Submitted:
14 February 2024
Posted:
14 February 2024
You are already at the latest version
Abstract
Keywords:
1. Introduction
2. Materials and Methods
Material
Lipid formulations
Experimental design - Animal and surgical procedures
Fatty acid profile and n-3 LC PUFAs composition in lymph fatty acids
DHA incorporation in TG and PL fractions of lymph
Statistical analysis
3. Results
3.1. Influence of the lipid carrier on the intestinal absorption of DHA
3.1.1. Total fatty acid absorption
3.1.2. Lymphatic recovery of DHA
3.1.3. DHA incorporation in the main lipid fractions of lymph
- DHA incorporation in lymph TGs
- DHA incorporation in lymph PLs
4. Discussion
5. Conclusion
6. Patents
Author Contributions
Funding
Institutional Review Board Statement
Acknowledgments
Conflicts of Interest
References
- Dyall, S.C.; Michael-Titus, A.T. Neurological Benefits of Omega-3 Fatty Acids. Neuromolecular Med. 2008, 10, 219–235. [Google Scholar] [CrossRef] [PubMed]
- Riediger, N.D.; Othman, R.A.; Suh, M.; Moghadasian, M.H. A Systemic Review of the Roles of N-3 Fatty Acids in Health and Disease. J. Am. Diet. Assoc. 2009, 109, 668–679. [Google Scholar] [CrossRef]
- Calder, P.C. Omega-3 Fatty Acids and Inflammatory Processes: From Molecules to Man. Biochem. Soc. Trans. 2017, 45, 1105–1115. [Google Scholar] [CrossRef]
- Zárate, R.; El Jaber-Vazdekis, N.; Tejera, N.; Pérez, J.A.; Rodríguez, C. Significance of Long Chain Polyunsaturated Fatty Acids in Human Health. Clin. Transl. Med. 2017, 6, 25. [Google Scholar] [CrossRef] [PubMed]
- Guesnet, P.; Tressou, J.; Buaud, B.; Simon, N.; Pasteau, S. Inadequate Daily Intakes of N-3 Polyunsaturated Fatty Acids (PUFA) in the General French Population of Children (3-10 Years) and Adolescents (11-17 Years): The INCA2 Survey. Eur. J. Nutr. 2019, 58, 895–903. [Google Scholar] [CrossRef] [PubMed]
- Moghadasian, M.H.; Eskin, N.A.M. Functional Foods and Cardiovascular Disease; CRC Press, 2012; ISBN 978-1-4200-7111-5.
- Lane, K.E.; Wilson, M.; Hellon, T.G.; Davies, I.G. Bioavailability and Conversion of Plant Based Sources of Omega-3 Fatty Acids – a Scoping Review to Update Supplementation Options for Vegetarians and Vegans. Crit. Rev. Food Sci. Nutr. 2022, 62, 4982–4997. [Google Scholar] [CrossRef]
- Burdge, G.C.; Wootton, S.A. Conversion of Alpha-Linolenic Acid to Eicosapentaenoic, Docosapentaenoic and Docosahexaenoic Acids in Young Women. Br. J. Nutr. 2002, 88, 411–420. [Google Scholar] [CrossRef]
- Arterburn, L.M.; Hall, E.B.; Oken, H. Distribution, Interconversion, and Dose Response of n-3 Fatty Acids in Humans. Am. J. Clin. Nutr. 2006, 83, 1467S–1476S. [Google Scholar] [CrossRef]
- Actualisation Des Apports Nutritionnels Conseillés Pour Les Acides Gras - Version Intégrant Les Modifications Apportées Par l’erratum Du 28 Juillet 2011 | Anses - Agence Nationale de Sécurité Sanitaire de l’alimentation, de l’environnement et Du Travail. Available online: https://www.anses.fr/fr/content/actualisation-des-apports-nutritionnels-conseill%C3%A9s-pour-les-acides-gras-version-int%C3%A9grant-0 (accessed on 23 August 2021).
- AVIS et RAPPORT de l’Anses Sur l’Actualisation de La Base de Données Des Consommations Alimentaires et l’estimation Des Apports Nutritionnels Des Individus Vivant En France Par La Mise En Oeuvre de La 3ème Étude Individuelle Nationale Des Consommations Alimentaires (Etude INCA3) | Anses - Agence Nationale de Sécurité Sanitaire de l’alimentation, de l’environnement et Du Travail. Available online: https://www.anses.fr/fr/content/avis-et-rapport-de-lanses-sur-lactualisation-de-la-base-de-donn%C3%A9es-des-consommations (accessed on 23 August 2021).
