Submitted:
08 February 2024
Posted:
09 February 2024
You are already at the latest version
Abstract
Keywords:
1. Introduction
2. Data
2.1. SUOMI-NPP VIIRS
2.2. TROPOMI CO
2.3. TCCON XCH4
3. Methods
3.1. Random Forest Classifier
3.2. Destriping Approach
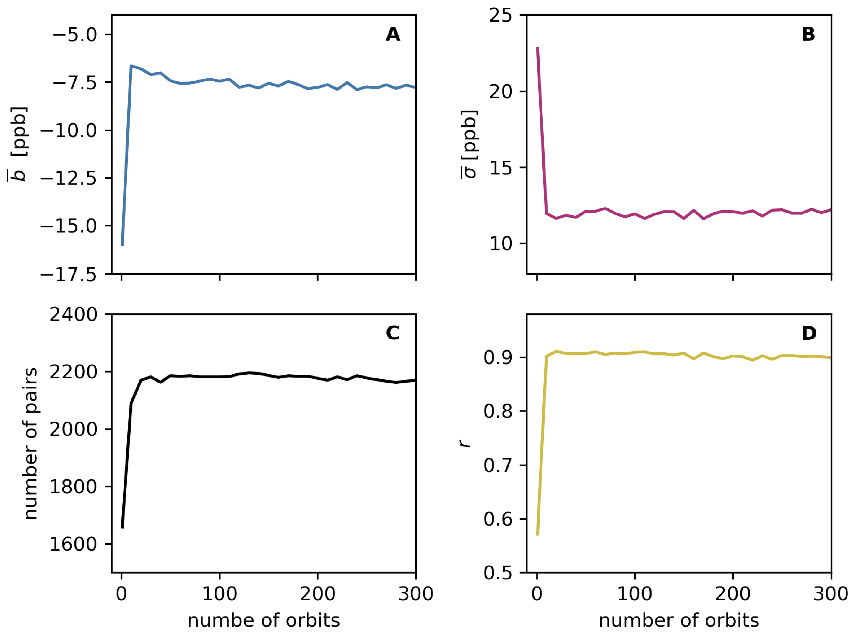
4. Results
5. Discussions
Author Contributions
Funding
Data Availability Statement
Acknowledgments
Conflicts of Interest
Appendix A



References
- Myhre, G.; Samset, B.H.; Schulz, M.; Balkanski, Y.; Bauer, S.; Berntsen, T.K.; Bian, H.; Bellouin, N.; Chin, M.; Diehl, T.; Easter, R.C.; Feichter, J.; Ghan, S.J.; Hauglustaine, D.; Iversen, T.; Kinne, S.; Kirkevåg, A.; Lamarque, J.F.; Lin, G.; Liu, X.; Lund, M.T.; Luo, G.; Ma, X.; van Noije, T.; Penner, J.E.; Rasch, P.J.; Ruiz, A.; Seland; Skeie, R.B.; Stier, P.; Takemura, T.; Tsigaridis, K.; Wang, P.; Wang, Z.; Xu, L.; Yu, H.; Yu, F.; Yoon, J.H.; Zhang, K.; Zhang, H.; Zhou, C. Radiative forcing of the direct aerosol effect from AeroCom Phase II simulations. Atmos. Chem. Phys. 2013, 13, 1853–1877. [Google Scholar] [CrossRef]
- Kirschke, S.; Bousquet, P.; Ciais, P.; Saunois, M.; Canadell, J.G.; Dlugokencky, E.J.; Bergamaschi, P.; Bergmann, D.; Blake, D.R.; Bruhwiler, L.; Cameron-Smith, P.; Castaldi, S.; Chevallier, F.; Feng, L.; Fraser, A.; Heimann, M.; Hodson, E.L.; Houweling, S.; Josse, B.; Fraser, P.J.; Krummel, P.B.; Lamarque, J.F.; Langenfelds, R.L.; Le Quéré, C.; Naik, V.; O’Doherty, S.; Palmer, P.I.; Pison, I.; Plummer, D.; Poulter, B.; Prinn, R.G.; Rigby, M.; Ringeval, B.; Santini, M.; Schmidt, M.; Shindell, D.T.; Simpson, I.J.; Spahni, R.; Steele, L.P.; Strode, S.A.; Sudo, K.; Szopa, S.; van der Werf, G.R.; Voulgarakis, A.; van Weele, M.; Weiss, R.F.; Williams, J.E.; Zeng, G. Three decades of global methane sources and sinks. Nature Geoscience 2013, 6, 813–823. [Google Scholar] [CrossRef]
- Lunt, M.F.; Palmer, P.I.; Feng, L.; Taylor, C.M.; Boesch, H.; Parker, R.J. An increase in methane emissions from tropical Africa between 2010 and 2016 inferred from satellite data. Atmospheric Chemistry and Physics 2019, 19, 14721–14740. [Google Scholar] [CrossRef]
- Maasakkers, J.D.; Varon, D.J.; Elfarsdóttir, A.; McKeever, J.; Jervis, D.; Mahapatra, G.; Pandey, S.; Lorente, A.; Borsdorff, T.; Foorthuis, L.R.; Schuit, B.J.; Tol, P.; van Kempen, T.A.; van Hees, R.; Aben, I. Using satellites to uncover large methane emissions from landfills. Science Advances 2022, 8, eabn9683. [Google Scholar] [CrossRef] [PubMed]
