Submitted:
10 January 2024
Posted:
11 January 2024
You are already at the latest version
Abstract
Keywords:
1. Introduction
2. Materials and Methods
2.1.Á. rea de estudio
2.2. Sampling and data collection
2.3. Data analysis
- Relative abundance = number of individuals ha-1
- Relative dominance = basal area (m2 ha-1)
- Frequency = percentage of plots in which a species is present
3. Results and Discussion
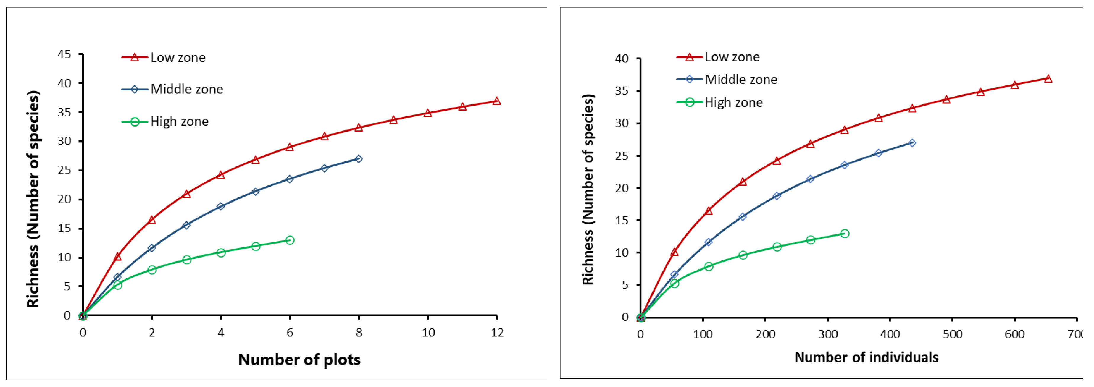
3.1. Richness and floristic composition of silvopastoral system
3.2. Abundance of tree species and value of ecological importance
3.3. Tree density, conservation status in Ecuador and IUCN
3.4. Main reported uses of tree and palm species
4. Conclusions
Author Contributions
Funding
Institutional Review Board Statement
Informed Consent Statement
Data Availability Statement
Acknowledgments
Conflicts of Interest
References
- Lőrincz, Á.; Hábenczyus, A.A.; Kelemen, A.; Ratkai, B.; Tölgyesi, C.; Lőrinczi, G.; Bátori, Z.; Maák, I.E. Wood-Pastures Promote Environmental and Ecological Heterogeneity on a Small Spatial Scale. Sci. Total Environ. 2023, 167510. [Google Scholar] [CrossRef]
- Álvarez, F.; Casanoves, F.; Suárez, J.C.; Rusch, G.M.; Ngo Bieng, M.A. An Assessment of Silvopastoral Systems Condition and Their Capacity to Generate Ecosystem Services in the Colombian Amazon. Ecosyst. People 2023, 19, 2213784. [Google Scholar] [CrossRef]
- Aryal, D.R.; Gómez-González, R.R.; Hernández-Nuriasmú, R.; Morales-Ruiz, D.E. Carbon Stocks and Tree Diversity in Scattered Tree Silvopastoral Systems in Chiapas, Mexico. Agrofor. Syst. 2019, 93, 213–227. [Google Scholar] [CrossRef]
- Brook, R.; Forster, E.; Styles, D.; Mazzetto, A.M.; Arndt, C.; Esquivel, M.J.; Chadwick, D. Silvopastoral Systems for Offsetting Livestock Emissions in the Tropics: A Case Study of a Dairy Farm in Costa Rica. Agron. Sustain. Dev. 2022, 42. [Google Scholar] [CrossRef] [PubMed]
- Flores-Coello, G.; Hernández-Medrano, J.H.; Ku-Vera, J.; Diaz, D.; Solorio-Sánchez, F.J.; Sarabia-Salgado, L.; Galindo, F. Intensive Silvopastoral Systems Mitigate Enteric Methane Emissions from Cattle. Atmosphere (Basel). 2023, 14, 863. [Google Scholar] [CrossRef]
- Ortiz, J.; Neira, P.; Panichini, M.; Curaqueo, G.; Stolpe, N.B.; Zagal, E.; Dube, F.; Gupta, S.R. Silvopastoral Systems on Degraded Lands for Soil Carbon Sequestration and Climate Change Mitigation. Agrofor. Sustain. Intensif. Agric. Asia Africa 2023, 207–242. [Google Scholar] [CrossRef]
- Torres, B.; Bravo, C.; Torres, A.; Tipán-Torres, C.; Vargas, J.C.; Herrera-Feijoo, R.J.; Heredia-R, M.; Barba, C.; García, A. Carbon Stock Assessment in Silvopastoral Systems along an Elevational Gradient: A Study from Cattle Producers in the Sumaco Biosphere Reserve, Ecuadorian Amazon. Sustainability 2023, 15. [Google Scholar] [CrossRef]
- Sandoval, D.F.; Florez, J.F.; Valencia, K.J.E.; Cabrera, M.E.S.; Stefan, B. Economic-Environmental Assessment of Silvo-Pastoral Systems in Colombia: An Ecosystem Service Perspective. Heliyon 2023, 9. [Google Scholar] [CrossRef]
