Submitted:
29 January 2024
Posted:
31 January 2024
You are already at the latest version
Abstract
Keywords:
1. Introduction
1.1. Defining the indicators for innovation
1.2. The purpose and contributions of the current study
2. Material and Methods
2.1. Aims and overview of methodology
2.2. Data sources
2.3. Construction of variables for the TFP analysis
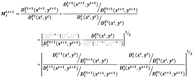
2.4. The Malmquist Index of Total Factor Productivity
- if technical change of farm is greater than 1; and
- the distance function estimates, under CRS, for the farm in the period relative to estimated technology in period are also greater than 1; and
- efficiency estimates, under (CRS, at time relative to technology at time equals 1;
- then that farm has contributed to a shift in the frontier between the two periods. Formally, this is expressed as follows:
2.5. Panel Data econometric models
3. Results
3.1. The MI of TFP and its components
3.2. Test for innovators in the sample
3.3. Decomposition of the efficiency change index into pure efficiency change and scale efficiency change
3.4. The determinants of innovation in management and innovation through human
4. Discussion
4.1. What has been driving productivity change?
4.2. Managerial and entrepreneurial efficiency
4.3. A word on economies of scale
4.4. Management and technology as drivers of innovation
4.5. A word on entrepreneurial competencies in agriculture
5. Conclusions
Supplementary Materials
| 1 | The Farm Business Survey uses a sample of farms that is representative of the national population of farms in terms of farm type, farm size and regional location (see http://www.farmbusinesssurvey.co.uk and http://www.defra.gov.uk/statistics/foodfarm/farmmanage/fbs/ for details on data collection, methodology, results, among others. Retrieved 20-Jan-24) |
| 2 | Heterogeneity in basic farming system and environmental conditions would add noise to any analysis of the efficiency with which resources are used. |
| 3 | We use using price indices based on 2010 published by the Department for Environment, Food and Rural Affairs (DEFRA) (API – Index of the purchase prices of the means of agricultural production – dataset (2010=100)) a, published as “Index of Producer Prices of Agricultural Products, UK (2005=100), publication date - 18 July 2013.” Available online: https://www.gov.uk/government/statistics/agricultural-price-indices [retrieved 22/01/2024] |
References
- Adnan, K. M. M., Ying, L., Sarker, S. A., Yu, M. (Mark), & Tama, R. A. Z. (2021). Simultaneous adoption of diversification and agricultural credit to manage catastrophic risk for maize production in Bangladesh. Environmental Science and Pollution Research, 28(41), 58258–58270. [CrossRef]
- Aguinis, H., & Kraiger, K. (2009). Benefits of Training and Development for Individuals and Teams, Organizations, and Society. Annual Review of Psychology, 60(1), 451–474. [CrossRef]
- Ajzen, I. (1991). The theory of planned behavior. Organizational Behavior and Human Decision Processes, 50(2), 179–211. [CrossRef]
- Ang, J. B., Banerjee, R., & Madsen, J. B. (2013). Innovation and Productivity Advances in British Agriculture: 1620–1850. Southern Economic Journal, 80(1), 162–186. [CrossRef]
- Artz, G., Colson, G., & Ginder, R. (2010). A return of the threshing ring? A case study of machinery and labor-sharing in Midwestern farms. Journal of Agricultural & Applied Economics, 42(4), 805.
- Balcombe, K., Davidova, S., & Latruffe, L. (2008). The use of bootstrapped Malmquist indices to reassess productivity change findings: An application to a sample of Polish farms. Applied Economics, 40(16), 2055–2061. [CrossRef]
- Banker, R. D., Charnes, A., & Cooper, W. W. (1984). Some Models for Estimating Technical and Scale Inefficiencies in Data Envelopment Analysis. Management Science, 30(9), 1078–1092. [CrossRef]
- Bergevoet, R., Giesen, G. W. J., Saatkamp, H. W., van Woerkum, C. M. J., & Huirne, R. B. M. (2005). Improving enterpreneurship in farming: The impact of a training programme in Dutch dairy farming. International Farm Management Association Congress 15, 70–80.
