Submitted:
26 December 2023
Posted:
09 January 2024
You are already at the latest version
Abstract
Keywords:
1. INTRODUCTION
2. FUEL CONSUMPTION REDUCTION
3. FUNDAMENTALS
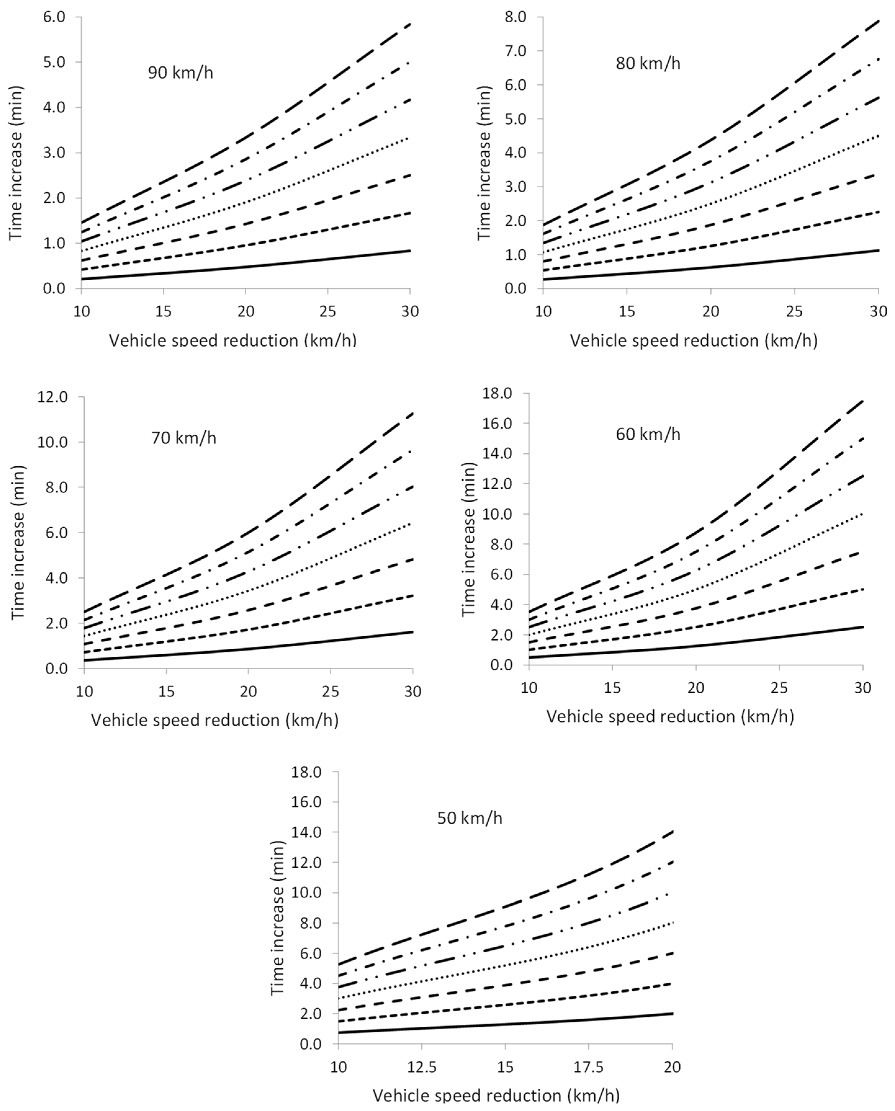
3.1. Time factor
4. SIMULATION
4.1. CO2 emissions
| ICE cars | Electric vehicles | |||||
| Gasoline | Diesel | LPG | CNG | HEV | PHEV | |
| C (L/100km) | 6.465 | 5.154 | 7.768 | 4.565 | 4.155 (1)3.696 (2)3.463 (3) | 2.751 (1)2.381 (2)1.955 (3) |
5. ENVIRONMENTAL EVALUATION
- Selecting the impact category
- Classification and LCI results assignment to the impact category
- Characterization: calculation of the category indicators
- Normalization: determination of the category indicator value regarding the reference information
- Grouping: sorting or ranking the indicators
- Weighing: assignment of the specific weigh or importance to the potential influence factors
- Global influence value
6. CONCLUSIONS
References
- Briggs, D. (2003). Environmental pollution and the global burden of disease. British medical bulletin, 68(1), 1-24. [CrossRef]
- Laña, I., Del Ser, J., Padró, A., Vélez, M., & Casanova-Mateo, C. (2016). The role of local urban traffic and meteorological conditions in air pollution: A data-based case study in Madrid, Spain. Atmospheric Environment, 145, 424-438. [CrossRef]
- Pérez, J., de Andrés, J. M., Borge, R., de la Paz, D., Lumbreras, J., & Rodríguez, E. (2019). Vehicle fleet characterization study in the city of Madrid and its application as a support tool in urban transport and air quality policy development. Transport Policy, 74, 114-126. [CrossRef]
- What Percentage of Cars on the Road Are Electric in the Cities Worldwide. Energy5 your way. 9 November 2023. https://energy5.com/what-percentage-of-cars-on-the-road-are-electric-in-cities-worldwide [Accessed online: 29/11/2023].
