Submitted:
05 January 2024
Posted:
08 January 2024
You are already at the latest version
Abstract
Keywords:
1. Introduction
2. Materials and Methods
2.1. Study Area
2.2. Data
2.2.1. Observation Dataset
2.2.2. Simulation Dataset
2.3. Multi-Model Ensemble Techniques
2.3.1. Arithmetic Mean (AM) Ensemble
2.3.2. Multiple Linear Regression (MLR) Ensemble
2.3.3. Artificial Neural Network (ANN) Ensemble

2.4. Statistical Metrics for Model Evaluations
2.4.1. Taylor Diagram
| S/N | Station Name | Case | Variable | ANN Ensemble Inputs |
|---|---|---|---|---|
| 1 | Ilorin | ANN 3 | Precipitation | CNRM-CM5, MPI-ESM-LR, GFDL-ESM2M |
| ANN 2 | CNRM-CM5, MPI-ESM-LR, GFDL-ESM2M , EC-EARTH, MIROC5 | |||
| ANN 3 | Tmax | CNRM-CM5, CanESM2, MPI-ESM-LR | ||
| ANN 2 | CNRM-CM5, CanESM2, MPI-ESM-LR, MIROC5, NorESM1-M | |||
| ANN 3 | Tmin | CanESM2, NorESM1-M, GFDL-ESM2M | ||
| ANN 2 | CanESM2, NorESM1-M, GFDL-ESM2M, EC-EARTH, MPI-ESM-LR | |||
| ANN 1 | Precipitation/ Tmax/Tmin | CanESM2, CNRM-CM5, EC-EARTH, MIROC5, MPI-ESM-LR, NorESM1-M, GFDL-ESM2M |
2.4.2. Mean Absolute Error (MAE), Root Mean Squared Error (RMSE) and Nash–Sutcliffe Efficiency (NSE)
2.5. Mann-Kendall Trend Test
3. Results
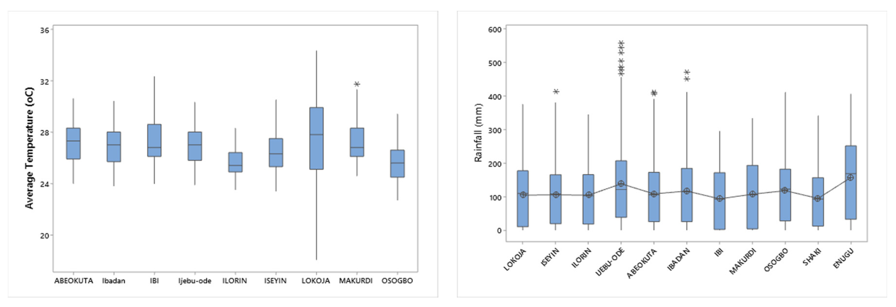
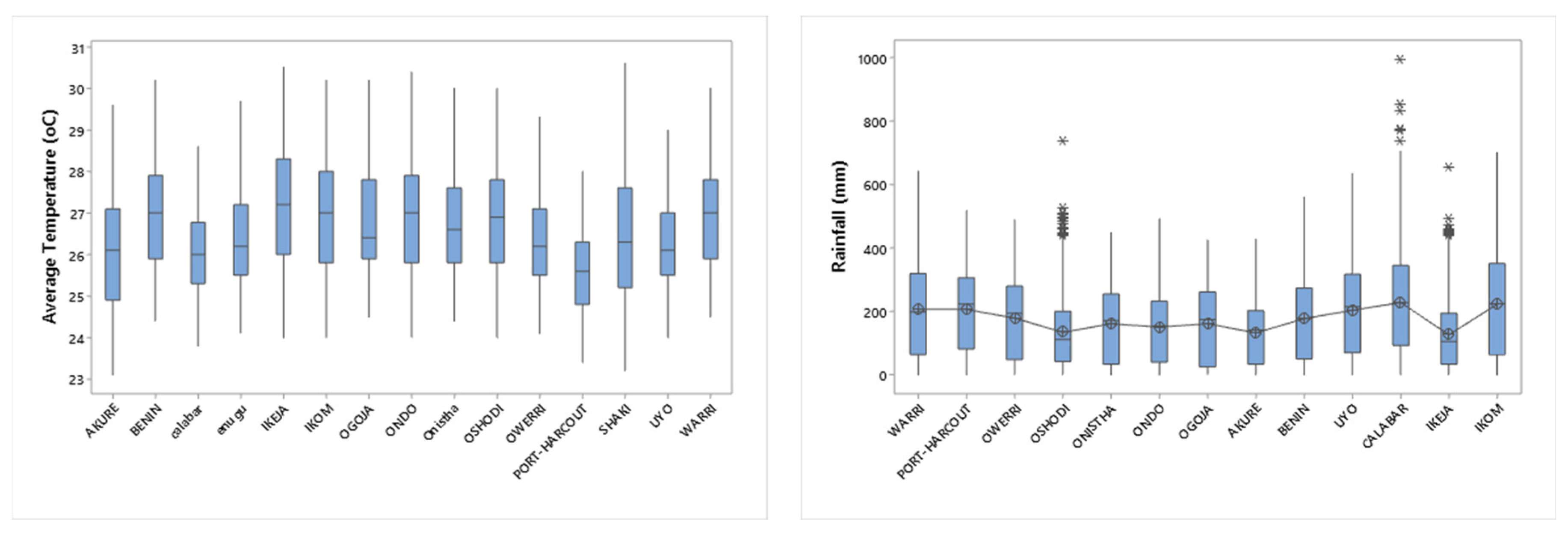
3.1. Summary of Historical Metrological Information (Observation Dataset)
3.2. Comparison between Observed (CRU) and GCM Dataset
3.3. Comparison between ANN, MLR and AM Ensembles
3.4. ANN Ensemble Accuracy Assessment




3.5. Trends Analysis of Historical Rainfall and Temperature
3.6. Comparison of Rainfall and Temperature Trend for Historical, and Future Scenarios
4. Conclusions
Supplementary Materials
Author Contributions
Acknowledgments
Conflicts of Interest
References
- Adedapo, A. (2020). Trend Analysis of Temperature and Humidity in Kwara State, Nigeria. Journal of Environmental Geography, 13(3–4). [CrossRef]
