Submitted:
20 February 2024
Posted:
20 February 2024
You are already at the latest version
Abstract
Keywords:
1. Introduction
2. Materials and Methods
- Strengths and Difficulties Questionnaire (SDQ) by Goodman R (1997), which provides insight into emotional and behavioral problems. (Emotional Problems Scale, Conduct Problems Scale, Hyperactivity Scale, Peer Problems Scale, Prosocial Scale, Total Difficulties score, Externalizing and Internalizing scores )[14].
- The Adolescent Anxiety and Avoidant Attachment Inventory (AAAAI) by Moretti (2015), examines the nuances of adolescent attachment (Attachment Anxiety, Attachment Avoidance) [15].
- The Affect Regulation Checklist (ARC) by Moretti (2003), focuses on affect dysregulation and its roles in behavior (Affect Dysregulation, Affect Suppression, Adaptive reflection)[16].
2.1. Psychological Measures and BMI in Early Childhood (8-11 years old)
2.1.1. Psychological Metrics
- Affect Dysregulation Score
- 2.
- Affect Suppression Score
- 3.
- Adaptive Reflection Score
2.1.2. Biometric and Demographic Data
- 4.
- BMI (Body Mass Index): A numerical value calculated from a child's weight and height, provides a reliable indicator of body fatness for most children and adolescents. BMI is used to screen for weight categories that may lead to health problems but is not diagnostic of the body fatness or health of an individual [21].
- 5.
- BMI Percentile: Represents the child's BMI relative to peers of the same age and sex, providing a percentile ranking that indicates the distribution of BMI in a reference population. This helps in understanding whether a child is within the expected range of body weight for their age group [22]. This document details the methodology behind the growth charts used to determine BMI percentiles for children and adolescents.
- 6.
- Gender: Indicates the biological sex of the child (male or female). This demographic variable is crucial for interpreting BMI percentiles, which vary by gender, and can also be relevant in the analysis of psychological measures due to differences in emotional expression and regulation across genders [23].
2.1.3. Methodological Approach
2.2. Navigating the Transitional Years: Psychological and Biometric Profiles in Pre-Teens (11-12 Years Old)
2.2.1. Psychological Metrics
- 7.
- Attachment Avoidance: Assesses the extent to which a child distances themselves from emotional closeness and interdependence in relationships. Avoidant attachment can manifest as a preference for solitude, difficulty in trusting others, and a reluctance to express needs or seek comfort [25].
- 8.
- Emotional Problems Scale: Identifies the prevalence and intensity of internalizing emotional issues, including symptoms of anxiety, depression, and mood dysregulation. Recognizing these problems early can lead to timely interventions that may prevent the development of more serious mental health conditions [26].
- 9.
- Conduct Problems Scale: Evaluates the presence of externalizing behavioral problems, such as aggression, defiance, and antisocial behavior. This scale helps identify children who may benefit from behavioral interventions to improve social functioning and prevent escalation into more severe conduct disorders [27].
- 10.
- Hyperactivity Scale: Measures signs of excessive activity, impulsivity, and difficulty maintaining attention. Hyperactivity and attentional challenges are characteristic of ADHD but can also occur in other contexts. Addressing these symptoms can improve academic performance and social interactions [28].
- 11.
- Peer Problems: Scores the extent of difficulties a child encounters in forming and maintaining peer relationships. Challenges in this area can impact self-esteem, social skills development, and overall well-being, highlighting the importance of supportive interventions [29].
- 12.
- Prosocial Scale: Assesses the frequency and quality of positive, altruistic behaviors directed toward others, such as sharing, helping, and showing concern. Prosocial behavior is linked to social acceptance, relationship building, and emotional well-being [30].
- 13.
- Total Difficulty Score: Provides an overall assessment of a child's emotional and behavioral challenges, integrating data across various domains. This comprehensive score can guide clinicians, educators, and parents in understanding the child's needs and planning appropriate support or interventions [14].
- 14.
- Externalizing Score: Highlights behaviors that are outwardly directed and potentially disruptive, including aggressive actions and defiance. Identifying these behaviors early allows for targeted interventions that can help manage these tendencies and support positive social interactions [31].
- 15.
- Internalizing Score: Focuses on inwardly directed behaviors and emotions, such as withdrawal, anxiety, and depressive symptoms, offering insights into the child's internal emotional state and potential need for psychological support [32].