- Alvarado Sandino, C.O.; Barnes, A.P.; Sepúlveda, I.; Garratt, M.P.D.; Thompson, J.; Escobar-Tello, M.P. Examining Factors for the Adoption of Silvopastoral Agroforestry in the Colombian Amazon. Sci. Rep. 2023, 13, 12252. [Google Scholar] [CrossRef]
- Torres, B.; Andrade, V.; Heredia-R, M.; Toulkeridis, T.; Estupiñán, K.; Luna, M.; Bravo, C.; García, A. Productive Livestock Characterization and Recommendations for Good Practices Focused on the Achievement of the SDGs in the Ecuadorian Amazon. Sustainability 2022, 14, 10738. [Google Scholar] [CrossRef]
- Mauricio, R.M.; Ribeiro, R.S.; Paciullo, D.S.C.; Cangussú, M.A.; Murgueitio, E.; Chará, J.; Estrada, M.X.F. Silvopastoral Systems in Latin America for Biodiversity, Environmental, and Socioeconomic Improvements. In Agroecosystem diversity; Elsevier, 2019; pp. 287–297. [Google Scholar] [CrossRef]
- Torres, B.; Herrera-Feijoo, R.; Torres, Y.; García, A. Global Evolution of Research on Silvopastoral Systems through Bibliometric Analysis: Insights from Ecuador. Agronomy 2023, 13, 479. [Google Scholar] [CrossRef]
- Bravo, C.; Goyes-Vera, F.; Arteaga-Crespo, Y.; García-Quintana, Y.; Changoluisa, D. A Soil Quality Index for Seven Productive Landscapes in the Andean-Amazonian Foothills of Ecuador. L. Degrad. Dev. 2021, 32, 2226–2241. [Google Scholar] [CrossRef]
- Bravo, C.; Torres, B.; Alemán, R.; Changoluisa, D.; Marín, H.; Reyes, H.; Navarrete, H. Soil Structure and Carbon Sequestration as Ecosytem Services under Different Land Uses in the Ecuadorian Amazon Region. In Proceedings of the Int. Conf. Ser. Multidiscip. Sci; 2017; Vol. 3, pp. 1–8.
- McGroddy, M.E.; Lerner, A.M.; Burbano, D. V; Schneider, L.C.; Rudel, T.K. Carbon Stocks in Silvopastoral Systems: A Study from Four Communities in Southeastern Ecuador. Biotropica 2015, 47, 407–415. [Google Scholar] [CrossRef]
- Sandoval-Pelcastre, A.A.; Ramírez-Mella, M.; Rodríguez-Ávila, N.L.; Candelaria-Martínez, B. Tropical Trees and Shrubs with Potential to Reduce the Production of Methane in Ruminants [Árboles y Arbustos Tropicales Con Potencial Para Disminuir La Producción de Metano En Rumiantes]. Trop. Subtrop. Agroecosystems 2020, 23. [Google Scholar] [CrossRef]
- Montagnini, F.; Ibrahim, M.; Murgueitio Restrepo, E. Silvopastoral Systems and Climate Change Mitigation in Latin America. Bois Forets des Trop. 2013, 67, 3–16. [Google Scholar] [CrossRef]
- Schinato, F.; Munka, M.C.; Olmos, V.M.; Bussoni, A.T. Microclimate, Forage Production and Carbon Storage in a Eucalypt-Based Silvopastoral System. Agric. Ecosyst. Environ. 2023, 344, 108290. [Google Scholar] [CrossRef]
- Schmitt Filho, A.L.; Kretzer, S.G.; Farley, J.; Kazama, D.C.; Sinisgalli, P.A.; Deniz, M. Applied Nucleation under High Biodiversity Silvopastoral System as an Adaptive Strategy against Microclimate Extremes in Pasture Areas. Int. J. Biometeorol. 2023, 1–14. [Google Scholar] [CrossRef] [PubMed]
- Ortiz Timoteo, J.; Kainer, K.A.; Luna Cavazos, M.; García Moya, E.; Sánchez Sánchez, O.; Vibrans, H. Trees in Pastures: Local Knowledge, Management, and Motives in Tropical Veracruz, Mexico. Agrofor. Syst. 2023, 97, 687–698. [Google Scholar] [CrossRef]