- Dubuisson, C.; Carrillo, S.; Dufour, A.; Havard, S.; Pinard, P.; Volatier, J.-L. The French Dietary Survey on the General Population (INCA3). EFSA Support. Publ. 2017, 14, 1351E. [Google Scholar] [CrossRef]
- Ward, O.P.; Singh, A. Omega-3/6 Fatty Acids: Alternative Sources of Production. Process Biochem. 2005, 40, 3627–3652. [Google Scholar] [CrossRef]
- Adarme-Vega, T.C.; Lim, D.K.Y.; Timmins, M.; Vernen, F.; Li, Y.; Schenk, P.M. Microalgal Biofactories: A Promising Approach towards Sustainable Omega-3 Fatty Acid Production. Microb. Cell Factories 2012, 11, 96. [Google Scholar] [CrossRef]
- Zhu, L.; Zhang, X.; Ji, L.; Song, X.; Kuang, C. Changes of Lipid Content and Fatty Acid Composition of Schizochytrium Limacinum in Response to Different Temperatures and Salinities. Process Biochem. 2007, 42, 210–214. [Google Scholar] [CrossRef]
- Cansell, M. Marine Phospholipids as Dietary Carriers of Long-Chain Polyunsaturated Fatty Acids. Lipid Technol. 2010, 22, 223–226. [Google Scholar] [CrossRef]
- Cansell, M.; Nacka, F.; Combe, N. Marine Lipid-Based Liposomes Increase in Vivo FA Bioavailability. Lipids 2003, 38, 551–559. [Google Scholar] [CrossRef]
- Couëdelo, L.; Termon, A.; Vaysse, C. Matrice lipidique et biodisponibilité de l’acide alpha-linolénique. OCL 2017, 24, D204. [Google Scholar] [CrossRef]
- Garaiova, I.; Guschina, I.A.; Plummer, S.F.; Tang, J.; Wang, D.; Plummer, N.T. A Randomised Cross-over Trial in Healthy Adults Indicating Improved Absorption of Omega-3 Fatty Acids by Pre-Emulsification. Nutr. J. 2007, 6, 4. [Google Scholar] [CrossRef]
- Michalski, M.C.; Genot, C.; Gayet, C.; Lopez, C.; Fine, F.; Joffre, F.; Vendeuvre, J.L.; Bouvier, J.; Chardigny, J.M.; Raynal-Ljutovac, K. Multiscale Structures of Lipids in Foods as Parameters Affecting Fatty Acid Bioavailability and Lipid Metabolism. Prog. Lipid Res. 2013, 52, 354–373. [Google Scholar] [CrossRef]
- Fardet, A.; Souchon, I.; Dupont, D. Structure Des Aliments et Effets Nutritionnels; Syntheses; Editions Quae, 2013;
- Lawson, L.D.; Hughes, B.G. Human Absorption of Fish Oil Fatty Acids as Triacylglycerols, Free Acids, or Ethyl Esters. Biochem. Biophys. Res. Commun. 1988, 152, 328–335. [Google Scholar] [CrossRef] [PubMed]
- Schuchardt, J.P.; Schneider, I.; Meyer, H.; Neubronner, J.; von Schacky, C.; Hahn, A. Incorporation of EPA and DHA into Plasma Phospholipids in Response to Different Omega-3 Fatty Acid Formulations - a Comparative Bioavailability Study of Fish Oil vs. Krill Oil. Lipids Health Dis. 2011, 10, 145. [Google Scholar] [CrossRef]
- el Boustani, S.; Colette, C.; Monnier, L.; Descomps, B.; Crastes de Paulet, A.; Mendy, F. Enteral Absorption in Man of Eicosapentaenoic Acid in Different Chemical Forms. Lipids 1987, 22, 711–714. [Google Scholar] [CrossRef]