- Bizikova, L., Nkonya, E., Minah, M., Hanisch, M., Turaga, R. M. R., Speranza, C. I., Karthikeyan, M., Tang, L., Ghezzi-Kopel, K., Kelly, J., Celestin, A. C., & Timmers, B. (2020). A scoping review of the contributions of farmers’ organizations to smallholder agriculture. Nature Food, 1(10), Article 10. [CrossRef]
- Bjorklund, J. C. (2018). Barriers to Sustainable Business Model Innovation in Swedish Agriculture. Journal of Entrepreneurship, Management and Innovation, 14(1), 65–90. [CrossRef]
- Bogetoft, P., & Otto, L. (2010). Benchmarking with DEA, SFA, and R (Vol. 157). Springer.
- Buckwell, A., Uhre, A., Williams, A., & Polakova, J. (2014). The sustainable intensification of European agriculture.
- Byma, J. P. (2010). Exploring the Role of Managerial Ability in Influencing Dairy Farm Efficiency. Agricultural and Resource Economics Review, 39(03), 505–516. [CrossRef]
- Byma, J. P., & Tauer, L. W. (2010). Exploring the Role of Managerial Ability in Influencing Dairy Farm Efficiency. Agricultural and Resource Economics Review, 39(3), 505–516. [CrossRef]
- Charnes, A., Cooper, W. W., & Rhodes, E. (1978). Measuring the efficiency of decision making units. European Journal of Operational Research, 2(6), 429–444. [CrossRef]
- Darku, A. B., Malla, S., & Tran, K. C. (2013). Historical review of agricultural efficiency studies. CAIRN Research Network.
- Deininger, K., Jin, S., & Ma, M. (2021). Structural Transformation of the Agricultural Sector in Low- and Middle-Income Economies (SSRN Scholarly Paper 3943950). [CrossRef]
- Dhungana, B. R., Nuthall, P. L., & Nartea, G. V. (2004). Measuring the economic inefficiency of Nepalese rice farms using data envelopment analysis. Australian Journal of Agricultural and Resource Economics, 48(2), 347–369. [CrossRef]
- Dupré, M., Michels, T., & Le Gal, P.-Y. (2017). Diverse dynamics in agroecological transitions on fruit tree farms. European Journal of Agronomy, 90, 23–33. [CrossRef]
- Färe, R., Grosskopf, S., Lindgren, B., & Roos, P. (1992). Productivity changes in Swedish pharamacies 1980–1989: A non-parametric Malmquist approach. Springer.
- Färe, R., Grosskopf, S., & Lovell, C. A. K. (1994). Production frontiers. Camridge University Press, Cambridge.
- Färe, R., Grosskopf, S., Norris, M., & Zhang, Z. (1994). Productivity Growth, Technical Progress, and Efficiency Change in Industrialized Countries. The American Economic Review, 84(1), 66–83.
- Foresight, R. (2011). Foresight. The Future of Food and Farming. Final project report. The Government Office for Science, London.
- Fuglie, K. O. (2008). Is a slowdown in agricultural productivity growth contributing to the rise in commodity prices? Agricultural Economics, 39, 431–441. [CrossRef]
- Fujisawa, M., Kobayashi, K., Johnston, P., & New, M. (2015). What Drives Farmers to Make Top-Down or Bottom-Up Adaptation to Climate Change and Fluctuations? A Comparative Study on 3 Cases of Apple Farming in Japan and South Africa. PLOS ONE, 10(3), e0120563.
- Gadanakis, Y., Bennett, R., Park, J., & Areal, F. J. (2015a). Evaluating the Sustainable Intensification of arable farms. Journal of Environmental Management, 150, 288–298. [CrossRef]
- Gadanakis, Y., Bennett, R., Park, J., & Areal, F. J. F. J. (2015b). Improving productivity and water use efficiency: A case study of farms in England. Agricultural Water Management, 160, 22–32. [CrossRef]
- Gallacher, M., Goetz, S. J., & Debertin, D. L. (1994). Managerial form, ownership and efficiency: A case-study of Argentine agriculture. Agricultural Economics, 11(2), 289–299. [CrossRef]
- Gittins, P., McElwee, G., & Tipi, N. (2020). Discrete event simulation in livestock management. Journal of Rural Studies, 78, 387–398. [CrossRef]
- Giua, C., Materia, V. C., & Camanzi, L. (2020). Management information system adoption at the farm level: Evidence from the literature. British Food Journal, 123(3), 884–909. [CrossRef]
- Glendining, M. J., Dailey, A. G., Williams, A. G., Evert, F. K. van, Goulding, K. W. T., & Whitmore, A. P. (2009). Is it possible to increase the sustainability of arable and ruminant agriculture by reducing inputs? Agricultural Systems, 99(2), 117–125. [CrossRef]
- Grant, W. (2016). The Challenges Facing UK Farmers from Brexit Les défis posés par le Brexit aux agriculteurs Die Herausforderungen eines Brexit für die britischen Landwirte. EuroChoices, 15(2), 11–16. [CrossRef]
- Grifell-Tatjé, E., & Lovell, C. A. K. (1995). A note on the Malmquist productivity index. Economics Letters, 47(2), 169–175.
