Submitted:
18 January 2024
Posted:
19 January 2024
You are already at the latest version
Abstract
Keywords:
1. Introduction
2. Materials and Methods
2.1. Study Area
2.2. Soil Respiration Measurements
2.3. Statistical Analysis
3. Results
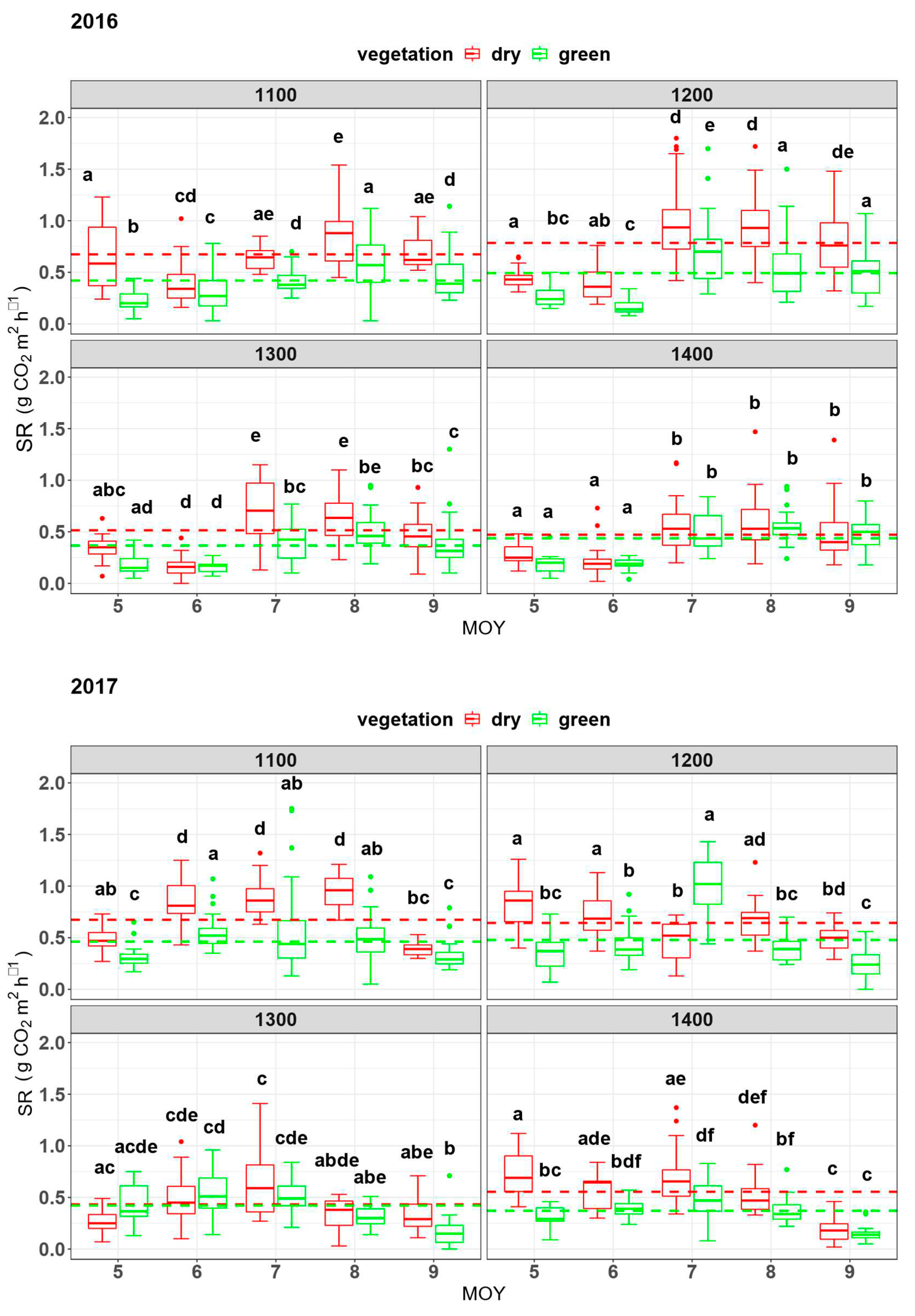
3.1. Spatial Dynamics of SR
3.2. Temporal Dynamics of SR
3.3. Years and Vegetation Status Comparisons
4. Discussion
5. Conclusions
Author Contributions
Funding
Acknowledgments
Conflicts of Interest
References
- Canadell, J.G.; Monteiro, P.M.S.; Costa, M.H.; da Cunha, L.C.; Cox, P.M.; Eliseev, A.V.; Henson, S.; Ishii, M.; Jaccard, S.; Koven, C.; Lohila, A.; Patra, P.K.; Piao, S.; Rogelj, J.; Syampungani, S.; Zaehle, S.; Zickfeld, K. , Global Carbon and other Biogeochemical Cycles and Feedbacks. In Climate Change 2021: The Physical Science Basis. Contribution of Working Group I to the Sixth Assessment Report of the Intergovernmental Panel on Climate Change [Masson-Delmotte, V., P. Zhai, A. Pirani, S.L. Connors, C. Péan, S. Berger, N. Caud, Y. Chen, L. Goldfarb, M.I. Gomis, M. Huang, K. Leitzell, E. Lonnoy, J.B.R. Matthews, T.K. Maycock, T. Waterfield, O. Yelekçi, R. Yu, and B. Zhou (eds.)] Cambridge University Press, Cambridge, United Kingdom and New York, NY, USA, 2021, pp. 673–816. [CrossRef]