- Khreis, H., Sanchez, K. A., Foster, M., Burns, J., Nieuwenhuijsen, M. J., Jaikumar, R., ... & Zietsman, J. (2023). Urban policy interventions to reduce traffic-related emissions and air pollution: A systematic evidence map. Environment International, 172, 107805. [CrossRef]
- Gärling, T. (2007). Effectiveness, public acceptance, and political feasibility of coercive measures for reducing car traffic. In Threats from car traffic to the quality of urban life: Problems, causes and solutions (pp. 313-324). Emerald Group Publishing Limited.
- Fageda, X., Flores-Fillol, R., & Theilen, B. (2022). Price versus quantity measures to deal with pollution and congestion in urban areas: A political economy approach. Journal of Environmental Economics and Management, 115, 102719. [CrossRef]
- Chiesa, M., Perrone, M. G., Cusumano, N., Ferrero, L., Sangiorgi, G., Bolzacchini, E., ... & Denti, A. B. (2014). An environmental, economical and socio-political analysis of a variety of urban air-pollution reduction policies for primary PM10 and NOx: The case study of the Province of Milan (Northern Italy). Environmental science & policy, 44, 39-50. [CrossRef]
- Barry, A. (2002). The anti-political economy. Economy and society, 31(2), 268-284. [CrossRef]
- [10] Dincer, K. (2008). Lower emissions from biodiesel combustion. Energy Sources, Part A, 30(10), 963-968. [CrossRef]
- De Souza, S. P., Pacca, S., De Ávila, M. T., & Borges, J. L. B. (2010). Greenhouse gas emissions and energy balance of palm oil biofuel. Renewable energy, 35(11), 2552-2561. 11.
- Agarwal, D., Sinha, S., & Agarwal, A. K. (2006). Experimental investigation of control of NOx emissions in biodiesel-fueled compression ignition engine. Renewable energy, 31(14), 2356-2369. [CrossRef]
- Xue, J., Grift, T. E., & Hansen, A. C. (2011). Effect of biodiesel on engine performances and emissions. Renewable and Sustainable energy reviews, 15(2), 1098-1116. [CrossRef]
- Searchinger, T., Heimlich, R., Houghton, R. A., Dong, F., Elobeid, A., Fabiosa, J., ... & Yu, T. H. (2008). Use of US croplands for biofuels increases greenhouse gases through emissions from land-use change. Science, 319(5867), 1238-1240. [CrossRef]
- Kim, H., Kim, S., & Dale, B. E. (2009). Biofuels, land use change, and greenhouse gas emissions: some unexplored variables. Environmental science & technology, 43(3), 961-967. [CrossRef]
- Goldbach, A., Meier, H. F., Wiggers, V. R., Chiarello, L. M., & Barros, A. A. C. (2022). Combustion performance of bio-gasoline produced by waste fish oil pyrolysis. Chemical Industry & Chemical Engineering Quarterly, 28(1), 1-8. [CrossRef]
- Khetsuriani, N., Chkhaidze, M., AbramiShvili, G., & Iosebidze, J. (2022). PRODUCTION AND STUDY OF BIO GAZOLINES. World Science, (4 (76)). [CrossRef]
- Pettersson, M., Olofsson, J., Börjesson, P., & Björnsson, L. (2022). Reductions in greenhouse gas emissions through innovative co-production of bio-oil in combined heat and power plants. Applied Energy, 324, 119637. [CrossRef]
- Zhang, J., Zhang, S., Wu, L., Wang, Y., & Zheng, L. (2022). Simulation and CO2 emission analysis for co-processing of bio-oil and vacuum gas oil. In Computer Aided Chemical Engineering (Vol. 49, pp. 1027-1032). Elsevier.