2.2.2. Biometric and Demographic Data
2.2.3. Methodological Approach
2.3. Beyond the Threshold: Delving into the Psychological and Biometric Terrain of Early Adolescents (12-16 Years Old)
2.3.1. Psychological Metrics
2.3.2. Biometric and Demographic Data
2.3.3. Methodological Approach
3. Results
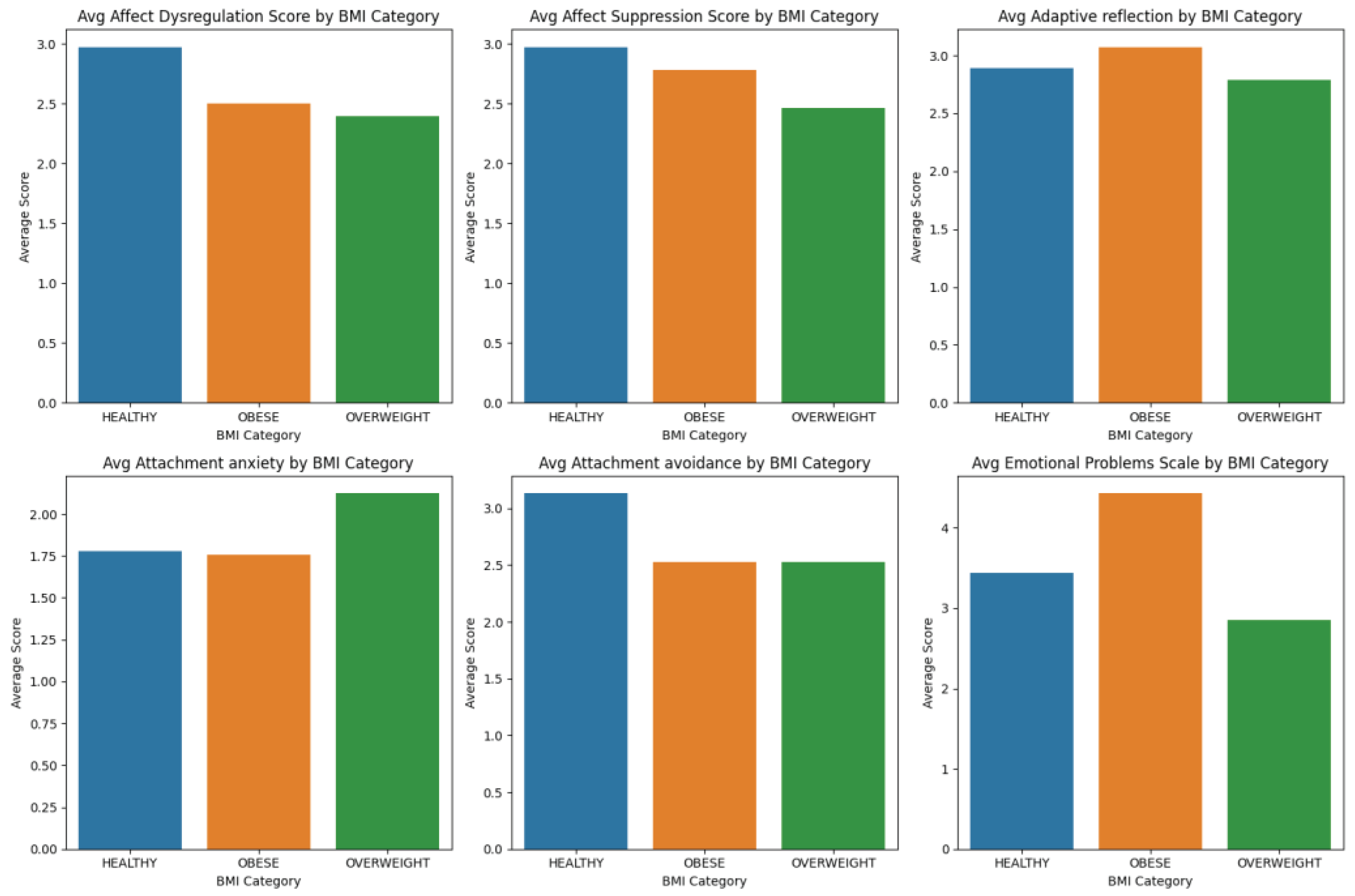
3.1. Analysis in Early Childhood (Ages 8-11)
3.2. Insights into Pre-Adolescence (Ages 11-12)
3.3. Adolescent Analysis (Above 12 Years)
4. Discussion
4.1. Early Childhood (Ages 8-11): Leveraging Bioinformatics for Personalized Obesity Prevention
4.2. Pre-Adolescence (Ages 11-12): Integrating Bioinformatics in Understanding Social Dynamics and Cognitive Behaviors
4.3. Adolescence (12-16 years old): Bioinformatics and the Complex Landscape of Obesity and Psychological Health
4.4. Implications for Interventions and Policy
5. Conclusions: Advancing Childhood Obesity Management through Bioinformatics
Author Contributions
Funding
Institutional Review Board Statement
Informed Consent Statement
Data Availability Statement
Conflicts of Interest
References
- Skinner, A.C.; Ravanbakht, S. N.; Skelton, J. A.; Perrin, E. M.; Armstrong, S. C. Prevalence of Obesity and Severe Obesity in US Children, 1999-2016, Pediatrics 2018, vol. 141, no. 3. [CrossRef]
- Lobstein, T.; Jackson-Leach, R.; Moodie, M. L.; Hall, K. D.; Gortmaker, S. L.; Swinburn, B. A.; Wang, Y.; McPherson, K. Child and adolescent obesity: part of a bigger picture. The Lancet 2015, vol. 385, no. 9986, pp. 2510–2520. [CrossRef]
- Sanders, R. H.; Han, A.; Baker, J.S.; Cobley, S. Childhood obesity and its physical and psychological co-morbidities: a systematic review of Australian children and adolescents. European Journal of Pediatrics 2015, vol. 174, no. 6, pp. 715-746. [CrossRef]
- Quek, Y.H.; Tam, W. W. S.; Zhang, M. W. B.; Ho, R. C. M. Exploring the association between childhood and adolescent obesity and depression: a meta-analysis. Obesity Reviews 2017, vol. 18, no. 7, pp. 742–754. [CrossRef]
