Preprint
Article

This version is not peer-reviewed.

Level Polynomials of Rooted Trees

A peer-reviewed article of this preprint also exists.

Submitted:

12 December 2023

Posted:

12 December 2023

You are already at the latest version

Abstract
Level index was introduced in 2017 for rooted trees which is a component of Gini index. In the origin, Gini index is a tool for economical investigations but Balaji and Mahmoud defined the graph theoretical applications of this index for statistical analysis of graphs. Level index is an important component of Gini index. In this paper we define a new graph polynomial which is called level polynomial and calculate the level polynomial of some classes of trees. We obtain some interesting relations between the level polynomials and some integer sequences.
Keywords: 
;  ;  ;  ;  

1. Introduction

The Gini index was defined by Corrado Gini in 1912 [1]. It shows the income inequality of social groups and is used by The World Bank for the economical investigations. The graph theoretical application of Gini index introduced by Balaji and Mahmoud in 2017 [2] for rooted trees. They introduced two distance based topological index Gini index and level index. Moreover, degree based Gini index was defined by Domicolo and Mahmoud in 2019 [3].
The first distance based topological index was introduced by Wiener in 1947 [4]. Wiener showed that there is a correlation between the physico chemical properties of molecules and distances between the atoms. Haruo Hosoya defined a distance counting polynomial in 1988 [5] which is called Hosoya polynomial in the literature. The first derivative of Hosoya polynomial gives Wiener index and second derive gives the Wiener polarity index. Derivatives of Hosoya polynomial were used as molecular descriptors by Konstantinova and Diudea [6], Estrada et al. [7]. Moreover vertex-weighted Wiener polynomials were studied by Doslic [8].
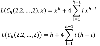
The level concept was used in the papers [9] and [10] for rooted trees. In [9] Flajolet and Prodinger obtained a number sequence and investigated properties of this sequence. Statistical analysiss of level numbers were studied by Balaji and Mahmoud [2].
In this paper we define a new distance based graph plynomial which is called “Level Polynomial”. The first derivative of level polynomial gives the level index of graphs. Moreover, we compute the level polynomial and level index of triangular numbers, caterpillar graphs, subdivisons of stars and regular dendrimer graphs. We obtain some interesting relations between the coefficients of level polynomials of graphs and some integer sequences.

2. Preliminaries

We use only simple, connected and undirected graphs. The degree of a vertex u is denoted by deg ( u ) . A vertex with degree one is named a leaf. The notation   d ( u , v ) is used to show the distance between two any vertices u and v in a graph.
In a graph G , the number of vertices n is called order. The path and star graphs with n vertices are denoted by P n and S n , respectively.
Definition 2.1 . The total distance from a vertex u V ( G ) to other vertices is presented by the following phrase
D ( u ) = u V ( G ) d ( u , v ) .
Definition 2.2. The Wiener index for a graph G is defined by the following equation [4]
W ( G ) = 1 2 u V ( G ) D ( u ) .
Definition 2.3. The Hosoya (Wiener) polynomial of a graph G is denoted by H ( G , x ) and it is computed by the following equation where d ( G , k ) denotes the vertex pairs having distance k [5]
H ( G , x ) = k 1 d ( G , k ) x k .
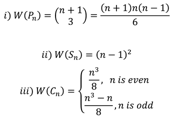
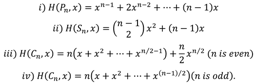
Theorem 2.4. The Hosoya polynomials of paths, stars, cycles with even order and odd order are presented as follows
Preprints 93079 i001
Theorem 2.5. The Wiener indices of paths, stars and cycles are presented in the following equations
Preprints 93079 i002
Definition 2.6. The Wiener index of a graph G is also computed by the following equation [5]
W ( G ) = ( H ( G , x ) ) ' | x = 1