- Guerrero, S., & Barraud-Didier, V. (2004). High-involvement practices and performance of French firms. The International Journal of Human Resource Management, 15(8), 1408–1423. [CrossRef]
- Hall, B. F., & LeVeen, E. P. (1978). Farm Size and Economic Efficiency: The Case of California. American Journal of Agricultural Economics, 60(4), 589–600. [CrossRef]
- Hansson, H. (2008). How can farmer managerial capacity contribute to improved farm performance? A study of dairy farms in Sweden. Acta Agriculturae Scandinavica, Section C — Food Economics, 5(1), 44–61. [CrossRef]
- Kilpatrick, S. (2000). Education and training: Impacts on farm management practice. The Journal of Agricultural Education and Extension, 7(2), 105–116. [CrossRef]
- Kneip, A., Park, B. U., Simar, L., eacute, & opold. (1998). A note on the convergence of nonparametric DEA estimators for production efficiency scores. Econometric Theory, 14(06), 783–793.
- Langton, S. (2013). Dairy Farms: Economic performance and links with environmental perfromance. A report based on the Farm Business Survey. Research R. https://www.gov.uk/government/statistics/dairy-farms-economic-performance-and-links-with-environmental-performance.
- Läpple, D., & Hennessy, T. (2015). Assessing the Impact of Financial Incentives in Extension Programmes: Evidence From Ireland. Journal of Agricultural Economics, 66(3), 781–795. [CrossRef]
- Läpple, D., Renwick, A., & Thorne, F. (2015). Measuring and understanding the drivers of agricultural innovation: Evidence from Ireland. Food Policy, 51, 1–8. [CrossRef]
- Larsén, K. (2010). Effects of machinery-sharing arrangements on farm efficiency: Evidence from Sweden. Agricultural Economics, 41(5), 497–506. [CrossRef]
- Lediana, E., Perdana, T., Deliana, Y., & Sendjaja, T. P. (2023). Sustainable Entrepreneurial Intention of Youth for Agriculture Start-Up: An Integrated Model. Sustainability (Basel, Switzerland), 15(3), 2326. [CrossRef]
- Mäkinen, H. (2013). Farmers’ managerial thinking and management process effectiveness as factors of financial success on Finnish dairy farms. Agricultural and Food Science, 4, 452-465%V 22.
- Manevska-Tasevska, G., & Hansson, H. (2011). Does Managerial Behavior Determine Farm Technical Efficiency? A Case of Grape Production in an Economy in Transition. Managerial and Decision Economics, 32(6), 399–412. [CrossRef]
- Martinho, V. J. P. D. (2020). Agricultural entrepreneurship in the european union: Contributions for a sustainable development. Applied Sciences, 10(6), 2080. [CrossRef]
- Maudos, J., Pastor, J. M., & Serrano, L. (1999). Total factor productivity measurement and human capital in OECD countries. Economics Letters, 63(1), 39–44. [CrossRef]
- Mishra, A. K., & Morehart, M. J. (2001). Factors affecting returns to labor and management on U.S. dairy farms. Agricultural Finance Review, 61(2), 123–140. [CrossRef]
- Mugera, A. W., & Nyambane, G. G. (2015). Impact of debt structure on production efficiency and financial performance of Broadacre farms in Western Australia. Australian Journal of Agricultural and Resource Economics, 59(2), 208–224. [CrossRef]
- Nowak, A., Kijek, T., & Domanska, K. (2015). Technical efficiency and its determinants in the European Union agriculture. Agricultural Economics–Czech, 61(6), 275–283.