- Kromer, M. A., Bandivadekar, A., & Evans, C. (2010). Long-term greenhouse gas emission and petroleum reduction goals: Evolutionary pathways for the light-duty vehicle sector. Energy, 35(1), 387-397. [CrossRef]
- McCollum, D., & Yang, C. (2009). Achieving deep reductions in US transport greenhouse gas emissions: Scenario analysis and policy implications. Energy Policy, 37(12), 5580-5596. [CrossRef]
- Bandivadekar, A., Cheah, L., Evans, C., Groode, T., Heywood, J., Kasseris, E., ... & Weiss, M. (2008). Reducing the fuel use and greenhouse gas emissions of the US vehicle fleet. Energy Policy, 36(7), 2754-2760. 7. [CrossRef]
- Difiglio, C., & Fulton, L. (2000). How to reduce US automobile greenhouse gas emissions. Energy, 25(7), 657-673. 7. [CrossRef]
- Zhang, D., Liu, G., Chen, C., Zhang, Y., Hao, Y., & Casazza, M. (2019). Medium-to-long-term coupled strategies for energy efficiency and greenhouse gas emissions reduction in Beijing (China). Energy Policy, 127, 350-360. [CrossRef]
- Gurz, M., Baltacioglu, E., Hames, Y., & Kaya, K. (2017). The meeting of hydrogen and automotive: a review. International journal of hydrogen energy, 42(36), 23334-23346. [CrossRef]
- T-Raissi, A., & Block, D. L. (2004). Hydrogen: automotive fuel of the future. IEEE Power and Energy Magazine, 2(6), 40-45. [CrossRef]
- Rizzi, F., Annunziata, E., Liberati, G., & Frey, M. (2014). Technological trajectories in the automotive industry: are hydrogen technologies still a possibility?. Journal of Cleaner Production, 66, 328-336. [CrossRef]
- Verhelst, S., & Wallner, T. (2009). Hydrogen-fueled internal combustion engines. Progress in energy and combustion science, 35(6), 490-527. [CrossRef]
- Verhelst, S. (2014). Recent progress in the use of hydrogen as a fuel for internal combustion engines. international journal of hydrogen energy, 39(2), 1071-1085. [CrossRef]
- White, C. M., Steeper, R. R., & Lutz, A. E. (2006). The hydrogen-fueled internal combustion engine: a technical review. International journal of hydrogen energy, 31(10), 1292-1305. [CrossRef]
- Ciniviz, M., & Köse, H. (2012). Hydrogen use in internal combustion engine: a review. International Journal of Automotive Engineering and Technologies, 1(1), 1-15.
- Boretti, A. (2020). Hydrogen internal combustion engines to 2030. International Journal of Hydrogen Energy, 45(43), 23692-23703.
- Verhelst, S. (2005). A study of the combustion in hydrogen-fuelled internal combustion engines.
- Onorati, A., Payri, R., Vaglieco, B. M., Agarwal, A. K., Bae, C., Bruneaux, G., ... & Zhao, H. (2022). The role of hydrogen for future internal combustion engines. International Journal of Engine Research, 23(4), 529-540. [CrossRef]
- Idriss, H., Scott, M., & Subramani, V. (2015). Introduction to hydrogen and its properties. In Compendium of hydrogen energy (pp. 3-19). Woodhead Publishing.
- McCarty, R. D., Cox, K. E., & Williamson, K. D. (2019). Hydrogen: Its Technology and Implications: Hydrogen Properties. CRC Press.
- Keçebaş, A., & Kayfeci, M. (2019). Hydrogen properties. In Solar Hydrogen Production (pp. 3-29). Academic Press.
- Zheng, J., Liu, X., Xu, P., Liu, P., Zhao, Y., & Yang, J. (2012). Development of high pressure gaseous hydrogen storage technologies. International journal of hydrogen energy, 37(1), 1048-1057. [CrossRef]
- Hua, T. Q., Ahluwalia, R. K., Peng, J. K., Kromer, M., Lasher, S., McKenney, K., & Sinha, J. (2011). Technical assessment of compressed hydrogen storage tank systems for automotive applications. International Journal of Hydrogen Energy, 36(4), 3037-3049.
- Baldwin, D. (2017). Development of high pressure hydrogen storage tank for storage and gaseous truck delivery (No. DOE-HEXAGON-GO18062). Hexagon Lincoln LLC, Lincoln, NE (United States).
- Crowl, D. A., & Jo, Y. D. (2007). The hazards and risks of hydrogen. Journal of Loss Prevention in the Process Industries, 20(2), 158-164.
