Submitted:
29 January 2024
Posted:
29 January 2024
You are already at the latest version
Abstract
Keywords:
1. Introduction
2. Materials and Methods
2.1. Study Design
2.2. Search Strategy
2.3. Data Extraction and Data Analysis
3. Results
3.1. Impact on BPD outcome
3.2. Impact on Length of Stay and Ventilator Days
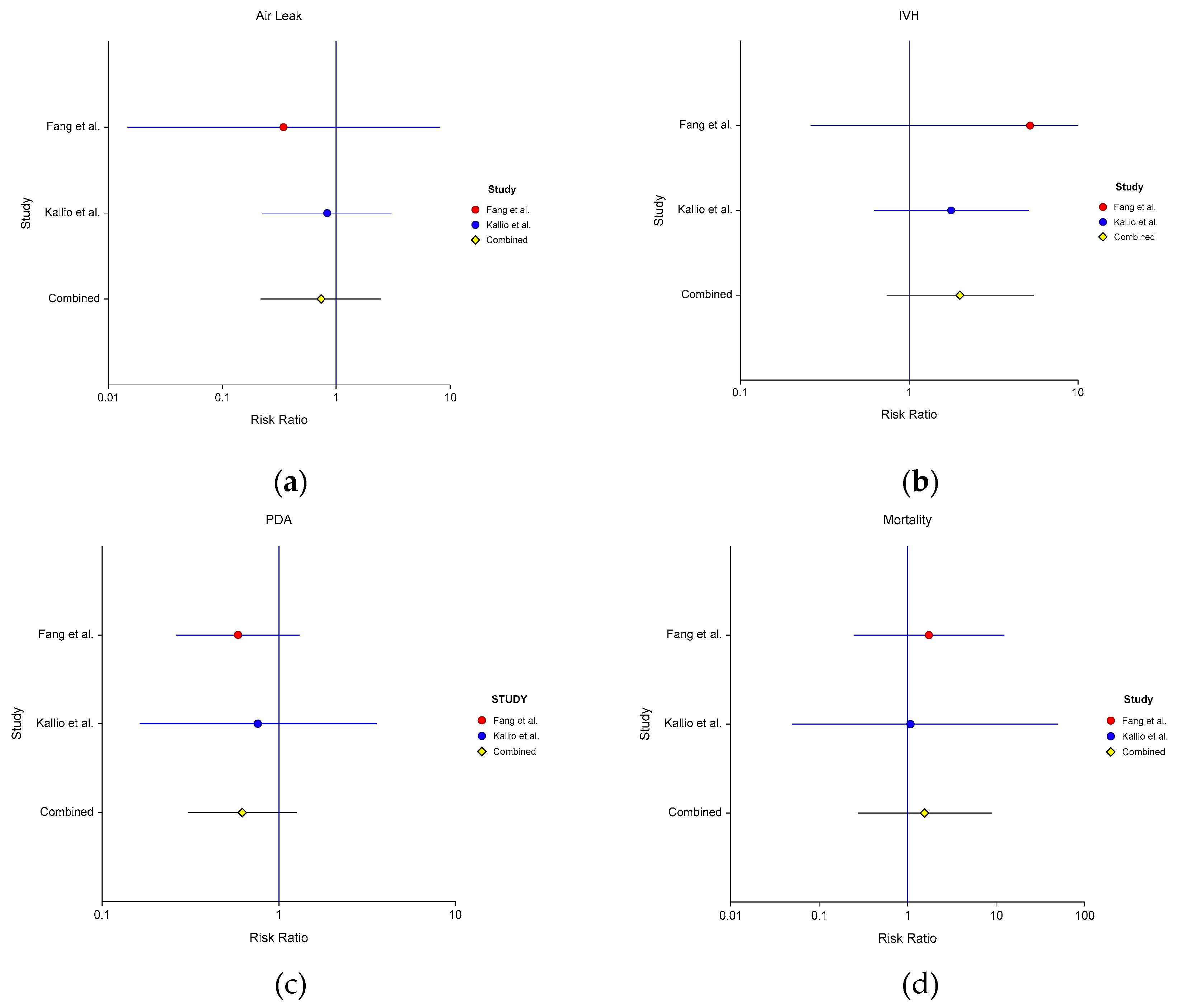
3.3. Impact on Adverse Events
3.4. Impact on ventilator variables
4. Discussion
5. Conclusions
Author Contributions
Funding
Institutional Review Board Statement
Informed Consent Statement
Conflicts of Interest
References
- Blanch, L.; Villagra, A.; Sales, B.; Montanya, J.; Lucangelo, U.; Luján, M.; et al. Asynchronies during mechanical ventilation are associated with mortality. Intensive Care Med. 2015, 41, 633–41. [Google Scholar] [CrossRef]
- Bosma, K.; Ferreyra, G.; Ambrogio, C.; Pasero, D.; Mirabella, L.; Braghiroli, A.; et al. Patient-ventilator interaction and sleep in mechanically ventilated patients: pressure support versus proportional assist ventilation. Crit Care Med. 2007, 35, 1048–54. [Google Scholar] [CrossRef]
- Colombo, D.; Cammarota, G.; Alemani, M.; Carenzo, L.; Barra, F.L.; Vaschetto, R.; et al. Efficacy of ventilator waveforms observation in detecting patient-ventilator asynchrony. Crit Care Med. 2011, 39, 2452–7. [Google Scholar] [CrossRef]
- de Wit, M.; Miller, K.B.; Green, D.A.; Ostman, H.E.; Gennings, C.; Epstein, S.K. Ineffective triggering predicts increased duration of mechanical ventilation. Crit Care Med. 2009, 37, 2740–5. [Google Scholar] [CrossRef] [PubMed]
- Epstein, S.K. How often does patient-ventilator asynchrony occur and what are the consequences? Respir Care. 2011, 56, 25–38. [Google Scholar] [CrossRef]
- Kyo, M.; Shimatani, T.; Hosokawa, K.; Taito, S.; Kataoka, Y.; Ohshimo, S.; et al. Patient-ventilator asynchrony, impact on clinical outcomes and effectiveness of interventions: a systematic review and meta-analysis. J. Intensive Care 2021, 9, 50. [Google Scholar] [CrossRef] [PubMed]
- Levine, S.; Nguyen, T.; Taylor, N.; Friscia, M.E.; Budak, M.T.; Rothenberg, P.; et al. Rapid disuse atrophy of diaphragm fibers in mechanically ventilated humans. N Engl J Med. 2008, 358, 1327–35. [Google Scholar] [CrossRef] [PubMed]
- Neumann, P.; Wrigge, H.; Zinserling, J.; Hinz, J.; Maripuu, E.; Andersson, L.G.; et al. Spontaneous breathing affects the spatial ventilation and perfusion distribution during mechanical ventilatory support. Crit Care Med. 2005, 33, 1090–5. [Google Scholar] [CrossRef] [PubMed]
- Petrof, B.J.; Hussain, S.N. Ventilator-induced diaphragmatic dysfunction: what have we learned? Curr Opin Crit Care. 2016, 22, 67–72. [Google Scholar] [CrossRef] [PubMed]