- Pan, Y.; Birdsey, R.A.; Fang, J.; Houghton, R.; Kauppi, P.E.; Kurz, W.A.; Phillips, O.L.; Shvidenko, A.; Lewis, S.L.; Canadell, J.G.; Ciais, P.; Jackson, R.B.; Pacala, S.W.; McGuire, A.D.; Piao, S.; Rautiainen, A.; Sitch, S.; Hayes, D. A Large and Persistent Carbon Sink in the World’s Forests. Science 2011, 333, 988–993. [Google Scholar] [CrossRef]
- Kirschbaum, M. Will Changes in Soil Organic Carbon Act as a Positive or Negative Feedback on Global Warming? Biogeochemistry 2000, 48, 21–51. [Google Scholar] [CrossRef]
- Hashimoto, S. A New Estimation of Global Soil Greenhouse Gas Fluxes Using a Simple Data-Oriented Model. PLoS ONE 2012, 7, e41962. [Google Scholar] [CrossRef]
- Bond-Lamberty, B.; Thomson, A. Temperature-Associated Increases in the Global Soil Respiration Record. Nature 2010, 464, 579–582. [Google Scholar] [CrossRef]
- Ritchie, H.; Roser, M.; Forest Area. Our World in Data 2023. Available online: https://ourworldindata.org/forest-area (accessed on 26 December 2023).