- Adenle, A., Eckert, S., Ifejika Speranza, C., Oluwatola, A., & Ellison, D. (2020). Human-induced land degradation dominance in the Nigerian Guinea Savannah between 2003 – 2018. Remote Sensing Applications: Society and Environment, 19, 100360. [CrossRef]
- Ajetomobi, J., Ajiboye, A., & Rashid, H. (2011). IMPACTS OF CLIMATE CHANGE ON RICE AGRICULTURE IN NIGERIA [IMPACTOS DEL CAMBIO CLIMÁTICO EN. Tropical and Subtropical Agroecosystems, 14, 613–622.
- Akinbile, C. O., Akinlade, G. M., & Abolude, A. T. (2015). Trend analysis in climatic variables and impacts on rice yield in Nigeria. Journal of Water and Climate Change, 6(3). [CrossRef]
- Akinbile, C., Ogunmola, O., Abolude, A., & Akande, S. (2019). Trends and spatial analysis of temperature and rainfall patterns on rice yields in Nigeria. Atmospheric Science Letters. [CrossRef]
- Akpenpuun, T. D., & Busari, R. A. (2018). Impact of climate on the yield of major tuber crops in Kwara State, Nigeria. Global Journal of Agricultural Sciences, 16(1). [CrossRef]
- Atiah, W. A., Amekudzi, L. K., Aryee, J. N. A., Preko, K., & Danuor, S. K. (2020). Validation of satellite and merged rainfall data over Ghana, West Africa. Atmosphere, 11(8). [CrossRef]
- Attogouinon, A., Lawin, A., N’Tcha M’Po, Y., & Houngue, R. (2017). Extreme Precipitation Indices Trend Assessment over the Upper Oueme River Valley-(Benin). Hydrology, 4, 36. [CrossRef]
- Ayanlade, A. (2009). Seasonal rainfall variability in Guinea Savanna part of Nigeria: A GIS approach. International Journal of Climate Change Strategies and Management, 1(3). [CrossRef]
- Battisti, R., Sentelhas, P. C., & Boote, K. J. (2017). Inter-comparison of performance of soybean crop simulation models and their ensemble in southern Brazil. Field Crops Research, 200. [CrossRef]
- Bello, A., Bashir, Bello, Y., Adebayo, A. A., & Abubakar. (2020). ANALYSIS OF RAINFALL… ANALYSIS OF RAINFALL AND TEMPERATURE CHANGES IN GOMBE STATE, NIGERIA. FJS FUDMA Journal of Sciences (FJS (Vol. 4).
