Submitted:
31 January 2024
Posted:
01 February 2024
You are already at the latest version
Abstract
Keywords:
Introduction
Materials and Methods
Study Population and Specimens
Molecular Assays for HDV Detection and Quantification
Statistical analysis
HDV Genotyping
Ethics Approval
Results
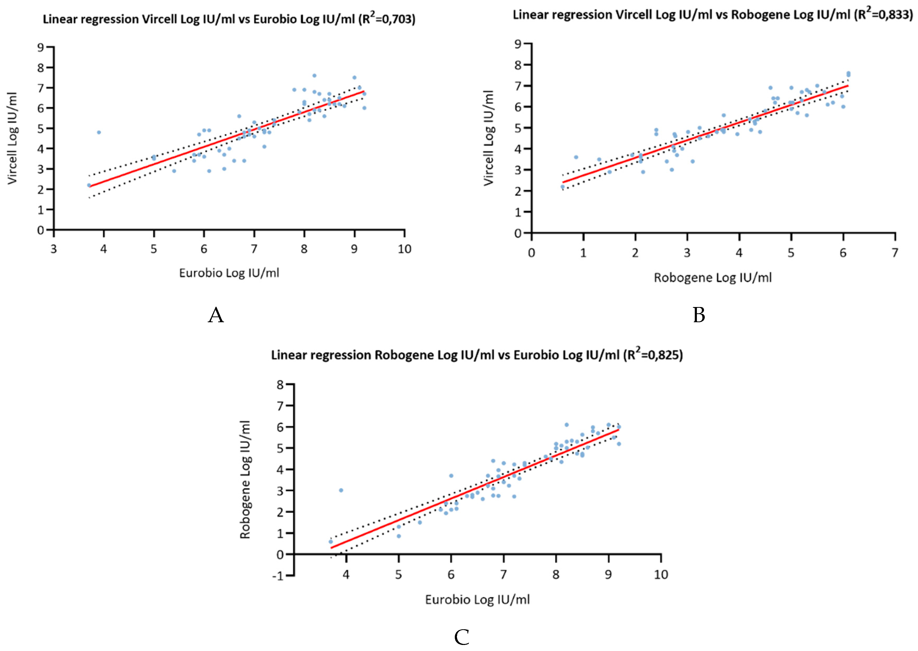
Concordance between Tests
Assay Comparison using WHO International Standard
Genotyping Analysis
Discussion
Author Contributions
Funding
Ethicts approval
Consent to participate
Consent for publication
Code availability
Availability of data and material
Acknowledgments
Competing interests
References
- Hughes, S. A.; Wedemeyer, H.; Harrison, P. M. Hepatitis Delta Virus. Lancet 2011, 378, 73–85. [Google Scholar] [CrossRef]
- Negro, F.; Suk-Fong, A. Epidemiology, clinical manifestations and diagnosis of hepatitis D virus infection - UpToDate. 2023. Available online: https://www.uptodate.com/contents/epidemiology-clinical-manifestations-and-diagnosis-of-hepatitis-d-virus-infection?search=Pathogenesis, epidemiology, natural history, and clinical manifestations of hepatitis D virus infection&source=search_result&selectedTitle=2~54&usage_type=default&display_rank=2 (accessed on 13 August 2023).
- Rizzetto, M. Hepatitis D virus (HDV) infection and disease. Clin. Lab 1989, 19, 11–26. [Google Scholar] [CrossRef]
- Alvarado-Mora, M. V.; Locarnini, S.; Rizzetto, M.; Rebello Pinho, J. R. An Update on HDV: Virology, Pathogenesis and Treatment. Antivir. Ther. 2013, 18, 541–548. [Google Scholar] [CrossRef]
- Miao, Z.; Zhang, S.; Ou, X.; et al. Estimating the Global Prevalence, Disease Progression, and Clinical Outcome of Hepatitis Delta Virus Infection. J. Infect. Dis. 2020, 221, 1677–1687. [Google Scholar] [CrossRef] [PubMed]
- Yurdaydin, C.; Abbas, Z.; Buti, M.; et al. Treating Chronic Hepatitis Delta: The Need for Surrogate Markers of Treatment Efficacy. J. Hepatol. 2019, 70, 1008–1015. [Google Scholar] [CrossRef] [PubMed]
- Urban, S.; Neumann-Haefelin, C.; Lampertico, P. Hepatitis D Virus in 2021: Virology, Immunology and New Treatment Approaches for a Difficult-to-Treat Disease. Gut 2021, 70, 1782–1794. [Google Scholar] [CrossRef]
- European Medicines Agency. Ficha Técnica o Resumen de las Características del Producto: HEPCLUDEX. Available online: https://www.ema.europa.eu/en/documents/product-information/hepcludex-epar-product-information_es.pdf (accessed on 13 May 2023).