- IPCC. 2021: Summary for Policymakers. In Climate Change 2021: The Physical Science Basis. Contribution of Working Group I to the Sixth Assessment Report of the Intergovernmental Panel on Climate Change; Masson- Delmotte, V., P. Zhai, A. Pirani, S.L. Connors, C. Péan, S. Berger, N. Caud, Y. Chen, L. Goldfarb, M.I. Gomis, M. Huang, K. Leitzell, E. Lonnoy, J.B.R. Matthews, T.K. Maycock, T. Waterfield, O. Yelekçi, R. Yu, and B. Zhou (eds.)]. Cambridge University Press, Cambridge, United Kingdom and New York, NY, USA, 2021, pp. 3−32. [CrossRef]
- IPCC, 2022: Summary for Policymakers [H.-O. Pörtner, D.C. Roberts, E.S. Poloczanska, K. Mintenbeck, M. Tignor, A. Alegría, M. Craig, S. Langsdorf, S. Löschke, V. Möller, A. Okem (eds.)]. In Climate Change 2022: Impacts, Adaptation and Vulnerability. Contribution of Working Group II to the Sixth Assessment Report of the Intergovernmental Panel on Climate Change [H.-O. Pörtner, D.C. Roberts, M. Tignor, E.S. Poloczanska, K. Mintenbeck, A. Alegría, M. Craig, S. Langsdorf, S. Löschke, V. Möller, A. Okem, B. Rama (eds.)]. Cambridge University Press, Cambridge, UK and New York, NY, USA, 2022, pp. 3–33. [CrossRef]
- Jakoby, O.; Lischke, H.; Wermelinger, B. Climate Change Alters Elevational Phenology Patterns of the European Spruce Bark Beetle (Ips Typographus). Glob. Chang. Biol. 2019, 25, 4048–4063. [Google Scholar] [CrossRef]
- Romashkin, I.; Neuvonen, S.; Tikkanen, O. Northward Shift in Temperature Sum Isoclines May Favour Ips Typographus Outbreaks in European Russia. Agric. For. Entomol. 2020, 22, 238–249. [Google Scholar] [CrossRef]
- Marini, L.; Ayres, M.P.; Battisti, A.; Faccoli, M. Climate Affects Severity and Altitudinal Distribution of Outbreaks in an Eruptive Bark Beetle. Clim. Change 2012, 115, 327–341. [Google Scholar] [CrossRef]
- Seidl, R.; Schelhaas, M.-J.; Rammer, W.; Verkerk, P.J. Increasing Forest Disturbances in Europe and Their Impact on Carbon Storage. Nat. Clim Change 2014, 4, 806–810. [Google Scholar] [CrossRef]
- Hlásny, T.; König, L.; Krokene, P.; Lindner, M.; Montagné-Huck, C.; Müller, J.; Qin, H.; Raffa, K.F.; Schelhaas, M.-J.; Svoboda, M.; Viiri, H.; Seidl, R. Bark Beetle Outbreaks in Europe: State of Knowledge and Ways Forward for Management. Curr. For. Rep. 2021, 7, 138–165. [Google Scholar] [CrossRef]
- Trubin, A.; Mezei, P.; Zabihi, K.; Surový, P.; Jakuš, R. Northernmost European Spruce Bark Beetle Ips Typographus Outbreak: Modelling Tree Mortality Using Remote Sensing and Climate Data. For. Ecol. Manag. 2022, 505, 119829. [Google Scholar] [CrossRef]
- Bright, B.C.; Hicke, J.A.; Meddens, A.J.H. Effects of Bark Beetle-caused Tree Mortality on Biogeochemical and Biogeophysical MODIS Products. JGR Biogeosciences 2013, 118, 974–982. [Google Scholar] [CrossRef]
- Edburg, S.L.; Hicke, J.A.; Brooks, P.D.; Pendall, E.G.; Ewers, B.E.; Norton, U.; Gochis, D.; Gutmann, E.D.; Meddens, A.J. Cascading Impacts of Bark Beetle-caused Tree Mortality on Coupled Biogeophysical and Biogeochemical Processes. Front. Ecol. Environ. 2012, 10, 416–424. [Google Scholar] [CrossRef]
