Submitted:
19 February 2024
Posted:
20 February 2024
You are already at the latest version
Abstract
Keywords:
1. Introduction
2. Component-Level Experimental Tests
2.1. Test Setup


2.2. Results and Discussions

| DOF | Ke (kN/mm) | Fy (kN) | b (%) | Kb (kN/mm) |
|---|---|---|---|---|
| X | 25.8 | 13.3 | 17.5 | 4.52 |
| Y | 12.7 | 14.4 | 16.4 | 2.08 |
| Z | 18.7 | 11.5 | 0 | 0 |
2.3. Comparison of the Response of U-Bolt and Cage Clamp for Crossbar Connections
3. Full-Scale Experimental Tests
3.1. Test Specimen and Material Properties

| Connection type | Number | Percentage |
|---|---|---|
| Wrap-and-Saddle | 228 | 14.3% |
| Double-Snap | 274 | 17.2% |
| Single-Snap | 391 | 24.5% |
| No Connection | 605 | 37.9% |
| Cage Clamp Connector | 98 | 6.1% |
| Total | 1560 | |

3.2. Test Setup and Loading Scenarios

3.3. Target-Tracking DIC Measurement
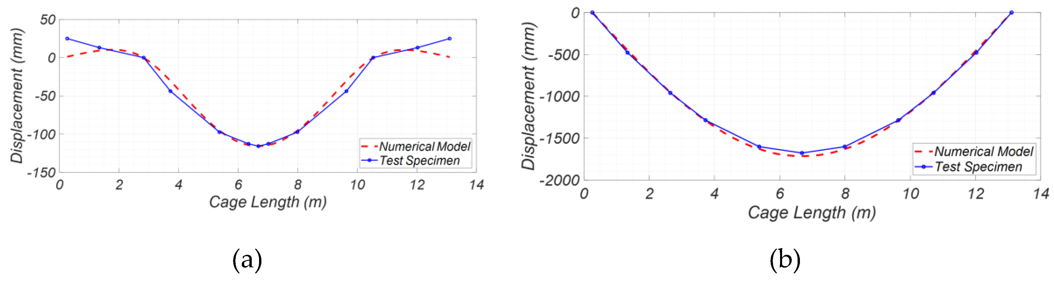
3.4. Experimental Results and Observations

| Test scenario | Maximum measured deflection | |
|---|---|---|
| Value (mm) | % of cage length | |
| 1 | 116 | 0.9% |
| 2 | 1677 | 12.8% |
4. Finite Element Simulation and Analysis
4.1. Finite Element Modeling

4.2. Cage Deflection Sensitivity with Respect to the Number of Cage Clamps
| # of Cage Clamps (# of Cage Clamps per hoop × # of hoops) |
Max Deflection (mm) |
||||
|---|---|---|---|---|---|
| X-direction | Y-direction | Z-direction | |||
| Model 1 | 14×6 = 84 | 1617 | 3.6% | 4.6% | 4.3% |
| Model 2 | 8×6 = 48 | 1785 | 3.7% | 6.1% | 7.7% |
| Model 3 | 6×6 = 36 | 1806 | 3.7% | 6.4% | 8.2% |
| Model 4 | 4×6 = 24 | 1818 | 3.5% | 4.3% | 5.5% |
| Model 5 | 0 | Failed Under Gravity Load | - | - | - |
5. Conclusions
Declaration of Competing Interest
Acknowledgments
References
- J. C. Builes-Mejia, A. Itani, and H. Sedarat, Stability of bridge column rebar cages during construction. University of Nevada, Reno, 2010.
- M. Vahedi, H. Ebrahimian, and A. M. Itani, “Experimental Investigation of U-Bolt Connectors for Application in Rebar Cages,” Journal of Structural Engineering, vol. 149, no. 1, p. 4022216, 2023. [CrossRef]
- M. Vahedi, H. Ebrahimian, and A. M. Itani, CCEER-22-02: Response And Behavior Of Mechanical Connectors For Application In Rebar Cages: An Experimental Study. University of Nevada, Reno, 2022.
- M. Vahedi, H. Ebrahimian, and A. M. Itani, “Full-Scale Testing and Analytical Modeling of Rebar Cages Reinforced with Mechanical U-Bolt Connectors,” Applied Sciences, vol. 13, no. 14, p. 8113, Jul. 2023. [CrossRef]
- M. Vahedi, H. Ebrahimian, and A. M. Itani, “Experimental Study of Mechanical Connectors for Application in Rebar Cages,” in Construction Research Congress 2022, 2022, pp. 171–177. [CrossRef]
- Caltrans, Standard Specifications. Sacramento, CA, USA.: California Department of Transportation, 2022.
- L. Ngeljaratan and M. A. Moustafa, “Structural health monitoring and seismic response assessment of bridge structures using target-tracking digital image correlation,” Engineering Structures, vol. 213, p. 110551, 2020.
- GOM Precise Industrial 3D Metrology, “TRITOP Professional.” Optical 3D Coordinate Measuring Machine, 2017.
- GOM Precise Industrial 3D Metrology, “GOM Correlate Professional.” GOM Correlate-Evaluation Software for 3D Testing, 2017.
- FASTEC, “FasMotion.” Fastec Imaging Inc, 2021.
- R. Hartley and A. Zisserman, Multiple view geometry in computer vision. Cambridge University Press, 2003.
- LSTC LS-DYNA, “Keyword User’s Manual,” Livermore: Livermore Software Technology Corporation (LSTC), 2017.




Disclaimer/Publisher’s Note: The statements, opinions and data contained in all publications are solely those of the individual author(s) and contributor(s) and not of MDPI and/or the editor(s). MDPI and/or the editor(s) disclaim responsibility for any injury to people or property resulting from any ideas, methods, instructions or products referred to in the content. |
© 2024 by the authors. Licensee MDPI, Basel, Switzerland. This article is an open access article distributed under the terms and conditions of the Creative Commons Attribution (CC BY) license (http://creativecommons.org/licenses/by/4.0/).