Submitted:
12 January 2024
Posted:
12 January 2024
You are already at the latest version
Abstract
Keywords:
1. Introduction
2. Materials and Methods
Participants
Experimental set-up, tasks and conditions
Raw data processing
Experimental variables
Statistics
3. Results
Description of the biomechanical traces
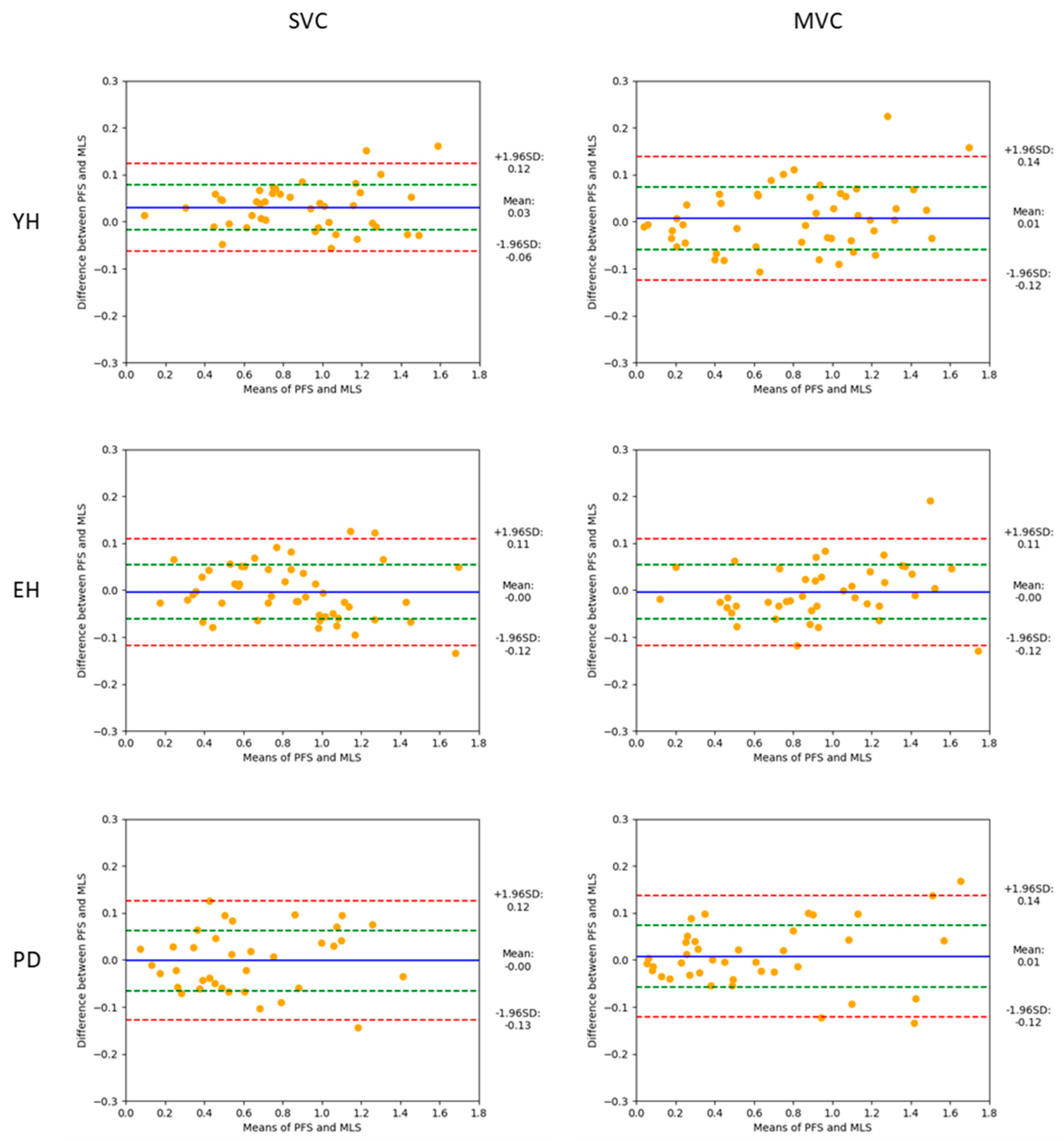
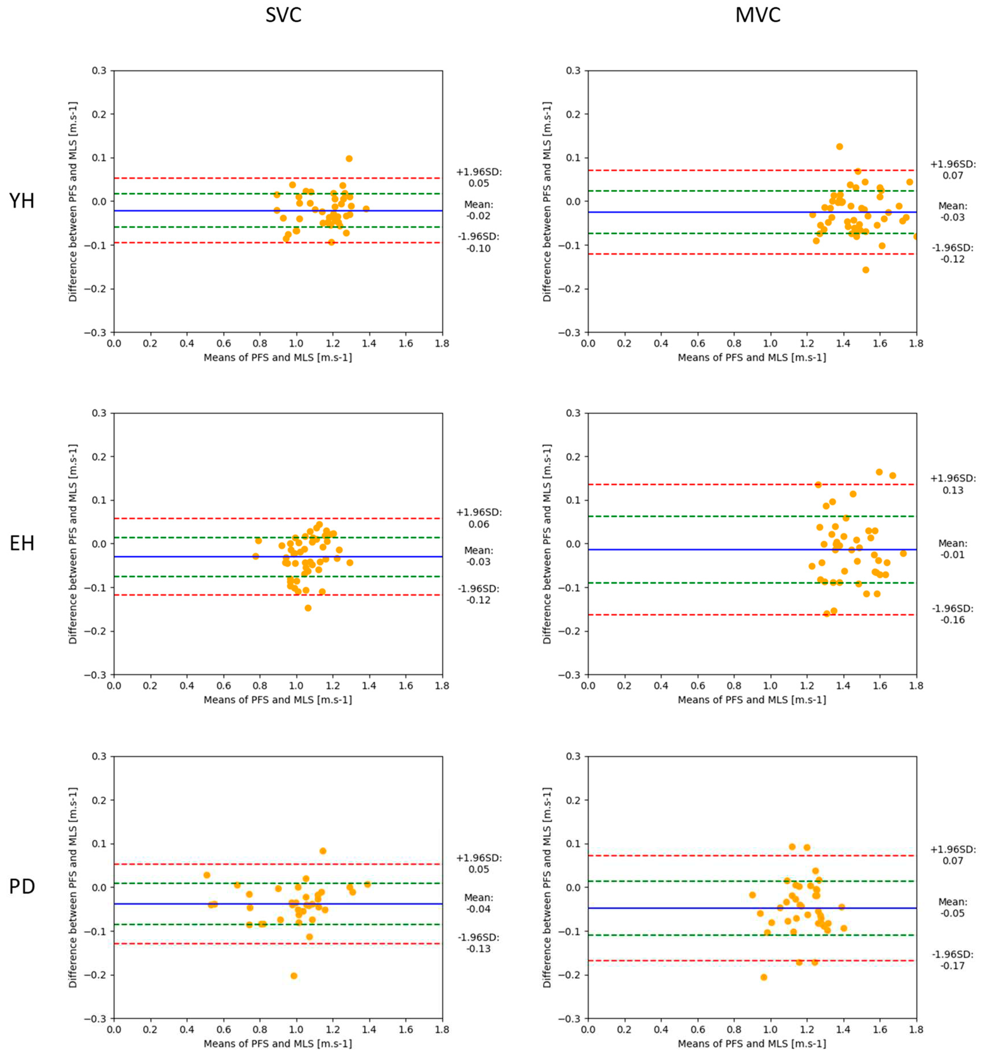
Bland-Altman analysis
Descriptive statistics
Bayes factor01
4. Discussion
5. Conclusions
References
- Brenière, Y.; Cuong Do, M.; Bouisset, S. Are Dynamic Phenomena Prior to Stepping Essential to Walking? J Mot Behav 1987, 19, 62–76. [Google Scholar] [CrossRef] [PubMed]
- Do, M.C.; Breniere, Y.; Brenguier, P. A Biomechanical Study of Balance Recovery during the Fall Forward. J Biomech 1982, 15, 933–939. [Google Scholar] [CrossRef] [PubMed]
- Chong, R.K.Y.; Chastan, N.; Welter, M.-L.; Do, M.-C. Age-Related Changes in the Center of Mass Velocity Control during Walking. Neurosci Lett 2009, 458, 23–27. [Google Scholar] [CrossRef] [PubMed]
- Muir, B.C.; Rietdyk, S.; Haddad, J.M. Gait Initiation: The First Four Steps in Adults Aged 20–25 Years, 65–79 Years, and 80–91 Years. Gait & Posture 2014, 39, 490–494. [Google Scholar] [CrossRef]
- Singer, J.C.; Prentice, S.D.; McIlroy, W.E. Age-Related Changes in Mediolateral Dynamic Stability Control during Volitional Stepping. Gait & Posture 2013, 38, 679–683. [Google Scholar] [CrossRef]
- Delval, A.; Tard, C.; Defebvre, L. Why We Should Study Gait Initiation in Parkinson’s Disease. Neurophysiologie Clinique/Clinical Neurophysiology 2014, 44, 69–76. [Google Scholar] [CrossRef]
- Delafontaine, A.; Vialleron, T.; Hussein, T.; Yiou, E.; Honeine, J.-L.; Colnaghi, S. Anticipatory Postural Adjustments During Gait Initiation in Stroke Patients. Front Neurol 2019, 10, 352. [Google Scholar] [CrossRef]
- Welter, M.-L.; Do, M.C.; Chastan, N.; Torny, F.; Bloch, F.; du Montcel, S.T.; Agid, Y. Control of Vertical Components of Gait during Initiation of Walking in Normal Adults and Patients with Progressive Supranuclear Palsy. Gait Posture 2007, 26, 393–399. [Google Scholar] [CrossRef]