- Putensen, C.; Zech, S.; Wrigge, H.; Zinserling, J.; Stüber, F.; Von Spiegel, T.; et al. Long-term effects of spontaneous breathing during ventilatory support in patients with acute lung injury. Am J Respir Crit Care Med. 2001, 164, 43–9. [Google Scholar] [CrossRef]
- Radell, P.; Edström, L.; Stibler, H.; Eriksson, L.I.; Ansved, T. Changes in diaphragm structure following prolonged mechanical ventilation in piglets. Acta Anaesthesiol Scand. 2004, 48, 430–7. [Google Scholar] [CrossRef] [PubMed]
- Thille, A.W.; Rodriguez, P.; Cabello, B.; Lellouche, F.; Brochard, L. Patient-ventilator asynchrony during assisted mechanical ventilation. Intensive Care Med. 2006, 32, 1515–22. [Google Scholar] [CrossRef] [PubMed]
- Wrigge, H.; Zinserling, J.; Neumann, P.; Defosse, J.; Magnusson, A.; Putensen, C.; et al. Spontaneous breathing improves lung aeration in oleic acid-induced lung injury. Anesthesiology 2003, 99, 376–84. [Google Scholar] [CrossRef]
- Jobe, A.H.; Bancalari, E. Bronchopulmonary dysplasia. Am J Respir Crit Care Med. 2001, 163, 1723–9. [Google Scholar] [CrossRef]
- Govindaswami, B.; Nudelman, M.; Narasimhan, S.R.; Huang, A.; Misra, S.; Urquidez, G.; et al. Eliminating Risk of Intubation in Very Preterm Infants with Noninvasive Cardiorespiratory Support in the Delivery Room and Neonatal Intensive Care Unit. Biomed Res Int. 2019, 2019, 5984305. [Google Scholar] [CrossRef] [PubMed]
- Goldsmith, J.P.; Karotkin, E.; Suresh, G.; Keszler, M. Assisted ventilation of the neonate; Elsevier Health Sciences, 2016. [Google Scholar]
- Finer, N.N.; Carlo, W.A.; Walsh, M.C.; Rich, W.; Gantz, M.G.; Laptook, A.R.; et al. Early CPAP versus surfactant in extremely preterm infants. N Engl J Med. 2010, 362, 1970–9. [Google Scholar] [CrossRef] [PubMed]
- Sinderby, C.; Navalesi, P.; Beck, J.; Skrobik, Y.; Comtois, N.; Friberg, S.; et al. Neural control of mechanical ventilation in respiratory failure. Nat Med. 1999, 5, 1433–6. [Google Scholar] [CrossRef] [PubMed]
- Sinderby, C.; Beck, J.C. Chapter 13. Neurally Adjusted Ventilatory Assist. In Tobin MJ, editor. Principles and Practice of Mechanical Ventilation, 3rd ed.; The McGraw-Hill Companies: New York, NY, USA, 2013. [Google Scholar]
- ATS/ERS Statement on respiratory muscle testing. Am J Respir Crit Care Med. 2002, 166, 518–624. [CrossRef]
- Mally, P.V.; Beck, J.; Sinderby, C.; Caprio, M.; Bailey, S.M. Neural Breathing Pattern and Patient-Ventilator Interaction During Neurally Adjusted Ventilatory Assist and Conventional Ventilation in Newborns. Pediatr Crit Care Med. 2018, 19, 48–55. [Google Scholar] [CrossRef]
- Longhini, F.; Ferrero, F.; De Luca, D.; Cosi, G.; Alemani, M.; Colombo, D.; et al. Neurally adjusted ventilatory assist in preterm neonates with acute respiratory failure. Neonatology. 2015, 107, 60–7. [Google Scholar] [CrossRef]