- Kurz, W.A.; Dymond, C.C.; Stinson, G.; Rampley, G.J.; Neilson, E.T.; Carroll, A.L.; Ebata, T.; Safranyik, L. Mountain Pine Beetle and Forest Carbon Feedback to Climate Change. Nature 2008, 452, 987–990. [Google Scholar] [CrossRef]
- Moore, D.J.P.; Trahan, N.A.; Wilkes, P.; Quaife, T.; Stephens, B.B.; Elder, K.; Desai, A.R.; Negron, J.; Monson, R.K. Persistent Reduced Ecosystem Respiration after Insect Disturbance in High Elevation Forests. Ecol. Lett. 2013, 16, 731–737. [Google Scholar] [CrossRef]
- Xiong, Y.; D’Atri, J.J.; Fu, S.; Xia, H.; Seastedt, T.R. Rapid Soil Organic Matter Loss from Forest Dieback in a Subalpine Coniferous Ecosystem. Soil Biol. Biochem. 2011, 43, 2450–2456. [Google Scholar] [CrossRef]
- Cigan, P.W.; Karst, J.; Cahill, J.F.; Sywenky, A.N.; Pec, G.J.; Erbilgin, N. Influence of Bark Beetle Outbreaks on Nutrient Cycling in Native Pine Stands in Western Canada. Plant Soil 2015, 390, 29–47. [Google Scholar] [CrossRef]
- Högberg, M.N.; Högberg, P. Extramatrical Ectomycorrhizal Mycelium Contributes One-third of Microbial Biomass and Produces, Together with Associated Roots, Half the Dissolved Organic Carbon in a Forest Soil. New Phytol. 2002, 154, 791–795. [Google Scholar] [CrossRef]
- Kobler, J.; Jandl, R.; Dirnböck, T.; Mirtl, M.; Schindlbacher, A. Effects of Stand Patchiness Due to Windthrow and Bark Beetle Abatement Measures on Soil CO2 Efflux and Net Ecosystem Productivity of a Managed Temperate Mountain Forest. Eur. J. For. Res. 2015, 134, 683–692. [Google Scholar] [CrossRef]
- Trahan, N.A.; Dynes, E.L.; Pugh, E.; Moore, D.J.P.; Monson, R.K. Changes in Soil Biogeochemistry Following Disturbance by Girdling and Mountain Pine Beetles in Subalpine Forests. Oecologia 2015, 177, 981–995. [Google Scholar] [CrossRef]
- Morehouse, K.; Johns, T.; Kaye, J.; Kaye, M. Carbon and Nitrogen Cycling Immediately Following Bark Beetle Outbreaks in Southwestern Ponderosa Pine Forests. For. Ecol. Manag. 2008, 255, 2698–2708. [Google Scholar] [CrossRef]
- Reed, D.E.; Ewers, B.E.; Pendall, E. Impact of Mountain Pine Beetle Induced Mortality on Forest Carbon and Water Fluxes. Environ. Res. Lett. 2014, 9, 105004. [Google Scholar] [CrossRef]
- Mayer, M.; Matthews, B.; Rosinger, C.; Sandén, H.; Godbold, D.L.; Katzensteiner, K. Tree Regeneration Retards Decomposition in a Temperate Mountain Soil after Forest Gap Disturbance. Soil Biol. Biochem. 2017, 115, 490–498. [Google Scholar] [CrossRef]
- Hursh, A.; Ballantyne, A.; Cooper, L.; Maneta, M.; Kimball, J.; Watts, J. The Sensitivity of Soil Respiration to Soil Temperature, Moisture, and Carbon Supply at the Global Scale. Glob. Chang. Biol. 2017, 23, 2090–2103. [Google Scholar] [CrossRef]
- Chen, S.; Huang, Y.; Zou, J.; Shen, Q.; Hu, Z.; Qin, Y.; Chen, H.; Pan, G. Modeling Interannual Variability of Global Soil Respiration from Climate and Soil Properties. Agric. For. Meteorol. 2010, 150, 590–605. [Google Scholar] [CrossRef]