- Veefkind, J.; Aben, I.; McMullan, K.; Förster, H.; de Vries, J.; Otter, G.; Claas, J.; Eskes, H.; de Haan, J.; Kleipool, Q.; van Weele, M.; Hasekamp, O.; Hoogeveen, R.; Landgraf, J.; Snel, R.; Tol, P.; Ingmann, P.; Voors, R.; Kruizinga, B.; Vink, R.; Visser, H.; Levelt, P. TROPOMI on the ESA Sentinel-5 Precursor: A GMES mission for global observations of the atmospheric composition for climate, air quality and ozone layer applications. Remote Sensing of Environment 2012, 120, 70–83. [Google Scholar] [CrossRef]
- Haili, H.; Landgraf, J.; Detmers, R.; Borsdorff, T.; de Brugh, J.A.; Aben, I.; Butz, A.; Hasekamp, O. Toward Global Mapping of Methane With TROPOMI: First Results and Intersatellite Comparison to GOSAT. Geophysical Research Letters 2018, 45, 3682–3689. [Google Scholar] [CrossRef]
- Lorente, A.; Borsdorff, T.; Butz, A.; Hasekamp, O.; aan de Brugh, J.; Schneider, A.; Wu, L.; Hase, F.; Kivi, R.; Wunch, D.; Pollard, D.F.; Shiomi, K.; Deutscher, N.M.; Velazco, V.A.; Roehl, C.M.; Wennberg, P.O.; Warneke, T.; Landgraf, J. Methane retrieved from TROPOMI: improvement of the data product and validation of the first 2 years of measurements. Atmospheric Measurement Techniques 2021, 14, 665–684. [Google Scholar] [CrossRef]
- Lorente, A.; Borsdorff, T.; Martinez-Velarte, M.C.; Butz, A.; Hasekamp, O.P.; Wu, L.; Landgraf, J. Evaluation of the methane full-physics retrieval applied to TROPOMI ocean sun glint measurements. Atmospheric Measurement Techniques 2022, 15, 6585–6603. [Google Scholar] [CrossRef]
- Lorente, A.; Borsdorff, T.; Martinez-Velarte, M.C.; Landgraf, J. Accounting for surface reflectance spectral features in TROPOMI methane retrievals. Atmospheric Measurement Techniques 2023, 16, 1597–1608. [Google Scholar] [CrossRef]
- Pandey, S.; Gautam, R.; Houweling, S.; van der Gon, H.D.; Sadavarte, P.; Borsdorff, T.; Hasekamp, O.; Landgraf, J.; Tol, P.; van Kempen, T.; Hoogeveen, R.; van Hees, R.; Hamburg, S.P.; Maasakkers, J.D.; Aben, I. Satellite observations reveal extreme methane leakage from a natural gas well blowout. Proceedings of the National Academy of Sciences 2019, 116, 26376–26381. [Google Scholar] [CrossRef]
- Sha, M.K.; Langerock, B.; Blavier, J.F.L.; Blumenstock, T.; Borsdorff, T.; Buschmann, M.; Dehn, A.; De