- Matlock, D.N.; Bai, S.; Weisner, M.D.; Comtois, N.; Beck, J.; Sinderby, C.; et al. Work of Breathing in Premature Neonates: Noninvasive Neurally-Adjusted Ventilatory Assist versus Noninvasive Ventilation. Respir Care. 2020, 65, 946–53. [Google Scholar] [CrossRef] [PubMed]
- Beck, J.; Reilly, M.; Grasselli, G.; Mirabella, L.; Slutsky, A.S.; Dunn, M.S.; et al. Patient-ventilator interaction during neurally adjusted ventilatory assist in low birth weight infants. Pediatr Res. 2009, 65, 663–8. [Google Scholar] [CrossRef] [PubMed]
- Breatnach, C.; Conlon, N.P.; Stack, M.; Healy, M.; O’Hare, B.P. A prospective crossover comparison of neurally adjusted ventilatory assist and pressure-support ventilation in a pediatric and neonatal intensive care unit population. Pediatr Crit Care Med. 2010, 11, 7–11. [Google Scholar] [CrossRef] [PubMed]
- Alander, M.; Peltoniemi, O.; Pokka, T.; Kontiokari, T. Comparison of pressure-, flow-, and NAVA-triggering in pediatric and neonatal ventilatory care. Pediatr Pulmonol. 2012, 47, 76–83. [Google Scholar] [CrossRef] [PubMed]
- Sinderby, C.A.; Beck, J.C.; Lindström, L.H.; Grassino, A.E. Enhancement of signal quality in esophageal recordings of diaphragm EMG. J Appl Physiol. 1997, 82, 1370–7. [Google Scholar] [CrossRef] [PubMed]
- Beck, J.; Sinderby, C.; Weinberg, J.; Grassino, A. Effects of muscle-to-electrode distance on the human diaphragm electromyogram. J Appl Physiol. 1995, 79, 975–85. [Google Scholar] [CrossRef] [PubMed]
- Stein, H.; Firestone, K.; Beck, J. Neurally Adjusted Ventilatory Assist (NAVA) Ventilation. In Manual of Neonatal Respiratory Care; Donn, S.M., Mammel, M.C., van Kaam, A.H.L.C., Eds.; Springer International Publishing: Cham, Switzerland, 2022; pp. 443–454. [Google Scholar]
- Shi, Y.; Muniraman, H.; Biniwale, M.; Ramanathan, R. A Review on Non-invasive Respiratory Support for Management of Respiratory Distress in Extremely Preterm Infants. Front Pediatr. 2020, 8, 270. [Google Scholar] [CrossRef]
- Baez Hernandez, N.; Milad, A.; Li, Y.; Van Bergen, A.H. Utilization of Neurally Adjusted Ventilatory Assist (NAVA) Mode in Infants and Children Undergoing Congenital Heart Surgery: A Retrospective Review. Pediatr Cardiol. 2019, 40, 563–9. [Google Scholar] [CrossRef]
- Baudin, F.; Emeriaud, G.; Essouri, S.; Beck, J.; Javouhey, E.; Guerin, C. Neurally adjusted ventilatory assist decreases work of breathing during non-invasive ventilation in infants with severe bronchiolitis. Crit Care 2019, 23, 120. [Google Scholar] [CrossRef]
- Crulli, B.; Khebir, M.; Toledano, B.; Vobecky, S.; Poirier, N.; Emeriaud, G. Neurally Adjusted Ventilatory Assist After Pediatric Cardiac Surgery: Clinical Experience and Impact on Ventilation Pressures. Respir Care 2018, 63, 208–14. [Google Scholar] [CrossRef]
