continuous cover vs. clear-cut regimes in managing forest resources, Canadian Journal of Forest Research, Vol. 46, Number 7, July. https://cdnsciencepub.com/doi/10.1139/cjfr-2015-0474.
- Wang, W., Ge, F., Hou, Z. et al. (2021). Predicting crown width and length using nonlinear mixed-effects models: a test of competition measures using Chinese fir (Cunninghamia lanceolata (Lamb.) Hook.). Annals of Forest Science 78, 77. [CrossRef]






| Variable | Notation | Estimate |
|---|---|---|
| Total sum of squares | SSTOT | 241.216 |
| Residual sum of squares | SSRES | 5.599311 |
| Multiple regression coefficient | R2 | 0.9767872 |
| Variance of the residuals | VAR_RES | 0.7999016 |
| Standard deviation of the residuals | STDEV_RES | 0.8943722 |
| Analytical notation | Numerical notation | Estimate | Parameter reference: |
|---|---|---|---|
| HPAR | 0.2468048 | Equation (38) & Appendix A | |
| DPAR | -0.0177103 | Equation (42) & Appendix A | |
| GPAR | -6.17579E-07 | Equation (42) & Appendix A | |
| BAL_EXP | 4 | Equation (42) & Appendix A | |
| LPAR | 0.2275699 | Appendix A |
Disclaimer/Publisher’s Note: The statements, opinions and data contained in all publications are solely those of the individual author(s) and contributor(s) and not of MDPI and/or the editor(s). MDPI and/or the editor(s) disclaim responsibility for any injury to people or property resulting from any ideas, methods, instructions or products referred to in the content. |
© 2024 by the authors. Licensee MDPI, Basel, Switzerland. This article is an open access article distributed under the terms and conditions of the Creative Commons Attribution (CC BY) license (http://creativecommons.org/licenses/by/4.0/).