3. Level Index and Dendrimer Graphs

In a rooted tree, a vertex determined as a root or central vertex. The distance i from the central vertex is denoted by D i ( T ) [2]. This distance (measured with edges) is called by level. The distance from the root to a vertex with the highest level is called height of the tree [2] .
Balaji and Mahmoud introduced two distance based topological indices for rooted trees [2] . The first one is called level index and level index of a tree is denoted by L ( T ) . Level index of a tree T is computed by the following equation
L ( T ) = 1 i < j n | D j ( T ) D i ( T ) |
such that D i ( T ) and D j ( T ) showing the vertices at distances i and j from the central vertex of the tree T .
In order to exemplify the level index, we use the example given in the paper [2].
Figure 1. The tree T which is used in the following example.
Figure 1. The tree T which is used in the following example.
Preprints 93079 g001
Example 3.1. The level index of T is computed by
L ( T ) = 1 + 1 + 2 + 2 + 2 + 1 + 1 + 1 + 1 + 1 + 1 = 14.
Now we can describe a level counting polynomial which is called level polynomial of the graphs.
Definition 3.2. The level polynomial of a rooted tree T is given by
L ( T , x ) = k 1 l ( T , k ) x k
where l ( G , k ) shows the number of vertex pairs having level difference k . It is understood that level index of a graph G equals to
L ( T ) = ( L ( T , x ) ) ' | x = 1
Lemma 3.3. For a given dendrimer graph T k , d (depicted in Figure 2) with central vertex v , the following properties are hold [11]
i ) The order of T k , d is 1 + d [ ( d 1 ) k 1 ] d 2 ,
i i ) T k , d contains d branches,
i i i ) Every branch of T k , d contains ( d 1 ) k 1 d 2 vertices,
i v ) Every branch of T k , d contains ( d 1 ) k 1 leaves,
v ) Every branch of T k , d contains ( d 1 ) k 1 1 d 2 non-leaf vertices,
v i ) There are d ( d 1 ) k 1 vertices at distance k from v .
Figure 2. Dendrimers T 2 , 4 and T 3 , 4 .
Figure 2. Dendrimers T 2 , 4 and T 3 , 4 .
Preprints 93079 g002

