Submitted:
24 December 2023
Posted:
26 December 2023
You are already at the latest version
Abstract
Keywords:
1. Introduction
1.1. Correlation between visual perception and environmental evaluation in leisure activities
1.2. Research on visual perception using eye tracker and virtual reality technology
1.3. Machine learning predicts visual perception preference and evaluation model optimization
1.4. Research Objective
2. Method
2.1. Case study
2.2. SD questionnaire
2.2.1. SD questionnaire focus
2.2.2. SD questionnaire Settings
2.2.3. Participants of the SD questionnaire survey
2.3. Eye tracker
2.3.1. Real scene eye tracker
2.3.2. VR eye tracker
2.4. Orthogonal experiment
2.4.1. Orthogonal experimental setup


2.4.2. Orthogonal experiment procedure
2.5. Machine learning and genetic algorithms
2.5.1. Machine learning
2.5.1.1. Decision Tree
2.5.1.2. Support Vector Machines
2.5.1.3. K-nearest neighbor (KNN)
2.5.1.4. Artificial Neural Network (ANN)
2.5.2. Genetic algorithm
3. Results
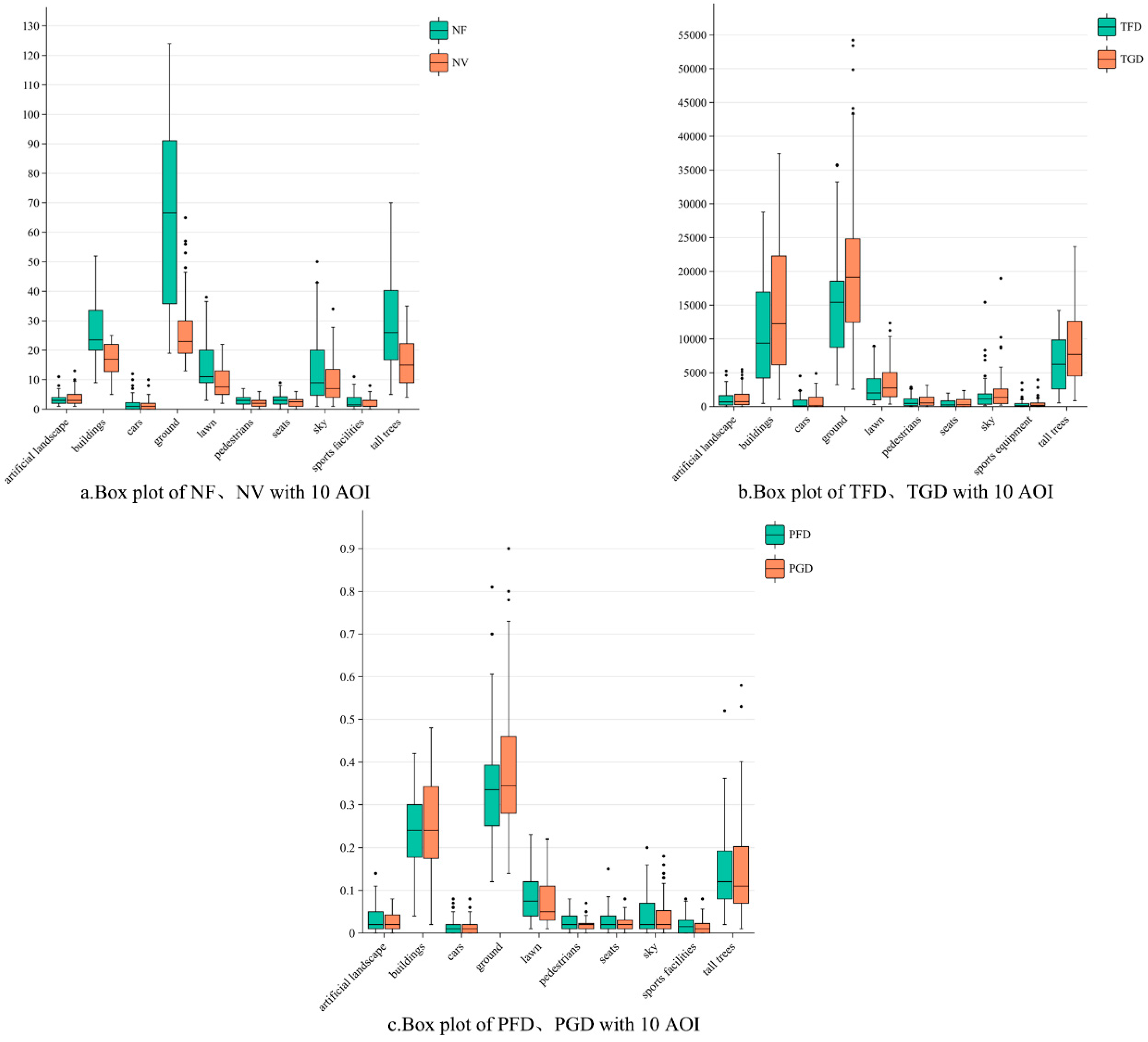
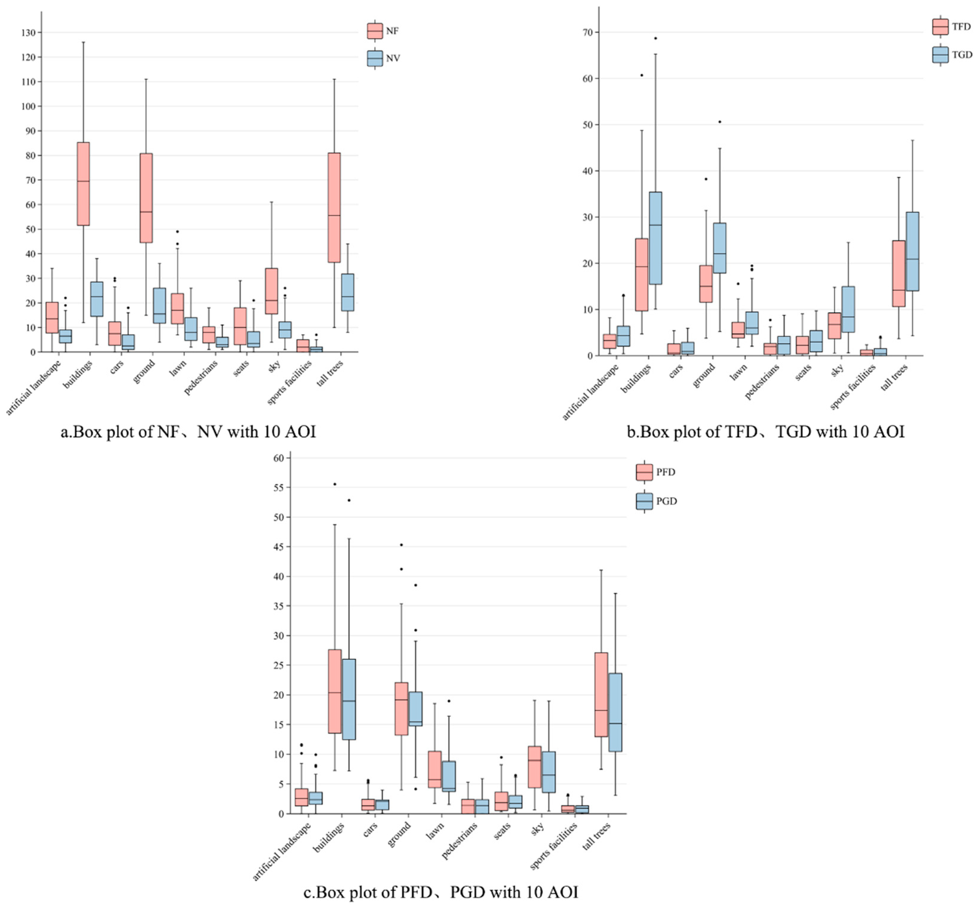
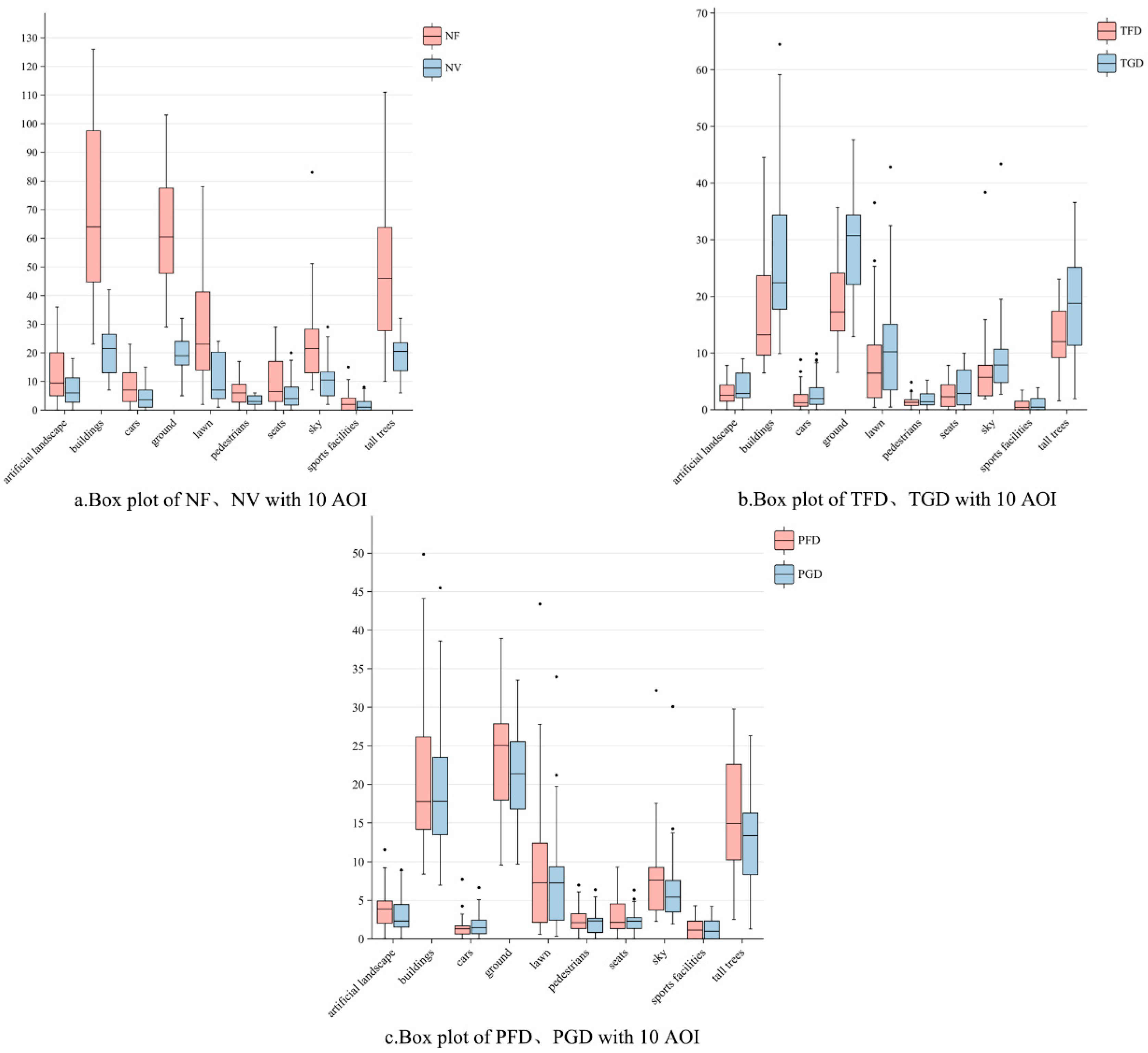
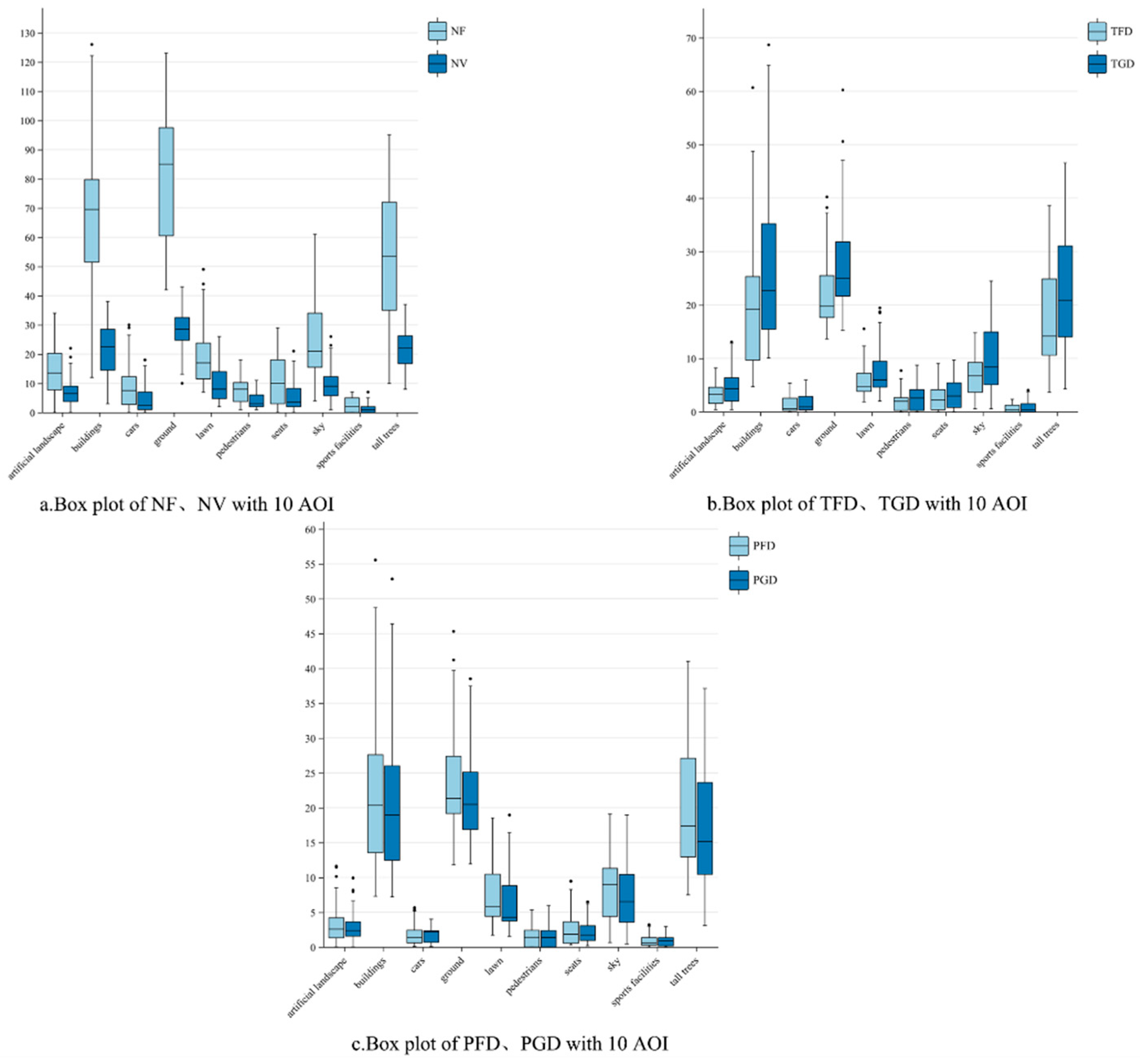
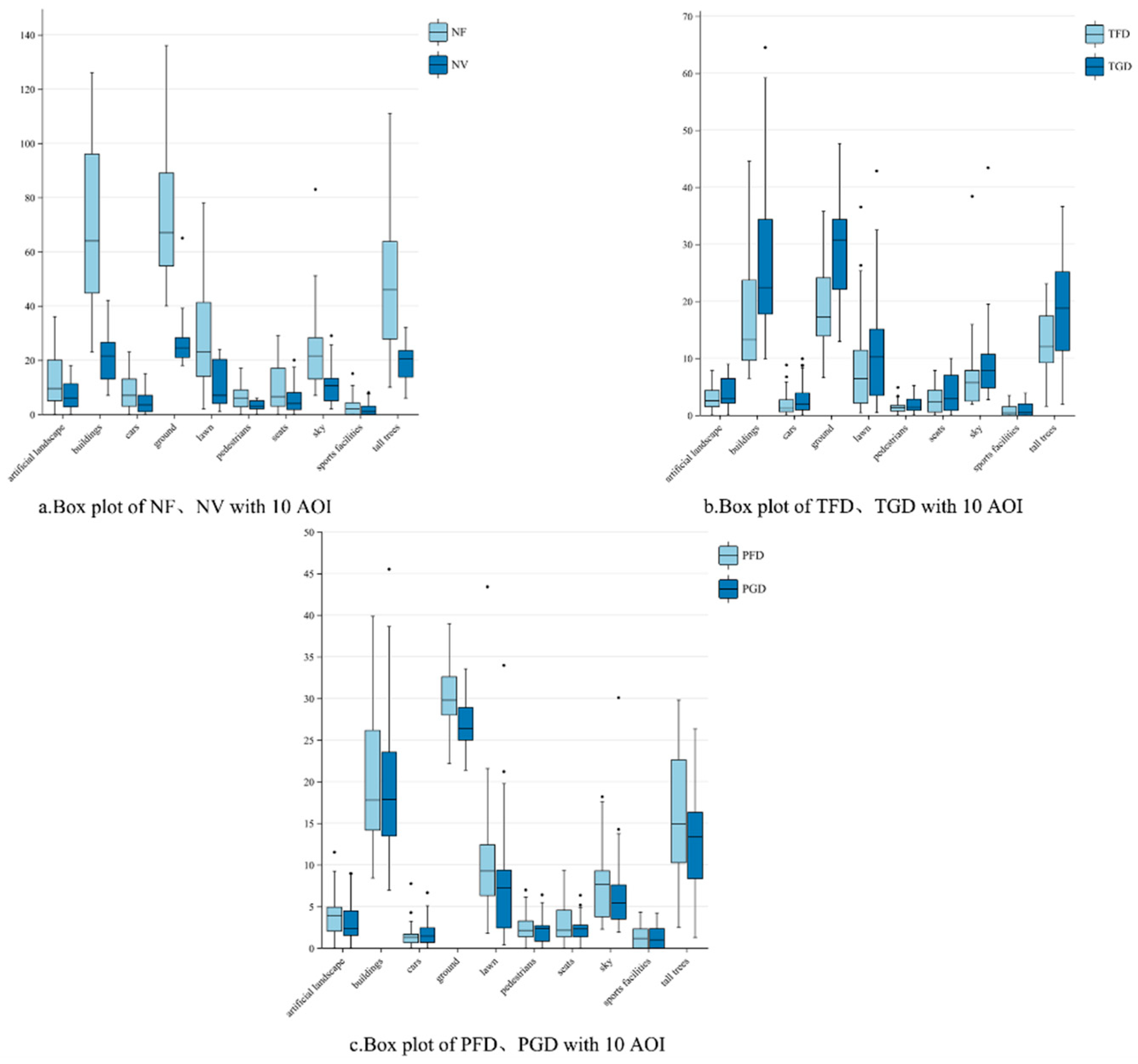
3.1. Interest point filtering
3.1.1. SD questionnaire elements screening


3.1.2. Eye tracker interest point screening


3.1.3. VR eye tracking verification