- Nuthall, P. L. (2010). Should Farmers’ Locus of Control be used in Extension? The Journal of Agricultural Education and Extension, 16(3), 281–296. [CrossRef]
- O’Donnell, C. J. (2012). An aggregate quantity framework for measuring and decomposing productivity change. Journal of Productivity Analysis, 38(3), 255–272. [CrossRef]
- O’Donnell, C. J. (2016). Using information about technologies, markets and firm behaviour to decompose a proper productivity index. Journal of Econometrics, 190(2), 328–340. [CrossRef]
- O’Donnell, C. J., Fallah-Fini, S., Triantis, K., O’Donnell, C. J., Fallah-Fini, S., & Triantis, K. (2017). Measuring and analysing productivity change in a metafrontier framework. Journal of Productivity Analysis, 47(2), 117–128. [CrossRef]
- OECD. (2005). Oslo Manual: Guidelines for Collecting and Interpreting Innovation Data. OECD Publishing. [CrossRef]
- OECD. (2013). Agricultural Innovation Systems. OECD Publishing. file:///content/book/9789264200593-en. http://dx.doi.org/10.1787/9789264200593-en. [CrossRef]
- Ojo, O. M., Hubbard, C., Wallace, M., Moxey, A., Patton, M., Harvey, D., Shrestha, S., Feng, S., Scott, C., Philippidis, G., Davis, J., & Liddon, A. (2021). Brexit: Potential impacts on the economic welfare of UK farm households. Regional Studies, 55(9), 1583–1595. [CrossRef]
- Ortiz-Bobea, A., Ault, T. R., Carrillo, C. M., Chambers, R. G., & Lobell, D. B. (2021). Anthropogenic climate change has slowed global agricultural productivity growth. Nature Climate Change, 11(4), 306–312. [CrossRef]
- Pérez Urdiales, M., Lansink, A. O., & Wall, A. (2016). Eco-efficiency Among Dairy Farmers: The Importance of Socio-economic Characteristics and Farmer Attitudes. Environmental and Resource Economics, 64(4), 559–574. [CrossRef]
- Pollak, R. A. (1985). A Transaction Cost Approach to Families and Households. Journal of Economic Literature, 23(2), 581–608.
- Poudel, D., & Pandit, N. P. (2020). Profitability and Resource Use Efficiency of Polycarp Production in Morang, Nepal. Journal of the Institute of Agriculture and Animal Science, 63–74. [CrossRef]
- Pound, B., & Conroy, C. (2017). Chapter 11—The Innovation Systems Approach to Agricultural Research and Development. In S. Snapp & B. Pound (Eds.), Agricultural Systems (Second Edition) (pp. 371–405). Academic Press. [CrossRef]
- Pretty, J., Attwood, S., Bawden, R., Berg, H. van den, Bharucha, Z. P., Dixon, J., Flora, C. B., Gallagher, K., Genskow, K., Hartley, S. E., Ketelaar, J. W., Kiara, J. K., Kumar, V., Lu, Y., MacMillan, T., Maréchal, A., Morales-Abubakar, A. L., Noble, A., Prasad, P. V. V., … Yang, P. (2020). Assessment of the growth in social groups for sustainable agriculture and land management. Global Sustainability, 3, e23. [CrossRef]
- Rahman, S., Anik, A. R., & Sarker, J. R. (2022). Climate, Environment and Socio-Economic Drivers of Global Agricultural Productivity Growth. Land, 11(4), Article 4. [CrossRef]
- Rakhra, M., Sanober, S., Quadri, N. N., Verma, N., Ray, S., & Asenso, E. (2022). Implementing Machine Learning for Smart Farming to Forecast Farmers’ Interest in Hiring Equipment. Journal of Food Quality, 2022, e4721547. 2154. [CrossRef]
- Rbr. (2010). Farm Business Management Practives in England—Results from the 2007 / 08 Farm Business Survey.