Mazière, M.; Deutscher, N.M.; Feist, D.G.; García, O.E.; Griffith, D.W.T.; Grutter, M.; Hannigan, J.W.; Hase, F.; Heikkinen, P.; Hermans, C.; Iraci, L.T.; Jeseck, P.; Jones, N.; Kivi, R.; Kumps, N.; Landgraf, J.; Lorente, A.; Mahieu, E.; Makarova, M.V.; Mellqvist, J.; Metzger, J.M.; Morino, I.; Nagahama, T.; Notholt, J.; Ohyama, H.; Ortega, I.; Palm, M.; Petri, C.; Pollard, D.F.; Rettinger, M.; Robinson, J.; Roche, S.; Roehl, C.M.; Röhling, A.N.; Rousogenous, C.; Schneider, M.; Shiomi, K.; Smale, D.; Stremme, W.; Strong, K.; Sussmann, R.; Té, Y.; Uchino, O.; Velazco, V.A.; Vigouroux, C.; Vrekoussis, M.; Wang, P.; Warneke, T.; Wizenberg, T.; Wunch, D.; Yamanouchi, S.; Yang, Y.; Zhou, M. Validation of methane and carbon monoxide from Sentinel-5 Precursor using TCCON and NDACC-IRWG stations. Atmospheric Measurement Techniques 2021, 14, 6249–6304. [Google Scholar] [CrossRef]
- Hu, H.; Hasekamp, O.; Butz, A.; Galli, A.; Landgraf, J.; Aan de Brugh, J.; Borsdorff, T.; Scheepmaker, R.; Aben, I. The operational methane retrieval algorithm for TROPOMI. Atmospheric Measurement Techniques 2016, 9, 5423–5440. [Google Scholar] [CrossRef]
- Taylor, T.E.; O’Dell, C.W.; Frankenberg, C.; Partain, P.T.; Cronk, H.Q.; Savtchenko, A.; Nelson, R.R.; Rosenthal, E.J.; Chang, A.Y.; Fisher, B.; Osterman, G.B.; Pollock, R.H.; Crisp, D.; Eldering, A.; Gunson, M.R. Orbiting Carbon Observatory-2 (OCO-2) cloud screening algorithms: validation against collocated MODIS and CALIOP data. Atmospheric Measurement Techniques 2016, 9, 973–989. [Google Scholar] [CrossRef]
- Cao, C.; Blonski, S.; Wang, W.; Uprety, S.; Shao, X.; Choi, J.; Lynch, E.; Kalluri, S. NOAA-20 VIIRS on-orbit performance, data quality, and operational Cal/Val support. 2018, p. 21. [CrossRef]
- Inness, A.; Aben, I.; Ades, M.; Borsdorff, T.; Flemming, J.; Landgraf, J.; Langerock, B.; Parrington, M.; Ribas, R. Monitoring and assimilation of S5P/TROPOMI carbon monoxide data with the global CAMS near-real time system. Atmospheric Chemistry and Physics Discussions 2022, 2022, 1–39. [Google Scholar] [CrossRef]
- Jackson, J.M.; Liu, H.; Laszlo, I.; Kondragunta, S.; Remer, L.A.; Huang, J.; Huang, H.C. Suomi-NPP VIIRS aerosol algorithms and data products. Journal of Geophysical Research: Atmospheres 2013, 118, 12,673–12,689. [Google Scholar] [CrossRef]
- Siddans, R. S5P-NPP Cloud Processor ATBD. Atbd, RAL, Harwell Campus, Didcot, Oxfordshire, OX11 0QX, UK, 2016.
- O., H.; A., L.; H., H.; A., B.; aan de Brugh J..; J., L. Algorithm Theoretical Baseline Document for Sentinel-5 Precursor Methane Retrieval. Atbd, SRON, Sorbonnelaan 2, 3584 CA Utrecht, The Netherlands, 2016.
- Landgraf, J.; aan de Brugh, J.; Borsdorff, T.; Houweling, S. ; O., H. Algorithm Theoretical Baseline Document for Sentinel-5 Precursor: Carbon Monoxide Total Column Retrieval. Atbd, SRON, Sorbonnelaan 2, 3584 CA Utrecht, The Netherlands, 2016.