- Gibu, C.K.; Cheng, P.Y.; Ward, R.J.; Castro, B.; Heldt, G.P. Feasibility and physiological effects of noninvasive neurally adjusted ventilatory assist in preterm infants. Pediatr Res. 2017, 82, 650–7. [Google Scholar] [CrossRef]
- Hunt, K.A.; Dassios, T.; Greenough, A. Proportional assist ventilation (PAV) versus neurally adjusted ventilator assist (NAVA): effect on oxygenation in infants with evolving or established bronchopulmonary dysplasia. Eur J Pediatr. 2020, 179, 901–8. [Google Scholar] [CrossRef]
- Kallio, M.; Mahlman, M.; Koskela, U.; Aikio, O.; Suo-Palosaari, M.; Pokka, T.; et al. NIV NAVA versus Nasal CPAP in Premature Infants: A Randomized Clinical Trial. Neonatology 2019, 116, 380–4. [Google Scholar] [CrossRef] [PubMed]
- McKinney, R.L.; Keszler, M.; Truog, W.E.; Norberg, M.; Sindelar, R.; Wallström, L.; et al. Multicenter Experience with Neurally Adjusted Ventilatory Assist in Infants with Severe Bronchopulmonary Dysplasia. Am J Perinatol. 2021, 38, e162–e6. [Google Scholar] [CrossRef]
- Meinen, R.D.; Alali, Y.I.; Al-Subu, A.; Wilhelm, M.; Wraight, C.L.; McAdams, R.M.; et al. Neurally-Adjusted Ventilatory Assist Can Facilitate Extubation in Neonates With Congenital Diaphragmatic Hernia. Respir Care. 2021, 66, 41–9. [Google Scholar] [CrossRef] [PubMed]
- Nam, S.K.; Lee, J.; Jun, Y.H. Neural feedback is insufficient in preterm infants during neurally adjusted ventilatory assist. Pediatr Pulmonol. 2019, 54, 1277–83. [Google Scholar] [CrossRef]
- Oda, A.; Kamei, Y.; Hiroma, T.; Nakamura, T. Neurally adjusted ventilatory assist in extremely low-birthweight infants. Pediatr Int. 2018, 60, 844–8. [Google Scholar] [CrossRef]
- Protain, A.P.; Firestone, K.S.; McNinch, N.L.; Stein, H.M. Evaluating peak inspiratory pressures and tidal volume in premature neonates on NAVA ventilation. Eur J Pediatr. 2021, 180, 167–75. [Google Scholar] [CrossRef]
- Rosterman, J.L.; Pallotto, E.K.; Truog, W.E.; Escobar, H.; Meinert, K.A.; Holmes, A.; et al. The impact of neurally adjusted ventilatory assist mode on respiratory severity score and energy expenditure in infants: a randomized crossover trial. J. Perinatol. 2018, 38, 59–63. [Google Scholar] [CrossRef]
- Page, M.J.; McKenzie, J.E.; Bossuyt, P.M.; Boutron, I.; Hoffmann, T.C.; Mulrow, C.D.; et al. The PRISMA 2020 statement: an updated guideline for reporting systematic reviews. BMJ 2021, 372, n71. [Google Scholar] [CrossRef] [PubMed]
- Fang, S.J.; Su, C.H.; Liao, D.L.; Chen, C.C.; Chung, M.Y.; Chen, F.S.; et al. Neurally adjusted ventilatory assist for rapid weaning in preterm infants. Pediatr Int. 2023, 65, e15360. [Google Scholar] [CrossRef]
- Kallio, M.; Koskela, U.; Peltoniemi, O.; Kontiokari, T.; Pokka, T.; Suo-Palosaari, M.; et al. Neurally adjusted ventilatory assist (NAVA) in preterm newborn infants with respiratory distress syndrome-a randomized controlled trial. Eur J Pediatr. 2016, 175, 1175–83. [Google Scholar] [CrossRef] [PubMed]
