Submitted:
21 January 2024
Posted:
23 January 2024
Read the latest preprint version here
Abstract
Keywords:
Introduction
Methods
{"role": "system", "content": "We are going to play a game. In this game, I will give you a pair of letters called the sample (e.g. sample: FF), followed by two additional pairs of letters called the match (e.g. match: QQ | FH). Given the sample, your goal is to guess which pair of letters from the match sets are correct. After each round you will be told if your guess was correct or incorrect. Responses should be formatted like the following examples..."},
{"role": "user", "content": "sample: AA , match: AB | CC "},
{"role": "assistant", "content": "My guess is: CC "},
{"role": "system", "content": "Correct! "},
{"role": "user", "content": "sample: FJ , match: AB | CC "},
{"role": "assistant", "content": "My guess is: AB "},
{"role": "system", "content": "Correct! "},
{"role": "user", "content": "sample: QQ , match: WJ | KK "}'
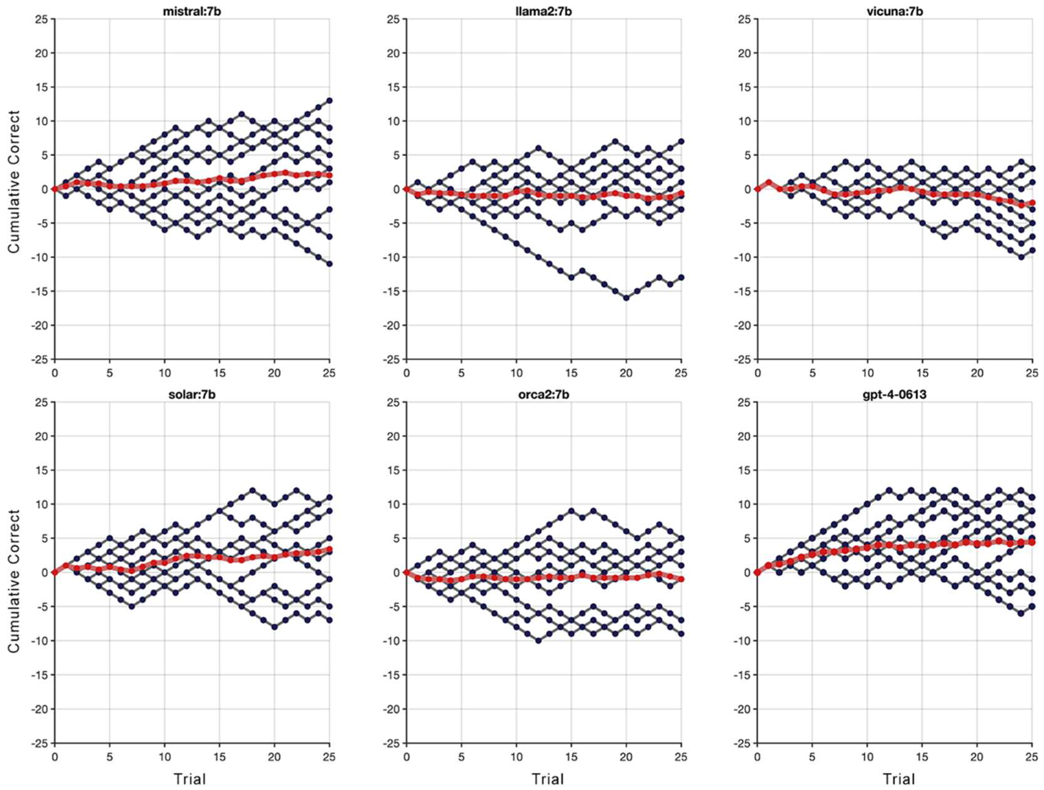
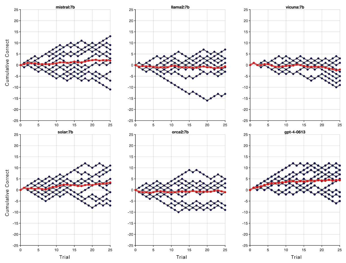
Results