- Ma, Q., He, Y., You, J., Chen, J., & Zhang, Z. (2023). Probabilistic risk assessment of fire and explosion of onboard high-pressure hydrogen system. International Journal of Hydrogen Energy. [CrossRef]
- Mogi, T., Kim, D., Shiina, H., & Horiguchi, S. (2008). Self-ignition and explosion during discharge of high-pressure hydrogen. Journal of Loss Prevention in the Process Industries, 21(2), 199-204. [CrossRef]
- Zhou, S., Luo, Z., Wang, T., He, M., Li, R., & Su, B. (2022). Research progress on the self-ignition of high-pressure hydrogen discharge: A review. International Journal of Hydrogen Energy, 47(15), 9460-9476. [CrossRef]
- Weiss, Martin & Paffumi, Elena & Clairotte, Michael & Drossinos, Yannis & Vlachos, Theodoros & Bonnel, Pierre & Giechaskiel, Barouch. (2017). Including cold-start emissions in the Real-Driving Emissions (RDE) test procedure. [CrossRef]
- Alomari, A. H., Khedaywi, T. S., Marian, A. R. O., & Jadah, A. A. (2022). Traffic speed prediction techniques in urban environments. Heliyon, 8(12). [CrossRef]
- Ahmad, F., Mahmud, S. A., & Yousaf, F. Z. (2016). Shortest processing time scheduling to reduce traffic congestion in dense urban areas. IEEE Transactions on Systems, Man, and Cybernetics: Systems, 47(5), 838-855. [CrossRef]
- Zambrano-Martinez, J. L., T. Calafate, C., Soler, D., Cano, J. C., & Manzoni, P. (2018). Modeling and characterization of traffic flows in urban environments. Sensors, 18(7), 2020.
- C. Armenta-Déu, J.P. C. Armenta-Déu, J.P. Carriquiry, S. Guzmán (2019) Capacity Correction Factor for Li-ion Batteries: Influence of the Discharge Rate. Journal of Energy Storage, Volume 25, Octobre 2019, 100839. 2019; 25. [Google Scholar]
- How do hybrid cars work?. Honda Engine Room. https://www.honda.co.uk/engineroom/electric/hybrid/how-hybrid-cars-work/ [Accessed online: 12/12/2023].
- Hyundai Hybrid Powertrains. Hybrid Technology. https://www.hyundai.com/eu/driving-hyundai/driving-technologies/powertrains/hybrid-powertrains.html [Accessed online: 11/12/2023].
- C. Armenta-Déu (2023) Evaluation of electric mode time using in hybrid vehicles. Part A: Urban Routes. Project RT-UCM 01/HEV-23. Internal report (Confidential).
- C. Armenta-Déu (2023) Evaluation of electric mode time using in hybrid vehicles. Part B: Intercity Routes. Project RT-UCM 01/HEV-23. Internal report (Confidential).
- C. Armenta-Déu (2023) Evaluation of electric mode time using in plug-in hybrid vehicles. Part A: Urban Routes. Project RT-UCM 02/HEV-23. Internal report (Confidential).
- C. Armenta-Déu (2023) Evaluation of electric mode time using in plug-in hybrid vehicles. Part B: Intercity Routes. Project RT-UCM 02/HEV-23. Internal report (Confidential).
- Automobile drag coefficient. Typical drag coefficients. Production cars. https://en.wikipedia.org/wiki/Automobile_drag_coefficient#:~:text=The%20average%20modern%20automobile%20achieves,a%20Cd%3D0.35–0.45. [Accessed online: 30/11/2023].
- Rolling resistance. Rolling resistance coefficient examples. Hibbeler, R.C. (2007). Engineering Mechanics: Statics & Dynamics (Eleventh ed.). Pearson, Prentice Hall. pp. 441–442. ISBN 9780132038096.
- Burton, T., Jenkins, N., Sharpe, D., &Bossanyi, E. (2011).Wind energy handbook. JohnWiley & Sons.
- Mathworks. Conventional Vehicle Powertrain Efficiency. https://www.mathworks.com/help/autoblks/ug/conventional-vehicle-powertrain-efficiency.html [Accessed online: 30/11/2023].
- The Efficiency of The Internal Combustion Engine. http://ffden-2.phys.uaf.edu/102spring2002_web_projects/z.yates/zach%27s%20web%20project%20folder/eMCI%20-%20main.htm#:˜:text=Mechanical%20efficiency%20is%20the%20percentageare%20about%2094%25%20mechanically%20efficient [Accessed online: 30/11/2023].