- Tang, J.; Bradford, M.A.; Carey, J.; Crowther, T.W.; Machmuller, M.B.; Mohan, J.E.; Todd-Brown, K. Temperature Sensitivity of Soil Carbon. In Ecosystem Consequences of Soil Warming; Elsevier, 2019; pp 175–208. [CrossRef]
- Wang, G.; Zhao, M.; Kang, M.; Xing, K.; Wang, Y.; Xue, F.; Chen, C. Diurnal and Seasonal Variation of the Elevation Gradient of Air Temperature in the Northern Flank of the Western Qinling Mountain Range, China. J. Mt. Sci. 2017, 14, 94–105. [Google Scholar] [CrossRef]
- Chen, B.-X.; Sun, Y.-F.; Zhang, H.-B.; Han, Z.-H.; Wang, J.-S.; Li, Y.-K.; Yang, X.-L. Temperature Change along Elevation and Its Effect on the Alpine Timberline Tree Growth in the Southeast of the Tibetan Plateau. Adv. Clim. Chang. Res. 2018, 9, 185–191. [Google Scholar] [CrossRef]
- Luo, S.; Liu, G.; Li, Z.; Hu, C.; Gong, L.; Wang, M.; Hu, H. Soil Respiration along an Altitudinal Gradient in a Subalpine Secondary Forest in China. iForest 2015, 8, 526–532. [Google Scholar] [CrossRef]
- Badraghi, A.; Ventura, M.; Polo, A.; Borruso, L.; Giammarchi, F.; Montagnani, L. Soil Respiration Variation along an Altitudinal Gradient in the Italian Alps: Disentangling Forest Structure and Temperature Effects. PLoS ONE 2021, 16, e0247893. [Google Scholar] [CrossRef]
- Makita, N.; Kosugi, Y.; Sakabe, A.; Kanazawa, A.; Ohkubo, S.; Tani, M. Seasonal and Diurnal Patterns of Soil Respiration in an Evergreen Coniferous Forest: Evidence from Six Years of Observation with Automatic Chambers. PLoS ONE 2018, 13, e0192622. [Google Scholar] [CrossRef]
- Jamnická, G.; Konôpková, A.; Fleischer, P.; Kurjak, D.; Petrík, P.; Petek, A.; Húdoková, H.; Fleischer, P.; Homolová, Z.; Ježík, M.; Ditmarová, Ľ. Physiological Vitality of Norway Spruce ( Picea Abies L.) Stands along an Altitudinal Gradient in Tatra National Park. Cent. Eur. For. J. 2020, 66, 227–242. [Google Scholar] [CrossRef]
- Fleischer, P.; Homolová, Z. Long-term research on ecological condition in the larch-spruce forest in High Tatras after natural disturbances. Lesn. Časopis 2011, 57, 237–250. [Google Scholar]
- R Core Team. R: A language and environment for statistical computing. R Foundation for Statistical Computing, Vienna, Austria, 2021. URL https://www.R-project.org/.
- Elkin, L.A.; Kay, M.; Higgins, J.J.; Wobbrock, J.O. An Aligned Rank Transform Procedure for Multifactor Contrast Tests. In The 34th Annual ACM Symposium on User Interface Software and Technology; ACM: Virtual Event, USA, 2021. [Google Scholar] [CrossRef]
- Mayer, M.; Matthews, B.; Schindlbacher, A.; Katzensteiner, K. Soil CO2 efflux from Mountainous Windthrow Areas: Dynamics over 12 Years Post-Disturbance. Biogeosciences 2014, 11, 6081–6093. [Google Scholar] [CrossRef]
- Zheng, X.; Zhao, C.; Peng, S.; Jian, S.; Liang, B.; Wang, X.; Yang, S.; Wang, C.; Peng, H.; Wang, Y. Soil CO2 Efflux along an Elevation Gradient in Qinghai Spruce Forests in the Upper Reaches of the Heihe River, Northwest China. Environ. Earth Sci 2014, 71, 2065–2076. [Google Scholar] [CrossRef]