- Kling, D.F.; Johnson, J.; Rooney, M.; Davidson, M. Omega-3 Free Fatty Acids Demonstrate More Than 4-Fold Greater Bioavailability for EPA and DHA Compared with Omega-3-Acid Ethyl Esters in Conjunction with a Low-Fat Diet: The ECLIPSE Study†. J. Clin. Lipidol. 2011, 5, 231. [Google Scholar] [CrossRef]
- Destaillats, F.; Oliveira, M.; Bastic Schmid, V.; Masserey-Elmelegy, I.; Giuffrida, F.; Thakkar, S.K.; Dupuis, L.; Gosoniu, M.L.; Cruz-Hernandez, C. Comparison of the Incorporation of DHA in Circulatory and Neural Tissue When Provided as Triacylglycerol (TAG), Monoacylglycerol (MAG) or Phospholipids (PL) Provides New Insight into Fatty Acid Bioavailability. Nutrients 2018, 10, 620. [Google Scholar] [CrossRef] [PubMed]
- Cruz-Hernandez, C.; Destaillats, F.; Thakkar, S.K.; Goulet, L.; Wynn, E.; Grathwohl, D.; Roessle, C.; de Giorgi, S.; Tappy, L.; Giuffrida, F.; et al. Monoacylglycerol-Enriched Oil Increases EPA/DHA Delivery to Circulatory System in Humans with Induced Lipid Malabsorption Conditions1. J. Lipid Res. 2016, 57, 2208–2216. [Google Scholar] [CrossRef] [PubMed]
- Cuenoud, B.; Rochat, I.; Gosoniu, M.L.; Dupuis, L.; Berk, E.; Jaudszus, A.; Mainz, J.G.; Hafen, G.; Beaumont, M.; Cruz-Hernandez, C. Monoacylglycerol Form of Omega-3s Improves Its Bioavailability in Humans Compared to Other Forms. Nutrients 2020, 12, 1014. [Google Scholar] [CrossRef] [PubMed]
- Ahmmed, M.K.; Ahmmed, F.; Tian, H. (Sabrina); Carne, A.; Bekhit, A.E. Marine Omega-3 (N-3) Phospholipids: A Comprehensive Review of Their Properties, Sources, Bioavailability, and Relation to Brain Health. Compr. Rev. Food Sci. Food Saf. 2020, 19, 64–123. [Google Scholar] [CrossRef]
- Borgström, B. On the Interactions between Pancreatic Lipase and Colipase and the Substrate, and the Importance of Bile Salts. J. Lipid Res. 1975, 16, 411–417. [Google Scholar] [CrossRef] [PubMed]
- Carrière, F.; Verger, R.; Lookene, A.; Olivecrona, G. Lipase Structures at the Interface between Chemistry and Biochemistry. EXS 1995, 73, 3–26. [Google Scholar]
- Valenzuela, A.; Valenzuela, V.; Sanhueza, J.; Nieto, S. Effect of Supplementation with Docosahexaenoic Acid Ethyl Ester and Sn-2 Docosahexaenyl Monoacylglyceride on Plasma and Erythrocyte Fatty Acids in Rats. Ann. Nutr. Metab. 2005, 49, 49–53. [Google Scholar] [CrossRef]
- Mu, H.; Porsgaard, T. The Metabolism of Structured Triacylglycerols. Prog. Lipid Res. 2005, 44, 430–448. [Google Scholar] [CrossRef]
- Banno, F.; Doisaki, S.; Shimizu, N.; Fujimoto, K. Lymphatic Absorption of Docosahexaenoic Acid given as Monoglyceride, Diglyceride, Triglyceride, and Ethyl Ester in Rats. J. Nutr. Sci. Vitaminol. (Tokyo) 2002, 48, 30–35. [Google Scholar] [CrossRef]
- Tan, Y.; Zhang, Z.; Muriel Mundo, J.; McClements, D.J. Factors Impacting Lipid Digestion and Nutraceutical Bioaccessibility Assessed by Standardized Gastrointestinal Model (INFOGEST): Emulsifier Type. Food Res. Int. 2020, 137, 109739. [Google Scholar] [CrossRef]
