Submitted:
18 December 2023
Posted:
19 December 2023
You are already at the latest version
Abstract
Keywords:
1. Introduction
2. Materials and Methods
Statistical Analysis
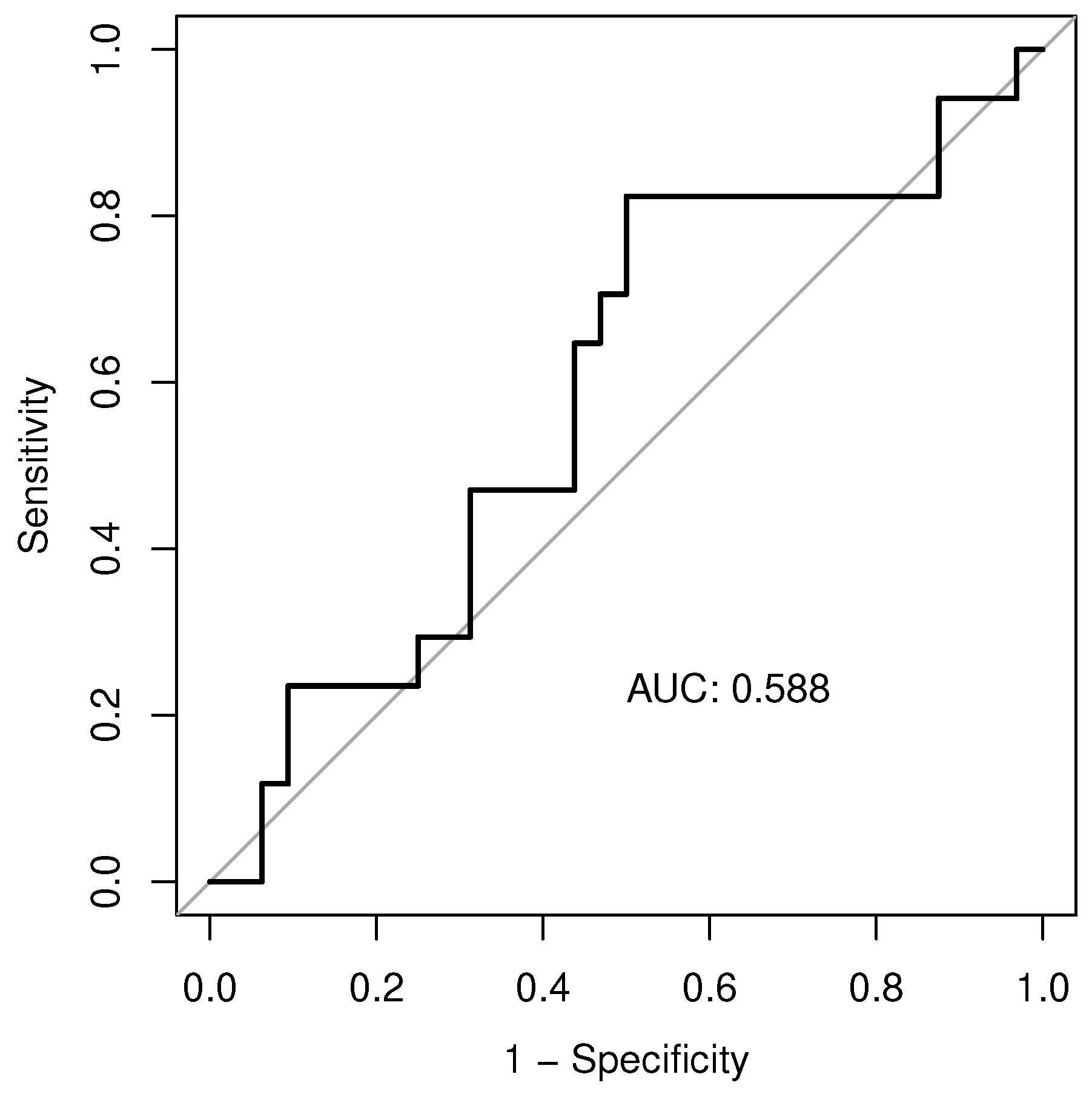
3. Results
4. Discussion
- evaluation of left atrial adipose tissue by means of routine preprocedural cardiac MRI imaging is feasible;
- levels of left atrial adipose tissue indexed on LA volume are associated with a higher risk of arrhythmic recurrence after AF cryoballoon catheter ablation.