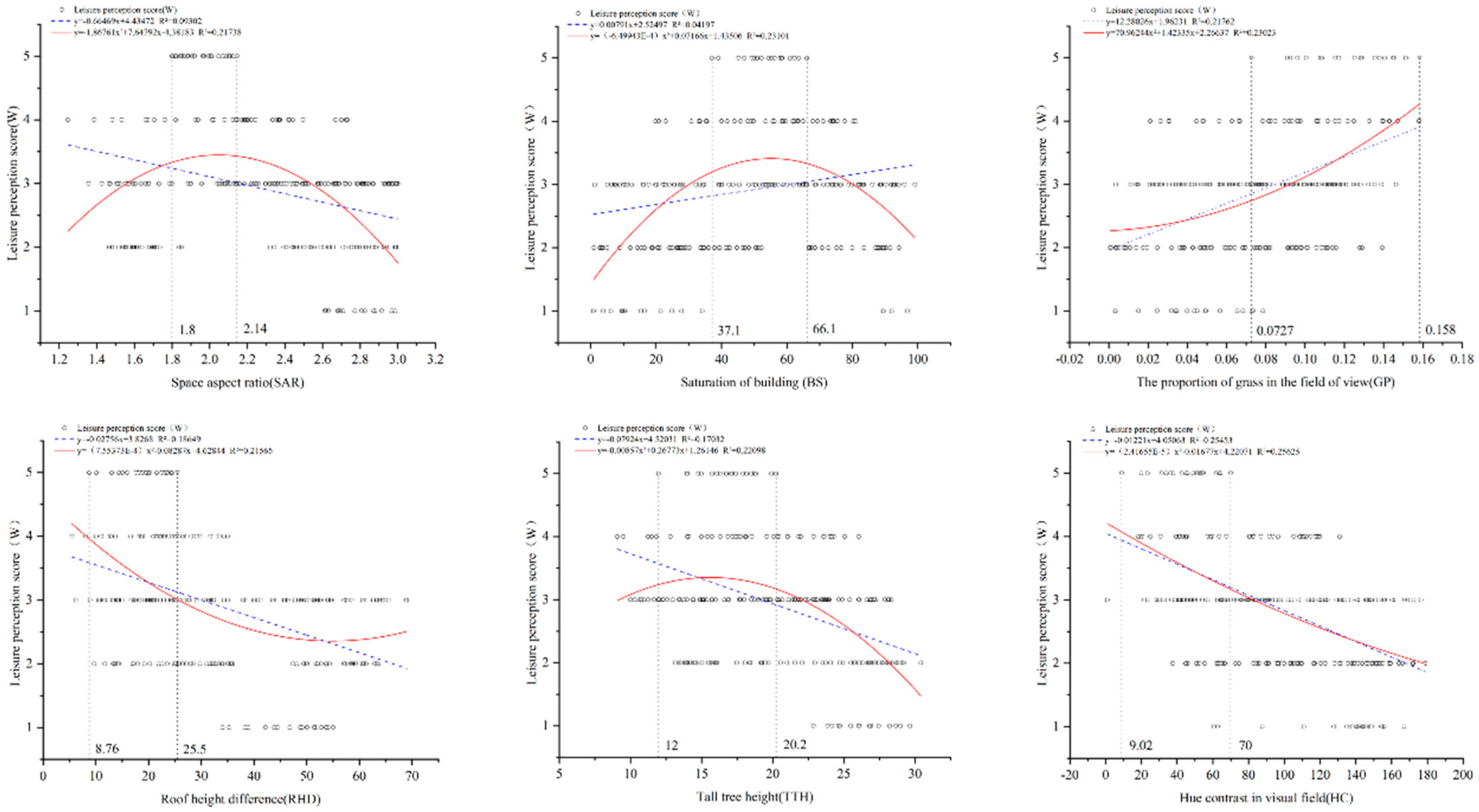
3.2. Influence Mechanism
3.2.1. Influence mechanism of environmental factors in non-snow season

3.2.2. Influence mechanism of environmental factors in snow season

3.3. Threshold Optimization
3.3.1. Machine learning

3.3.2. Optimizing the Threshold
4. Discussion
4.1. Limitation of subject group selection and leisure type
4.2. Limitations of screening leisure visual environmental factors
4.3. Limitations of research application and evaluation monitoring
5. Conclusions
5.1. Leisure environment factors
5.2. VR and the actual scene
5.3. Environmental factors and leisure perception scores
5.4. Machine learning model comparison
5.5. Variable threshold optimization
Funding
Institutional Review Board Statement
Informed Consent Statement
Data Availability Statement
Conflicts of Interest
References
- Zhou, B.; Huang, M.; Li, C. L.; Xu, B. Leisure constraint and mental health: The case of park users in Ningbo, China. J. Outdoor Recreat. Tour. 2022, 39, 100562. [Google Scholar] [CrossRef]
- Langlois F., Thien T.M.V., Chasse K., Dupuis G., Kergoat M.-J., Bherer L. Benefits of physical exercise training on cognition and quality of life in frail older adults. J. Gerontol. Ser. B-Psychol. Sci. Soc. Sci. 2013, 68, 400–404. [CrossRef]