- Couëdelo, L.; Joseph, C.; Abrous, H.; Chamekh-Coelho, I.; Vaysse, C.; Baury, A.; Guillemet, D. Effect of Gum Acacia on the Intestinal Bioavailability of N-3 Polyunsaturated Fatty Acids in Rats. Biomolecules 2022, 12, 975. [Google Scholar] [CrossRef]
- Sehl, A.; Couëdelo, L.; Chamekh-Coelho, I.; Vaysse, C.; Cansell, M. In Vitro Lipolysis and Lymphatic Absorption of N-3 Long-Chain PUFA in the Rat: Influence of the Molecular Lipid Species as Carrier. Br. J. Nutr. 2019, 122, 639–647. [Google Scholar] [CrossRef]
- Robert, C.; Buisson, C.; Couëdelo, L.; Meugnier, E.; Knibbe, C.; Loizon, E.; Fonseca, L.; Laugerette, F.; Vaysse, C.; Michalski, M.-C. Differential Metabolic Impact of Natural Food-Grade Emulsifiers Rich in Alpha-Linolenic Acid. Curr. Dev. Nutr. 2020, 4, nzaa045_094. [Google Scholar] [CrossRef]
- Sehl, A.; Couëdelo, L.; Vaysse, C.; Cansell, M. Intestinal Bioavailability of N-3 Long-Chain Polyunsaturated Fatty Acids Influenced by the Supramolecular Form of Phospholipids. Food Funct. 2020, 11, 1721–1728. [Google Scholar] [CrossRef]
- Amate, L.; Gil, A.; Ramírez, M. Dietary Long-Chain Polyunsaturated Fatty Acids from Different Sources Affect Fat and Fatty Acid Excretions in Rats. J. Nutr. 2001, 131, 3216–3221. [Google Scholar] [CrossRef]
- Garaiova, I.; Guschina, I.A.; Plummer, S.F.; Tang, J.; Wang, D.; Plummer, N.T. A Randomised Cross-over Trial in Healthy Adults Indicating Improved Absorption of Omega-3 Fatty Acids by Pre-Emulsification. Nutr. J. 2007, 6, 4. [Google Scholar] [CrossRef] [PubMed]
- Haug, I.J.; Sagmo, L.B.; Zeiss, D.; Olsen, I.C.; Draget, K.I.; Seternes, T. Bioavailability of EPA and DHA Delivered by Gelled Emulsions and Soft Gel Capsules. Eur. J. Lipid Sci. Technol. 2011, 113, 137–145. [Google Scholar] [CrossRef]
- McClements, D.J.; Saliva-Trujillo, L.; Zhang, R.; Zhang, Z.; Zou, L.; Yao, M.; Xiao, H. Boosting the Bioavailability of Hydrophobic Nutrients, Vitamins, and Nutraceuticals in Natural Products Using Excipient Emulsions. Food Res. Int. 2016, 88, 140–152. [Google Scholar] [CrossRef] [PubMed]
- Lin, X.; Wang, Q.; Li, W.; Wright, A.J. Emulsification of Algal Oil with Soy Lecithin Improved DHA Bioaccessibility but Did Not Change Overall in Vitro Digestibility. Food Funct 2014, 5, 2913–2921. [Google Scholar] [CrossRef] [PubMed]
- Raatz, S.K.; Redmon, J.B.; Wimmergren, N.; Donadio, J.V.; Bibus, D.M. Enhanced Absorption of N-3 Fatty Acids from Emulsified Compared with Encapsulated Fish Oil. J. Am. Diet. Assoc. 2009, 109, 1076–1081. [Google Scholar] [CrossRef] [PubMed]
- Couëdelo, L.; Boué-Vaysse, C.; Fonseca, L.; Montesinos, E.; Djoukitch, S.; Combe, N.; Cansell, M. Lymphatic Absorption of α-Linolenic Acid in Rats Fed Flaxseed Oil-Based Emulsion. Br. J. Nutr. 2011, 105, 1026–1035. [Google Scholar] [CrossRef] [PubMed]
- Sugasini, D.; Devaraj, V.C.; Ramesh, M.; Lokesh, B.R. Lymphatic Transport of α-Linolenic Acid and Its Conversion to Long Chain n-3 Fatty Acids in Rats Fed Microemulsions of Linseed Oil. Lipids 2014, 49, 225–233. [Google Scholar] [CrossRef] [PubMed]