- Lee, J.; Kim, H.S.; Sohn, J.A.; Lee, J.A.; Choi, C.W.; Kim, E.K.; et al. Randomized crossover study of neurally adjusted ventilatory assist in preterm infants. J Pediatr. 2012, 161, 808–13. [Google Scholar] [CrossRef]
- Oda, A.; Parikka, V.; Lehtonen, L.; Azimi, S.; Porres, I.; Soukka, H. Neurally adjusted ventilatory assist in ventilated very preterm infants: A crossover study. Pediatr Pulmonol. 2021, 56, 3857–62. [Google Scholar] [CrossRef] [PubMed]
- Stein, H.; Alosh, H.; Ethington, P.; White, D.B. Prospective crossover comparison between NAVA and pressure control ventilation in premature neonates less than 1500 grams. J Perinatol. 2013, 33, 452–6. [Google Scholar] [CrossRef]
- Shetty, S.; Hunt, K.; Peacock, J.; Ali, K.; Greenough, A. Crossover study of assist control ventilation and neurally adjusted ventilatory assist. Eur J Pediatr. 2017, 176, 509–13. [Google Scholar] [CrossRef]
- Jung, Y.H.; Kim, H.S.; Lee, J.; Shin, S.H.; Kim, E.K.; Choi, J.H. Neurally Adjusted Ventilatory Assist in Preterm Infants With Established or Evolving Bronchopulmonary Dysplasia on High-Intensity Mechanical Ventilatory Support: A Single-Center Experience. Pediatr Crit Care Med. 2016, 17, 1142–6. [Google Scholar] [CrossRef]
- Higgins, R.D.; Jobe, A.H.; Koso-Thomas, M.; Bancalari, E.; Viscardi, R.M.; Hartert, T.V.; et al. Bronchopulmonary Dysplasia: Executive Summary of a Workshop. J Pediatr. 2018, 197, 300–8. [Google Scholar] [CrossRef] [PubMed]
- Nuthakki, S.; Ahmad, K.; Johnson, G.; Cuevas Guaman, M. Bronchopulmonary Dysplasia: Ongoing Challenges from Definitions to Clinical Care. J Clin Med. 2023, 12. [Google Scholar] [CrossRef]
- Jensen, E.A.; Schmidt, B. Epidemiology of bronchopulmonary dysplasia. Birth Defects Res A Clin Mol Teratol. 2014, 100, 145–57. [Google Scholar] [CrossRef]
- Onland, W.; Debray, T.P.; Laughon, M.M.; Miedema, M.; Cools, F.; Askie, L.M.; et al. Clinical prediction models for bronchopulmonary dysplasia: a systematic review and external validation study. BMC Pediatr. 2013, 13, 207. [Google Scholar] [CrossRef] [PubMed]
- Romijn, M.; Dhiman, P.; Finken, M.J.J.; van Kaam, A.H.; Katz, T.A.; Rotteveel, J.; et al. Prediction Models for Bronchopulmonary Dysplasia in Preterm Infants: A Systematic Review and Meta-Analysis. J Pediatr. 2023, 258, 113370. [Google Scholar] [CrossRef] [PubMed]
- Kwok, T.C.; Batey, N.; Luu, K.L.; Prayle, A.; Sharkey, D. Bronchopulmonary dysplasia prediction models: a systematic review and meta-analysis with validation. Pediatr Res. 2023, 94, 43–54. [Google Scholar] [CrossRef] [PubMed]





| Study, Year | Study Type |
Inclusion, Exclusion, and Comparison Criteria | Sample Size | BW (g) Mean ± SD or Median (Range) | GA (weeks) Median |