4. Main Results

In this section we obtain the main results of the paper. We obtain the level polynomial of some classes of graphs. If a i denotes the number of vertices on level i ( 0 i n ) , we can show the level polynomials of rooted trees as in the following theorem. Even though there exists one vertex at first level (a0 = 1) in a rooted tree, the definition of level polynomial can be extended to other graphs and a 0 can take different values in the future.
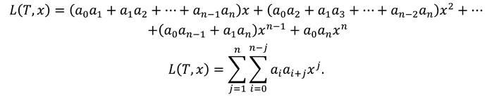
Theorem 4.1. The level polynomial of a rooted tree T is obtained by the following equation such that the number of vertices on level i is denoted by a i  
L ( T , x ) = j = 1 n i = 0 n j a i a i + j x j
Proof. If the height of a rooted tree is showed by n , the exponents of x changes from 1 to n . Since the level polynomial of a rooted tree can be presented as
L ( T , x ) = b 1 x + b 2 x 2 + + b n 1 x n 1 + b n a n x n .
The main problem is finding the coefficients of the level polynomial of T . Since a level has to be greater than 1, there is no constant term in the level polynomial.
The coefficient of x n is a n , because the vertex pairs which have level difference n are located on level 0 and level n . Similarly The coefficient of x n is,   a 0 a n 1 + a 1 a n because the vertex pairs which have level difference n 1 are located on levels 0 , ( n 1 ) and levels 1 , n .
By this way we obtain the coefficient of x 2 as a 0 a 2 + a 1 a 3 + + a n 2 a n , because we want to obtain the number of vertices which have level difference 2.
Finally the coefficient of x is a 0 a 1 + a 1 a 2 + + a n 1 a n . Because the vertices which have level difference 1 are located at consecutive levels. It means that the level polynomial of a rooted tree T is presented as follows
Preprints 93079 i003
Remark 4.2. The level index of a rooted tree equals to following equation by Defnition 3.2
L ( T ) = ( L ( T , x ) ) ' | x = 1 = j = 1 n i = 0 n j j a i a i + j .
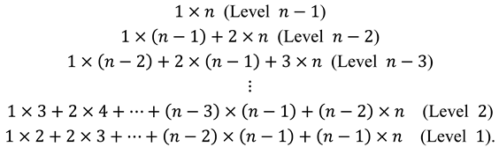
We can find the level polynomials of trees which represent the triangular numbers as in the following figure.
Let S be a tree which has i + 1 vertices on the level i (depicted in Figure 3 for n = 4 ). It means that there is a central vetrex, two vertices on first level, three vertices on the second level and n vertices on ( n 1 ) -th level (triangular numbers). The sum of coefficient of level polynomial of S gives a new application of the integer sequence A000914 from OEIS.
Theorem 4.3. Assume that S is defined above. Then its level polynomial is defined as follows
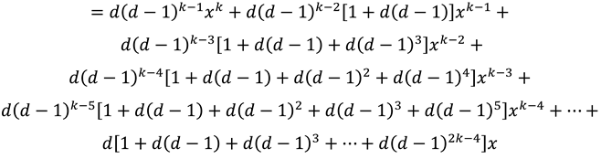
L ( S , x ) = j = 1 n 1 i = 1 n j i ( i + j ) x j
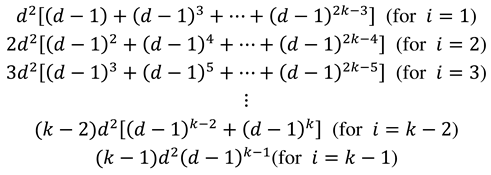
Proof. For a given sequence i = 1 , 2 , ,   n , the level partitions are defined as in the following phrases,
Preprints 93079 i004
By these phrases for a given level i = 1 , 2 , ,   n 1 , the coefficients are ordered. Then the level polynomial of S is presented as in the following equation
L ( S , x ) = j = 1 n 1 i = 1 n j i ( i + j ) x j .
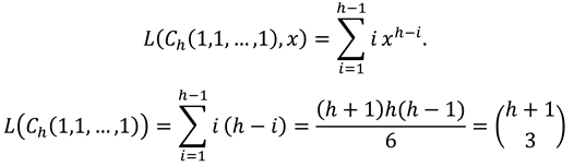
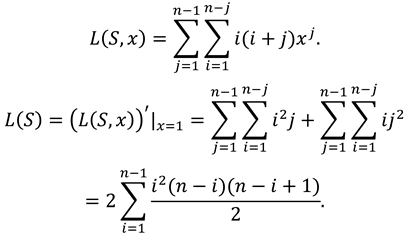
Let S be as in the previous theorem. Now it is denoted the sum of coefficients of level polynomials by ( n ) such that
( n ) = j = 1 n 1 i = 1 n j i ( i + j )
Theorem 4.4. For a positive integer n , the number of ( n ) is computed as in the following equation
( n ) = j = 1 n 1 i = 1 n j i ( i + j ) = i = 1 n 1 i ( n i ) ( n + i + 1 ) 2
Proof. In order to find the level number of a positive integer n , we use Therorem 4.3 in obtaining the sum of coefficients of Level polynomials of the tree S .
Preprints 93079 i005
Now we obtain the initial terms of the sequence of ( n ) . For a positive integer n , there is a tree S which has levels and there are i + 1 vertices on level i ( 1 i n 1 ) . By this way initial terms are obtained as