- Kumar, S.; Prasad, R.; Kumar, A.; Dhyani, S.K. Integration of Fruit Trees in Agroforestry for Sustainability and Profitability of Farming Systems in Arid and Semi-Arid Regions. Indian J. Agrofor. 2019, 21, 95–99. [Google Scholar]
- Paut, R.; Dufils, A.; Derbez, F.; Dossin, A.-L.; Penvern, S. Orchard Grazing in France: Multiple Forms of Fruit Tree–Livestock Integration in Line with Farmers’ Objectives and Constraints. Forests 2021, 12. [Google Scholar] [CrossRef]
- Lugo, A.E. The Apparent Paradox of Reestablishing Species Richness on Degraded Lands with Tree Monocultures. For. Ecol. Manage. 1997, 99, 9–19. [Google Scholar] [CrossRef]
- Trujillo-Miranda, A.L.; Toledo-Aceves, T.; López-Barrera, F.; Gerez-Fernández, P. Active versus Passive Restoration: Recovery of Cloud Forest Structure, Diversity and Soil Condition in Abandoned Pastures. Ecol. Eng. 2018, 117, 50–61. [Google Scholar] [CrossRef]
- Montagnini, F.; del Fierro, S. Functions of Agroforestry Systems as Biodiversity Islands in Productive Landscapes. In Biodiversity Islands: Strategies for Conservation in Human-Dominated Environments; Springer, 2022; pp. 89–116. [Google Scholar] [CrossRef]
- Chará, J.; Rivera, J.; Barahona, R.; Murgueitio R, E.; Deblitz, C.; Reyes, E.; Mauricio, R.M.; Molina, J.J.; Flores, M.; Zuluaga, A. Intensive Silvopastoral Systems: Economics and Contribution to Climate Change Mitigation and Public Policies. Integr. landscapes Agrofor. Biodivers. Conserv. food sovereignty 2017, 395–416. [Google Scholar] [CrossRef]
- Myers, N.; Mittermeler, R.A.; Mittermeler, C.G.; Da Fonseca, G.A.B.; Kent, J. Biodiversity Hotspots for Conservation Priorities. Nature 2000, 403, 853–858. [Google Scholar] [CrossRef] [PubMed]
- Mittermeier, R.A.; Myers, N.; Thomsen, J.B.; da Fonseca, G.A.B.; Olivieri, S. Biodiversity Hotspots and Major Tropical Wilderness Areas: Approaches to Setting Conservation Priorities. Conserv. Biol. 1998, 12, 516–520. [Google Scholar] [CrossRef]
- Myers, N. Threatened Biotas:" Hot Spots" in Tropical Forests. Environmentalist 1988, 8, 187–208. [Google Scholar] [CrossRef]
- Torres, B.; Günter, S.; Acevedo-Cabra, R.; Knoke, T. Livelihood Strategies, Ethnicity and Rural Income: The Case of Migrant Settlers and Indigenous Populations in the Ecuadorian Amazon. For. Policy Econ. 2018, 86, 22–34. [Google Scholar] [CrossRef]
- MAATE Sistema Nacional de Indicadores Ambientales y Sostenibilidad (SINIAS). Available online: http://sinias.ambiente.gob.ec:8099/proyecto-sinias-web/estadisticasAmbientales.jsf?menu=01.
- Myers, N.; Mittermeier, R.A.; Mittermeier, C.G.; Da Fonseca, G.A.B.; Kent, J. Biodiversity Hotspots for Conservation Priorities. Nature 2000, 403, 853–858. [Google Scholar] [CrossRef]
- Longino, J.T.; Coddington, J.; Colwell, R.K. The Ant Fauna of a Tropical Rain Forest: Estimating Species Richness Three Different Ways. Ecology 2002, 83, 689–702. [Google Scholar] [CrossRef]
- Curtis, J.T.; McIntosh, R.P. An Upland Forest Continuum in the Prairie-Forest Border Region of Wisconsin. Ecology 1951, 32, 476–496. [Google Scholar] [CrossRef]
- Gil, J.A. Estadística e Informática (Spss) En La Investigación Descriptiva e Inferencial.(Versión Actualizada Spss24) 2017.