- Armand, M. Lipases and Lipolysis in the Human Digestive Tract: Where Do We Stand? : Curr. Opin. Clin. Nutr. Metab. Care 2007, 10, 156–164. [Google Scholar] [CrossRef] [PubMed]
- Golding, M.; Wooster, T.J. The Influence of Emulsion Structure and Stability on Lipid Digestion. Curr. Opin. Colloid Interface Sci. 2010, 15, 90–101. [Google Scholar] [CrossRef]
- Couëdelo, L.; Amara, S.; Lecomte, M.; Meugnier, E.; Monteil, J.; Fonseca, L.; Pineau, G.; Cansell, M.; Carrière, F.; Michalski, M.C.; et al. Impact of Various Emulsifiers on ALA Bioavailability and Chylomicron Synthesis through Changes in Gastrointestinal Lipolysis. Food Funct. 2015, 6, 1726–1735. [Google Scholar] [CrossRef] [PubMed]
- Sehl, A.; Couëdelo, L.; Vaysse, C.; Cansell, M. Intestinal Bioavailability of N-3 Long-Chain Polyunsaturated Fatty Acids Influenced by the Supramolecular Form of Phospholipids. Food Funct. 2020, 11, 1721–1728. [Google Scholar] [CrossRef]
- Robert, C.; Couëdelo, L.; Knibbe, C.; Fonseca, L.; Buisson, C.; Errazuriz-Cerda, E.; Meugnier, E.; Loizon, E.; Vaysse, C.; Michalski, M.-C. Rapeseed Lecithin Increases Lymphatic Lipid Output and α-Linolenic Acid Bioavailability in Rats. J. Nutr. 2020, 150, 2900–2911. [Google Scholar] [CrossRef]
- Robert, C.; Couëdelo, L.; Vaysse, C.; Michalski, M.-C. Vegetable Lecithins: A Review of Their Compositional Diversity, Impact on Lipid Metabolism and Potential in Cardiometabolic Disease Prevention. Biochimie 2020, 169, 121–132. [Google Scholar] [CrossRef]
- Lutz, O.; Meraihi, Z.; Mura, J.L.; Frey, A.; Riess, G.H.; Bach, A.C. Fat Emulsion Particle Size: Influence on the Clearance Rate and the Tissue Lipolytic Activity. Am. J. Clin. Nutr. 1989, 50, 1370–1381. [Google Scholar] [CrossRef]
- Lamothe, S.; Jolibois, É.; Britten, M. Effect of Emulsifiers on Linseed Oil Emulsion Structure, Lipolysis and Oxidation during in Vitro Digestion. Food Funct. 2020, 11, 10126–10136. [Google Scholar] [CrossRef]
- Bollman, J.L.; Cain, J.C.; Grindlay, J.H. Techniques for the Collection of Lymph from the Liver, Small Intestine, or Thoracic Duct of the Rat. J. Lab. Clin. Med. 1948, 33, 1349–1352. [Google Scholar] [PubMed]
- Lepage, G.; Roy, C.C. Improved Recovery of Fatty Acid through Direct Transesterification without Prior Extraction or Purification. J Lipid Res 1984, 25, 1391–1396. [Google Scholar] [CrossRef] [PubMed]
- Folch, J.; Lees, M.; Stanley, G.H.S. A Simple Method for the Isolation and Purification of Total Lipides from Animal Tissues. J. Biol. Chem. 1957, 226, 497–509. [Google Scholar] [CrossRef] [PubMed]
- Castro-Gómez, P.; Fontecha, J.; Rodríguez-Alcalá, L.M. A High-Performance Direct Transmethylation Method for Total Fatty Acids Assessment in Biological and Foodstuff Samples. Talanta 2014, 128, 518–523. [Google Scholar] [CrossRef] [PubMed]