( 1 ) = 0 ,   ( 2 ) = 2 ,   ( 3 ) = 11 ,   ( 4 ) = 35 ,   ( 5 ) = 85 ,   ( 6 ) = 175 ,   ( 7 ) = 322.
Theorem 4.5. The level index of the tree S is defined in the following equation
L ( S ) = j = 1 n 1 i = 1 n j i j ( i + j ) = 2 i = 1 n 1 i 2 ( n i ) ( n i + 1 ) 2
Proof. In order to find the level index of a positive integer n , we use Remark 4.2 in obtaining the sum of coefficients of Level polynomials of the tree S .
Preprints 93079 i006
Since the level polynomial of S is given in the Theorem 4.2
Preprints 93079 i007
If we obtain the initial terms of the sequence which is obtained in the Theorem 4.5
L ( 1 ) = 0 ,   L ( 2 ) = 2 ,   L ( 3 ) = 14 ,   L ( 4 ) = 54 ,   L ( 5 ) = 154 ,   L ( 6 ) = 364.
This sequence is appeared in the OEIS with reference number A067056 for level index of greater than 1.
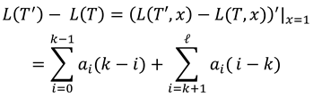
Theorem 4.6. Let T be a tree with level . Assume that T ' is a tree which is obtained from T by attaching a new vertex u to k -th level of T . Then the difference between the level polynomials of T ' and T is
L ( T , x )   L ( T , x ) = i = 0 k 1 a i x k i + i = k + 1 a i x i k
Proof. Assume that a vertex u is attached the k -th level of T . Then difference between the level polynomials of T ' and T is
L ( T , x )   L ( T , x ) = a 0 x k + a 1 x k 1 + + a k 1 x + a k + 1 x + a k + 2 x 2 + + a x k
with the open form. We can write this equaion by
L ( T , x )   L ( T , x ) = i = 0 k 1 a i x k i + i = k + 1 a i x i k .
By the last equation, we can compute the difference of level indices of T ' and T .
Preprints 93079 i008
Theorem 4.7. Let T be a rooted tree. Then the level polynomial of T equals to Hosoya polynomial T if and only if T = P n .
Proof. Since a path P n : v 1 v 2 v n has one vertex at each level, there exists one vertex for each distance from v 1 . Then the level polynomais of P n equals to Hosoya polynomial of P n as in the following equation
L ( P n , x ) = H ( P n , x ) = x n 1 + 2 x n 2 + + ( n 1 ) x .
Since the polynomials equal, we obtain that
L ( P n ) = W ( P n ) = ( n + 1 3 ) = ( n + 1 ) n ( n 1 ) 6 .
Now we assume that T P n . It means that n 2 and there are at least two vertices at a level. Let such a level be k -th level and two vertices u and v be two vertices at this level. Therefore, u and v are at the same level and the difference of level equals to zero but the distance between u and v is two. For the vertices which are located at the levels greater than k , distances from v equal to level difference plus two. Then the Hosoya polynomial of T is greater than Level polynomial of T as in the following equation.
H ( T , x ) L ( T , x ) = x 2 + x 3 + + x k + 2 x x 2 x k = x k + 2 + x k + 1 x
If the number of vertices which are the same level increases, then the difference H ( T , x ) L ( T , x ) also increases.
Theorem 4.8. The level polynomial of a star S n of order n equals to following equation
L ( S n , x ) = ( n 1 ) x .
Proof. The star graph Sn is consisted of a root and n 1 leaves at distance one from the root. Then we obtain the level polynomial and level index of S n as follows
L ( S n , x ) = ( n 1 ) x L ( S n ) = ( n 1 ) .
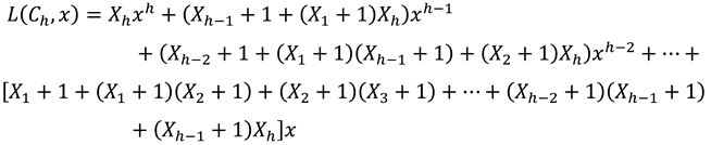
Let C h ( 1 + X 1 , 1 + X 2 , , 1 + X h ) be a caterpillar graph which is defined in [ 2 ] . C h ( 1 + X 1 , 1 + X 2 , , 1 + X h ) is obtained from a path P h v 0 v 1 v h 1 by attaching leaves to vertices of paths as the leaves located at consecutive level. It means that v 0 is root, at level i for 1 i h 1 there are 1 + X i vertices, and at the level h there are X h leaves. To easify the notation we can write C h instead of C h ( 1 + X 1 , 1 + X 2 , , 1 + X h ) .
Theorem 4.9. The level polynomial of a caterpillar graph C h equals to
L ( C h , x ) = i = 1 h 1 ( ( X i + 1 ) + j = 1 h i 1 ( X j + 1 ) ( X j + i + 1 ) + ( X h i + 1 ) X h ) x i + X h x h