- Brach J.S., Simonsick E.M., Kritchevsky S., et al. Association between physical function and lifestyle activity and exercise in health, aging, and body composition studies. J. Am. Geriatr. Soc. 2004, 52, 502–509. [CrossRef]
- Helbich M. Toward Dynamic Urban Environmental Exposure Assessments in Mental Health Research. Environ. Res. 2018, 161, 129–135. [CrossRef] [PubMed]
- Chen C., Luo W., Kang N., Li H., Yang X., Xia Y. Study on the impact of residential outdoor environments on mood in the elderly in Guangzhou, China. SUSTAINABILITY 2020, 12, 3933. [CrossRef]
- Helbich, M.; Yao, Y.; Liu, Y.; Zhang, J.; Liu, P.; Wang, R. Using deep learning to examine street-view green and blue spaces and their associations with geriatric depression in Beijing, China. Environ. Int. 2019, 126, 107–117. [Google Scholar] [CrossRef] [PubMed]
- Wang, R.; Liu, Y.; Lu, Y.; Zhang, J.; Liu, P.; Yao, Y.; Grekousis, G. Perceptions of build environment and health outcomes for older Chinese in Beijing: A big data approach with street view images and deep learning technique. Comput. Environ. URBAN Syst. 2019, 78, 101386. [Google Scholar] [CrossRef]
- Kaplan, S. The Restorative Benefits of Nature: Toward an Integrative Framework. J. Environ. Psychol. 1995, 15, 169–182. [Google Scholar] [CrossRef]
- Lindal, P.J.; Hartig, T. Architectural Variation, Building Height, and the Restorative Quality of Urban Residential Streetscapes. J. Environ. Psychol. 2013, 33, 26–36. [Google Scholar] [CrossRef]