- Högberg, P.; Nordgren, A.; Buchmann, N.; Taylor, A.F.S.; Ekblad, A.; Högberg, M.N.; Nyberg, G.; Ottosson-Löfvenius, M.; Read, D.J. Large-Scale Forest Girdling Shows That Current Photosynthesis Drives Soil Respiration. Nature 2001, 411, 789–792. [Google Scholar] [CrossRef]
- Levy-Varon, J.H.; Schuster, W.S.F.; Griffin, K.L. Rapid Rebound of Soil Respiration Following Partial Stand Disturbance by Tree Girdling in a Temperate Deciduous Forest. Oecologia 2014, 174, 1415–1424. [Google Scholar] [CrossRef]
- Borkhuu, B.; Peckham, S.D.; Ewers, B.E.; Norton, U.; Pendall, E. Does Soil Respiration Decline Following Bark Beetle Induced Forest Mortality? Evidence from a Lodgepole Pine Forest. Agric. For. Meteorol. 2015, 214–215, 201–207. [Google Scholar] [CrossRef]
- Speckman, H.N.; Frank, J.M.; Bradford, J.B.; Miles, B.L.; Massman, W.J.; Parton, W.J.; Ryan, M.G. Forest Ecosystem Respiration Estimated from Eddy Covariance and Chamber Measurements under High Turbulence and Substantial Tree Mortality from Bark Beetles. Glob. Chang. Biol. 2015, 21, 708–721. [Google Scholar] [CrossRef]
- Brouillard, B.M.; Mikkelson, K.M.; Bokman, C.M.; Berryman, E.M.; Sharp, J.O. Extent of Localized Tree Mortality Influences Soil Biogeochemical Response in a Beetle-Infested Coniferous Forest. Soil Biol. Biochem. 2017, 114, 309–318. [Google Scholar] [CrossRef]
- Han, M.; Feng, J.; Chen, Y.; Sun, L.; Fu, L.; Zhu, B. Mycorrhizal Mycelial Respiration: A Substantial Component of Soil Respired CO2. Soil Biol. Biochem. 2021, 163, 108454. [Google Scholar] [CrossRef]
- Klutsch, J.G.; Negrón, J.F.; Costello, S.L.; Rhoades, C.C.; West, D.R.; Popp, J.; Caissie, R. Stand Characteristics and Downed Woody Debris Accumulations Associated with a Mountain Pine Beetle (Dendroctonus Ponderosae Hopkins) Outbreak in Colorado. For. Ecol. Manag. 2009, 258, 641–649. [Google Scholar] [CrossRef]
- Norton, U.; Ewers, B.E.; Borkhuu, B.; Brown, N.R.; Pendall, E. Soil Nitrogen Five Years after Bark Beetle Infestation in Lodgepole Pine Forests. Soil Sci. Soc. Am. J. 2015, 79, 282–293. [Google Scholar] [CrossRef]
- Mayer, M.; Sandén, H.; Rewald, B.; Godbold, D.L.; Katzensteiner, K. Increase in Heterotrophic Soil Respiration by Temperature Drives Decline in Soil Organic Carbon Stocks after Forest Windthrow in a Mountainous Ecosystem. Funct. Ecol. 2017, 31, 1163–1172. [Google Scholar] [CrossRef]
- Maurer, G.E.; Chan, A.M.; Trahan, N.A.; Moore, D.J.P.; Bowling, D.R. Carbon Isotopic Composition of Forest Soil Respiration in the Decade Following Bark Beetle and Stem Girdling Disturbances in the Rocky Mountains. Plant Cell Environ. 2016, 39, 1513–1523. [Google Scholar] [CrossRef]




| contrast | p.value | sig. | ||||
|---|---|---|---|---|---|---|
| 2016 | vegetation/altitude | dry,1100 | - | green,1100 | 9.490750e-15 | *** |
| mean/sd | 0.708/0.298 | - | 0.422/0.239 | |||
| vegetation/altitude | dry,1200 | - | green,1200 | 2.471856e-09 | *** | |
| mean/sd | 0.836/0.374 | - | 0.492/0.314 | |||
| vegetation/altitude | dry,1300 | - | green,1300 | 0.000040e-05 | *** | |