- De la Torre, L.; Navarrete, H.; Muriel, P.; Macía, M.J.; Balslev, H. Enciclopedia de Las Plantas Útiles Del Ecuador (Con Extracto de Datos); Herbario QCA de la Escuela de Ciencias Biológicas de la Pontificia …, 2008; ISBN 9978771352.
- Chamberlain, S.A.; Szöcs, E. Taxize: Taxonomic Search and Retrieval in R. F1000Research 2013, 2. [Google Scholar] [CrossRef]
- Whittaker, R.J.; Willis, K.J.; Field, R. Scale and Species Richness: Towards a General, Hierarchical Theory of Species Diversity. J. Biogeogr. 2001, 28, 453–470. [Google Scholar] [CrossRef]
- Willis, K.J.; Whittaker, R.J. Species Diversity--Scale Matters. Science (80-. ). 2002, 295, 1245–1248. [Google Scholar] [CrossRef]
- Torres, B.; Bravo, C.; Torres, A.; Tipán-Torres, C.; Vargas, J.C.; Herrera-Feijoo, R.J.; Heredia-R, M.; Barba, C.; García, A. Carbon Stock Assessment in Silvopastoral Systems along an Elevational Gradient: A Study from Cattle Producers in the Sumaco Biosphere Reserve, Ecuadorian Amazon. Sustainability 2022, 15, 449. [Google Scholar] [CrossRef]
- Deng, L.; Shangguan, Z. Species Composition, Richness and Aboveground Biomass of Natural Grassland in Hilly-Gully Regions of the Loess Plateau, China. J. Integr. Agric. 2014, 13, 2527–2536. [Google Scholar] [CrossRef]
- Villanueva, C.; Tobar López, D.; Ibrahim, M.A.; Casasola Coto, F.; Barrantes, J.; Arguedas, R. Árboles Dispersos En Potreros En Fincas Ganaderas Del Pacífico Central de Costa Rica. Agroforestería en las Américas, número 45 2013.
- Esquivel, M.J.; Harvey, C.A.; Finegan, B.; Casanoves, F.; Skarpe, C.; Nieuwenhuyse, A. Regeneración Natural de Árboles y Arbustos En Potreros Activos de Nicaragua. Agroforestería en las Américas 2009, 47, 76–84. [Google Scholar]
- Torres, B.; Günter, S.; Acevedo-Cabra, R.; Knoke, T. Livelihood Strategies, Ethnicity and Rural Income: The Case of Migrant Settlers and Indigenous Populations in the Ecuadorian Amazon. For. Policy Econ. 2018, 86, 22–34. [Google Scholar] [CrossRef]
- Mejía, E.; Pacheco, P.; Muzo, A.; Torres, B. Smallholders and Timber Extraction in the Ecuadorian Amazon: Amidst Market Opportunities and Regulatory Constraints. Int. For. Rev. 2015, 17, 38–50. [Google Scholar] [CrossRef]
- Vasco, C.; Torres, B.; Pacheco, P.; Griess, V. The Socioeconomic Determinants of Legal and Illegal Smallholder Logging: Evidence from the Ecuadorian Amazon. For. Policy Econ. 2017, 78, 133–140. [Google Scholar] [CrossRef]
- Argote, K.; Rodríguez-Sánchez, B.; Quintero, M.; Francesconi, W. One Tree at a Time: Restoring Landscape Connectivity through Silvopastoral Systems in Transformed Amazon Landscapes. Diversity 2022, 14. [Google Scholar] [CrossRef]
- López-Tobar, R.; Herrera-Feijoo, R.J.; Mateo, R.G.; García-Robredo, F.; Torres, B. Botanical Collection Patterns and Conservation Categories of the Most Traded Timber Species from the Ecuadorian Amazon: The Role of Protected Areas. Plants 2023, 12. [Google Scholar] [CrossRef]
- Mejía, E.; Pacheco, P. Forest Use and Timber Markets in the Ecuadorian Amazon; CIFOR, 2014; Vol. 111; ISBN 6021504143.