- Calogiuri, G.; Litleskare, S.; Fagerheim, K.A.; Rydgren, T.L.; Brambilla, E.; Thurston, M. Experiencing Nature through Immersive Virtual Environments: Environmental Perceptions, Physical Engagement, and Affective Responses During a Simulated Natural Walk. Front. Psychol. 2018, 8, 2321. [Google Scholar] [CrossRef] [PubMed]
- Hutmacher, F. Why Is There So Much More Research on Vision than on Other Sensory Modalities? Front. Psychol. 2019, 10, 2246. [Google Scholar] [CrossRef] [PubMed]
- Wen, Jun, and Wonje: Effect of the preference for visual elements on the intention to reuse when designing a healing environment for welfare facilities for senior citizens: Focusing on welfare facilities for senior citizens in Seoul. 기초조형학연구 2021, 22, 337–348. [CrossRef]
- Tabrizian, P.; Baran, P.K.; Smith, W.R.; Meentemeyer, R.K. Exploring Perceived Restoration Potential of Urban Green Enclosure through Immersive Virtual Environments. J. Environ. Psychol. 2018, 55, 99–109. [Google Scholar] [CrossRef]
- Polat, A. T.; Akay, A. Relationships between the visual preferences of urban recreation area users and various landscape design elements. URBAN For. URBAN Green. 2015, 14, 573–582. [Google Scholar] [CrossRef]