- Rose, D. C., Sutherland, W. J., Parker, C., Lobley, M., Winter, M., Morris, C., Twining, S., Ffoulkes, C., Amano, T., & Dicks, L. V. (2016). Decision support tools for agriculture: Towards effective design and delivery. Agricultural Systems, 149, 165–174. [CrossRef]
- Savastano, M., Samo, A. H., Channa, N. A., & Amendola, C. (2022). Toward a Conceptual Framework to Foster Green Entrepreneurship Growth in the Agriculture Industry. Sustainability, 14(7), Article 7. [CrossRef]
- Scognamillo, A., Mastrorillo, M., & Ignaciuk, A. (2022). Reducing vulnerability to weather shocks through social protection – Evidence from the implementation of Productive Safety Net Programme (PSNP) in Ethiopia. FAO. [CrossRef]
- Simar, L., & Wilson, P. W. (1998a). Productivity growth in industrialized countries. Université catholique de Louvain, Center for Operations Research and Econometrics (CORE). http://ideas.repec.org/p/cor/louvco/1998036.html.
- Simar, L., & Wilson, P. W. (1998b). Sensitivity analysis of efficiency scores: How to bootstrap in nonparametric frontier models. Management Science, 44(1), 49–61. [CrossRef]
- Simar, L., & Wilson, P. W. (1999). Of Course We Can Bootstrap DEA Scores! But Does It Mean Anything? Logic Trumps Wishful Thinking. Journal of Productivity Analysis, 11(1), 93–97. [CrossRef]
- Simar, L., & Wilson, P. W. (2011). Two-stage DEA: caveat emptor. Journal of Productivity Analysis, 36(2), 205–218.
- Solano, C., León, H., Pérez, E., Tole, L., Fawcett, R. H., & Herrero, M. (2006). Using farmer decision-making profiles and managerial capacity as predictors of farm management and performance in Costa Rican dairy farms. Agricultural Systems, 88(2), 395–428. [CrossRef]
- Song, W., Han, Z., & Deng, X. (2016). Changes in productivity, efficiency and technology of China’s crop production under rural restructuring. Journal of Rural Studies, 47, 563–576. [CrossRef]
- Soteriades, A. D., Stott, A. W., Moreau, S., Charroin, T., Blanchard, M., Liu, J., & Faverdin, P. (2016). The Relationship of Dairy Farm Eco-Efficiency with Intensification and Self-Sufficiency. Evidence from the French Dairy Sector Using Life Cycle Analysis, Data Envelopment Analysis and Partial Least Squares Structural Equation Modelling. PLOS ONE, 11(11), e0166445. [CrossRef]
- Stefanides, Z., & Tauer, L. W. (1999). The Empirical Impact of Bovine Somatotropin on a Group of New York Dairy Farms. American Journal of Agricultural Economics, 81(1), 95–102. 1). [CrossRef]
- Stup, R. E., Hyde, J., & Holden, L. A. (2006). Relationships Between Selected Human Resource Management Practices and Dairy Farm Performance. Journal of Dairy Science, 89(3), 1116–1120. [CrossRef]
- Tauer, L. W., & Lordkipanidze, N. (2000). Farmer efficiency and technology use with age. Agricultural and Resource Economics Review, 29(1), 24–31.