- Bargalló R., Llaverías, J. & Martín, H. EL VEHICULO ELECTRICO Y LA EFICIENCIA ENERGETICA GLOBAL. Departamento de Ingeniería Eléctrica – Universitat Politécnica de Catalunya. http://aedie.org/11chlie-papers/199-Bargallo.pdf [Accessed online: 25/11/2023].
- C. Armenta-Déu, H. Cortés (2023) Analysis of Kinetic Energy Recovery Systems in Electric Vehicles. Vehicles, 5(2), 387-403.
- Hubbert, M. K. (1949). Energy from fossil fuels. Science, 109(2823), 103-109.
- Fossil Fuels. Universidad de la Laguna. Technical Report. https://www.google.com/url?sa=t&rct=j&q=&esrc=s&source=web&cd=&ved=2ahUKEwjH0P3CwvqCAxUKRKQEHRF0DfEQFnoECCcQAQ&url=https%3A%2F%2Fjrguezs.webs.ull.es%2Ftecnologia%2Ftema4%2Fcombustibles.doc&usg=AOvVaw0pegFEvEPPJ0etAjnhRCgJ&opi=89978449 [Accessed online: 15/11/2023].
- C. Armenta-Déu, L. Carmona, C. Rincón (2023) Analysis and evaluation of the electric vehicles carbon footprint: application to environmental urban areas, Journal of Carbon Credits (under reviewing).
- Calculation of CO2 emissions. Autolexicon.net. https://www.autolexicon.net/en/articles/vypocet-emisi-co2/ [Accessed online: 02/12/2023].
- Jean Muhlbaier Dasch (1992) Nitrous Oxide Emissions from Vehicles, Journal of the Air & Waste Management Association, 42:1, 63-67. [CrossRef]
- Laskowski, P. P., Zimakowska-Laskowska, M., Zasina, D., Wiatrak, M. (2021). Comparative analysis of the emissions of carbon dioxide and toxic substances emitted by vehicles with ICE compared to the equivalent emissions of BEV. Combustion Engines, 187(4), 102-105. [CrossRef]
- Stedman, D. H.; Bishop, G. A.; Peddle, A.; On-Road Motor Vehicle Emissions including NH3, SO2 and NO2; California Air Resources Board: Sacramento, 2009.
- Platt, S.M., El Haddad, I., Pieber, S.M. et al. Gasoline cars produce more carbonaceous particulate matter than modern filter-equipped diesel cars. Sci Rep 7, 4926 (2017). [CrossRef]
- Johnson, Timothy, and Ameya Joshi. “Review of Vehicle Engine Efficiency and Emissions.” SAE International Journal of Engines, vol. 11, no. 6, 2018, pp. 1307–30. JSTOR, https://www.jstor.org/stable/26649163. Accessed 13 Dec. 2023.
- Albatayneh, A., Assaf, M. N., Alterman, D., & Jaradat, M. (2020). Comparison of the overall energy efficiency for internal combustion engine vehicles and electric vehicles. Rigas Tehniskas Universitates Zinatniskie Raksti, 24(1), 669-680. [CrossRef]
- Sergaki, E. S. (2012, June). Electric motor efficiency optimization as applied to electric vehicles. In International Symposium on Power Electronics Power Electronics, Electrical Drives, Automation and Motion (pp. 369-373). IEEE.
- «CHP | Cogeneration | GE Jenbacher | Gas Engines». Clarke Energy. Archivado desde el original el 30 de abril de 2012. Consultado el 28 de septiembre de 2013. 2013.
- Basic Principles of Vehicles Mechanic Transmission Systems. Unit 1. https://www.macmillaneducation.es/wp-content/uploads/2018/09/sistemas_transmision_libroalumno_unidad1muestra.pdf [Accessed online: 13/12/2023].
- Poderes Caloríficos de algunos combustibles. Refinadora Costarricense de Petróleo. https://www.recope.go.cr/productos/sistema-de-calidad/poderes-caloricos-de-algunos-combustibles/ [Accessed online: 14/12/2023].
- Energy density. Energy Education. University of Calgary. https://energyeducation.ca/encyclopedia/Energy_density [Accessed online: 14/12/2023].