- Bello, N. J. (1998). Evidence of climate change based on rainfall records in Nigeria. Weather, 53(12). [CrossRef]
- Bichet, A., & Diedhiou, A. (2018). West African Sahel has become wetter during the last 30 years, but dry spells are shorter and more frequent. Climate Research, 75(2), 155–162. [CrossRef]
- Buis, A. (2020). Milankovitch (Orbital) Cycles and Their Role in Earth’s Climate – Climate Change: Vital Signs of the Planet. Nasa Global Cimate Change.
- Chen, H., Xu, C. Y., & Guo, S. (2012). Comparison and evaluation of multiple GCMs, statistical downscaling and hydrological models in the study of climate change impacts on runoff. Journal of Hydrology, 434–435. [CrossRef]
- Chokkavarapu, N., & Mandla, V. R. (2019). Comparative study of GCMs, RCMs, downscaling and hydrological models: a review toward future climate change impact estimation. In SN Applied Sciences (Vol. 1, Issue 12). [CrossRef]
- Crawford, J., Venkataraman, K., & Booth, J. (2019). Developing climate model ensembles: A comparative case study. Journal of Hydrology, 568. [CrossRef]
- Demessie, S. F., Dile, Y. T., Bedadi, B., Gashaw, T., & Tefera, G. W. (2023). “Evaluations of regional climate models for simulating precipitation and temperature over the Guder sub-basin of Upper Blue Nile Basin, Ethiopia.” Modeling Earth Systems and Environment. [CrossRef]
- Dieterich, C., Schimanke, S., Wang, S., Väli, G., & Liu, Y. (2013). Evaluation of the SMHI coupled atmosphere-ice-ocean model RCA4-NEMO. https://www.diva-portal.org/smash/record.jsf?pid=diva2:947918.
- Duarte, Y. C. N., & Sentelhas, P. C. (2020). NASA/POWER and DailyGridded weather datasets—how good they are for estimating maize yields in Brazil? International Journal of Biometeorology, 64(3). [CrossRef]
- Dunbar, O. R. A., Garbuno-Inigo, A., Schneider, T., & Stuart, A. M. (2021). Calibration and Uncertainty Quantification of Convective Parameters in an Idealized GCM. Journal of Advances in Modeling Earth Systems, 13(9). [CrossRef]
- Emeribe, C. N., Uwadia, N. O., Fasipe, O. A., & E. S., I. (2017). Inter-Decadal Nature of Rainfall Character Over Sudano-Sahel, North-West Nigeria. African Research Review, 11(4). [CrossRef]
- Gbode, I. E., Adeyeri, O. E., Menang, K. P., Intsiful, J. D. K., Ajayi, V. O., Omotosho, J. A., & Akinsanola, A. A. (2019). Observed changes in climate extremes in Nigeria. Meteorological Applications, 26(4). [CrossRef]
- Ghadirnezhad, R., & Fallah, A. (2014). Temperature effect on yield and yield components of different rice cultivars in flowering stage. International Journal of Agronomy, 2014. [CrossRef]
- Gnitou, G. T., Ma, T., Tan, G., Ayugi, B., Nooni, I. K., Alabdulkarim, A., & Tian, Y. (2019). Evaluation of the rossby centre regional climate model rainfall simulations over west africa using large-scale spatial and temporal statistical metrics. Atmosphere, 10(12). [CrossRef]
- Guo, D., & Wang, H. (2016). Comparison of a very-fine-resolution GCM with RCM dynamical downscaling in simulating climate in China. Advances in Atmospheric Sciences, 33(5). [CrossRef]
- Gyamfi, C., Tindan, J. Z. O., & Kifanyi, G. E. (2021). Evaluation of CORDEX Africa multi-model precipitation simulations over the Pra River Basin, Ghana. Journal of Hydrology: Regional Studies, 35, 100815. [CrossRef]
- Handoko, U., Boer, R., Aldrian, E., Latifah, A. L., Dasanto, B. D., Apip, A., & Misnawati, M. (2019). Comparison Performance of the Multi-Regional Climate Model (RCM) in Simulating Rainfall and Air Temperature in Batanghari Watershed. Aceh International Journal of Science and Technology, 8(2). [CrossRef]
- Harris, I., Osborn, T. J., Jones, P., & Lister, D. (2020). Version 4 of the CRU TS monthly high-resolution gridded multivariate climate dataset. Scientific Data, 7(1), 109. [CrossRef]
- Hernández-Díaz, L., Laprise, R., Sushama, L., Martynov, A., Winger, K., & Dugas, B. (2013). Climate simulation over CORDEX Africa domain using the fifth-generation Canadian Regional Climate Model (CRCM5). Climate Dynamics, 40(5), 1415–1433. [CrossRef]
- Ibitolu, H. A., & Balogun, I. (2019). An assessment of drought in Northern Nigeria using spatiotemporal remote sensing data. In Proceedings of the International Astronautical Congress, IAC (Vol. 2019-October).