Proof. The distance h can be obtained between the root v 0 and
Preprints 93079 i009
Then we can write the level polynomial of C h caterpillar graph
L ( C h , x ) = i = 1 h 1 ( ( X i + 1 ) + j = 1 h i 1 ( X j + 1 ) ( X j + i + 1 ) + ( X h i + 1 ) X h ) x i + X h x h
We compute the level index of caterpillar C h as in the following equation
( L ( C h , x ) ) ' | x = 1 = i = 1 h 1 i ( X i + 1 ) + i = 1 h 1 j = 1 h i 1 i ( X j + 1 ) ( X j + i + 1 ) + i = 1 h 1 i ( X h i + 1 ) X h + h X h
The last equation equals to level index of caterpillar which is obtained by direct calculation in the paper [ 2 ] .
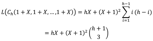
Corollary 4.10. If it is taken X 1 = X 2 = = X h = X , the level polynomial and level index of a caterpillar graph C h ( 1 + X , 1 + X , , 1 + X ) are given in the following equations
L ( C h ( 1 + X , 1 + X , , 1 + X ) , x ) = X x h + ( X + 1 ) 2 i = 1 h 1 i x h i .
Preprints 93079 i010
Corollary 4.11. If it is taken as X = 1 , the following equations are obtained
Preprints 93079 i011
Corollary 4.12. If it is taken X 1 = X 2 = = X h = 0 , the level polynomial and level index of a caterpillar graph C h ( 1 , 1 , , 1 ) = P h are given in the following equations
Preprints 93079 i012
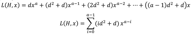
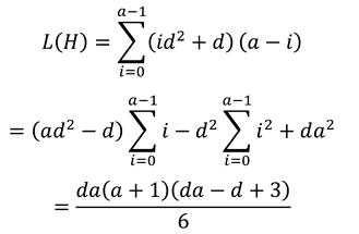
Theorem 4.13. The level polynomial of tree H of order n is computed by the following equation
L ( H , x ) = i = 0 a 1 ( i d 2 + d ) x a i
Proof. The tree H is consisted a central vertex v and d paths P a which are attached to v (see Figure 4). It means that n = d a + 1 .
Preprints 93079 i013
The level index of H can be computed from the first derivative of L ( H , x ) .
( L ( H , x ) ) ' = d a x a 1 + ( d 2 + d ) ( a 1 ) x a 2 + + ( ( a 1 ) d 2 + d )
Preprints 93079 n001
By this equation we obtain the level index of H as in the following equation.
Preprints 93079 n002
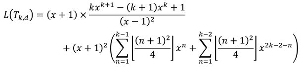
Theorem 4.14. The level polynomial of dendrimer (depicted in Figure 2) graph T k , d of order n is computed by the following equation
L ( T k , d , x ) = d ( d 1 ) k 1 x k + i = 1 k 1 ( d ( d 1 ) i 1 + d 2 j = 0 k i 1 ( d 1 ) i + 2 j ) x i
Proof. We use Theorem 4.1 for the level polynomial of dendrimer graph T k , d
Preprints 93079 n003
If the previous equation is written in a closed form, we obtain that
L ( T k , d , x ) = d ( d 1 ) k 1 x k + i = 1 k 1 ( d ( d 1 ) i 1 + d 2 j = 0 k i 1 ( d 1 ) i + 2 j ) x i .
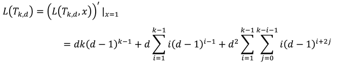
To compute the level index of dendrimer graph T k , d , we can take the first derivative of level polynom of T k , d .
Preprints 93079 n004
This equation can be restated as follows.
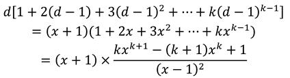
The first term and second term of L ( T k , d ) are showed by the following equation.
d [ 1 + 2 ( d 1 ) + 3 ( d 1 ) 2 + + k ( d 1 ) k 1 ]         ( * )
The third term of the L ( T k , d ) is restated by the following equations
Preprints 93079 n005
We can take x = d 1 for easy writing of the equations. By this way we obtain the equation ( * ) as in the short equation
Preprints 93079 n006
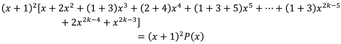
The third term of the L ( T k , d ) can be written as follows
Preprints 93079 n007
such that
P ( x ) = n = 1 2 k 3 a n x n = n = 1 k 1 ( n + 1 ) 2 4 x n + n = 1 k 2 ( n + 1 ) 2 4 x 2 k 2 n
It follows from the fact that the coefficients of P ( x ) are symmetric around a k 1 , a n = a 2 k 2 n and from the fact that the coefficients of odd powers sum to squares and of even powers to twice the triangular numbers.
The first ten coefficients of P ( x ) are 1, 2, 4, 6, 9, 12, 16, 20, 25, 30 which are the first terms of an interesting integer sequence which is appeared in OEIS by reference number A002620.
Finally the level index of the dendrimer graph T k , d equals to
Preprints 93079 n008