- Giro, A.; Pezzopane, J.R.M.; Barioni Junior, W.; Pedroso, A.D.F.; Lemes, A.P.; Botta, D.; Romanello, N.; Barreto, A.D.N.; Garcia, A.R. Behavior and Body Surface Temperature of Beef Cattle in Integrated Crop-Livestock Systems with or without Tree Shading. Sci. Total Environ. 2019, 684, 587–596. [Google Scholar] [CrossRef]
- Congo Yépez, C.; Velástegui Lara, F.; Caicedo Vargas, C.; Rodríguez Iturralde, L.; Vera Zambrano, A.; Montero Cruz, O. Árboles Dispersos y Su Efecto En La Productividad de Los Potreros En La Amazonía Ecuatoriana. LA GRANJA. Rev. Ciencias la Vida 2018, 27, 64–76. [Google Scholar] [CrossRef]
- Chará-Serna, A.M.; Chará, J. Effect of Silvopastoral Systems on Biodiversity and the Provision of Ecosystem Services in Tropical Agro-Landscapes [Efecto de Los Sistemas Silvopastoriles Sobre La Biodiversidad y La Provisión de Servicios Ecosistémicos En Agropaisajes Tropicales]. Livest. Res. Rural Dev. 2020, 32. [Google Scholar]
- Lojka, B.; Dumas, L.; Preininger, D.; Polesny, Z.; Banout, J. The Use and Integration of Inga Edulis in Agroforestry Systems in the Amazon-Review Article. Agric. Trop. Subtrop. 2010, 43, 352–359. [Google Scholar]
- Barron, A.R.; Purves, D.W.; Hedin, L.O. Facultative Nitrogen Fixation by Canopy Legumes in a Lowland Tropical Forest. Oecologia 2011, 165, 511–520. [Google Scholar] [CrossRef]
- Yu, S.; Li, L.; Zhao, H.; Zhang, S.; Tu, Y.; Liu, M.; Zhao, Y.; Jiang, L. Dietary Citrus Flavonoid Extract Improves Lactational Performance through Modulating Rumen Microbiome and Metabolites in Dairy Cows. Food Funct. 2023, 14, 94–111. [Google Scholar] [CrossRef]
- Yu, S.; Li, L.; Zhao, H.; Liu, M.; Jiang, L.; Zhao, Y. Citrus Flavonoid Extracts Alter the Profiling of Rumen Antibiotic Resistance Genes and Virulence Factors of Dairy Cows. Front. Microbiol. 2023, 14, 1201262. [Google Scholar] [CrossRef]
- PALACIOS, W.A.; TORRES, M.D.E.L.; QUINTANA, M.A.; ASADOBAY, P.; IGLESIAS, J.; QUILLUPANGUI, R.; ROJAS, E.; SANTIANA, J.; SOLA, A.; RIVAS-TORRES, G. A New Species and a New Record for Cedrela (Meliaceae, Sapindales) in Ecuador: Morphological, Molecular, and Distribution Evidence. Phytotaxa 2023, 595, 127–138. [Google Scholar] [CrossRef]
- Llerena, S.A.; Salinas, N.; Oliveira, O.L.; Jadán-Guerrero, M.; Segovia-Salcedo, C. DISTRIBUTION OF THE GENUS CEDRELA IN ECUADOR. Rudn J. Ecol. Life Saf. 2018, 26, 125–133. [Google Scholar] [CrossRef]
- Guevara Andino, J.E.; Pitman, N.C.A.; Ulloa Ulloa, C.; Romoleroux, K.; Fernández-Fernández, D.; Ceron, C.; Palacios, W.; Neill, D.A.; Oleas, N.; Altamirano, P. Trees of Amazonian Ecuador: A Taxonomically Verified Species List with Data on Abundance and Distribution 2019.
- Ketterings, Q.M.; Coe, R.; van Noordwijk, M.; Palm, C.A. Reducing Uncertainty in the Use of Allometric Biomass Equations for Predicting Above-Ground Tree Biomass in Mixed Secondary Forests. For. Ecol. Manage. 2001, 146, 199–209. [Google Scholar] [CrossRef]
- Carrasco, A.; Terán, C.; Crespo, E.; Mejía, E. Domestic Timber Market. For. use timber Mark. Ecuadorian Amaz. Occas. Pap. 2014, 111, 28–44. [Google Scholar]




| Variable | Amazon Altitudinal gradient (zone) | p-Valor 1 | ||