- Montzka, S. A., Dlugokencky, E. J., & Butler, J. H. (2011). Non-CO2 greenhouse gases and climate change. Nature, 476(7358), 43-50. [CrossRef]
- Hegerl, G. C., & Cubasch, U. (1996). Greenhouse gas induced climate change. Environmental Science and Pollution Research, 3, 99-102.
- Lashof, D. A., & Ahuja, D. R. (1990). Relative contributions of greenhouse gas emissions to global warming. Nature, 344(6266), 529-531. [CrossRef]
- Guinée, J.B.; Gorrée, M.; Heijungs, R.; Huppes, G.; Kleijn, R.; de Koning, A.; van Oers, L.; Wegener Sleeswijk, A.; Suh, S.; Udo de Haes, H.A.; et al. Handbook on Life Cycle Assessment. Operational Guide to the ISO Standards. I: LCA in Perspective. IIa: Guide. IIb: Operational Annex. III: Scientific Background; Kluwer Academic Publishers: Dordrecht, The Netherlands, 2002.
- Cucurachi, S.; Scherer, L.; Guinee, J.; Tukker, A. Life cycle assessment of food systems. One Earth 2019, 1, 292–297. [CrossRef]
- Holka M, Kowalska J, Jakubowska M. Reducing Carbon Footprint of Agriculture—Can Organic Farming Help to Mitigate Climate Change? Agriculture. 2022; 12(9):1383. [CrossRef]
- Evaluation of Greenhouse Gas Emissions. 2. Life Cycle Assessment Framework. Scholarly Community Encyclopedia. https://encyclopedia.pub/entry/27225 [Accessed online: 29/11/2023].
- Handbook of Energy and Environment Policy. Celil Aydin and Burak Darici (eds). Ed. Peter Lang (2019) ISBN: 9783631803325 (softcover).
- Schott, A. B. S., Wenzel, H., & la Cour Jansen, J. (2016). Identification of decisive factors for greenhouse gas emissions in comparative life cycle assessments of food waste management–an analytical review. Journal of Cleaner Production, 119, 13-24. [CrossRef]
- [83] Shine, K. P., Fuglestvedt, J. S., Hailemariam, K., & Stuber, N. (2005). Alternatives to the global warming potential for comparing climate impacts of emissions of greenhouse gases. Climatic change, 68(3), 281-302. [CrossRef]
- Berners-Lee, M., Hoolohan, C., Cammack, H., & Hewitt, C. N. (2012). The relative greenhouse gas impacts of realistic dietary choices. Energy policy, 43, 184-190. [CrossRef]
- Prontzos, P. G., & Jones, A. (2004). Collateral damage: the human cost of structural violence. Genocide, War Crimes and the West: History and Complicity, 299-324.
- Eckelman, M. J., & Sherman, J. D. (2018). Estimated global disease burden from US health care sector greenhouse gas emissions. American journal of public health, 108(S2), S120-S122. [CrossRef]
- Gao, J., Kovats, S., Vardoulakis, S., Wilkinson, P., Woodward, A., Li, J., ... & Liu, Q. (2018). Public health co-benefits of greenhouse gas emissions reduction: A systematic review. Science of the Total Environment, 627, 388-402. [CrossRef]
- Kinney, P. L., O’Neill, M. S., Bell, M. L., & Schwartz, J. (2008). Approaches for estimating effects of climate change on heat-related deaths: challenges and opportunities. Environmental science & policy, 11(1), 87-96. [CrossRef]
- Costello, A., Abbas, M., Allen, A., Ball, S., Bell, S., Bellamy, R., ... & Patterson, C. (2009). Managing the health effects of climate change: lancet and University College London Institute for Global Health Commission. The lancet, 373(9676), 1693-1733.
- Kovats, R. S., Campbell-Lendrum, D., & Matthies, F. (2005). Climate change and human health: estimating avoidable deaths and disease. Risk Analysis: An International Journal, 25(6), 1409-1418. [CrossRef]
- Anderson-teixeira, K. J., & DeLUCIA, E. H. (2011). The greenhouse gas value of ecosystems. Global change biology, 17(1), 425-438. [CrossRef]
- Cai, Y., & Chang, S. X. (2020). Disturbance effects on soil carbon and greenhouse gas emissions in forest ecosystems. Forests, 11(3), 297. [CrossRef]
- Severinsky, A. J. (2020). Greenhouse Gasses’ Effect on Atmospheric Temperature Increase and the Observable Effects on Ecosystems. International Journal of Environmental and Ecological Engineering, 14(12), 362-370.