- Ikeda, I.; Sasaki, E.; Yasunami, H.; Nomiyama, S.; Nakayama, M.; Sugano, M.; Imaizumi, K.; Yazawa, K. Digestion and Lymphatic Transport of Eicosapentaenoic and Docosahexaenoic Acids given in the Form of Triacylglycerol, Free Acid and Ethyl Ester in Rats. Biochim. Biophys. Acta 1995, 1259, 297–304. [Google Scholar] [CrossRef]
- Lambert, M.S.; Botham, K.M.; Mayes, P.A. Modification of the Fatty Acid Composition of Dietary Oils and Fats on Incorporation into Chylomicrons and Chylomicron Remnants. Br. J. Nutr. 1996, 76, 435–445. [Google Scholar] [CrossRef] [PubMed]
- Dey, T. kumar; Ghosh, S.; Ghosh, M.; Koley, H.; Dhar, P. Comparative Study of Gastrointestinal Absorption of EPA & DHA Rich Fish Oil from Nano and Conventional Emulsion Formulation in Rats. Food Res. Int. 2012, 49, 72–79. [Google Scholar] [CrossRef]
- Singh, H.; Ye, A.; Horne, D. Structuring Food Emulsions in the Gastrointestinal Tract to Modify Lipid Digestion. Prog. Lipid Res. 2009, 48, 92–100. [Google Scholar] [CrossRef]
- McClements, D.J.; Li, Y. Structured Emulsion-Based Delivery Systems: Controlling the Digestion and Release of Lipophilic Food Components. Adv. Colloid Interface Sci. 2010, 159, 213–228. [Google Scholar] [CrossRef]
- Carriere, F.; Barrowman, J.A.; Verger, R.; Laugier, R. Secretion and Contribution to Lipolysis of Gastric and Pancreatic Lipases during a Test Meal in Humans. Gastroenterology 1993, 105, 876–888. [Google Scholar] [CrossRef]
- Desnuelle, P. Pancreatic Lipase. Adv. Enzymol. Relat. Subj. Biochem. 1961, 23, 129–161. [Google Scholar] [PubMed]
- Borgström, B. On the Interactions between Pancreatic Lipase and Colipase and the Substrate, and the Importance of Bile Salts. J. Lipid Res. 1975, 16, 411–417. [Google Scholar] [CrossRef] [PubMed]
- Hussain, M.M. A Proposed Model for the Assembly of Chylomicrons. Atherosclerosis 2000, 148, 1–15. [Google Scholar] [CrossRef] [PubMed]
- Cartwright, I.J.; Plonné, D.; Higgins, J.A. Intracellular Events in the Assembly of Chylomicrons in Rabbit Enterocytes. J. Lipid Res. 2000, 41, 1728–1739. [Google Scholar] [CrossRef]
- Lee, J.; Ridgway, N.D. Substrate Channeling in the Glycerol-3-Phosphate Pathway Regulates the Synthesis, Storage and Secretion of Glycerolipids. Biochim. Biophys. Acta BBA - Mol. Cell Biol. Lipids 2020, 1865, 158438. [Google Scholar] [CrossRef]
- Sehl, A.; Couëdelo, L.; Vaysse, C.; Cansell, M. Intestinal Bioavailability of N-3 Long-Chain Polyunsaturated Fatty Acids Influenced by the Supramolecular Form of Phospholipids. Food Funct. 2020, 11, 1721–1728. [Google Scholar] [CrossRef]
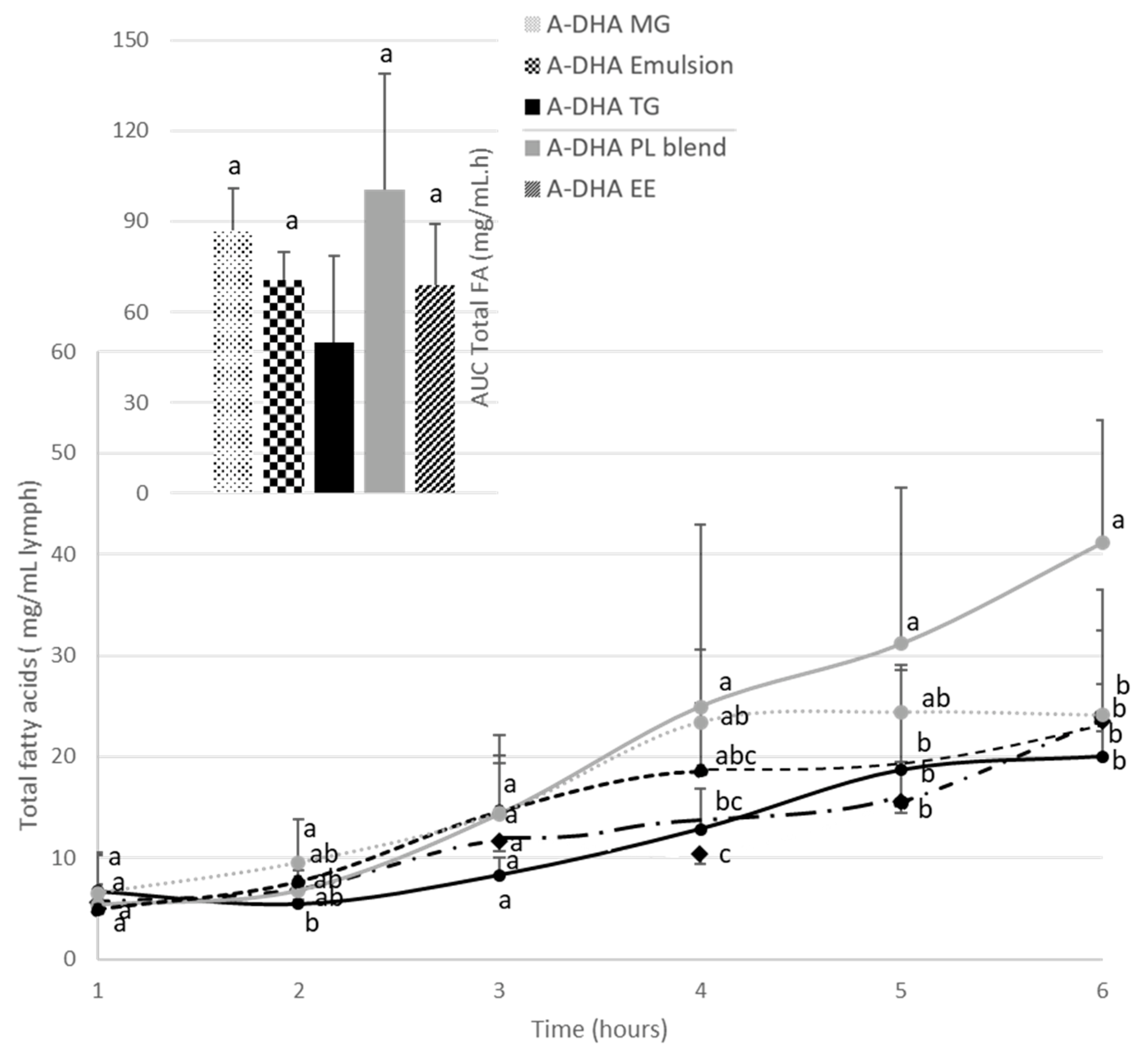
), A-DHA EE (
), A-DHA PL Blend (
), A-DHA MG (….), A-DHA Emulsion (----). Data are presented as means ± standard deviation. a,b,c: fFor a time point, values are significantly different between the 6 groups (p<0.05; ANOVA, Mann Whitney post hoc test).