| Low | Middle | High | ||
| Elevation range (masl) | 400 – 700 | 701 – 1600 | 1601 – 2000 | - |
| Average elevation (masl) | 543.1a | 1114.1 b | 1778.0 c | *** |
| Year of settlement | 1975 | 1984 | 1952 | n.s |
| Ethnicity of head of household (% Kichwa) | 0.0 a | 56.1 b | 0.0 a | *** |
|
Variable |
Amazon Altitudinal gradient (zone) | Average | p-Value 1 | ||
| Low n=12 |
Middle n=8 |
High n=6 |
|||
| Richness (species) | 10.17 ±3.21a | 6.63 ±2.72ab | 5.53 ±2.51b | 7.96 ± 3.49 | *** |
| Richness (family) | 8.50 ±2.23a | 6.13 ±2.58ab | 4.67 ±1.63b | 6.88 ± 2.68 | *** |
| Shannon | 1.63 ±0.45 | 1.50 ±0.52 | 1.25 ±0.44 | 1.50 ± 0.47 | n/s |
| Simpson | 0.7 ±0.14 | 0.68 ±0.16 | 0.62 ±0.19 | 0.67 ± 0.15 | n/s |
| Equity | 0.57 ±0.19 | 0.73 ±0.09 | 0.71 ±0.12 | 0.65 ± 0.16 | n/s |
| Ha-1 | |||||
| Tree density | 193 ±97.23a | 83.25 ±38.33b | 101 ±41.54b | 138 ± 87.50 | *** |
| Basal area (m2) | 8.67 ±4.23 | 4.19 ±3.65 | 6.03 ±4.97 | 6.68 ± 4.53 | n/s |
| Average DBH (cm) | 20.32 ±5.39 | 22.37 ±11.82 | 22.85 ±12.69 | 21.53 ± 9.24 | n/s |
| Maximum DBH (cm) | 27.78 | 40.67 | 41.54 | 41.54 | |
| Familia | Species | R .A. (%) | R .F. (%) | R.D. (%) | IVIs |
|---|---|---|---|---|---|
| Silvopasture low zone (400-700 masl) | |||||
| Cordiaceae | Cordia alliodora | 27,37 | 7,38 | 16,97 | 17,24 |
| Bignoniaceae | Jacaranda copaia | 12,84 | 4,92 | 21,12 | 12,96 |
| Myrtaceae | Psidium guajava | 17,58 | 8,20 | 3,94 | 9,91 |
| Vochysiaceae | Vochysia braceliniae | 4,43 | 4,92 | 10,92 | 6,76 |
| Meliaceae | Cedrela odorata | 3,21 | 5,74 | 4,68 | 4,54 |
| Fabaceae | Piptadenia pteroclada | 1,53 | 4,92 | 5,44 | 3,96 |
| Myristicaceae | Virola flexuosa | 2,60 | 1,64 | 6,99 | 3,74 |
| Lauraceae | Ocotea spp. | 1,99 | 5,74 | 3,16 | 3,63 |
| Lauraceae | Nectandra spp. | 2,45 | 4,10 | 3,23 | 3,26 |
| Asteraceae | Piptocoma discolor | 2,75 | 5,74 | 0,93 | 3,14 |
| Subtotal | 76,76 | 53,28 | 77,37 | 69,14 | |
| Silvopasture middle zone (701-1600 masl) | |||||
| Cordiaceae | Cordia alliodora | 12,23 | 5,66 | 26,39 | 14,76 |
| Asteraceae | Piptocoma discolor | 17,02 | 5,66 | 13,21 | 11,97 |
| Meliaceae | Cedrela odorata | 15,96 | 7,55 | 4,28 | 9,26 |
| Fabaceae | Inga spp. | 5,85 | 11,32 | 6,99 | 8,06 |
| Myrtaceae | Psidium guajava | 10,64 | 5,66 | 1,78 | 6,03 |
| Fabaceae | Inga edulis | 3,19 | 5,66 | 5,72 | 4,86 |
| Lecythidaceae | Grias neuberthii | 1,60 | 5,66 | 6,08 | 4,44 |
| Burseraceae | Dacryodes peruviana | 3,19 | 1,89 | 5,92 | 3,66 |
| Urticaceae | Cecropia membranacea | 1,60 | 5,66 | 3,10 | 3,45 |
| Lauraceae | Nectandra spp. | 5,32 | 3,77 | 1,25 | 3,45 |
| Subtotal | 76,60 | 58,49 | 74,72 | 69,94 | |
| Silvopasture high zone (1601-2000 masl) | |||||
| Moraceae | Ficus spp. | 5,85 | 12,50 | 53,51 | 23,95 |
| Malvaceae | Heliocarpus americanus | 25,15 | 18,75 | 21,41 | 21,77 |
| Myrtaceae | Psidium guajava | 38,01 | 9,38 | 6,38 | 17,92 |
| Lauraceae | Ocotea spp. | 11,11 | 15,63 | 5,07 | 10,60 |
| Fabaceae | Inga spp. | 9,94 | 9,38 | 5,56 | 8,29 |
| Lauraceae | Nectandra spp. | 4,68 | 9,38 | 0,99 | 5,01 |
| Rutaceae | Citrus limon | 1,75 | 6,25 | 0,33 | 2,78 |
| Meliaceae | Cedrela montana | 0,58 | 3,13 | 2,41 | 2,04 |