- Kang, C.; Syed, Y.Y. Bulevirtide: First Approval. 2020, 80, 1601–1605. [Google Scholar] [CrossRef]
- EurobioPlex HDV. Eurobio Scientific. Available online: https://eurobio-scientific.eu/fr/hepatite/5185-eurobioplex-hdv.html (accessed on 13 August 2023).
- Le Gal, F.; Dziri, S.; Gerber, A.; et al. Performance Characteristics of a New Consensus Commercial Kit for Hepatitis D Virus RNA Viral Load Quantification. J. Clin. Microbiol. 2017, 55, 431–441. [Google Scholar] [CrossRef]
- RoboGene HDV RNA Quantification Kit 2.0. Roboscreen Diagnostics. 2020. Available online: https://www.roboscreen.com/fileadmin/content/Manual_qHDV-TM2_e_rev_7_WEB.pdf (accessed on 13 August 2023).
- Çelik, I.; Karatayli, E.; Çevik, E.; et al. Complete Genome Sequences and Phylogenetic Analysis of Hepatitis Delta Viruses Isolated from Nine Turkish Patients. Arch. Virol. 2011, 156, 2215–2220. [Google Scholar] [CrossRef] [PubMed]
- Da, B. L.; Heller, T.; Koh, C. Hepatitis D Infection: From Initial Discovery to Current Investigational Therapies. Gastroenterol. Rep. 2019, 7, 231–245. [Google Scholar] [CrossRef]
- Association for the Study of the Liver, E.; Rossana Brunetto, M.; Ricco, G.; et al. EASL Clinical Practice Guidelines on Hepatitis Delta Virus. J Hepatol. 2023, 79(2), 433–460. [Google Scholar] [CrossRef]
- Palom, A.; Sopena, S.; Riveiro-Barciela, M.; et al. One-Quarter of Chronic Hepatitis D Patients Reach HDV-RNA Decline or Undetectability during the Natural Course of the Disease. Aliment. Pharmacol. Ther. 2021, 54, 462–469. [Google Scholar] [CrossRef] [PubMed]
- Le Gal, F.; Brichler, S.; Sahli, R.; Chevret, S.; Gordien, E. First International External Quality Assessment for Hepatitis Delta Virus RNA Quantification in Plasma. Hepatology 2016, 64, 1483–1494. [Google Scholar] [CrossRef]
- Brichler, S.; Le Gal, F.; Butt, A.; Chevret, S.; Gordien, E. Commercial Real-Time Reverse Transcriptase PCR Assays Can Underestimate or Fail to Quantify Hepatitis Delta Virus Viremia. Clin. Gastroenterol. Hepatol. 2013, 11, 734–740. [Google Scholar] [CrossRef]


| RoboGene HDV RNA quantification kit (Roboscreen diagnostics®)* | ||||||||
|---|---|---|---|---|---|---|---|---|
| Pos | Neg | Concordance | Sensitivity (95% CI) |
Specificity (95%CI) | PPV (95% CI) |
NPV (95% CI) |
||
| EurobioPlex HDV | Pos | 61 | - | 100% | 100% (94.1 - 100%) |
100% (96.0 -100%) |
100% (94.1 - 100%) |
100% (96.0 -100%) |
| Neg | - | 90 | ||||||
| Vircell Delta RNA | Pos | 60 | - | 100% | 100% (94.0 - 100%) |
100% (96.0 – 100%) |
100% (94.0 – 100%) |
100% (96.0 -100%) |
| Neg | - | 90 | ||||||
| . | IS Concentration | |||
|---|---|---|---|---|
| 5750 IU/mL (3,76 log IU/mL) |
575 IU/mL (2,76 log IU/mL) |
23 IU/mL (1,36 log IU/mL) |
||
| Vircell Assay | Quantification log IU/mL | 4,58 | 3,83 | 2,34 |
| Difference with IS (log IU/mL) | -0,82 | -1,07 | -0,98 | |
| RoboGene Assay | Quantification log IU/mL | 2,5 | 1,19 | 0,47 |
| Difference with IS (log IU/mL) | 1,26 | 1,57 | 0,89 | |
| Eurobio Assay | Quantification log IU/mL | 2,93 | 2,65 | 2,82 |
| Difference with IS (log IU/mL) | 0,83 | 0,11 | -1,06 | |
| RoboGene-Vircell | Difference log IU/mL | -2,08 | -2,63 | -1,87 |
| Eurobio-Vircell | -1,64 | -1,18 | 0,48 | |
| Eurobio-RoboGene | 0,44 | 1,46 | 2,36 | |
Disclaimer/Publisher’s Note: The statements, opinions and data contained in all publications are solely those of the individual author(s) and contributor(s) and not of MDPI and/or the editor(s). MDPI and/or the editor(s) disclaim responsibility for any injury to people or property resulting from any ideas, methods, instructions or products referred to in the content. |
© 2024 by the authors. Licensee MDPI, Basel, Switzerland. This article is an open access article distributed under the terms and conditions of the Creative Commons Attribution (CC BY) license (http://creativecommons.org/licenses/by/4.0/).