- Leip, A., Billen, G., Garnier, J., Grizzetti, B., Lassaletta, L., Reis, S., ... & Westhoek, H. (2015). Impacts of European livestock production: nitrogen, sulphur, phosphorus and greenhouse gas emissions, land-use, water eutrophication and biodiversity. Environmental Research Letters, 10(11), 115004. [CrossRef]
- Miles, L., & Kapos, V. (2008). Reducing greenhouse gas emissions from deforestation and forest degradation: global land-use implications. science, 320(5882), 1454-1455. [CrossRef]
- Lashof, D. A., & Ahuja, D. R. (1990). Relative contributions of greenhouse gas emissions to global warming. Nature, 344(6266), 529-531. [CrossRef]
- Yoro, K. O., & Daramola, M. O. (2020). CO2 emission sources, greenhouse gases, and the global warming effect. In Advances in carbon capture (pp. 3-28). Woodhead Publishing.
- Florides, G. A., & Christodoulides, P. (2009). Global warming and carbon dioxide through sciences. Environment international, 35(2), 390-401. [CrossRef]
- Desantes, J. M., Molina, S., Novella, R., & Lopez-Juarez, M. (2020). Comparative global warming impact and NOX emissions of conventional and hydrogen automotive propulsion systems. Energy Conversion and Management, 221, 113137. [CrossRef]
- Yu, Q., Zhang, T., Ma, X., Kang, R., Mulder, J., Larssen, T., & Duan, L. (2017). Monitoring effect of SO2 emission abatement on recovery of acidified soil and streamwater in southwest China. Environmental Science & Technology, 51(17), 9498-9506. [CrossRef]
- Galloway, J. N. (1989). Atmospheric acidification: projections for the future. Ambio, 161-166.
- Galloway, J. N. (2001). Acidification of the world: natural and anthropogenic. Water, Air, and Soil Pollution, 130, 17-24. [CrossRef]
- Energía y medio ambiente en la unión europea. Ed. Autor Editor. (2004) ISBN: 8483202638.
- Kaufman, Y. J., & Chou, M. D. (1993). Model simulations of the competing climatic effects of SO 2 and CO 2. Journal of climate, 6(7), 1241-1252. 7.
- Worldometer. CO2 Emissions. CO2 Emssions per Capita. https://www.worldometers.info/co2-emissions/co2-emissions-per-capita/ [Accessed online: 15/12/2023]. 1: [Accessed online, 2023.
- Per capita nitrox oxide emissions (2021). Our World in Data. https://ourworldindata.org/grapher/per-capita-nitrous-oxide?country [Accessed online: 15/12/2023].
- Smith, S. J., van Aardenne, J., Klimont, Z., Andres, R.,Volke, A., and elgado Arias, S.: Anthropogenic sulfur dioxide emissions: 1850–2005, Atmos. Chem. Phys. Discuss., 10, 16111-16151. [CrossRef]
- Vohra, K., Vodonos, A., Schwartz, J., Marais, E. A., Sulprizio, M. P., & Mickley, L. J. (2021). Global mortality from outdoor fine particle pollution generated by fossil fuel combustion: Results from GEOS-Chem. Environmental research, 195, 110754.
- Heft-Neal, S., Burney, J., Bendavid, E., & Burke, M. (2018). Robust relationship between air quality and infant mortality in Africa. Nature, 559(7713), 254-258. [CrossRef]
- Murray, C. J., Abbafati, C., Abbas, K. M., Abbasi, M., Abbasi-Kangevari, M., Abd-Allah, F., ... & Nagaraja, S. B. (2020). Five insights from the global burden of disease study 2019. The Lancet, 396(10258), 1135-1159. [CrossRef]
- Allen, L., Cobiac, L., & Townsend, N. (2017). Quantifying the global distribution of premature mortality from non-communicable diseases. Journal of Public Health, 39(4), 698-703. [CrossRef]