- 32. IPCC. (2014). IPCC’s Fifth assessment Report: Impacts, Adaptation, and Vulnerability. IPCC WG2.
- Kumi, N., Abiodun -, B. J., Abdi, A. M., Seaquist, J., Tenenbaum, D. E., Porkka, M., … Gordon, L. J. (2021). Is wetter better? Exploring agriculturally-relevant rainfall characteristics over four decades in the Sahel. Environmental Research Letters, 16(3), 035002. Retrieved 29 August 2022 from. [CrossRef]
- Jang, D. (2021). An Application of ANN Ensemble for Estimating of Precipitation Using Regional Climate Models. Advances in Civil Engineering, 2021. [CrossRef]
- Jose, D. M., Vincent, A. M., & Dwarakish, G. S. (2022). Improving multiple model ensemble predictions of daily precipitation and temperature through machine learning techniques. Scientific Reports, 12(1). [CrossRef]
- Kim, C. G., Park, J., & Cho, J. (2018). Future Climate Change Impact Assessment of Chungju Dam Inflow Considering Selection of GCMs and Downscaling Technique. Journal of Climate Change Research, 9(1). [CrossRef]
- Lange, S., & Vinke, K. (2021). Climate Risk Profile: Sahel * Summary. Retrieved 7 September 2022 from.
- le Blanc, D., & Perez, R. (2008). The relationship between rainfall and human density and its implications for future water stress in Sub-Saharan Africa. Ecological Economics, 66(2–3). [CrossRef]
- Lim, C. M., Yhang, Y. bin, & Ham, S. (2019). Application of GCM bias correction to RCM simulations of East Asian winter climate. Atmosphere, 10(7). [CrossRef]
- 40. Maraun, Douglas, Theodore G. Shepherd, Martin Widmann, Guiseppe Zappa, Daniel Walton, Jose M. Guitierrex, Stefan Hagemann, (2017). Towards Process-Informed Bias Correction of Climate Change Simulations. Nature Climate Change 7 (11):764-73.
- Mascaro, G., White, D. D., Westerhoff, P., & Bliss, N. (2015). Performance of the CORDEX-Africa regional climate simulations in representing the hydrological cycle of the Niger River basin. Journal of Geophysical Research: Atmospheres, 120(24), 12425–12444. [CrossRef]
- Meenal, R., Michael, P. A., Pamela, D., & Rajasekaran, E. (2021). Weather prediction using random forest machine learning model. Indonesian Journal of Electrical Engineering and Computer Science, 22(2). [CrossRef]
- Mereu, V., Carboni, G., Gallo, A., Cervigni, R., & Spano, D. (2015). Impact of climate change on staple food crop production in Nigeria. Climatic Change, 132(2). [CrossRef]
- Mertz, O., D’haen, S., Maiga, A., Moussa, I. B., Barbier, B., Diouf, A., … Dabi, D. (2012). Climate variability and environmental stress in the Sudan-Sahel zone of West Africa. Ambio, 41(4). [CrossRef]
- 45. Nissan, Hannah, Lisa Goddard, Erin Coughlan de Perez, John Furlow, Walter Baethgen, Madeleine C. Thomson, and Simon J. Mason. (2019). On the Use and Misuse of Climate Change Projections in International Development. WIRES Climate Change 10 (3): e579.. [CrossRef]
- Odigwe, M., Efe, S. I., & Atubi, A. O. (2020). A Statistical Discourse of the Climate of the Niger Delta Region of Nigeria. Journal of Management and Social Science Research, 1(1/2). [CrossRef]
- Ogungbenro, S. B., & Morakinyo, T. E. (2014). Rainfall distribution and change detection across climatic zones in Nigeria. Weather and Climate Extremes, 5(1). [CrossRef]
- Ogunjo, S., Ife-Adediran, O., Owoola, E., & Fuwape, I. (2019). Quantification of historical drought conditions over different climatic zones of Nigeria. Acta Geophysica, 67(3). [CrossRef]