- Pan, W.; Du, J. Effects of neighborhood morphological characteristics on outdoor daylight and insights for sustainable urban design. J. ASIAN Archit. Build. Eng. 2022, 21, 342–367. [Google Scholar] [CrossRef]
- Yadav, M.; Chaspari, T.; Kim, J.; Ahn, C.R. Capturing and Quantifying Emotional Distress in the Built Environment. In Proceedings of the PROCEEDINGS OF THE WORKSHOP ON HUMAN-HABITAT FOR HEALTH (H3′18): HUMAN-HABITAT MULTIMODAL INTERACTION FOR PROMOTING HEALTH AND WELL-BEING IN THE INTERNET OF THINGS ERA; Assoc Computing Machinery: New York, 2018; p. 11.
- Pei, W.; Guo, X.; Lo, T. Pre-Evaluation Method of the Experiential Architecture Based on Multidimensional Physiological Perception. J. Asian Archit. Build. Eng. 2023, 22, 1170–1194. [Google Scholar] [CrossRef]
- Leisman, G.; Moustafa, A.A.; Shafir, T. Thinking, Walking, Talking: Integratory Motor and Cognitive Brain Function. Front. PUBLIC Health 2016, 4, 94. [Google Scholar] [CrossRef] [PubMed]
- Caicedo, D.G.; Beuzekom, M.V. “HOW DO YOU FEEL?” AN ASSESSMENT OF EXISTING TOOLS FOR THE MEASUREMENT OF EMOTIONS AND THEIR APPLICATION IN CONSUMER PRODUCTS RESEARCH. 2006.
- Mauss, I.B.; Robinson, M.D. Measures of Emotion: A Review. Cogn. Emot. 2009, 23, 209–237. [Google Scholar] [CrossRef] [PubMed]
- Annemans, M.; Audenhove, C.V.; Vermolen, H.; Heylighen, A. How to Introduce Experiential User Data: The Use of Information in Architects’ Design Process. In Proceedings of the Drs; 2014.
