Submitted:
25 December 2023
Posted:
26 December 2023
You are already at the latest version
Abstract
Keywords:
1. Introduction
2. Geological setting

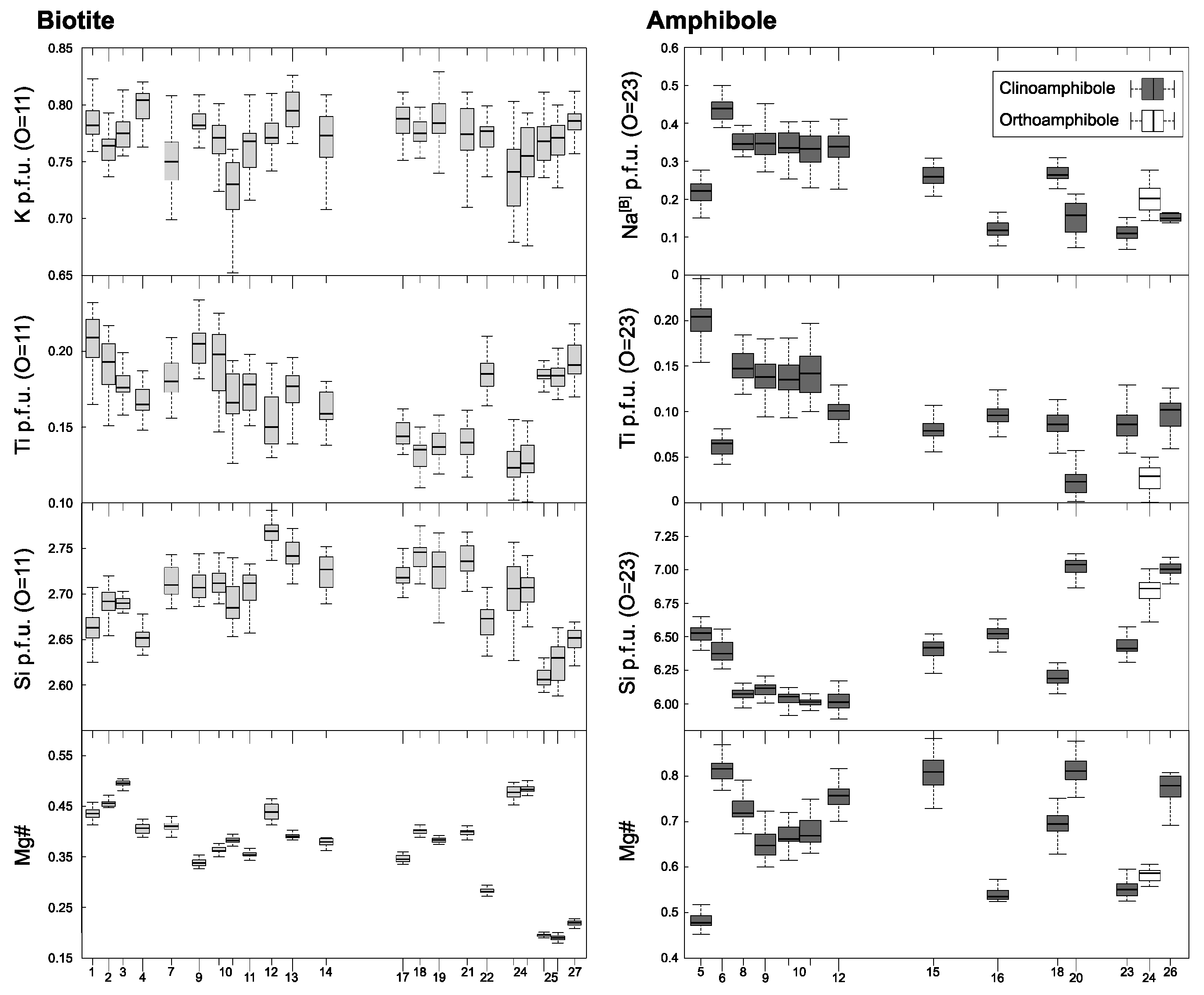
3. Samples and chemistry of biotite and amphibole
4. K-Ar analyses
5. Laser step-heating 40Ar/39Ar analyses
6. Discussion
6.1. Wopmay orogen event
6.2. Heat sources affecting the Acasta gneiss
6.3. Asthenospheric intrusion in the subduction system
7. Summary
Supplementary Materials
Author Contributions
Acknowledgments
Conflicts of Interest
References
- Hoffman, P.F. Precambrian geology and tectonic history of North America, in Bally, A.W., and Palmer, A.R., eds., The Geology of North America: An Overview: Boulder, Colorado, Geological Society of America, Geology of North America 1989, A, 447–512.