| mean/sd | 0.515/0.276 | - | 0.367/0.216 | |||
| vegetation/altitude | dry,1400 | - | green,1400 | 1.000000e+00 | ns | |
| mean/sd | 0.472/0.270 | - | 0.437/0.203 | |||
| 2017 | vegetation/altitude | dry,1100 | - | green,1100 | 2.135766e-09 | *** |
| mean/sd | 0.674/0.27 | - | 0.462/0.254 | |||
| vegetation/altitude | dry,1200 | - | green,1200 | 8.329859e-09 | *** | |
| mean/sd | 0.643/0.236 | - | 0.478/0.306 | |||
| vegetation/altitude | dry,1300 | - | green,1300 | 1.000000e+00 | ns | |
| mean/sd | 0.433/0.251 | - | 0.422/0.227 | |||
| vegetation/altitude | dry,1400 | - | green,1400 | 0.000033e-05 | *** | |
| mean/sd | 0.555/0.281 | - | 0.371/0.174 | |||
| contrast | p.value | sig. | ||||
|---|---|---|---|---|---|---|
| 2016 | vegetation/MOY | dry,5 | - | green,5 | 5.285897e-16 | *** |
| mean/sd | 0.473/0.256 | - | 0.223/0.1 | |||
| vegetation/MOY | dry,6 | - | green,6 | 5.226800e-02 | ns | |
| mean/sd | 0.316/0.205 | - | 0.247/0.157 | |||
| vegetation/MOY | dry,7 | - | green,7 | 4.568729e-07 | *** | |
| mean/sd | 0.725/0.337 | - | 0.528/0.267 | |||
| vegetation/MOY | dry,8 | - | green,8 | 1.838438e-09 | *** | |
| mean/sd | 0.772/0.304 | - | 0.565/0.231 | |||
| vegetation/MOY | dry,9 | - | green,9 | 9.547313e-06 | *** | |
| mean/sd | 0.606/0.291 | - | 0.456/0.217 | |||
| 2017 | vegetation/MOY | dry,5 | - | green,5 | 1.805378e-10 | *** |
| mean/sd | 0.56/0.258 | - | 0.346/0.146 | |||
| vegetation/MOY | dry,6 | - | green,6 | 7.586355e-04 | *** | |
| mean/sd | 0.637/0.257 | - | 0.498/0.179 | |||
| vegetation/MOY | dry,7 | - | green,7 | 5.109233e-02 | ns | |
| mean/sd | 0.667/0.278 | - | 0.604/0.35 | |||
| vegetation/MOY | dry,8 | - | green,8 | 1.117026e-06 | *** | |
| mean/sd | 0.622/0.288 | - | 0.42/0.183 | |||
| vegetation/MOY | dry,9 | - | green,9 | 1.727742e-03 | ** | |
| mean/sd | 0.352/0.167 | - | 0.25/0.154 | |||
| contrast | p.value | sig. | |||
|---|---|---|---|---|---|
| vegetation/year | dry,2016 | - | dry,2017 | 7.938475e-01 | ns |
| mean/sd | 0.625/0.335 | - | 0.576/275 | ||
| vegetation/year | dry,2016 | - | green,2016 | 2.101335e-12 | *** |
| mean/sd | 0.625/0.335 | - | 0.428/0.248 | ||
| vegetation/year | dry,2017 | - | green,2017 | 1.911597e-07 | *** |
| mean/sd | 0.576/275 | - | 0.438/0.249 | ||
| vegetation/year | green,2016 | - | green,2017 | 7.938475e-01 | ns |
| mean/sd | 0.428/0.248 | - | 0.438/0.249 | ||
Disclaimer/Publisher’s Note: The statements, opinions and data contained in all publications are solely those of the individual author(s) and contributor(s) and not of MDPI and/or the editor(s). MDPI and/or the editor(s) disclaim responsibility for any injury to people or property resulting from any ideas, methods, instructions or products referred to in the content. |
© 2024 by the authors. Licensee MDPI, Basel, Switzerland. This article is an open access article distributed under the terms and conditions of the Creative Commons Attribution (CC BY) license (http://creativecommons.org/licenses/by/4.0/).