- Ogunrinde, A. T., Oguntunde, P. G., Akinwumiju, A. S., & Fasinmirin, J. T. (2019). Analysis of recent changes in rainfall and drought indices in Nigeria, 1981–2015. Hydrological Sciences Journal. [CrossRef]
- Ogunrinde, A. T., Oguntunde, P. G., Fasinmirin, J. T., & Akinwumiju, A. S. (2020). Application of artificial neural network for forecasting standardized precipitation and evapotranspiration index: A case study of Nigeria. Engineering Reports, 2(7), e12194. [CrossRef]
- Ogunrinde, A. T., Olasehinde, D. A., & Olotu, Y. (2020). Assessing the sensitivity of standardized precipitation evapotranspiration index to three potential evapotranspiration models in Nigeria. Scientific African, 8. [CrossRef]
- Oguntunde, P. G., Abiodun, B. J., & Lischeid, G. (2017). Impacts of climate change on hydro-meteorological drought over the Volta Basin, West Africa. Global and Planetary Change. [CrossRef]
- Oguntunde, P. G., Lischeid, G., & Abiodun, B. J. (2017). Impacts of climate variability and change on drought characteristics in the Niger River Basin, West Africa. Stochastic Environmental Research and Risk Assessment 2017 32:4, 32(4), 1017–1034. Retrieved 26 July 2021 from. [CrossRef]
- Ojo, D., Connaughton, M., Kintomo, A., Olajide-Taiwo, L. O., & Afolayan, S. (2011). Assessment of irrigation systems for dry season vegetable production in urban and peri-urban zones of Ibadan and Lagos, Southwestern Nigeria. African Journal of Agricultural Research, 6.
- Olaniran, O. J. (1986). On the classification of tropical climates for the study of regional climatology: Nigeria as a case study. Geografiska Annaler, Series A. [CrossRef]
- Onah, E. I. (2020). Nigeria: A Country Profile. Journal of International Studies. [CrossRef]
- Pohl, B., & Douville, H. (2011). Diagnosing GCM errors over West Africa using relaxation experiments. Part II: Intraseasonal variability and African easterly waves. Climate Dynamics, 37(7–8). [CrossRef]
- Pausata, F. S. R., Gaetani, M., Messori, G., Berg, A., Maia de Souza, D., Sage, R. F., & deMenocal, P. B. (2020). The Greening of the Sahara: Past Changes and Future Implications. One Earth, 2(3), 235–250. Retrieved 29 August 2022 from. [CrossRef]
- Rogelj, J., Meinshausen, M., & Knutti, R. (2012). Global warming under old and new scenarios using IPCC climate sensitivity range estimates. Nature Climate Change, 2(4), 248–253. [CrossRef]
- Raju, K. S., & Kumar, D. N. (2020). Review of approaches for selection and ensembling of GCMS. In Journal of Water and Climate Change (Vol. 11, Issue 3). [CrossRef]
- Rezaie-Balf, M., Kim, S., Fallah, H., & Alaghmand, S. (2019). Daily river flow forecasting using ensemble empirical mode decomposition based heuristic regression models: Application on the perennial rivers in Iran and South Korea. Journal of Hydrology, 572. [CrossRef]
- Rowell, David P., Catherine A. Senior, Michael Vellinga, and Richard J. Graham (2016). Can Climate Projection Uncertainty Be Constrained Over Africa using Metrics of Contemporary Performance? Climate Change 134 (4):621-33. [CrossRef]
- Salami, A. W., Olanlokun, O., Salami, A. W., Mohammed, A. A., Abdulmalik, Z. H., & Olanlokun, O. K. (2014). Trend Analysis of Hydro-meteorological Variables using the Mann-Kendall Trend Test: Application to the Niger River and the Benue Sub-Basins in Nigeria. International Journal of Technology, 2, 100–110. Retrieved 30 November 2021 from. [CrossRef]