), A-DHA EE (
), A-DHA PL Blend (
), A-DHA MG (….), A-DHA Emulsion (----). Data are presented as means ± standard deviation. a,b,c: fFor a time point, values are significantly different between the 6 groups (p<0.05; ANOVA, Mann Whitney post hoc test).
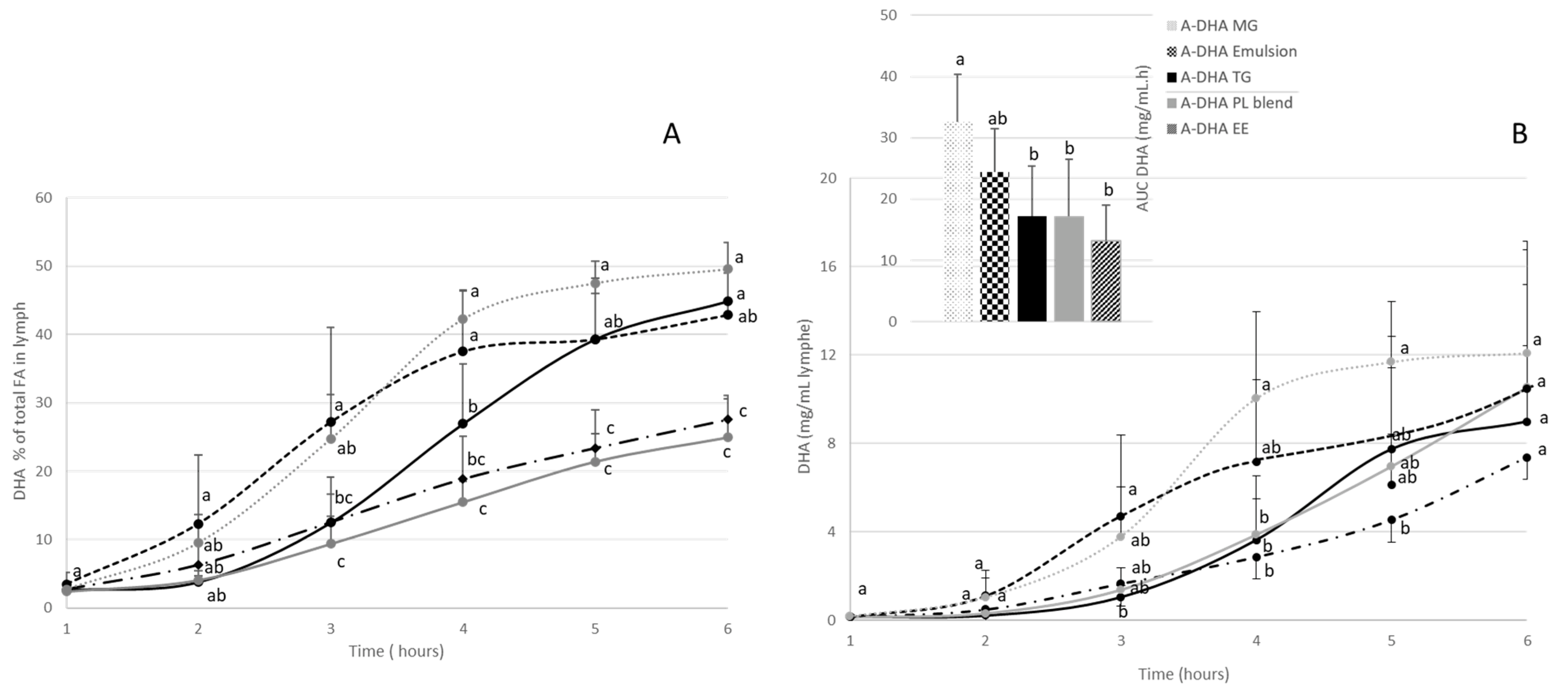
) , A-DHA EE (
), A-DHA PL Blend (
), A-DHA MG (….), A-DHA Emulsion (----) over a 6-hour period. Data are presented as means ± standard deviation. a,b,c: For a time point, values are significantly different between the 6 groups (p<0.05; ANOVA, Mann Whitney post hoc test). DHA: docosahexaenoic acid.