- Borsdorff, T.; de Brugh, J.A.; Hu, H.; Aben, I.; Hasekamp, O.; Landgraf, J. Measuring Carbon Monoxide With TROPOMI: First Results and a Comparison With ECMWF-IFS Analysis Data. Geophysical Research Letters 2018, 45, 2826–2832. [Google Scholar] [CrossRef]
- Borsdorff, T.; aan de Brugh, J.; Hu, H.; Hasekamp, O.; Sussmann, R.; Rettinger, M.; Hase, F.; Gross, J.; Schneider, M.; Garcia, O.; Stremme, W.; Grutter, M.; Feist, D.G.; Arnold, S.G.; De Mazière, M.; Kumar Sha, M.; Pollard, D.F.; Kiel, M.; Roehl, C.; Wennberg, P.O.; Toon, G.C.; Landgraf, J. Mapping carbon monoxide pollution from space down to city scales with daily global coverage. Atmospheric Measurement Techniques Discussions 2018, 2018, 1–19. [Google Scholar] [CrossRef]
- Borsdorff, T.; García Reynoso, A.; Maldonado, G.; Mar-Morales, B.; Stremme, W.; Grutter, M.; Landgraf, J. Monitoring CO emissions of the metropolis Mexico City using TROPOMI CO observations. Atmospheric Chemistry and Physics 2020, 20, 15761–15774. [Google Scholar] [CrossRef]
- Borsdorff, T.; Hasekamp, O.P.; Wassmann, A.; Landgraf, J. Insights into Tikhonov regularization: application to trace gas column retrieval and the efficient calculation of total column averaging kernels. Atmospheric Measurement Techniques 2014, 7, 523–535. [Google Scholar] [CrossRef]
- Butz, A.; Guerlet, S.; Hasekamp, O.; Schepers, D.; Galli, A.; Aben, I.; Frankenberg, C.; Hartmann, J.M.; Tran, H.; Kuze, A.; Keppel-Aleks, G.; Toon, G.; Wunch, D.; Wennberg, P.; Deutscher, N.; Griffith, D.; Macatangay, R.; Messerschmidt, J.; Notholt, J.; Warneke, T. Toward accurate CO2 and CH4 observations from GOSAT. Geophysical Research Letters 2011, 38, n/a–n/a. [Google Scholar] [CrossRef]
- Lorente, A.; Boersma, K.F.; Eskes, H.J.; Veefkind, J.P.; van Geffen, J.H.G.M.; de Zeeuw, M.B.; Denier van der Gon, H.A.C.; Beirle, S.; Krol, M.C. Quantification of nitrogen oxides emissions from build-up of pollution over Paris with TROPOMI. Scientific Reports 2019, 9, 20033. [Google Scholar] [CrossRef]
- Kivi, R.; Heikkinen, P.; Kyrö, E. TCCON data from Sodankylä (FI), Release GGG2014.R0, 2014. Funding by Finnish Meteorological Institute GRID grid.8657.c. [CrossRef]
- Kivi, R.; Heikkinen, P. Fourier transform spectrometer measurements of column CO2 at Sodankylä, Finland. Geoscientific Instrumentation, Methods and Data Systems 2016, 5, 271–279. [Google Scholar] [CrossRef]
- Wunch, D.; Mendonca, J.; Colebatch, O.; Allen, N.T.; Blavier, J.F.; Roche, S.; Hedelius, J.; Neufeld, G.; Springett, S.; Worthy, D.; et al. . TCCON data from East Trout Lake, SK (CA), Release GGG2014.R1, 2018. Funding by Canada Foundation for Innovation GRID grid.439998.6. [CrossRef]
- Hase, F.; Blumenstock, T.; Dohe, S.; Groß, J.; Kiel, M. TCCON data from Karlsruhe (DE), Release GGG2014.R0, 2014. Funding by Helmholtz Association of German Research Centres GRID grid.211011.2. [CrossRef]
- Warneke, T.; Messerschmidt, J.; Notholt, J.; Weinzierl, C.; Deutscher, N.M.; Petri, C.; Grupe, P. TCCON data from Orléans (FR), Release GGG2014.R0, 2014. Funding by European Union GRID grid.453396.e. [CrossRef]
- Wennberg, P.O.; Roehl, C.M.; Wunch, D.; Toon, G.C.; Blavier, J.F.; Washenfelder, R.; Keppel-Aleks, G.; Allen, N.T.; Ayers, J. TCCON data from Park Falls (US), Release GGG2014.R1, 2017. Funding by National Aeronautics and Space Administration GRID grid.238252.c. [CrossRef]
- Wennberg, P.O.; Wunch, D.; Roehl, C.M.; Blavier, J.F.; Toon, G.C.; Allen, N.T. TCCON data from Lamont (US), Release GGG2014.R1, 2016. Funding by National Aeronautics and Space Administration GRID grid.238252.c. [CrossRef]
- Wennberg, P.O.; Wunch, D.; Roehl, C.M.; Blavier, J.F.; Toon, G.C.; Allen, N.T. TCCON data from Caltech (US), Release GGG2014.R0, 2016. Funding by National Aeronautics and Space Administration GRID grid.238252.c. [CrossRef]