- Rogge, E.; Nevens, F.; Gulinck, H. Perception of Rural Landscapes in Flanders: Looking beyond Aesthetics. Landsc. Urban Plan. 2007, 82, 159–174. [Google Scholar] [CrossRef]
- Zhang, Z.; Zhuo, K.; Wei, W.; Li, F.; Yin, J.; Xu, L. Emotional Responses to the Visual Patterns of Urban Streets: Evidence from Physiological and Subjective Indicators. Int. J. Environ. Res. Public. Health 2021, 18, 9677. [Google Scholar] [CrossRef] [PubMed]
- Yusoff, Y.M.; Ruthven, I.; Landoni, M. Measuring Emotion: A New Evaluation Tool for Very Young Children. In Proceedings of the COMPUTING & INFORMATICS, 4TH INTERNATIONAL CONFERENCE, 2013; Jamaludin, Z., ChePa, N., Bakar, M.S.A., Eds.; Univ Utari Malaysia-Uum: Sintok, 2013; pp. 358-+.
- Pretty, J.; Peacock, J.; Sellens, M.; Griffin, M. The Mental and Physical Health Outcomes of Green Exercise. Int. J. Environ. Health Res. 2005, 15, 319–337. [Google Scholar] [CrossRef] [PubMed]
- Ibes, D.C.; Forestell, C.A. The Role of Campus Greenspace and Meditation on College Students’ Mood Disturbance. J. Am. Coll. Health 2022, 70, 99–106. [Google Scholar] [CrossRef]
- Molanorouzi, K.; Khoo, S.; Morris, T. Validating the Physical Activity and Leisure Motivation Scale (PALMS). BMC PUBLIC Health 2014, 14, 909. [Google Scholar] [CrossRef] [PubMed]
- Neill, C.; Gerard, J.; Arbuthnot, K.D. Nature Contact and Mood Benefits: Contact Duration and Mood Type. J. Posit. Psychol. 2019, 14, 756–767. [Google Scholar] [CrossRef]
- Costall, A.P. Are Theories of Perception Necessary? A Review of Gibson’s The Ecological Approach to Visual Perception. J. Exp. Anal. Behav. 1984, 41, 109–115. [Google Scholar] [CrossRef] [PubMed]
- Li, C.; Du, C.; Ge, S.; Tong, T. An Eye-Tracking Study on Visual Perception of Vegetation Permeability in Virtual Reality Forest Exposure. Front. PUBLIC Health 2023, 11, 1089423. [Google Scholar] [CrossRef] [PubMed]
- Cui, W.; Li, Z.; Xuan, X.; Li, Q.; Shi, L.; Sun, X.; Zhu, K.; Shi, Y. Influence of Hospital Outdoor Rest Space on the Eye Movement Measures and Self-Rating Restoration of Staff. Front. PUBLIC Health 2022, 10, 855857. [Google Scholar] [CrossRef] [PubMed]
- Lisinska-Kusnierz, M.; Krupa, M. Suitability of Eye Tracking in Assessing the Visual Perception of Architecture-A Case Study Concerning Selected Projects Located in Cologne. BUILDINGS 2020, 10, 20. [Google Scholar] [CrossRef]
- Birenboim, A.; Dijst, M.; Ettema, D.; de Kruijf, J.; de Leeuw, G.; Dogterom, N. The Utilization of Immersive Virtual Environments for the Investigation of Environmental Preferences. Landsc. URBAN Plan. 2019, 189, 129–138. [Google Scholar] [CrossRef]
- Johnson, A.; Thompson, E.M.; Coventry, K.R. Human Perception, Virtual Reality and the Built Environment. In Proceedings of the 2010 14th International Conference Information Visualisation; July 2010; pp. 604–609.
- Luo, S.; Shi, J.; Lu, T.; Furuya, K. Sit down and Rest: Use of Virtual Reality to Evaluate Preferences and Mental Restoration in Urban Park Pavilions. Landsc. URBAN Plan. 2022, 220, 104336. [Google Scholar] [CrossRef]
- Deng, Z.; Zhu, X.; Cheng, D.; Zong, M.; Zhang, S. Efficient kNN Classification Algorithm for Big Data. Neurocomputing 2016, 195, 143–148. [Google Scholar] [CrossRef]
- Zhang, D.; Li, D.; Zhou, L.; Wu, J. Fine Classification of UAV Urban Nighttime Light Images Based on Object-Oriented Approach. Sensors 2023, 23, 2180. [Google Scholar] [CrossRef] [PubMed]
- Hong, G.; Choi, G.-S.; Eum, J.-Y.; Lee, H.S.; Kim, D.D. The Hourly Energy Consumption Prediction by KNN for Buildings in Community Buildings. Buildings 2022, 12, 1636. [Google Scholar] [CrossRef]
- Xiong, L.; Yao, Y. Study on an Adaptive Thermal Comfort Model with K-Nearest-Neighbors (KNN) Algorithm. Build. Environ. 2021, 202, 108026. [Google Scholar] [CrossRef]
- Tsalera, E.; Papadakis, A.; Samarakou, M. Monitoring, Profiling and Classification of Urban Environmental Noise Using Sound Characteristics and the KNN Algorithm. Energy Rep. 2020, 6, 223–230. [Google Scholar] [CrossRef]
- Zhang, Y.; Yang, G. Optimization of the Virtual Scene Layout Based on the Optimal 3D Viewpoint. IEEE ACCESS 2022, 10, 110426–110443. [Google Scholar] [CrossRef]
- Awada, M.; Srour, I. A Genetic Algorithm Based Framework to Model the Relationship between Building Renovation Decisions and Occupants’ Satisfaction with Indoor Environmental Quality. Build. Environ. 2018, 146, 247–257. [Google Scholar] [CrossRef]
- Estacio, I.; Hadfi, R.; Blanco, A.; Ito, T.; Babaan, J. Optimization of Tree Positioning to Maximize Walking in Urban Outdoor Spaces: A Modeling and Simulation Framework. Sustain. CITIES Soc. 2022, 86, 104105. [Google Scholar] [CrossRef]