Enrollment age Median (Range) |
|---|---|---|---|---|---|---|
| Fang, 2022 [44] | RCT | GA < 32 weeks, intubated for delivery room resuscitation. Exclusion: Lethal anomalies, BW < 500g. Comparison: SIMV or SIMV PS |
53 | 1207.9 ± 47.2 | 29.0 ± 0.3 | < 24 hrs |
| Kallio, 2016 [45] | RCT | GA 28 - 36 6/7 weeks, on invasive ventilation for RDS for at least 4 hrs. Exclusion: Diaphragm defects, inability to insert gastric tube, severe asphyxia, chromosomal abnormalities Comparison: Patient-triggered PC ventilation |
60 | 1735.9 ± 812 |
31.6 ± 2.6 | 9.3 (2.3 -49) days |
| Lee, 2012 [46] |
Randomized Crossover |
GA < 37 weeks, on invasive ventilation with spontaneous breathing Exclusion: Major anomalies, IVH (grade III+), phrenic nerve palsy. Comparison: SIMV with PS (4 hours crossover) |
19 | 1210 (670-2580) | 29.1 (25 - 36.4) | 7 (2-70) days |
| Oda, 2021 [47] |
Observational Crossover | GA < 30 weeks, on invasive ventilation with desaturation events. Exclusion: Major anomalies Comparison: SIMV + PS (3 hours crossover) |
20 | 610 (400–1160) | 26 4/7 (23 - 29 3/7) | 20 (1–82) days |
| Stein 2013 [48] |
Prospective Crossover | Low birth weight infants on invasive ventilation. Comparison: PCV (4 hours crossover) |
5 | 697 (370 –1140) | 26.2 (25–29) | 24 (6–34) days |
| Rosterman 2018 [42] | Randomized Crossover | GA >22 weeks, stable on MV. Exclusion: Phrenic nerve palsy, respiratory suppression due to sedation or neurologic compromise. Comparison: SIMV (PC)+PS (12h crossover) |
22 | 734 (432 to 3165) | 26 4/7 (23 to 39) | 40 (3 to 135) days |
| Hunt 2020 [35] |
Crossover | Born < 32 weeks, ventilated beyond 1 week. Comparison: A/C or SIMV (2 h crossover) |
18 | 750 [454–950] | 25.3 [23.6–30.3] | 20.5 (8–58) days |
| Shetty 2017 [49] | Retrospective | GA < 32 weeks, on invasive ventilation for > 2 weeks Comparison: A/C or SIMV |
9 | 750 (545–830) | 25 (22–27) | 20 (8–84) days |
| Jung 2020 [50] |
Retrospective | GA < 32 weeks on mechanical ventilation with RSS > 4 Comparison: SIMV-PC (PS) – (pre- and post-NAVA conversion) |
29 | 680 (370–1,230) | 25.4 (23.4–30.3) | 32.1 (26.4–43.3) days |
Disclaimer/Publisher’s Note: The statements, opinions and data contained in all publications are solely those of the individual author(s) and contributor(s) and not of MDPI and/or the editor(s). MDPI and/or the editor(s) disclaim responsibility for any injury to people or property resulting from any ideas, methods, instructions or products referred to in the content. |
© 2024 by the authors. Licensee MDPI, Basel, Switzerland. This article is an open access article distributed under the terms and conditions of the Creative Commons Attribution (CC BY) license (http://creativecommons.org/licenses/by/4.0/).