4.1. Limitations
5. Conclusions
Supplementary Materials
Author Contributions
Funding
Institutional Review Board Statement
Informed Consent Statement
Data Availability Statement
Conflicts of Interest
References
- Fainberg 2018. Fainberg, H.P.; Birtwistle, M.; Alagal, R.; Alhaddad, A.; Pope, M.; Davies, G.; Woods, R.; Castellanos, M.; May, S.T.; Ortori, C.A.; et al. Transcriptional Analysis of Adipose Tissue during Development Reveals Depot-Specific Responsiveness to Maternal Dietary Supplementation. Sci. Rep. 2018, 8. [CrossRef]
- Iacobellis 2004. Iacobellis, G.; Pistilli, D.; Gucciardo, M.; Leonetti, F.; Miraldi, F.; Brancaccio, G.; Gallo, P.; Tiziana Di Gioia, C.R. Adiponectin Expression in Human Epicardial Adipose Tissue in Vivo Is Lower in Patients with Coronary Artery Disease. Cytokine 2005, 29, 251–255. [CrossRef]
- Iacobellis 2009. Iacobellis, G.; Di Gioia, C.R.; Di Vito, M.; Petramala, L.; Cotesta, D.; De Santis, V.; Vitale, D.; Tritapepe, L.; Letizia, C. Epicardial Adipose Tissue and Intracoronary Adrenomedullin Levels in Coronary Artery Disease. Horm. Metab. Res. 2009, 41, 855–860. [CrossRef]
- Sacks 2013. Sacks, H.S.; Fain, J.N.; Bahouth, S.W.; Ojha, S.; Frontini, A.; Budge, H.; Cinti, S.; Symonds, M.E. Adult Epicardial Fat Exhibits Beige Features. J. Clin. Endocrinol. Metab. 2013, 98, E1448–E1455. [CrossRef]
- Van Woerden 2018. Van Woerden, G.; Gorter, T.M.; Westenbrink, B.D.; Willems, T.P.; van Veldhuisen, D.J.; Rienstra, M. Epicardial Fat in Heart Failure Patients with Mid-Range and Preserved Ejection Fraction. Eur. J. Heart Fail. 2018, 20, 1559–1566. [CrossRef]
- Pugliese 2021. Pugliese, N.R.; Paneni, F.; Mazzola, M.; De Biase, N.; Del Punta, L.; Gargani, L.; Mengozzi, A.; Virdis, A.; Nesti, L.; Taddei, S.; et al. Impact of Epicardial Adipose Tissue on Cardiovascular Haemodynamics, Metabolic Profile, and Prognosis in Heart Failure. Eur. J. Heart Fail. 2021, 23, 1858–1871. [CrossRef]
- Hirata 2011. Hirata, Y.; Tabata, M.; Kurobe, H.; Motoki, T.; Akaike, M.; Nishio, C.; Higashida, M.; Mikasa, H.; Nakaya, Y.; Takanashi, S.; et al. Coronary Atherosclerosis Is Associated with Macrophage Polarization in Epicardial Adipose Tissue. J. Am. Coll. Cardiol. 2011, 58, 248–255. [CrossRef]
- Antonopoulos 2017. Antonopoulos, A.S.; Sanna, F.; Sabharwal, N.; Thomas, S.; Oikonomou, E.K.; Herdman, L.; Margaritis, M.; Shirodaria, C.; Kampoli, A.M.; Akoumianakis, I.; et al. Detecting Human Coronary Inflammation by Imaging Perivascular Fat. Sci. Transl. Med. 2017, 9. [CrossRef]
- Friedman 2014. Friedman, D.J.; Wang, N.; Meigs, J.B.; Hoffmann, U.; Massaro, J.M.; Fox, C.S.; Magnani, J.W. Pericardial Fat Is Associated with Atrial Conduction: The Framingham Heart Study. J. Am. Heart Assoc. 2014, 3. [CrossRef]
- Mahabadi 2014. Mahabadi, A.A.; Lehmann, N.; Kälsch, H.; Bauer, M.; Dykun, I.; Kara, K.; Moebus, S.; Jöckel, K.H.; Erbel, R.; Möhlenkamp, S. Association of Epicardial Adipose Tissue and Left Atrial Size on Non-Contrast CT with Atrial Fibrillation: The Heinz Nixdorf Recall Study. Eur. Hear. journal. Cardiovasc. Imaging 2014, 15, 863–869. [CrossRef]