- Sundet, J.M. Effects of Colour on Perceived Depth: Review of Experiments and Evalutaion of Theories. Scand. J. Psychol. 1978, 19, 133–143. [Google Scholar] [CrossRef] [PubMed]
- Niehorster, D.C.; Hessels, R.S.; Benjamins, J.S. GlassesViewer: Open-Source Software for Viewing and Analyzing Data from the Tobii Pro Glasses 2 Eye Tracker. Behav. Res. Methods 2020, 52, 1244–1253. [Google Scholar] [CrossRef] [PubMed]
- Zhang, R. Integrating Ergonomics Data and Emotional Scale to Analyze People’s Emotional Attachment to Different Landscape Features in the Wudaokou Urban Park. Front. Archit. Res. 2023, 12, 175–187. [Google Scholar] [CrossRef]
- Ashihara, Y. EXTERIOR Design in Architecture. Van Nostrand Reinhold 1981. [Google Scholar]
- Lu, M.; Song, D.; Shi, D.; Liu, J.; Wang, L. Effect of High-Rise Residential Building Layout on the Spatial Vertical Wind Environment in Harbin, China. Buildings 2022, 12, 705. [Google Scholar] [CrossRef]
- Li, X.; Zhang, C.; Li, W.; Ricard, R.; Meng, Q.; Zhang, W. Assessing Street-Level Urban Greenery Using Google Street View and a Modified Green View Index. Urban For. Urban Green. 2015, 14, 675–685. [Google Scholar] [CrossRef]
- Jiang, B.; Chang, C.-Y.; Sullivan, W.C. A Dose of Nature: Tree Cover, Stress Reduction, and Gender Differences. Landsc. Urban Plan. 2014, 132, 26–36. [Google Scholar] [CrossRef]
- Zhang, X.; Constable, M.; Chan, K.L.; Yu, J.; Junyan, W. Defining Hue Contrast. In Computational Approaches in the Transfer of Aesthetic Values from Paintings to Photographs: Beyond Red, Green and Blue; Zhang, X., Constable, M., Chan, K.L., Yu, J., Junyan, W., Eds.; Springer: Singapore, 2018; pp. 179–189. ISBN 978-981-10-3561-6. [Google Scholar]
- Rokach, L. Decision Forest: Twenty Years of Research. Inf. Fusion 2016, 27, 111–125. [Google Scholar] [CrossRef]
- Ding, S.; Zhu, Z.; Zhang, X. An Overview on Semi-Supervised Support Vector Machine. Neural Comput. Appl. 2017, 28, 969–978. [Google Scholar] [CrossRef]
- Huang, Y.; Ye, B.; Liu, T. Research on an Aging-Friendly Design of Urban Park Landscape Based on Computer Virtual Simulation Technology. Wirel. Commun. Mob. Comput. 2022, 2022, 1–11. [Google Scholar] [CrossRef]
- Li, Y.; Yabuki, N.; Fukuda, T. Measuring Visual Walkability Perception Using Panoramic Street View Images, Virtual Reality, and Deep Learning. Sustain. Cities Soc. 2022, 86, 104140. [Google Scholar] [CrossRef]
- Santos, I.; Castro, L.; Rodriguez-Fernandez, N.; Torrente-Patiño, Á.; Carballal, A. Artificial Neural Networks and Deep Learning in the Visual Arts: A Review. Neural Comput. Appl. 2021, 33, 121–157. [Google Scholar] [CrossRef]
- Ma, G.; Pan, X. Research on a Visual Comfort Model Based on Individual Preference in China through Machine Learning Algorithm. Sustainability 2021, 13, 7602. [Google Scholar] [CrossRef]
- Katoch, S.; Chauhan, S.S.; Kumar, V. A Review on Genetic Algorithm: Past, Present, and Future. Multimed. Tools Appl. 2021, 80, 8091–8126. [Google Scholar] [CrossRef] [PubMed]
- Ting, C.K. On the Mean Convergence Time of Multi-Parent Genetic Algorithms Without Selection. Springer Berl. Heidelb. 2005. [Google Scholar] [CrossRef]
- Lobaccaro, G.; Wiberg, A.H.; Ceci, G.; Manni, M.; Lolli, N.; Berardi, U. Parametric Design to Minimize the Embodied GHG Emissions in a ZEB. Energy Build. 2018, 167, 106–123. [Google Scholar] [CrossRef]
- Ilbeigi, M.; Ghomeishi, M.; Dehghanbanadaki, A. Prediction and Optimization of Energy Consumption in an Office Building Using Artificial Neural Network and a Genetic Algorithm. Sustain. Cities Soc. 2020, 61, 102325. [Google Scholar] [CrossRef]
- Harte, J.L.; Eifert, G.H. The Effects of Running, Environment, and Attentional Focus on Athletes’ Catecholamine and Cortisol Levels and Mood. Psychophysiology 1995, 32, 49–54. [Google Scholar] [CrossRef] [PubMed]
- Shi, L.; Zhang, Y.; Wang, Z.; Cheng, X.; Yan, H. Luminance Parameter Thresholds for User Visual Comfort under Daylight Conditions from Subjective Responses and Physiological Measurements in a Gymnasium. Build. Environ. 2021, 205, 108187. [Google Scholar] [CrossRef]
- Shi, L.; Qiu, J.; Zhang, R.; Li, Y.; Yang, Z.; Qi, X.; Tao, L.; Li, S.; Liu, W. An Intelligent Optimization Method of Exercisers’ Visual Comfort Assessment in Gymnasium. J. Build. Eng. 2023, 76, 107135. [Google Scholar] [CrossRef]
- Du, M.; Hong, B.; Gu, C.; Li, Y.; Wang, Y. Multiple Effects of Visual-Acoustic-Thermal Perceptions on the Overall Comfort of Elderly Adults in Residential Outdoor Environments. Energy Build. 2023, 283, 112813. [Google Scholar] [CrossRef]