- Sallaba, F., Olin, S., Engström, K., Abdi, A. M., Boke-Olén, N., Lehsten, V., … Seaquist, J. W. (2017). Future supply and demand of net primary production in the Sahel. Earth System Dynamics, 8(4). [CrossRef]
- Schmidli, J., Frei, C., & Vidale, P. L. (2006). Downscaling from GCM precipitation: A benchmark for dynamical and statistical downscaling methods. International Journal of Climatology, 26(5). [CrossRef]
- Seager, Richard Naomi Henderson, and Mark Cane (2022). Persistent Discrepancies between Observed and Modeled Trends in the Tropical Pacific Ocean. Journal of Climate 35(14):4571-84. [CrossRef]
- Siddig, K., Stepanyan, D., Wiebelt, M., Grethe, H., & Zhu, T. (2020). Climate change and agriculture in the Sudan: Impact pathways beyond changes in mean rainfall and temperature. Ecological Economics, 169. [CrossRef]
- Sharma, C., Ojha, C. S. P., Shukla, A. K., Pham, Q. B., Linh, N. T. T., Fai, C. M., Loc, H. H., & Dung, T. D. (2019). Modified approach to reduce GCM bias in downscaled precipitation: A study in Ganga River Basin. Water (Switzerland), 11(10). [CrossRef]
- Shrivastava, G., Karmakar, S., Kumar Kowar, M., & Guhathakurta, P. (2012). Application of Artificial Neural Networks in Weather Forecasting: A Comprehensive Literature Review. International Journal of Computer Applications, 51(18). [CrossRef]
- Stouffer, D. B., Curtsdotter, A., Banks, H. T., Banks, J. E., Jonsson, M., Jonsson, T., Laubmeier, A. N., & Bommarco, R. (2019). All ecological models are wrong, but some are useful. Journal of Animal Ecology, 88(2). [CrossRef]
- Stute, M., Clement, A., & Lohmann, G. (2001). Global climate models: Past, present, and future. Proceedings of the National Academy of Sciences of the United States of America, 98(19). [CrossRef]
- Taylor, S. (2005). Taylor Diagram Primer Karl E. Taylor. Work. Pap, January.
- Tealab, A., Hefny, H., & Badr, A. (2017). Forecasting of nonlinear time series using ANN. Future Computing and Informatics Journal, 2(1). [CrossRef]
- Tunde, A. M., Adeleke, E. A., & Adeniyi, E. E. (2013). Impact of climate variability on human health in Ilorin, Nigeria. Environment and Natural Resources Research. [CrossRef]
- Vaittinada Ayar, P., Vrac, M., & Mailhot, A. (2021). Ensemble bias correction of climate simulations: preserving internal variability. Scientific Reports, 11(1). [CrossRef]
- van Vuuren, D. P., Edmonds, J., Kainuma, M., Riahi, K., Thomson, A., Hibbard, K., … Rose, S. K. (2011). The representative concentration pathways: An overview. Climatic Change. [CrossRef]
- Washington, R., Harrison, M., Conway, D., Black, E., Challinor, A., Grimes, D., Jones, R., Morse, A., Kay, G., & Todd, M. (2006). African climate change: Taking the shorter route. Bulletin of the American Meteorological Society, 87(10). [CrossRef]
- Willmott, C. J., & Matsuura, K. (2005). Advantages of the mean absolute error (MAE) over the root mean square error (RMSE) in assessing average model performance. Climate Research, 30(1), 79–82. [CrossRef]
- World Bank. (2015). Climate and Health country Profile - 2015 Nigeria. World Bank Global Health Expenditure Database United Nations Development Programme Human Development Reports. http://apps.who.int.ezproxy.lib.gla.ac.uk/iris/bitstream/10665/246140/1/WHO-FWC-PHE-EPE-15.40-eng.pdf.