- Breniere, Y.; Do, M.C. When and How Does Steady State Gait Movement Induced from Upright Posture Begin? J Biomech 1986, 19, 1035–1040. [Google Scholar] [CrossRef] [PubMed]
- Gélat, T.; Coudrat, L.; Le Pellec, A. Gait Initiation Is Affected during Emotional Conflict. Neurosci Lett 2011, 497, 64–67. [Google Scholar] [CrossRef]
- Honeine, J.-L.; Schieppati, M.; Gagey, O.; Do, M.-C. By Counteracting Gravity, Triceps Surae Sets Both Kinematics and Kinetics of Gait. Physiol Rep 2014, 2, e00229. [Google Scholar] [CrossRef] [PubMed]
- Lepers, R.; Brenière, Y.; Maton, B. Changes to the Gait Initiation Programme Following a Running Exercise in Human Subjects. Neurosci Lett 1999, 260, 69–73. [Google Scholar] [CrossRef] [PubMed]
- Simonet, A.; Delafontaine, A.; Fourcade, P.; Yiou, E. Postural Organization of Gait Initiation for Biomechanical Analysis Using Force Platform Recordings. J Vis Exp 2022. [Google Scholar] [CrossRef]
- Stins, J.F.; Beek, P.J. Organization of Voluntary Stepping in Response to Emotion-Inducing Pictures. Gait Posture 2011, 34, 164–168. [Google Scholar] [CrossRef] [PubMed]
- Yiou, E.; Do, M.-C. Effects of Medio-Lateral Postural Perturbation Induced by Voluntary Arm Raising on the Biomechanical Organization of Rapid Step Initiation. Motor Control 2011, 15, 507–524. [Google Scholar] [CrossRef] [PubMed]
- Chastan, N.; Do, M.C.; Bonneville, F.; Torny, F.; Bloch, F.; Westby, G.W.M.; Dormont, D.; Agid, Y.; Welter, M.-L. Gait and Balance Disorders in Parkinson’s Disease: Impaired Active Braking of the Fall of Centre of Gravity. Mov Disord 2009, 24, 188–195. [Google Scholar] [CrossRef] [PubMed]
- Chastan, N.; Westby, G.W.M.; Yelnik, J.; Bardinet, E.; Do, M.C.; Agid, Y.; Welter, M.L. Effects of Nigral Stimulation on Locomotion and Postural Stability in Patients with Parkinson’s Disease. Brain 2009, 132, 172–184. [Google Scholar] [CrossRef] [PubMed]