- Bowring, S.A.; Grotzinger, J.P. Implications of new chronostratigraphy for tectonic evolution of Wopmay orogen, northwest Canadian Shield: American Journal of Science 1992, 292, 1–20. [CrossRef]
- Bowring, S. A.; Williams, I. S.; Compston, W. 3.96 Ga gneisses from the Slave province, Northwest Territories, Canada. Geology 1989, 17(11), 971–975. [CrossRef]
- Iizuka, T.; Horie, K.; Komiya, T.; Maruyama, S.; Hirata, T.; Hidaka, H.; Windley, B. F. 4.2 Ga zircon xenocryst in an Acasta gneiss from northwestern Canada: Evidence for early continental crust. Geology 2006, 34(4), 245–248. [CrossRef]
- Iizuka, T.; Komiya, T.; Ueno, Y.; Katayama, I.; Uehara, Y.; Maruyama, S.; Hirata, T.; Johnson, S. P.; Dunkley, D. J. Geology and zircon geochronology of the Acasta Gneiss Complex, northwestern Canada: New constraints on its tectonothermal history. Precanbrian Research 2007, 153, 179-208. [CrossRef]
- Guitreau, M.; Mora, N.; Paquette, J-L. Crystallization and disturbance histories of single zircon crystals from Hadean-Eoarchean Acasta gneisses examined by LA-ICP-MS U-Pb traverses. Geochemistry, Geophysics, Geosystems 2017, 19, 272-291. [CrossRef]
- Hodges, K.V.; Bowring, S.A.; Coleman, D.S.; Hawkins, D.P.; Davide, K. L. Multi-stage thermal history of the ca. 4.0 Ga Acasta gneisses. Eos transactions AGU 1995, 76(17), Abstract F708.
- Padgham, W.A.; Fyson, W.K. The Slave Province: a distinct Archean craton. Can. J. Earth Sci. 1992, 29, 2072–2086. [CrossRef]
- van Breemen, O.; Davis, W.J.; King, J.E. Temporal distribution of granitoid plutonic rocks in the Archean Slave Province, northwest Canadian Shield. Can. J. Earth Sci. 1992, 29, 2186– 2199. [CrossRef]
- Bowring, S.A.; Housh, T.B.; Isachsen, C.E. The Acasta Gneisses: Remnant of Earth’s Early Crust. Origin of the Earth. Oxford University Press, New York.1990.
- Bowring, S.A.; Williams, I.S. Priscoan (4.00–4.03Ga) orthogneisses from northwestern Canada. Contrib. Miner. Petrol. 1999, 134, 3–16.
- Hoffman, P.F.; Tirrul, R.; King, J.E.; St-Onge, M.R.; Lucas, S.B. Axial projections and modes of crustal thickening, eastern Wopmay orogen, northwest Canadian Shield, in Clark, S.P., Jr., ed., Processes in Continental Lithospheric Deformation: Geological So- ciety of America Special Paper 1988, 218, 1–29.
- Hildebrand, R.S.; Hoffman, P.F.; Bowring, S.A. The Calderian orogeny in Wopmay orogen (1.9 Ga), northwestern Canadian Shield. GSA Bulletin 2010, 122 (5/6), 794–814. [CrossRef]
- Hoffman, P.F., Evolution of an early Proterozoic continental margin: The Coronation geosyncline and associated aulacogens of the northwestern Canadian Shield: Royal Society of London Philosophical Trans- actions 1973, 273, ser. A, 547–581.