) , A-DHA EE (
), A-DHA PL Blend (
), A-DHA MG (….), A-DHA Emulsion (----) over a 6-hour period. Data are presented as means ± standard deviation. a,b,c: For a time point, values are significantly different between the 6 groups (p<0.05; ANOVA, Mann Whitney post hoc test). DHA: docosahexaenoic acid.

| A-DHA TG | A-DHA Emulsion | A-DHA EE | A-DHA PL blend | A-DHA MG | |
| Lipid fractions ( %) | |||||
| TG | 67.1 | 69.9 | 0 | 62.6 | 8.5 |
| PL | 0 | 0 | 0 | 21.1 | 0 |
| MG | 1.4 | 1.2 | 0 | 1.2 | 73.2 |
| DG | 29.5 | 26.8 | 0 | 15.1 | 13.9 |
| EE | 0 | 1.5 | 100 | 0 | 0 |
| FFA | 0 | 0 | 0 | 0 | 3.2 |
| OTHERS | 2 | 0.6 | 0 | 0 | 1.2 |
| FA composition (mg/g as FA) | |||||
| DHA | 835 | 311 | 552 | 503 | 595 |
| EPA | 26 | 12 | 5 | 11.5 | 9 |
| DHA proportion in internal position of the lipid structure (% sn2 / % sn1/3+sn2 positions) | |||||
| In TG fraction | 34.0% | 34.0% | - | 34.0% | 19.0% |
| In MG fraction | - | - | - | - | 4.8% |
| In DG fraction | 50.5% | 50.5% | - | 50.5% | 39.3% |
| A-DHA TG | A-DHA EE | A-DHA PL BLEND | A-DHA MG | A-DHA Emulsion | |||||||||||||||
| Mean | ± | SD | Mean | ± | SD | Mean | ± | SD | Mean | ± | SD | Mean | ± | SD | |||||
| % DHA in main lipid fraction | |||||||||||||||||||
| Lymph TG (% of total FA) | |||||||||||||||||||
| 40.5 ab | ± | 3.8 | 25.1 ab | ± | 2.8 | 23.2 a | ± | 2.9 | 42.7 b | ± | 7.9 | 45.1 b | ± | 4.6 | |||||
| Lymph PL (% of total FA) | |||||||||||||||||||
| 6.2 ab | ± | 0.9 | 3.4 a | ± | 0.9 | 3.5 a | ± | 0.8 | 10.4 b | ± | 4.7 | 9.9 b | ± | 2.1 | |||||
| Quantification of DHA in main lipid fraction | |||||||||||||||||||
| Lymph TG (µg/µL lymph) | |||||||||||||||||||
| 2.7 a | ± | 1.0 | 2.3 a | ± | 0.8 | 2.7 a | ± | 1.5 | 3.5 a | ± | 1.6 | 3.4 a | ± | 0.6 | |||||
| Lymph PL (ng/µL lymph) | |||||||||||||||||||
| 68.4 ab | ± | 24.9 | 45.0 a | ± | 17.7 | 55.2 a | ± | 28.0 | 124.2 ab | ± | 88.9 | 108.7 b | ± | 22.5 | |||||
Disclaimer/Publisher’s Note: The statements, opinions and data contained in all publications are solely those of the individual author(s) and contributor(s) and not of MDPI and/or the editor(s). MDPI and/or the editor(s) disclaim responsibility for any injury to people or property resulting from any ideas, methods, instructions or products referred to in the content. |
© 2024 by the authors. Licensee MDPI, Basel, Switzerland. This article is an open access article distributed under the terms and conditions of the Creative Commons Attribution (CC BY) license (http://creativecommons.org/licenses/by/4.0/).