- Delafontaine, A.; Fourcade, P.; Zemouri, A.; Diakhaté, D.G.; Saiydoun, G.; Yiou, E. In Patients With Parkinson’s Disease in an OFF-Medication State, Does Bilateral Electrostimulation of Tibialis Anterior Improve Anticipatory Postural Adjustments During Gait Initiation? Front Hum Neurosci 2021, 15, 692651. [Google Scholar] [CrossRef]
- Vialleron, T.; Delafontaine, A.; Millerioux, I.; Memari, S.; Fourcade, P.; Yiou, E. Acute Effects of Short-Term Stretching of the Triceps Surae on Ankle Mobility and Gait Initiation in Patients with Parkinson’s Disease. Clin Biomech (Bristol, Avon) 2021, 89, 105449. [Google Scholar] [CrossRef]
- Jan, S.V.S. Color Atlas of Skeletal Landmark Definitions: Guidelines for Reproducible Manual and Virtual Palpations; Churchill Livingstone/Elsevier, 2007; ISBN 978-0-443-10315-5.
- Honeine, J.-L.; Schieppati, M.; Gagey, O.; Do, M.-C. The Functional Role of the Triceps Surae Muscle during Human Locomotion. PLoS One 2013, 8, e52943. [Google Scholar] [CrossRef]
- Buckley, C.; Alcock, L.; McArdle, R.; Rehman, R.; Del Din, S.; Mazzà, C.; Yarnall, A.; Rochester, L. The Role of Movement Analysis in Diagnosing and Monitoring Neurodegenerative Conditions: Insights from Gait and Postural Control. Brain Sciences 2019, 9, 34. [Google Scholar] [CrossRef] [PubMed]
- Chen, S.; Lach, J.; Lo, B.; Yang, G.-Z. Toward Pervasive Gait Analysis With Wearable Sensors: A Systematic Review. IEEE J. Biomed. Health Inform. 2016, 20, 1521–1537. [Google Scholar] [CrossRef] [PubMed]
- Robles-García, V.; Corral-Bergantiños, Y.; Espinosa, N.; Jácome, M.A.; García-Sancho, C.; Cudeiro, J.; Arias, P. Spatiotemporal Gait Patterns During Overt and Covert Evaluation in Patients With Parkinson’s Disease and Healthy Subjects: Is There a Hawthorne Effect? Journal of Applied Biomechanics 2015, 31, 189–194. [Google Scholar] [CrossRef] [PubMed]
- Bonci, T.; Camomilla, V.; Dumas, R.; Cappozzo, A. Generation of Realistic Thigh Soft Tissue Artefacts as a Function of Hip and Knee Kinematics. Gait & Posture 2014, 39, S72–S73. [Google Scholar] [CrossRef]