- Iraci, L.T.; Podolske, J.R.; Hillyard, P.W.; Roehl, C.; Wennberg, P.O.; Blavier, J.F.; Landeros, J.; Allen, N.; Wunch, D.; Zavaleta, J.; et al. . TCCON data from Edwards (US), Release GGG2014.R1, 2016. Funding by National Aeronautics and Space Administration GRID grid.238252.c. [CrossRef]
- Kawakami, S.; Ohyama, H.; Arai, K.; Okumura, H.; Taura, C.; Fukamachi, T.; Sakashita, M. TCCON data from Saga (JP), Release GGG2014.R0, 2014. [CrossRef]
- Griffith, D.W.; Deutscher, N.M.; Velazco, V.A.; Wennberg, P.O.; Yavin, Y.; Keppel-Aleks, G.; Washenfelder, R.A.; Toon, G.C.; Blavier, J.F.; Paton-Walsh, C.; et al. . TCCON data from Darwin (AU), Release GGG2014.R0, 2014. Funding by National Aeronautics and Space Administration GRID grid.238252.c. [CrossRef]
- Griffith, D.W.; Velazco, V.A.; Deutscher, N.M.; Paton-Walsh, C.; Jones, N.B.; Wilson, S.R.; Macatangay, R.C.; Kettlewell, G.C.; Buchholz, R.R.; Riggenbach, M.O. TCCON data from Wollongong (AU), Release GGG2014.R0, 2014. Funding by National Aeronautics and Space Administration GRID grid.238252.c. [CrossRef]
- Pollard, D.F.; Robinson, J.; Shiona, H. TCCON data from Lauder (NZ), Release GGG2014.R0, 2019. Funding by National Institute of Water and Atmospheric Research GRID grid.419676.b. [CrossRef]
- Sherlock, V.; Connor, B.; Robinson, J.; Shiona, H.; Smale, D.; Pollard, D.F. TCCON data from Lauder (NZ), 125HR, Release GGG2014.R0, 2014. Funding by National Institute of Water and Atmospheric Research GRID grid.419676.b. [CrossRef]
- Pedregosa, F.; Varoquaux, G.; Gramfort, A.; Michel, V.; Thirion, B.; Grisel, O.; Blondel, M.; Prettenhofer, P.; Weiss, R.; Dubourg, V.; Vanderplas, J.; Passos, A.; Cournapeau, D.; Brucher, M.; Perrot, M.; Duchesnay, E. Scikit-learn: Machine Learning in Python. Journal of Machine Learning Research 2011, 12, 2825–2830. [Google Scholar]
- Borsdorff, T.; aan de Brugh, J.; Schneider, A.; Lorente, A.; Birk, M.; Wagner, G.; Kivi, R.; Hase, F.; Feist, D.G.; Sussmann, R.; Rettinger, M.; Wunch, D.; Warneke, T.; Landgraf, J. Improving the TROPOMI CO data product: update of the spectroscopic database and destriping of single orbits. Atmospheric Measurement Techniques 2019, 12, 5443–5455. [Google Scholar] [CrossRef]
- Schneider, A.; Borsdorff, T.; aan de Brugh, J.; Lorente, A.; Aemisegger, F.; Noone, D.; Henze, D.; Kivi, R.; Landgraf, J. Retrieving H2O/HDO columns over cloudy and clear-sky scenes from the Tropospheric Monitoring Instrument (TROPOMI). Atmospheric Measurement Techniques 2022, 15, 2251–2275. [Google Scholar] [CrossRef]







| Site (country) | Coordinates (lat.,lon.;°) | Altitude (m.a.s.l) | Reference |
| Sodankyla (Finland) | 67.37, 26.63 | 190 | [26,27] |
| East Trout Lake (Canada) | 54.36, | 500 | [28] |
| Karlsruhe (Germany) | 49.1, 8.44 | 110 | [29] |
| Orleans (France) | 47.97, 2.11 | 130 | [30] |
| Park Falls (USA) | 45.94, | 440 | [31] |
| Lamont (USA) | 36.6, | 320 | [32] |
| Pasadena (USA) | 34.14, | 240 | [33] |
| Edwards (USA) | 34.95, | 30 | [34] |
| Saga (Japan) | 33.24, 130.29 | 10 | [35] |
| Darwin (Australia) | , 130.93 | 30 | [36] |
| Wollongong (Australia) | , 150.88 | 30 | [37] |
| Lauder (New Zealand) | , 169.68 | 370 | [38,39] |
Disclaimer/Publisher’s Note: The statements, opinions and data contained in all publications are solely those of the individual author(s) and contributor(s) and not of MDPI and/or the editor(s). MDPI and/or the editor(s) disclaim responsibility for any injury to people or property resulting from any ideas, methods, instructions or products referred to in the content. |
© 2024 by the authors. Licensee MDPI, Basel, Switzerland. This article is an open access article distributed under the terms and conditions of the Creative Commons Attribution (CC BY) license (http://creativecommons.org/licenses/by/4.0/).