| Phyllanthaceae | Hieronyma oblonga | 0,58 | 3,13 | 1,80 | 1,84 |
| Euphorbiaceae | Croton lechleri | 0,58 | 3,13 | 1,55 | 1,75 |
| Subtotal | 98,25 | 90,63 | 99,00 | 95,96 | |
|
Familia |
Species |
Tree density (Ind ≥10 cm DAP/ha) |
Status |
category IUCN |
Wood density g/cm3 |
||
|---|---|---|---|---|---|---|---|
| Low | Middle | High | |||||
| Annonaceae |
Annona papilionella | 0 | 1 | 0 | Native | LC | 0,48 |
| Annona sp. | 9 | 1 | 0 | Native | NE | 0,47 | |
| Rollinia sp. | 0 | 0 | 1 | Native | NE | 0,61 | |
| Arecaceae |
Apeiba membranaceae | 1 | 0 | 0 | Native | NE | 0,27 |
| Bactris gasipaes | 9 | 0 | 0 | Native | NE | 0,43 | |
| Iriartea deltoidea | 3 | 1 | 0 | Native | LC | 0,27 | |
| Wettinia maynensis | 0 | 5 | 0 | Native | LC | 0,31 | |
| Asteraceae |
Piptocoma discolor | 6 | 26 | 0 | Native | LC | 0,47 |
| Vernonanthura patens | 2 | 0 | 0 | Native | LC | 0,54 | |
| Bignoniaceae |
Crescentia cujete | 1 | 0 | 0 | Native | LC | 0,70 |
| Jacaranda copaia | 84 | 3 | 0 | Native | LC | 0,60 | |
| Boraginaceae | Cordia alliodora | 0 | 18 | 0 | Native | LC | 0,51 |
| Burseraceae |
Dacryodes peruviana | 0 | 6 | 0 | Native | LC | 0,61 |
| Protium nodulosum | 0 | 4 | 0 | Native | LC | 0,55 | |
| Calophyllaceae | Calophyllum brasiliense | 1 | 1 | 0 | Native | LC | 0,47 |
| Combretaceae | Terminalia oblonga | 1 | 0 | 0 | Native | LC | 0,69 |
| Cordiaceae | Cordia alliodora | 122 | 0 | 0 | Native | LC | 0,51 |
| Euphorbiaceae |
Croton lechleri | 0 | 0 | 1 | Native | NE | 0,47 |
| Sapium glandulosum | 0 | 1 | 0 | Native | LC | 0,44 | |
| Fabaceae |
Dussia tessmannii | 2 | 0 | 0 | Native | LC | 0,47 |
| Erythrina poeppigiana | 1 | 0 | 0 | Native | LC | 0,47 | |
| Inga edulis | 2 | 6 | 0 | Native | LC | 0,51 | |
| Inga spp. | 0 | 8 | 16 | Native | NE | 0,57 | |
| Piptadenia pteroclada | 9 | 0 | 0 | Native | LC | 0,76 | |
| Lauraceae |
Nectandra spp. | 14 | 3 | 3 | Native | NE | 0,53 |
| Ocotea spp. | 12 | 0 | 14 | Native | NE | 0,54 | |
| Persea americana | 1 | 0 | 0 | Native | LC | 0,60 | |
| Lecythidaceae | Grias neuberthii | 8 | 3 | 0 | Native | LC | 0,62 |
| Malvaceae |
Ceiba samauma | 2 | 0 | 0 | Native | NE | 0,57 |
| Heliocarpus americanus | 0 | 0 | 0 | Native | LC | 0,47 | |
| Sterculia tessmannii | 2 | 2 | 37 | Native | LC | 0,47 | |
| Melastomataceae | Miconia spp. | 7 | 0 | 0 | Native | NE | 0,63 |
| Meliaceae |
Cabralea canjerana | 5 | 0 | 0 | Native | LC | 0,53 |
| Cedrela montana | 0 | 0 | 1 | Native | VU | 0,47 | |
| Cedrela odorata | 16 | 12 | 1 | Native | VU | 0,44 | |
| Moraceae |
Brosimum guianense | 2 | 0 | 0 | Native | LC | 0,47 |
| Ficus cuatrecasana | 0 | 0 | 1 | Native | NE | 0,47 | |
| Ficus maxima | 2 | 1 | 0 | Native | LC | 0,47 | |
| Ficus spp. | 6 | 0 | 10 | Native | NE | 0,42 | |
| Myristicaceae | Virola flexuosa | 16 | 0 | 0 | Native | LC | 0,47 |
| Myrtaceae | Psidium guajava | 48 | 5 | 28 | Native | LC | 0,71 |
| Phyllanthaceae | Hieronyma oblonga | 0 | 0 | 1 | Native | LC | 0,47 |
| Rutaceae |
Citrus limon | 1 | 1 | 2 | No Native | NE | 0,71 |
| Citrus sinensis | 7 | 0 | 0 | No Native | NE | 0,71 | |
| Sapotaceae |
Pouteria caimito | 6 | 2 | 1 | Native | LC | 0,81 |