- Yang, X., Xie, X., Liu, D. L., Ji, F., & Wang, L. (2015). Spatial Interpolation of Daily Rainfall Data for Local Climate Impact Assessment over Greater Sydney Region. Advances in Meteorology, 2015. [CrossRef]
- Xu, Z., Han, Y., & Yang, Z. (2019). Dynamical downscaling of regional climate: A review of methods and limitations. In Science China Earth Sciences (Vol. 62, Issue 2). [CrossRef]
- Xu, Z., & Yang, Z. L. (2015). A new dynamical downscaling approach with GCM bias corrections and spectral nudging. Journal of Geophysical Research, 120(8). [CrossRef]










| S/N | Modeling Center or Institute | Resolution of GCM | GCM Output Name | RCM name |
| 1 | Canadian Centre for Climate Modelling and Analysis (CCCMA) | 2.8o x 2.8o | CCCCMA-CanESM2 | CCCMA-RCA4 |
| 2 | Centre National de Recherches Météorologiques (CNRM) | 1.4o x 1.4o | CNRM-CERFACS-CNRM-CM5 | CNRM-RCA4 |
| 3 | NOAA Geophysical Fluid Dynamics Laboratory (NOAA-GDFL) |
2.5o x 2.0o |
NOAA-GDFL-GDFL-ESM2M | NOAA-RCA4 |
| 4 | EC-EARTH consortium (ICHEC-EC) |
1.9o x 1.3o |
ICHEC-EC-EARTH | ICHEC-RCA4 |
| 5 | Atmosphere and Ocean Research Institute (The University of Tokyo), National Institute for Environmental Studies, and Japan Agency for Marine-Earth Science and Technology | 1.4o x 1.4o | MIROC-MIROC5 | MIROC-RCA4 |
| 6 | Max-Planck-Institut für Meteorologie (Max Planck Institute for Meteorology) | 1.9o x 1.9o |
MPI-M-MPI-ESM-LR | MPI-RCA4 |
| 7 | Norwegian Climate Centre | 2.5o x 1.9o |
NCC-NorESM1-M | NCC-RCA4 |
| Correlation | Criteria |
|---|---|
| 0.9 to 1.0 | Very high correlation |
| 0.7 to 0.9 | High correlation |
| 0.5 to 0.7 | Moderate correlation |
| 0.3 to 0.5 | Low correlation |
| 0.0 to 0.3 | Correlation can be ignored |
| Zone | Test | variable | Jan | Feb | Mar | Apr | May | Jun | Jul | Aug | Sep | Oct | Nov | Dec | Average |
|---|---|---|---|---|---|---|---|---|---|---|---|---|---|---|---|
| SAS | Z- value | Mean Temperature | -0.83 | 1.62 | 2.94 | 5.11 | 5.11 | 5.59 | 4.67 | 4.10 | 3.98 | 4.99 | 2.94 | 1.08 | 5.94 |
| Rainfall | Na | Na | Na | 0.38 | -0.42 | 0.93 | 0.14 | -0.77 | 0.47 | 1.34 | Na | Na | -0.50 | ||
| Sen’s slope | Mean Temperature | 0.00 | 0.01 | 0.02 | 0.03 | 0.02 | 0.02 | 0.02 | 0.02 | 0.01 | 0.02 | 0.02 | 0.01 | 0.01 | |
| Rainfall | Na | Na | Na | 0.00 | -0.05 | 0.27 | 0.05 | -0.24 | 0.15 | 0.10 | Na | Na | -0.31 | ||
| SUS | Z- value | Mean Temperature | 0.33 | 1.99 | 4.45 | 5.88 | 4.33 | 3.73 | 5.23 | 4.67 | 5.33 | 4.92 | 4.33 | 2.30 | 6.93 |
| Rainfall | Na | 2.22 | 0.44 | 0.52 | -0.12 | -0.03 | -1.40 | -0.97 | -1.06 | 1.66 | 3.32 | Na | -2.47 | ||
| Sen’s slope | Mean Temperature | 0.00 | 0.02 | 0.02 | 0.02 | 0.02 | 0.02 | 0.02 | 0.02 | 0.02 | 0.02 | 0.02 | 0.01 | 0.02 | |
| Rainfall | 0.00 | 0.00 | 0.00 | 0.06 | -0.02 | -0.01 | -0.40 | -0.28 | -0.28 | 0.26 | 0.00 | 0.00 | -1.67 | ||
| NGS | Z- value | Mean Temperature | 0.45 | 1.93 | 4.21 | 5.17 | 4.78 | 3.73 | 4.74 | 4.60 | 4.71 | 4.67 | 3.98 | 1.93 | 6.64 |