- Wong 2016. 10. Wong, C.X.; Sun, M.T.; Odutayo, A.; Emdin, C.A.; Mahajan, R.; Lau, D.H.; Pathak, R.K.; Wong, D.T.; Selvanayagam, J.B.; Sanders, P.; et al. Associations of Epicardial, Abdominal, and Overall Adiposity With Atrial Fibrillation. Circ. Arrhythm. Electrophysiol. 2016, 9. [CrossRef]
- Mazurek 2003. Mazurek, T.; Zhang, L.F.; Zalewski, A.; Mannion, J.D.; Diehl, J.T.; Arafat, H.; Sarov-Blat, L.; O’Brien, S.; Keiper, E.A.; Johnson, A.G.; et al. Human Epicardial Adipose Tissue Is a Source of Inflammatory Mediators. Circulation 2003, 108, 2460–2466. [CrossRef]
- Hindricks 2021. Hindricks, G.; Potpara, T.; Dagres, N.; Arbelo, E.; Bax, J.J.; Blomström-Lundqvist, C.; Boriani, G.; Castella, M.; Dan, G.-A.; Dilaveris, P.E.; et al. 2020 ESC Guidelines for the Diagnosis and Management of Atrial Fibrillation Developed in Collaboration with the European Association for Cardio-Thoracic Surgery (EACTS). Eur. Heart J. 2021, 42, 373–498. [CrossRef]
- Saglietto 2021. Saglietto, A.; Gaita, F.; De Ponti, R.; De Ferrari, G.M.; Anselmino, M. Catheter Ablation vs. Anti-Arrhythmic Drugs as First-Line Treatment in Symptomatic Paroxysmal Atrial Fibrillation: A Systematic Review and Meta-Analysis of Randomized Clinical Trials. Front. Cardiovasc. Med. 2021, 8. [CrossRef]
- Ballatore 2023. Ballatore, A.; Negrello, E.; Gatti, M.; Matta, M.; Desalvo, P.; Marcialis, L.; Marconi, S.; Tore, D.; Magnano, M.; Bissolino, A.; et al. Evaluation of Pulmonary Vein Fibrosis Following Cryoballoon Ablation of Atrial Fibrillation: A Semi-Automatic MRI Analysis. J. Cardiovasc. Dev. Dis. 2023, 10, 396. [CrossRef]
- Saglietto 2023. Saglietto, A.; Gaita, F.; Blomstrom-Lundqvist, C.; Arbelo, E.; Dagres, N.; Brugada, J.; Maggioni, A. Pietro; Tavazzi, L.; Kautzner, J.; De Ferrari, G.M.; et al. AFA-Recur: An ESC EORP AFA-LT Registry Machine-Learning Web Calculator Predicting Atrial Fibrillation Recurrence after Ablation. Europace 2023, 25, 92–100. [CrossRef]
- Chahine 2022. Chahine, Y.; Macheret, F.; Ordovas, K.; Kim, J.; Boyle, P.M.; Akoum, N. MRI-Quantified Left Atrial Epicardial Adipose Tissue Predicts Atrial Fibrillation Recurrence Following Catheter Ablation. Front. Cardiovasc. Med. 2022, 9, 1045742. [CrossRef]
- Pandey 2021. Pandey, A.K.; Okaj, I.; Kaur, H.; Belley-Cote, E.P.; Wang, J.; Oraii, A.; Benz, A.P.; Johnson, L.S.B.; Young, J.; Wong, J.A.; et al. Sodium-Glucose Co-Transporter Inhibitors and Atrial Fibrillation: A Systematic Review and Meta-Analysis of Randomized Controlled Trials. J. Am. Heart Assoc. 2021, 10, 22222. [CrossRef]
- Lincoff 2023. Lincoff, A.M.; Brown-Frandsen, K.; Colhoun, H.M.; Deanfield, J.; Emerson, S.S.; Esbjerg, S.; Hardt-Lindberg, S.; Hovingh, G.K.; Kahn, S.E.; Kushner, R.F.; et al. Semaglutide and Cardiovascular Outcomes in Obesity without Diabetes. N. Engl. J. Med. 2023. [CrossRef]