| Pouteria spp. | 0 | 0 | 0 | Native | NE | 0,77 | |
| Urticaceae |
Cecropia membranacea | 0 | 3 | 0 | Native | LC | 0,33 |
| Cecropia spp. | 1 | 0 | 0 | Native | NE | 0,36 | |
| Pourouma cecropiifolia | 4 | 1 | 0 | Native | LC | 0,36 | |
| Vochysiaceae |
Vochysia braceliniae | 28 | 0 | 0 | Native | LC | 0,39 |
| Vochysia ferruginea | 6 | 0 | 0 | Native | LC | 0,36 | |
| Scientific name | Family | Use | |||
| Human and livestock feed | Medicinal use | Craft use | Material for construction | ||
| Annona papilionella | Annonaceae | x | x | x | x |
| Annona sp. | x | x | x | x | |
| Rollinia sp. | x | x | x | x | |
| Apeiba membranacea | Arecaceae | x | x | x | x |
| Bactris gasipaes | x | x | x | x | |
| Iriartea deltoidea | x | x | x | x | |
| Wettinia maynensis | x | x | x | x | |
| Piptocoma discolor | Asteraceae | x | x | x | |
| Vernonanthura patens | x | x | x | ||
| Crescentia cujete | Bignoniaceae | x | x | x | |
| Jacaranda copaia | x | x | |||
| Cordia alliodora | Cordiaceae | x | x | ||
| Dacryodes peruviana | Burseraceae | x | x | x | x |
| Protium nodulosum | x | x | x | x | |
| Calophyllum brasiliense | Calophyllaceae | x | x | ||
| Terminalia oblonga | Combretaceae | x | x | ||
| Croton lechleri | Euphorbiaceae | x | x | ||
| Sapium glandulosum | x | x | x | ||
| Dussia tessmannii | Fabaceae | x | x | ||
| Erythrina poeppigiana | x | ||||
| Inga edulis | x | x | x | ||
| Inga spp. | x | x | x | ||
| Piptadenia pteroclada | x | x | |||
| Nectandra spp. | Lauraceae | x | |||
| Ocotea spp. | x | x | |||
| Persea americana | x | x | x | ||
| Grias neuberthii | Lecythidaceae | x | x | x | |
| Ceiba samauma | Malvaceae | x | x | ||
| Heliocarpus americanus | x | x | x | ||
| Sterculia tessmannii | x | x | |||
| Miconia spp. | Melastomataceae | x | x | ||
| Cabralea canjerana | Meliaceae | x | |||
| Cedrela montana | x | ||||
| Cedrela odorata | x | x | |||
| Brosimum guianense | Moraceae | x | x | ||
| Ficus cuatrecasana | x | ||||
| Ficus maxima | x | x | x | ||
| Ficus spp. | x | x | x | ||
| Virola flexuosa | Myristicaceae | x | |||
| Psidium guajava | Myrtaceae | x | x | x | |
| Hieronyma oblonga | Phyllanthaceae | x | x | ||
| Citrus limon | Rutaceae | x | x | x | |
| Citrus sinensis | x | x | x | ||
| Pouteria caimito | Sapotaceae | x | x | x | |
| Pouteria spp. | x | x | x | ||
| Cecropia membranacea | Urticaceae | x | x | x | |
| Cecropia spp. | x | x | x | ||
| Pourouma cecropiifolia | x | x | |||
| Vochysia braceliniae | Vochysiaceae | x | x | ||
| Vochysia ferruginea | x | x | |||
Disclaimer/Publisher’s Note: The statements, opinions and data contained in all publications are solely those of the individual author(s) and contributor(s) and not of MDPI and/or the editor(s). MDPI and/or the editor(s) disclaim responsibility for any injury to people or property resulting from any ideas, methods, instructions or products referred to in the content. |
© 2024 by the authors. Licensee MDPI, Basel, Switzerland. This article is an open access article distributed under the terms and conditions of the Creative Commons Attribution (CC BY) license (http://creativecommons.org/licenses/by/4.0/).