Conclusion

In this paper, we define a new graph polynomial which is based on the level index of rooted trees. The level index was defined by Balaji and Mahmoud for statistical analysis of graphs. It is used to measure balancing of rooted trees.
We show that level index can be calculated by level polynomials of graphs. We obtain the level polynomial and level index of trees which represent the triangular numbers. The sum of coefficients of level polynomials and level index of triangular numbers correspond some integer sequences appeared in OEIS [12]. Moreover, we compute the level polynomial and level index of caterpillar graphs, subdivision of star graphs and dendrimer graphs.
It is clear that level polynomial concept can be applied to rooted trees which represent the square numbers, pentagonal numbers, hexagonal numbers and others. We know that Pascal triangle can be represented by a perfect binay tree. Then, level polynomials can be applied to many integer objects.

References

  1. Gini, C.; Veriabilità e Mutabilità. Cuppini, 1912, Bologna.
  2. Balaji, H.; Mahmoud, H.; The Gini Index of Random Trees with Applications to Caterpillars, J. Appl. Prob. 54 (2017), 701-709. [CrossRef]
  3. Domicolo, C.; Mahmoud, H.M.; Degree Based Gini Index for Graphs, Probability in the Engineering and Informational Sciences 34 (2) (2019): 1-15. [CrossRef]
  4. Wiener, A.H.; Structural determination of paraffin boiling points, J. Am. Chem. Soc. 69 (1947), 17-20. [CrossRef]
  5. Hosoya, H.; On some counting polynomials in chemistry, Discrete Applied Mathematics 19 (1988), 239-257. [CrossRef]
  6. Konstantinova, E.V.; Diudea, M.V., The Wiener Polynomial Derivatives and Other Topological Indices in Chemical Research, Croatica Chemica Acta 73 (2) (2000), 383-403.
  7. Estrada, E.; Ovidiu, I.; Gutman, I; Gutierrez, A.; Rodriguez, L.; Extended Wiener indices. A new set of descriptors for quantitative structure-property studies, New J. Chem (1998), 819-822. [CrossRef]
  8. Doslic, T.; The vertex-weighted Wiener polynomials for composite graphs, Ars Mathematica Contemporanea 1 (2008), 66-80. [CrossRef]
  9. Flajolet, P.; Prodinger, H.; Level number sequences for trees, Discrete Mathematics 65 (1987), 149-156. [CrossRef]
  10. Tangora, M.C.; Level number sequences for trees and the lambda algebra, Europen J. Combinatorics 12 (1991), 433-443. [CrossRef]
  11. Şahin, B.; Şener, Ü.G., Total domination type invariants of regular dendrimer. Celal Bayar University Journal of Science 16 (2) (2020), 225-228.
  12. Sloane, N. J. and Ploufe, S.; The Encyclopedia of Integer Sequences, Academic Press, 1995, http://oeis.org.
Figure 3. The tree S for n = 4 .
Figure 3. The tree S for n = 4 .
Preprints 93079 g003
Figure 4. The tree H (Subdivisions of star graph).
Figure 4. The tree H (Subdivisions of star graph).
Preprints 93079 g004
Disclaimer/Publisher’s Note: The statements, opinions and data contained in all publications are solely those of the individual author(s) and contributor(s) and not of MDPI and/or the editor(s). MDPI and/or the editor(s) disclaim responsibility for any injury to people or property resulting from any ideas, methods, instructions or products referred to in the content.
Copyright: This open access article is published under a Creative Commons CC BY 4.0 license, which permit the free download, distribution, and reuse, provided that the author and preprint are cited in any reuse.
Prerpints.org logo

Preprints.org is a free preprint server supported by MDPI in Basel, Switzerland.

Subscribe

Disclaimer

Terms of Use

Privacy Policy

Privacy Settings

© 2026 MDPI (Basel, Switzerland) unless otherwise stated