Discussion

- Simultaneous Same-Different (S/D) Task: In this task, subjects are trained to respond differently based on whether two presented stimuli are the same or different, and includes the RMTS test.
- Analogical Reasoning Tests: These assess the ability to draw parallels between different sets of relations, beyond mere perceptual similarity.
- Transitive Inference Tasks: These tasks test the ability to infer relationships between elements based on their positions within a sequence.
- Hierarchical Reasoning: Evaluates the ability to understand and reason about hierarchical structures.
- The Physical Causality Task: This evaluates understanding of physical causation principles.
- The Social Learning and Imitation Task: Assesses the capacity for learning through observation of others' actions.
- The Theory of Mind Tasks: These are designed to test the understanding that others have beliefs, desires, and intentions different from one's own.
Conflicts of Interest
| 1 | |
| 2 | |
| 3 |
Link to full GPT4 conversation: https://chat.openai.com/share/a99df312-31f4-4cd9-beec-2cd95be58179
Link to full GPT3.5 conversation: https://chat.openai.com/share/790b425f-368e-4acf-a206-717019c6736d
|
| 4 | Link to GPT4 conversation https://chat.openai.com/share/0b008c03-4d91-4a8c-8287-e1a84a265abb
|
| 5 | A solution to the wolf, goat, and cabbage riddle would be: (1) take the goat over, (2) return empty-handed, (3) take the cabbage over, (4) return with the goat, (5) take the wolf over, (6) return with nothing, and finally (7) take the goat over. |
References
- D. C. Penn, K. J. Holyoak and D. J. Povinelli, "Darwin’s mistake: Explaining the discontinuity between human and nonhuman minds," Behavioral and Brain Sciences, vol. 31, pp. 109-178, 2008. [CrossRef]
- C. Darwin, "The descent of man, and selection in relation to sex.," John Murray, 1871.
- M. Bekoff, C. Allen and G. Burghardt, "The Cognitive Animal," MIT Press, 2002.
- M. Pepperberg, "Intelligence and rationality in parrots. Rational Animals?," Oxford University Press, pp. 469-488, 2005.
- J. D. Smith, W. E. Shields and D. A. Washburn, "The comparative psychology of uncertainty monitoring and metacognition," Behavioral and Brain Sciences, vol. 26, pp. 317-373, 2003. [CrossRef]
- Tomasello, J. Call and B. Hare, "Chimpanzees understand psychological states – The question is which ones and to what extent.," Trends in Cognitive Sciences, vol. 7, no. 4, pp. 153-156, 2003. [CrossRef]
- D. J. Smith, B. N. Jackson and B. A. Church, "Breaking the Perceptual-Conceptual Barrier: Relational Matching and Working Memory," Memory & Cognition, vol. 47, no. 3, pp. 544-560, 2019. [CrossRef]
- E. A. Wasserman and M. Young, "Same-different discrimination: The keel and backbone of thought and reasoning," Journal of Experimental Psychology, vol. 36, pp. 3-22, 2010. [CrossRef]
- J. Locke, An essay concerning human understanding, Philadelphia, PA: Troutman & Hayes, 1690.
- W. James, The principles of psychology, New York, NY: Dover, 1890.
- G. S. Halford, W. H. Wilson and S. Phillips, "Relational knowledge: The foundation of higher cognition," Trends in Cognitive Sciences, vol. 14, pp. 497-505, 2010. [CrossRef]
- G. J. and I. Litvan, "Importance of deficits in executive functions," Lancet, vol. 354, pp. 1921-1923, 1999. [CrossRef]
- OpenAI, "GPT-4 Technical Report," arXiv, 2023.
- D. Premack, "Animal cognition," Annual Review of Psychology, vol. 34, pp. 351-362, 1983.
- Shivaram, R. Shao, N. Simms, S. Hespos and D. Gentner, "When do Children Pass the Relational-Match-To-Sample Task?," Proceedings of the Annual Meeting of the Cognitive Science Society, 2023.
- D. E. Carter and T. J. Werner, "Complex learning and information processing by pigeons: A critical analysis," Journal of the Experimental Analysis of Behavior, no. 29, pp. 565-601, 1978. [CrossRef]
- P. W. Holmes, "Transfer of matching performance in pigeons," Journal of the Experimental Analysis of Behavior, vol. 31, pp. 103-114, 1979. [CrossRef]
- D. A. Washburn and D. M. Rumbaugh, "Rhesus monkey (Macaca mulatto) complex learning skills reassessed," International Journal of Primatology, vol. 12, pp. 377-388, 1991. [CrossRef]
- D. M. R. and M. Columbo, "On the limits of the matching concept in monkeys (Cebus apella)," Journal of the Experimental Analysis of Behavior, no. 52, pp. 225-236, 1989. [CrossRef]
- J. S. Katz, A. A. Wright and J. Bachevalier, "Mechanisms of same/different abstract-concept learning by rhesus monkeys (Macaca mulatta)," Journal of Experimental Psychology: Animal Behavior Processes, vol. 28, pp. 358-368, 2002. [CrossRef]
- W. E. Shields, J. D. Smith and D. A. Washburn, "Uncertain responses by humans and rhesus monkeys (Macaca mulatta) in a psychophysical same-different task," Journal of Experimental Psychology, vol. 126, pp. 147-164, 1997. [CrossRef]
- Gentner, Shao, Simms and Hespos, "Learning Same and Different Relations: Cross-Species Comparisons," Current Opinions in Behavioral Sciences, vol. 37, pp. 84-89, 2001. [CrossRef]
- M. Ascher, "A River-Crossing Problem in Cross-Cultural Perspective," Mathematics Magazine, vol. 63, no. 1, pp. 26-29, 1990. [CrossRef]
- "River crossing puzzle," [Online]. Available: https://en.wikipedia.org/wiki/River_crossing_puzzle. [Accessed 18 December 2023].
- "Wolf, goat, and cabbage problem," [Online]. Available: https://en.wikipedia.org/wiki/Wolf,_goat_and_cabbage_problem. [Accessed 18 December 2023].

Disclaimer/Publisher’s Note: The statements, opinions and data contained in all publications are solely those of the individual author(s) and contributor(s) and not of MDPI and/or the editor(s). MDPI and/or the editor(s) disclaim responsibility for any injury to people or property resulting from any ideas, methods, instructions or products referred to in the content. |
© 2024 by the authors. Licensee MDPI, Basel, Switzerland. This article is an open access article distributed under the terms and conditions of the Creative Commons Attribution (CC BY) license (http://creativecommons.org/licenses/by/4.0/).