| Rainfall | Na | 2.52 | -2.68 | 0.33 | 0.04 | 0.93 | -1.23 | 0.42 | -0.57 | 1.87 | 1.66 | Na | 0.00 | ||
| Sen’s slope | Mean Temperature | 0.00 | 0.00 | 0.02 | 0.02 | 0.02 | 0.01 | 0.02 | 0.02 | 0.02 | 0.02 | 0.02 | 0.01 | 0.02 | |
| Rainfall | 0.00 | 0.00 | -0.06 | 0.06 | 0.01 | 0.18 | -0.30 | 0.09 | -0.20 | 0.45 | 0.00 | 0.00 | 0.01 | ||
| SGS | Z- value | Mean Temperature | 1.15 | 2.90 | 5.64 | 5.07 | 4.17 | 4.25 | 4.69 | 4.32 | 4.66 | 4.84 | 5.00 | 2.98 | 6.45 |
| Rainfall | -1.22 | 0.83 | -2.32 | -0.70 | 0.12 | 0.80 | -1.33 | 1.33 | -1.18 | 0.34 | -0.75 | Na | 0.12 | ||
| Sen’s slope | Mean Temperature | 0.01 | 0.01 | 0.02 | 0.02 | 0.01 | 0.01 | 0.01 | 0.01 | 0.01 | 0.01 | 0.02 | 0.01 | 0.01 | |
| Rainfall | 0.00 | 0.00 | -0.18 | -0.14 | 0.02 | 0.16 | -0.37 | 0.45 | -0.31 | 0.09 | 0.00 | 0.00 | 0.08 | ||
| DRS | Z- value | Mean Temperature | 2.19 | 4.36 | 5.73 | 4.25 | 4.26 | 4.24 | 4.65 | 4.27 | 3.98 | 4.29 | 5.42 | 4.31 | 6.13 |
| Rainfall | 0.06 | 1.46 | -2.45 | -1.23 | -0.68 | 0.64 | -0.94 | 2.13 | 1.37 | 0.44 | -0.33 | 0.01 | 0.10 | ||
| Sen’s slope | Mean Temperature | 0.01 | 0.02 | 0.02 | 0.02 | 0.01 | 0.01 | 0.01 | 0.01 | 0.01 | 0.01 | 0.02 | 0.02 | 0.01 | |
| Rainfall | 0.00 | 0.05 | -0.31 | -0.26 | -0.12 | 0.10 | -0.20 | 0.64 | 0.28 | 0.13 | -0.01 | 0.00 | 0.09 | ||
| HMF | Z- value | Mean Temperature | 2.40 | 4.88 | 5.19 | 3.73 | 4.55 | 4.84 | 4.82 | 4.33 | 4.07 | 4.19 | 5.70 | 4.63 | 5.93 |
| Rainfall | -0.76 | 0.38 | -2.66 | -1.26 | -0.86 | -0.63 | -0.56 | 2.50 | 2.14 | 0.32 | -1.08 | -0.93 | 0.35 | ||
| Sen’s slope | Mean Temperature | 0.01 | 0.02 | 0.02 | 0.01 | 0.01 | 0.01 | 0.01 | 0.01 | 0.01 | 0.01 | 0.02 | 0.02 | 0.01 | |
| Rainfall | -0.03 | 0.05 | -0.49 | -0.33 | -0.17 | -0.17 | 0.74 | 1.10 | 0.93 | 0.09 | -0.15 | -0.06 | 0.38 | ||
| ALT | Z- value | Mean Temperature | 0.41 | 2.12 | 4.09 | 5.45 | 5.44 | 4.39 | 4.81 | 4.81 | 4.42 | 4.90 | 4.06 | 1.80 | 7.06 |
| Rainfall | 1.74 | 2.27 | -1.89 | -0.34 | 0.02 | 0.40 | -0.39 | 1.57 | -1.21 | 1.72 | 0.10 | Na | -0.09 | ||
| Sen’s slope | Mean Temperature | 0.00 | 0.01 | 0.02 | 0.02 | 0.02 | 0.01 | 0.02 | 0.01 | 0.01 | 0.01 | 0.02 | 0.01 | 0.01 | |
| Rainfall | 0.00 | 0.01 | -0.14 | -0.07 | 0.01 | 0.08 | -0.11 | 0.38 | -0.31 | 0.32 | 0.00 | 0.00 | -0.10 |
Disclaimer/Publisher’s Note: The statements, opinions and data contained in all publications are solely those of the individual author(s) and contributor(s) and not of MDPI and/or the editor(s). MDPI and/or the editor(s) disclaim responsibility for any injury to people or property resulting from any ideas, methods, instructions or products referred to in the content. |
© 2024 by the authors. Licensee MDPI, Basel, Switzerland. This article is an open access article distributed under the terms and conditions of the Creative Commons Attribution (CC BY) license (http://creativecommons.org/licenses/by/4.0/).