- Ge, M.; Huang, Y.; Zhu, Y.; Kim, M.; Cui, X. Examining the Microclimate Pattern and Related Spatial Perception of the Urban Stormwater Management Landscape: The Case of Rain Gardens. Atmosphere 2023, 14, 1138. [Google Scholar] [CrossRef]
- Johansson, M.; Pedersen, E.; Maleetipwan-Mattsson, P.; Kuhn, L.; Laike, T. Perceived Outdoor Lighting Quality (POLQ): A Lighting Assessment Tool. J. Environ. Psychol. 2014, 39, 14–21. [Google Scholar] [CrossRef]
- Lyu, K.; Brambilla, A.; Globa, A.; de Dear, R. An Immersive Multisensory Virtual Reality Approach to the Study of Human-Built Environment Interactions. Autom. Constr. 2023, 150, 104836. [Google Scholar] [CrossRef]
- Eloy, S.; Andrade, M.; Dias, L.; Dias, M.S. The Impact of Sound in People’s Behaviour in Outdoor Settings: A Study Using Virtual Reality and Eye-Tracking. Appl. Ergon. 2023, 108, 103957. [Google Scholar] [CrossRef] [PubMed]
- Ayoub, M. A Review on Machine Learning Algorithms to Predict Daylighting inside Buildings. Sol. Energy 2020, 202, 249–275. [Google Scholar] [CrossRef]




| Case | A | B | C | D |
| Year of construction | 1990 | 2000 | 2013 | 2016 |
| Floor area ratio | 2.5 | 2.1 | 2.1 | 2.5 |
| Greening rate | 24% | 20% | 30% | 30% |
| Live photos(non-snow season) | ![]() |
![]() |
![]() |
![]() |
| Live photos(snow season) | ![]() |
![]() |
![]() |
![]() |
| Number | Factor of neutrality | Adjective pairs |
|---|---|---|
| 1 | Space aspect ratio | Narrow-Wide |
| 2 | Roof height difference | Low-High |
| 3 | Openness of sky | Small-Big |
| 4 | Distance from leisure space to building | Near-Far |
| 5 | Building orientation Angle | Low-High |
| 6 | The proportion of grass in the field of view | Low-High |
| 7 | The height of tall trees | Low-High |
| 8 | Color of buildings-H | Cold-Warm |
| 9 | Color of buildings-S | High-Low |
| 10 | Color of buildings-V | Brightness-Darkness |
| 11 | Color of ground-H | Cold-Warm |
| 12 | Color of ground-S | High-Low |
| 13 | Color of ground-V | Brightness-Darkness |
| 14 | Color quantity | Less - more |
| 15 | Hue contrast in visual field | Low-High |
![]() | ||
| Environmental factors | Orthogonal experimental parameters in the snow season |
|---|---|
| Space aspect ratio (SAR) | 1.2, 1.5, 1.8, 2.1, 2.4, 2.7, and 3 |
| Saturation of building (BS) | 0, 20, 40, 60, 80, and 100 |
| The proportion of grass in the field of view (GP) | 0, 3%, 6%, 9%, 12%, and 16% |
| Environmental factors | Orthogonal experimental parameters in the non-snow season |
|---|---|
| Space aspect ratio (SAR) | 1.2, 1.5, 1.8, 2.1, 2.4, 2.7, and 3 |
| Roof height difference (RHD) | 0 m, 12 m, 24 m, 36 m, 48 m, 60 m, and 72 m |
| Saturation of building (BS) | 0, 20, 40, 60, 80, and 100 |
| Tall tree height (TTH) | 6 m, 10 m, 14 m, 18 m, 22 m, 26 m, and 30 m |
| The proportion of grass in the field of view (GP) | 0, 3%, 6%, 9%, 12%, and 16% |
| Hue contrast in visual field (HC) | 0, 30°, 60°, 90°, 120°, 150°, and 180° |
| Solution set 1 | Solution set 2 | Solution set 3 | Solution set 4 | … | Solution set 30 | Range | |
| SAR | 1.8795 | 1.9057 | 1.821 | 1.9776 | … | 2.1485 | 1.82-2.15 |
| RHD(m) | 15.094 | 10.8099 | 15.9183 | 18.1143 | … | 20.093 | 10.81-20.09 |
| BS | 58.2669 | 60.2785 | 48.5304 | 52.8396 | … | 61.0109 | 48.53-61.01 |
| TTH(m) | 17.5717 | 16.7644 | 14.3164 | 17.3361 | … | 18.2912 | 14.18-18.29 |
| GP(%) | 0.125 | 0.1369 | 0.1185 | 0.146 | … | 0.154 | 0.12-0.15 |
| HC | 19.9477 | 18.6411 | 20.6017 | 25.8764 | … | 26.8322 | 18.64-26.83 |
| W(Predict) | 5 (4.90) | 5 (4.70) | 5 (4.85) | 5 (4.96) | … | 5 (4.84) | 5 (4.70 - 5.0) |
| Solution set 1 | Solution set 2 | Solution set 3 | Solution set 4 | … | Solution set 30 | Range | |
| SAR | 2.2234 | 2.4057 | 2.5211 | 2.3716 | … | 2.5425 | 2.22-2.54 |
| BS | 68.5324 | 70.8215 | 78.5304 | 72.8396 | … | 82.3412 | 68.53-82.34 |
| GP(%) | 0.104 | 0.139 | 0.115 | 0.136 | … | 0.144 | 0.1-0.14 |
| W(Predict) | 5 (4.76) | 5 (4.80) | 5 (4.90) | 5 (4.67) | … | 5 (4.84) | 5 (4.67 - 4.90) |
Disclaimer/Publisher’s Note: The statements, opinions and data contained in all publications are solely those of the individual author(s) and contributor(s) and not of MDPI and/or the editor(s). MDPI and/or the editor(s) disclaim responsibility for any injury to people or property resulting from any ideas, methods, instructions or products referred to in the content. |
© 2023 by the authors. Licensee MDPI, Basel, Switzerland. This article is an open access article distributed under the terms and conditions of the Creative Commons Attribution (CC BY) license (http://creativecommons.org/licenses/by/4.0/).