- Llewellyn, C. H.; Trzaskowski, M.; Plomin, R.; Wardle, J. Finding the missing heritability in pediatric obesity: the contribution of genome-wide complex trait analysis. International Journal of Obesity 2013, vol. 40, no. 10, pp. 1423–1428. [CrossRef]
- Russell-Mayhew, S.; McVey, G.; Bardick, A.; Ireland, A. Mental health, wellness, and childhood overweight/obesity. Journal of Obesity 2012, vol. 11. [CrossRef]
- Cunningham, S. A.; Kramer, M. R.; Narayan, K. MV. Incidence of Childhood Obesity in the United States. New England Journal of Medicine 2014, vol. 370, no. 5, pp. 403–411. [CrossRef]
- Pervanidou, P.; Chrousos, G. P. Stress and obesity/metabolic syndrome in childhood and adolescence. International Journal of Pediatric Obesity 2011, vol. 6, no. sup1, pp. 21–28, doi: 103109/17477166.2011.615996.
- Spear, B. A. Adolescent growth and development. Journal of the American Dietetic Association 2006, vol. 106, no. 3, pp. S23–S29. [CrossRef]
- Li, X.; Dunn, J.; Salins, D. et al. Digital Health: Tracking Physiomes and Activity Using Wearable Biosensors Reveals Useful Health-Related Information. PLoS Biol 2017, vol. 15, no. 1. [CrossRef]
- Wang, Y.; Lobstein, T. Worldwide trends in childhood overweight and obesity. International Journal of Pediatric Obesity 2006, vol. 1, no. 1, pp. 11–25. [CrossRef]
- Simmonds, M.; Burch, J.; Llewellyn, A. et al. The use of measures of obesity in childhood for predicting obesity and the development of obesity-related diseases in adulthood: a systematic review and meta-analysis. Health Technology Assessment 2015, vol. 19, no. 43, pp. 1–336. [CrossRef]
- Hales, C.M.; Carroll, M. D.; Fryar, C.D.; Ogden, C. L. Prevalence of Obesity and Severe Obesity Among Adults: United States, 2017-2018. NCHS Data Brief. 2020;(360):1-8.
- Goodman, R. The Strengths and Difficulties Questionnaire: A Research Note. Journal of Child Psychology and Psychiatry 1997, 38, pp. 581-586. [CrossRef]
- Moretti, M. M.; Obsuth, I.; Craig, S. G.; Bartolo, T. An attachment-based intervention for parents of adolescents at risk: Mechanisms of change. Attachment & Human Development, 2015. 17(2), 119–135. [CrossRef]
- Moretti, M. M. Affect Regulation Checklist. Unpublished research measure and data. 2003. Simon Fraser University.