- Camomilla, V.; Dumas, R.; Cappozzo, A. Human Movement Analysis: The Soft Tissue Artefact Issue. J Biomech 2017, 62, 1–4. [Google Scholar] [CrossRef] [PubMed]
- Cereatti, A.; Bonci, T.; Akbarshahi, M.; Aminian, K.; Barré, A.; Begon, M.; Benoit, D.L.; Charbonnier, C.; Dal Maso, F.; Fantozzi, S.; et al. Standardization Proposal of Soft Tissue Artefact Description for Data Sharing in Human Motion Measurements. J Biomech 2017, 62, 5–13. [Google Scholar] [CrossRef] [PubMed]
- Fonseca, M.; Gasparutto, X.; Leboeuf, F.; Dumas, R.; Armand, S. Impact of Knee Marker Misplacement on Gait Kinematics of Children with Cerebral Palsy Using the Conventional Gait Model—A Sensitivity Study. PLoS One 2020, 15, e0232064. [Google Scholar] [CrossRef] [PubMed]
- Chiari, L.; Della Croce, U.; Leardini, A.; Cappozzo, A. Human Movement Analysis Using Stereophotogrammetry. Part 2: Instrumental Errors. Gait Posture 2005, 21, 197–211. [Google Scholar] [CrossRef] [PubMed]
- Gorton, G.E.; Hebert, D.A.; Gannotti, M.E. Assessment of the Kinematic Variability among 12 Motion Analysis Laboratories. Gait Posture 2009, 29, 398–402. [Google Scholar] [CrossRef]
- Whittle, M.W. Clinical Gait Analysis: A Review. Human Movement Science 1996, 15, 369–387. [Google Scholar] [CrossRef]
- Colyer, S.L.; Evans, M.; Cosker, D.P.; Salo, A.I.T. A Review of the Evolution of Vision-Based Motion Analysis and the Integration of Advanced Computer Vision Methods Towards Developing a Markerless System. Sports Medicine - Open 2018, 4, 24. [Google Scholar] [CrossRef] [PubMed]
- Cronin, N.J. Using Deep Neural Networks for Kinematic Analysis: Challenges and Opportunities. Journal of Biomechanics 2021, 123, 110460. [Google Scholar] [CrossRef] [PubMed]
- Drazan, J.F.; Phillips, W.T.; Seethapathi, N.; Hullfish, T.J.; Baxter, J.R. Moving Outside the Lab: Markerless Motion Capture Accurately Quantifies Sagittal Plane Kinematics during the Vertical Jump. J Biomech 2021, 125, 110547. [Google Scholar] [CrossRef]