- Bowring, S.A.; Grotzinger, J.P. Implications of new chronostratigraphy for tectonic evolution of Wopmay orogen, northwest Canadian Shield. American Journal of Science 1992, 292, 1–20. [CrossRef]
- Hoffman, P.F.; St-Onge, M.R.; Easton, R.M.; Grotzinger, J.; Schulze, D.L. Syntectonic plutonism in north-central Wopmay orogen (early Proterozoic), Hepburn Lake map area, District of Mackenzie, in Cur- rent Research, Part A: Geological Survey of Canada Paper 80–1 1980, 171–177.
- Housh, T.; Bowring, S.A.; Villeneuve, M. Lead isotopic study of early Proterozoic Wopmay orogen, NW Canada: Role of continental crust in arc magmatism: The Journal of Geology 1989, 97, 735–747. [CrossRef]
- Bowring, S.A.; Podosek, F.A. Nd isotopic evidence from Wopmay orogen for 2.0–2.4 Ga crust in western North America: Earth and Planetary Science Letters 1989, 94, 217–230. [CrossRef]
- Hildebrand, R.S.; Bowring, S.A.; Housh, T. The Medial zone of Wopmay orogen, District of Mackenzie, in Current Research, Part C: Geological Survey of Canada Paper 90–1C 1990, 167–176.
- Nagao, K.; Nishido, H.; Itaya, T.; Ogata, K. K–Ar age determination method. Bulletin of Hiruzen Research Institute 1984, 9, 19–38.
- Itaya, T.; Nagao, K.; Inoue, K.; Honjou, Y.; Okada, T.; Ogata, A. Ar isotope analysis by a newly developed mass spectrometric system for K–Ar dating. Mineralogical Journal 1991, 15, 203–221. [CrossRef]
- Steiger, R.H.; Jäger, E. Subcommission on geochronology: Convention on the use of decay constants in geo– and cosmochronology. Earth and Planetary Science Letters 1977, 36, 359–362. [CrossRef]
- Hyodo, H.; Kim, S.; Itaya, T.; Matsuda, T. Homogeneity of neutron flux during irradiation for 40Ar/39Ar age dating in the research reactor at Kyoto University. Journal of Mineralogy and Petrological Sciences 1999, 94, 329–337. [CrossRef]
- Hyodo, H.; Itaya, T.; Matsuda, T. Temperature measurement of small minerals and its precision using Laser heating. Bulletin of Research Institute of Natural Sciences, Okayama University of Science 1995, 21, 3–6 (in Japanese with English Abstract).
- Hyodo, H.; Matsuda, T.; Fukui, S.; Itaya, T. 40Ar/39Ar age determination of a single mineral grain by Laser step heating. Bulletin of Research Institute of Natural Sciences, Okayama University of Science 1994, 20, 63–67 (in Japanese with English Abstract).
- Roddick, J.C. High precision intercalibration of 40Ar–39Ar standards. Geochimica et Cosmochimica Acta 1983, 47, 887–898. [CrossRef]
- Hyodo, H.; York, D. The discovery and significance of a fossilized radiogenic argon wave (argonami) in the earth’s crust. Geophysical Research Letter 1993, 20, 61–64. [CrossRef]
- Itaya, T.; Hyodo, H.; Tsujimori, T.; Wallis, S.; Aoya, M.; Kawakami, T.; Gouzu, C. Regional-Scale Excess Ar wave in a Barrovian type metamorphic belt, eastern Tibetan Plateau. Isl. Arc 2009, 18(2), 293-305. [CrossRef]
- Itaya, T.; Hyodo, H.; Imayama, T.; Groppo, C. Laser step-heating 40Ar/39Ar analyses of biotites from meta-granites in the UHP Brossasco-Isasca Unit of Dora-Maira, Italy. Journal of Mineralogical and Petrological Sciences 2018, 113, 171-180. [CrossRef]
- Itaya, T. K-Ar phengite geochronology of HP-UHP metamorphic rocks-An in-depth review. J. Mineral. Petrol. Sci. 2020, 115(1), 44-58. [CrossRef]
- Dodson, M.H. Closure temperature in cooling geochrono- logical and petrological systems. Contributions to Mineralogy and Petrology 1973, 40, 259–274. [CrossRef]
- Harrison T. M. Diffusion of 40Ar amphibole. Contribution to Mineralogy and Petrology 1981, 78, 324–331. [CrossRef]
- Sano, Y.; Terada, K.; Hidaka, H.; Yokoyama, K.; Nutman, A.P. Palaeoproterozoic thermal events recorded in the ~4.0 Ga Acasta gneiss, Canada: Evidence from SHRIMP U-Pb dating of apatite and zircon. Geochimica et Cosmochimica Acta 1999, 63 (6), 899-905. [CrossRef]
- St-Onge, M.R. Zoned poikiloblastic garnets: Docu- mentation of P-T paths and syn-metamorphic uplift through thirty kilometers of structural depth, Wopmay orogen, Canada: Journal of Petrology 1987, 28, 1–21.