| HEV | PHEV | ||||||
| Vehicle speed → | Low | Medium | High | Low | Medium | High | |
| Driving pattern | Sport | 0.19 | 0.17 | 0.04 | 0.50 | 0.49 | 0.35 |
| Normal | 0.27 | 0.22 | 0.16 | 0.58 | 0.52 | 0.45 | |
| Eco | 0.38 | 0.28 | 0.21 | 0.64 | 0.60 | 0.55 | |
| Parameter | Unit | ICE | HEV | PHEV | EV | |
| Vehicle weight | kg | m | 1326 | 1421 | 1470 | 1644 |
| Front area | m2 | Af | 2.5 | |||
| Aerodynamic coefficient [56] | --- | Cx | 0.29 | |||
| Rolling coefficient [57] | --- | μ | 0.012 | |||
| Air density [58] | kg/m3 | ρ | 1.225 | |||
| Transmission efficiency [59] | --- | ηt | 0.93 | --- | ||
| ICE efficiency [60] | --- | ηeng | 0.30 (diesel)/0.25(gasoline) | --- | ||
| Electric engine efficiency [61] | --- | ηel | --- | 0.94 | ||
| Recovery energy coefficient [62] | --- | Cr | --- | 0.30 | --- | --- |
| Fuel combustion power [63] | kJ/kg | Qc | 47700 | --- | ||
| Fuel density [64] | kg/L | ρf | 0.680 | --- | ||
| segment | |||||||||||||
| 1 | 2 | 3 | 4 | 5 | 6 | 7 | 8 | 9 | 10 | 11 | 12 | 13 | |
| <v> (km/h) | 20 | 55 | 70 | 65 | 60 | 55 | 70 | 90 | 80 | 75 | 80 | 70 | 30 |
| a (m/s2) | 1,23 | 2,12 | 0,00 | -0,37 | 0,00 | -0,42 | 1,17 | 0,00 | -1,23 | 0,68 | 0,00 | -0,51 | -2,78 |
| d (km) | 0,05 | 0,06 | 2,5 | 0,135 | 1,85 | 0,1 | 0,185 | 2,65 | 0,1 | 0,085 | 2,75 | 0,21 | 0,05 |
| t (min) | 0,15 | 0,07 | 2,14 | 0,12 | 1,85 | 0,11 | 0,16 | 1,77 | 0,08 | 0,07 | 2,06 | 0,18 | 0,10 |
| v(i) (km/h) | 40 | 70 | 70 | 60 | 60 | 50 | 90 | 90 | 70 | 80 | 80 | 60 | 0 |
| θ (º) | 0 | 0 | 0 | 0 | 2,86 | 2,86 | 0 | 0 | 2,86 | 2,86 | 0 | 0 | 0 |
| Fuel type | CO2 (kg/L) | NOx (g/km) | SO2 (g/km) |
| Diesel | 2.640 | 17.5 | 0.030 |
| Petrol | 2.390 | 1.125 | 0.028 |
| LPG | 1.660 | 1.000 | 0.035 |
| CNG | 2.666 | 0.750 | 0.032 |
| Energy consumption (kWh/100 km) | |||
| Driving pattern | |||
| Vehicle type | Sport | Normal | Eco |
| HEV | 25.543 | 22.718 | 21.286 |
| PHEV | 16.911 | 14.636 | 12.020 |
| EV | 0.0 | 0.0 | 0.0 |
| Energy saving (%) | |||
| Driving pattern | |||
| Vehicle type | Sport | Normal | Eco |
| HEV | 6.8 | 17.1 | 22.3 |
| PHEV | 38.3 | 46.6 | 56.1 |
| EV | 100 | 100 | 100 |
| ICE cars | Electric vehicles | ||||||
| Gasoline | Diesel | LPG | CNG | HEV | PHEV | EV | |
| ηeng | 0.5 | 0.6 | 0.56 | 0.74 | 0.725 | 0.90 | |
| ηtr | 0.85-0.90 | 0.98 | |||||
| Q (kWh/L) | 9.690 | 10.129 | 7.200 | 7.947 | 9.690 | n.a. | |
| Engine type | CO2 (x103) | NO2 | SO2 |
| Gasoline | 28.572 | 0.951 | 1.484 |
| Diesel | 25.161 | 14.800 | 1.590 |
| GLP | 23.846 | 0.846 | 1.855 |
| GNC | 22.508 | 0.634 | 1.696 |
| HEV | 16.683 | 0.555 | 0.0009 |
| PHEV | 10.441 | 0.348 | 0.0005 |
| EV | 0 | 0 | 0 |
Disclaimer/Publisher’s Note: The statements, opinions and data contained in all publications are solely those of the individual author(s) and contributor(s) and not of MDPI and/or the editor(s). MDPI and/or the editor(s) disclaim responsibility for any injury to people or property resulting from any ideas, methods, instructions or products referred to in the content. |
© 2024 by the authors. Licensee MDPI, Basel, Switzerland. This article is an open access article distributed under the terms and conditions of the Creative Commons Attribution (CC BY) license (http://creativecommons.org/licenses/by/4.0/).