- Kanko, R.M.; Laende, E.; Selbie, W.S.; Deluzio, K.J. Inter-Session Repeatability of Markerless Motion Capture Gait Kinematics. J Biomech 2021, 121, 110422. [Google Scholar] [CrossRef] [PubMed]
- Mathis, A.; Mamidanna, P.; Cury, K.M.; Abe, T.; Murthy, V.N.; Mathis, M.W.; Bethge, M. DeepLabCut: Markerless Pose Estimation of User-Defined Body Parts with Deep Learning. Nat Neurosci 2018, 21, 1281–1289. [Google Scholar] [CrossRef] [PubMed]
- Ito, N.; Sigurðsson, H.B.; Seymore, K.D.; Arhos, E.K.; Buchanan, T.S.; Snyder-Mackler, L.; Grävare Silbernagel, K. Markerless Motion Capture: What Clinician-Scientists Need to Know Right Now. JSAMS Plus 2022, 1, 100001. [Google Scholar] [CrossRef] [PubMed]
- Tang, H.; Pan, J.; Munkasy, B.; Duffy, K.; Li, L. Comparison of Lower Extremity Joint Moment and Power Estimated by Markerless and Marker-Based Systems during Treadmill Running. Bioengineering 2022, 9, 574. [Google Scholar] [CrossRef]
- Kanko, R.M.; Laende, E.K.; Davis, E.M.; Selbie, W.S.; Deluzio, K.J. Concurrent Assessment of Gait Kinematics Using Marker-Based and Markerless Motion Capture. J Biomech 2021, 127, 110665. [Google Scholar] [CrossRef]
- Song, K.; Hullfish, T.J.; Silva, R.S.; Silbernagel, K.G.; Baxter, J.R. Markerless Motion Capture Estimates of Lower Extremity Kinematics and Kinetics Are Comparable to Marker-Based across 8 Movements. bioRxiv 2023, 2023.02.21.526496. [CrossRef]
- Bland, J.M.; Altman, D.G. Statistical Methods for Assessing Agreement between Two Methods of Clinical Measurement. Lancet 1986, 1, 307–310. [Google Scholar] [CrossRef]
- Kass, R.E.; Raftery, A.E. Bayes Factors. Journal of the American Statistical Association 1995, 90, 773–795. [Google Scholar] [CrossRef]
- Wagenmakers, E.-J. A Practical Solution to the Pervasive Problems Ofp Values. Psychonomic Bulletin & Review 2007, 14, 779–804. [Google Scholar] [CrossRef]
- Yiou, E.; Teyssèdre, C.; Artico, R.; Fourcade, P. Comparison of Base of Support Size during Gait Initiation Using Force-Plate and Motion-Capture System: A Bland and Altman Analysis. J Biomech 2016, 49, 4168–4172. [Google Scholar] [CrossRef] [PubMed]