- St-Onge, M.R. Geothermometry and geobarometry in pelitic rocks of north-central Wopmay orogen (early ProterozoicNorthwest Territories, Canada. Geological Society of America Bulletin 1984, 95, 196-208. [CrossRef]
- Lalonde, A.E. Hepburn intrusive suite: Peraluminous plutonism within a closing back-arc basin, Wopmay orogen, Canada. Geology 1989, 17, 261–264. [CrossRef]
- Ishihara, S. The magnetite-series and ilmenite-series granitic rocks. Mining Geology 1977, 27, 293-305. [CrossRef]
- Isozaki, Y.; Aoki, K.; Nakama, T.; Yanai, S. New insight into a subduction-related orogen: Re- appraisal on geotectonic framework and evolution of the Japanese Islands. Gondwana Research 2010, 18, 82-105. [CrossRef]
- Nakajima, T.; Takahashi, M.; Imaoka, T.; Shimura, T. Granitic rocks. From Moreno, T.; Wallis, S.; Kojima, T.; Gibbons. W. (eds). The geology of Japan. Geological Society, London 2016, 251-272.
- Ikeda, T. Pressure-Temperature conditions of the Ryoke metamorphic rocks in the Yanai district, SW Japan. Contributions to Mineralogy and Petrology 2004, 146, 577-589. [CrossRef]
- D’Lemons, R.S.; Brown, M.; Strachan R.A. Granite magma generation, ascent and emplacement within a transpressional orogen. Journal of the Geological Society, London 1992, 149, 487-490. [CrossRef]
- Bons, P.D.; Arnold, J.; Elburg, M.A.; Kalda, J.; Soesoo, A.; Milligan, B.P. Melt extraction and accumulation from partially molten rocks 2004, Lithos, 78, 25-42. [CrossRef]
- Fukui, S.; Tsujimori, T.; Watanabe, T.; Itaya, T. Tectono-metamorphic evolution of high-P/T and low-P/T metamorphic rocks in the Tia Complex, southern New England Fold Belt, eastern Australia: Insights from K–Ar chronology. Journal of Asian Earth Sciences 2012, 59, 62-69. [CrossRef]
- Imaoka, T.; Kawabata, H.; Nagashima, M.; Nakashima, K.; Kamei, A.; Yagi, K.; Itaya, T.; Kiji, M. Petrogenesis of an Early Cretaceous lamprophyre dike from Kyoto Prefecture, Japan: Implications for the generation of high-Nb basalt magmas in subduction zones. Lithos 2017, 290-291, 18-33. [CrossRef]








![]() |
Disclaimer/Publisher’s Note: The statements, opinions and data contained in all publications are solely those of the individual author(s) and contributor(s) and not of MDPI and/or the editor(s). MDPI and/or the editor(s) disclaim responsibility for any injury to people or property resulting from any ideas, methods, instructions or products referred to in the content. |
© 2023 by the authors. Licensee MDPI, Basel, Switzerland. This article is an open access article distributed under the terms and conditions of the Creative Commons Attribution (CC BY) license (http://creativecommons.org/licenses/by/4.0/).