- Gratz, K. L.; Roemer, L. Multidimensional assessment of emotion regulation and dysregulation: Development, factor structure, and initial validation of the difficulties in emotion regulation scale., Journal of Psychopathology and Behavioral Assessment 2004, 26(1), 41-54. [CrossRef]
- Gross, J. J.; John, O. P. Individual differences in two emotion regulation processes: Implications for affect, relationships, and well-being, Journal of Personality and Social Psychology 2003, 85(2), 348-362. [CrossRef]
- Shapiro, S. L.; Carlson, L. E.; Astin, J. A.; Freedman, B. Mechanisms of mindfulness, Journal of Clinical Psychology 2006, 62(3), 373-386. [CrossRef]
- Centers for Disease Control and Prevention (CDC). https://www.cdc.gov/healthyweight/assessing/bmi/childrens_bmi/about_childrens_bmi.html (accessed 3/2/2024).
- World Health Organization (WHO). https://www.who.int/data/gho/data/themes/topics/topic-details/GHO/body-mass-index (accessed 3/2/2024).
- Kuczmarski, R. J.; Ogden, C. L.; Guo, S. S.; Grummer-Strawn, L. M.; Flegal, K. M.; Mei, Z.; Wei, R.; Curtin, L. R.; Roche, A. F.; Johnson, C. L. 2000 CDC Growth Charts for the United States: Methods and Development. Vital Health Stat 2002, 11(246).
- Chaplin, T. M.; Aldao, A. Gender differences in emotion expression in children: A meta-analytic review. Psychological Bulletin 2013, 139(4), 735-765. [CrossRef]
- Brennan, K. A.; Clark, C. L.; Shaver, P. R. Self-report measurement of adult attachment: An integrative overview. In J. A. Simpson & W. S. Rholes (Eds.), Attachment Theory and Close Relationships. New York: Guilford Press, 1998, pp. 46–76.
- Mikulincer, M.; Shaver, P. R. Attachment in Adulthood: Structure, Dynamics, and Change. New York, NY: Guilford Press, 2007.
- Achenbach, T. M., & Rescorla, L. A. (2001). Manual for the ASEBA School-Age Forms and Profiles. Burlington, VT: University of Vermont Research Center for Children, Youth, & Families.
- Frick, P. J. Conduct Disorders and Severe Antisocial Behavior. New York, NY: Plenum Press, 1998.
- Barkley , R. A. ADHD and the Nature of Self-Control. New York, NY: Guilford Press, 1997.
- Parker, J. G.; Asher, S. R. Friendship and friendship quality in middle childhood: Links with peer group acceptance and feelings of loneliness and social dissatisfaction. Developmental Psychology 1993, 29(4), 611–621. [CrossRef]
- Eisenberg, N.; Fabes, R. A.; Spinrad, T. L. Prosocial Development, Handbook of Child Psychology: Vol. 3, Social, Emotional, and Personality Development, 6th ed, New York, NY: Wiley, 2006, pp. 646–718.
- Achenbach, T. M. (1991). Manual for the Child Behavior Checklist/4-18 and 1991 Profile. Burlington, VT: University of Vermont, Department of Psychiatry.
- Zahn-Waxler, C.; Klimes-Dougan, B.; Slattery, M. J. Internalizing problems of childhood and adolescence: Prospects, pitfalls, and progress in understanding the development of anxiety and depression. Development and Psychopathology 2000, 12(3), 443–466. [CrossRef]
- Frankel, L. A.; Hughes, S. O.; O'Connor, T. M.; Power, T. G.; Fisher, J. O.; Hazen, N. L. Parental Influences on Children's Self-Regulation of Energy Intake: Insights from Developmental Literature on Emotion Regulation. Journal of Obesity 2012, vol. 2012. [CrossRef]
- Rhee, K. E.; Lumeng, J. C.; Appugliese, D. P.; Kaciroti, N.; Bradley, R. H. Parenting styles and overweight status in first grade. Pediatrics 2006, vol. 117, no. 6, pp. 2047–2054. [CrossRef]







Disclaimer/Publisher’s Note: The statements, opinions and data contained in all publications are solely those of the individual author(s) and contributor(s) and not of MDPI and/or the editor(s). MDPI and/or the editor(s) disclaim responsibility for any injury to people or property resulting from any ideas, methods, instructions or products referred to in the content. |
© 2024 by the authors. Licensee MDPI, Basel, Switzerland. This article is an open access article distributed under the terms and conditions of the Creative Commons Attribution (CC BY) license (http://creativecommons.org/licenses/by/4.0/).