- Maillot, P.; Perrot, A.; Hartley, A.; Do, M.-C. The Braking Force in Walking: Age-Related Differences and Improvement in Older Adults with Exergame Training. J Aging Phys Act 2014, 22, 518–526. [Google Scholar] [CrossRef] [PubMed]
- Demain, A.; Westby, G.W.M.; Fernandez-Vidal, S.; Karachi, C.; Bonneville, F.; Do, M.C.; Delmaire, C.; Dormont, D.; Bardinet, E.; Agid, Y.; et al. High-Level Gait and Balance Disorders in the Elderly: A Midbrain Disease? J Neurol 2014, 261, 196–206. [Google Scholar] [CrossRef]
- Yiou, E.; Caderby, T.; Delafontaine, A.; Fourcade, P.; Honeine, J.-L. Balance Control during Gait Initiation: State-of-the-Art and Research Perspectives. World J Orthop 2017, 8, 815–828. [Google Scholar] [CrossRef]







| Variable | PD (n = 12) | YH (n=10) | EH (n=11) |
|---|---|---|---|
| Age (years) | 68.4 ± 5.1 | 24.7 ± 0.7 | 66.5 ± 3.6 |
| Gender (female/male) | 1/10 | 4/5 | 8/3 |
| Body mass (kg) | 70.5 ± 11.8 | 70.2 ± 13.5 | 63.9 ± 10.1 |
| Height (m) | 1.70 ± 0.07 | 1.70 ± 0.12 | 1.65 ± 0.06 |
| BMI (kg/m2) | 24.5 ± 3.6 | 24.7 ± 0.7 | 23.4 ± 3.4 |
| Shoe size (EU) | 41.3 ± 1.5 | 40.3 ± 3.7 | 39.3 ± 1.8 |
| Time of diagnosis (years) | 7.4 ± 2.8 | ||
| H and Y scale (points) | 2.0 ± 0.6 | ||
| UPDRS-III (score) | 33.8 ± 11.7 | ||
| MoCA (score) | 25.7 ± 2.3 | ||
| MMS (score) | 27.0 ± 1.7 |
Disclaimer/Publisher’s Note: The statements, opinions and data contained in all publications are solely those of the individual author(s) and contributor(s) and not of MDPI and/or the editor(s). MDPI and/or the editor(s) disclaim responsibility for any injury to people or property resulting from any ideas, methods, instructions or products referred to in the content. |
© 2024 by the authors. Licensee MDPI, Basel, Switzerland. This article is an open access article distributed under the terms and conditions of the Creative Commons Attribution (CC BY) license (http://creativecommons.org/licenses/by/4.0/).