- Seperi Shamloo 2019. Sepehri Shamloo, A.; Dagres, N.; Dinov, B.; Sommer, P.; Husser-Bollmann, D.; Bollmann, A.; Hindricks, G.; Arya, A. Is Epicardial Fat Tissue Associated with Atrial Fibrillation Recurrence after Ablation? A Systematic Review and Meta-Analysis. IJC Hear. Vasc. 2019, 22, 132–138. [CrossRef]
- Chen 2022. Chen, J.; Mei, Z.; Yang, Y.; Dai, C.; Wang, Y.; Zeng, R.; Liu, Q. Epicardial Adipose Tissue Is Associated with Higher Recurrence Risk after Catheter Ablation in Atrial Fibrillation Patients: A Systematic Review and Meta-Analysis. BMC Cardiovasc. Disord. 2022, 22, 1–10. [CrossRef]
- Nakamori 2018. Nakamori, S.; Nezafat, M.; Ngo, L.H.; Manning, W.J.; Nezafat, R. Left Atrial Epicardial Fat Volume Is Associated With Atrial Fibrillation: A Prospective Cardiovascular Magnetic Resonance 3D Dixon Study. J. Am. Heart Assoc. 2018, 7. [CrossRef]





| Variable | General population | Arrhythmic recurrence (n=17) | No recurrence (n=33) | p-value |
|---|---|---|---|---|
| Age (years) | 59.64 | 59.4 | 59.8 | ns |
| Gender (female) | 19 (38%) | 8 (47%) | 11 (33%) | ns |
| Paroxysmal AF | 43 (86%) | 17 (100%) | 26 (79%) | ns |
| AF history duration (months) | 66.5 | 85.5 | 57 | ns |
| Hypertension | 26 (52%) | 10 (59%) | 16 (48%) | ns |
| Diabetes | 3 (6%) | 3 (18%) | 0 (0%) | ns |
| Previous stroke | 4 (8%) | 2 (12%) | 2 (6%) | ns |
| CAD | 1 (2%) | 1 (6%) | 0 (0%) | ns |
| Thyroid disorders | 6 (12%) | 2 (12%) | 4 (12%) | ns |
| Prior use of AADs | ||||
| Amiodarone | 3 (6%) | 0 (0%) | 3 (9%) | ns |
| Flecainide | 27 (74%) | 12 (71%) | 25 (76%) | ns |
| Propafenone | 12 (24%) | 6 (35%) | 6 (18%) | ns |
| Sotalol | 6 (12%) | 3 (18%) | 3 (9%) | ns |
| Beta-blockers | 34 (68%) | 8 (47%) | 26 (79%) | 0.019 |
| Digoxin | 1 (2%) | 0 (0%) | 1 (3%) | ns |
| Oral anticoagulants | ns | |||
| VKA | 2 (4%) | 0 (0%) | 2 (6%) | |
| DOAC | 32 (64%) | 12 (71%) | 20 (61%) | |
| Indexed volume ml/mq | 43.3 | 39.4 | 45.2 | ns |
| Variable | Univariate | Multivariate |
|---|---|---|
| Hypertension | 1.4 (0.5-3.7) | |
| Diabetes | 3.9 (1.1-13.9) | 5.5 (1.2-24.4) |
| Previous stroke | 1.9 (0.4-8.3) | |
| Thyroid disease | 1.5 (0.5-4.4) | |
| Valvular disease | 3.9 (0.9-17.1) | |
| Beta-blockers | 0.5 (0.2-1.3) | 0.3 (0.1-0.96) |
| Flecainide | 1.0 (0.6-1.7) | |
| Gender | 1.6 (0.6-4.3) | |
| LA EATi >=10.65% | 3.3 (1.0-11.7) | 4.5 (1.2-17.0) |
| BSA | 0.3 (0.0-5.2) | 0.1 (0.0-4.0) |
| Age | 1.0 (0.95-1.0) | 1.0 (0.9-1.0) |
Disclaimer/Publisher’s Note: The statements, opinions and data contained in all publications are solely those of the individual author(s) and contributor(s) and not of MDPI and/or the editor(s). MDPI and/or the editor(s) disclaim responsibility for any injury to people or property resulting from any ideas, methods, instructions or products referred to in the content. |
© 2023 by the authors. Licensee MDPI, Basel, Switzerland. This article is an open access article distributed under the terms and conditions of the Creative Commons Attribution (CC BY) license (http://creativecommons.org/licenses/by/4.0/).