- Thephavanh, M., Philp, J. N. M., Nuberg, I., Denton, M., & Larson, S. (2023). Perceptions of the Institutional and Support Environment amongst Young Agricultural Entrepreneurs in Laos. Sustainability, 15(5), Article 5. [CrossRef]
- Thirtle, C., Lin Lin, L., Holding, J., Jenkins, L., & Piesse, J. (2004). Explaining the Decline in UK Agricultural Productivity Growth. Journal of Agricultural Economics, 55(2), 343–366. [CrossRef]
- Thirtle, C., Piesse, J., & Schimmelpfennig, D. (2008). Modeling the length and shape of the R&D lag: An application to UK agricultural productivity. Agricultural Economics, 39(1), 73–85. [CrossRef]
- Trip, G., Thijssen, G. J., Renkema, J. A., & Huirne, R. B. M. (2002). Measuring managerial efficiency: The case of commercial greenhouse growers. Agricultural Economics, 27(2), 175–181. [CrossRef]
- van der Gaast, K., van Leeuwen, E., & Wertheim-Heck, S. (2022). Food systems in transition: Conceptualizing sustainable food entrepreneurship. International Journal of Agricultural Sustainability, 20(5), 705–721. [CrossRef]
- Vanhuyse, F., Bailey, A., & Tranter, R. (2021). Management practices and the financial performance of farms. Agricultural Finance Review, 81(3), 415–429. [CrossRef]
- Vasileiadis, V. P., Sattin, M., Otto, S., Veres, A., Pálinkás, Z., Ban, R., Pons, X., Kudsk, P., van der Weide, R., Czembor, E., Moonen, A. C., & Kiss, J. (2011). Crop protection in European maize-based cropping systems: Current practices and recommendations for innovative Integrated Pest Management. Agricultural Systems, 104(7), 533–540. [CrossRef]
- Warr, P., & Suphannachart, W. (2021). Agricultural Productivity Growth and Poverty Reduction: Evidence from Thailand. Journal of Agricultural Economics, 72(2), 525–546. [CrossRef]
- Wheelock, D. C., & Wilson, P. W. (1999). Technical Progress, Inefficiency, and Productivity Change in U.S. Banking, 1984-1993. Journal of Money, Credit and Banking, 31(2), 212–234. [CrossRef]
- Yoon, B. K., Tae, H., Jackman, J. A., Guha, S., Kagan, C. R., Margenot, A. J., Rowland, D. L., Weiss, P. S., & Cho, N.-J. (2021). Entrepreneurial Talent Building for 21st Century Agricultural Innovation. ACS Nano, 15(7), 10748–10758. [CrossRef]
- Zezza, A., Henke, R., Lai, M., Petriccione, G., Solazzo, R., Sturla, A., Vagnozzi, A., Vanino, S., Viganò, L., Smit, B., Meer, R. van der, Poppe, K., Lana, M., Weltin, M., & Piorr, A. (2017). Research for AGRI Committee—Policy support for productivity vs sustainability in EU agriculture: Towards viable farming and green growth. Policy Department. http://www.europarl.europa.eu/supporting-analyses.



| Description of indicator | Literature source |
|---|---|
| Management practices | |
| Business planning/benchmarking | (Langton, 2013; Mäkinen, 2013; Simar & Wilson, 2011; Vanhuyse et al., 2021) |
| Knowledge acquisition use of information sources | (Dupré et al., 2017; Giua et al., 2020; Hansson, 2008; Läpple & Hennessy, 2015; Rahman et al., 2022) |
| Use of business management advice | (Mishra & Morehart, 2001; Simar & Wilson, 2011; Solano et al., 2006) |
| Machinery sharing | (Artz et al., 2010; Hall & LeVeen, 1978; Larsén, 2010; Rakhra et al., 2022) |
| Setting goals/targets for business | (Dhungana et al., 2004; Pound & Conroy, 2017) |
| Use of integrated pest management (IPM) | (Buckwell et al., 2014; Vasileiadis et al., 2011) |
| Risk management | (Adnan et al., 2021; Mishra & Morehart, 2001; Nuthall, 2010; Rbr, 2010) |
| Monitoring and evaluation | (Giua et al., 2020; Hansson, 2008; Manevska-Tasevska & Hansson, 2011; Trip et al., 2002) |
| Record keeping | (Giua et al., 2020; Pound & Conroy, 2017; Trip et al., 2002) |
| Training for IT skills | (Langton, 2013; Rahman et al., 2022) |
| Investment in training programmes (non-IT) | (Aguinis & Kraiger, 2009; Bergevoet et al., 2005; Guerrero & Barraud-Didier, 2004; Kilpatrick, 2000; Stup et al., 2006; Yoon et al., 2021) |
| Changes to standard operating procedures | (Deininger et al., 2021; Dupré et al., 2017; Fujisawa et al., 2015; Stup et al., 2006) |




Disclaimer/Publisher’s Note: The statements, opinions and data contained in all publications are solely those of the individual author(s) and contributor(s) and not of MDPI and/or the editor(s). MDPI and/or the editor(s) disclaim responsibility for any injury to people or property resulting from any ideas, methods, instructions or products referred to in the content. |
© 2024 by the authors. Licensee MDPI, Basel, Switzerland. This article is an open access article distributed under the terms and conditions of the Creative Commons Attribution (CC BY) license (http://creativecommons.org/licenses/by/4.0/).
