Preprint
Article

This version is not peer-reviewed.

A Finite Source Stock-dependent Stochastic Inventory System with Heterogeneous Servers and Retrial Facility

Submitted:

08 December 2023

Posted:

11 December 2023

You are already at the latest version

Abstract
This article deals with a finite-source stock-dependent stochastic inventory system with heterogeneous servers and retrial facility. The system can store up to S number of items, and the lifetime of each item follows an exponential distribution. The primary customers arrive in a finite waiting hall from a finite source and get service from the multi-channel (c-heterogeneous servers). The customer’s arrival rate depends on the present stock level. Those customers who arrive while the waiting hall is full enter into the finite orbit. Also, customers in the waiting hall can become impatient and enter the orbit. The (s,Q) ordering policy is adopted for the replenishment of stocks. In the steady state, the joint probability distribution of a number of items in the inventory, busy servers, customers in the waiting hall, and orbit is computed. The comparative numerical analysis of heterogeneous and homogeneous servers on the expected total cost, the average number of customers in the waiting hall and orbit, the fraction of successful retrial rate, and the average impatient customer rate are also carried out.
Keywords: 
;  ;  ;  ;  ;  

1. Introduction

Many researchers have concentrated on homogeneous servers in prior studies of multi-server queueing systems. Readers can refer to the following research works for studying the analysis of multi-server systems with homogeneous servers: [4,8,15,16,28,43,44]. Nevertheless, it is crucial to recognize that manual servers or service providers frequently exhibit varying skill levels, experience, or work speeds in practical situations, resulting in differences in service rates. Overlooking these variations and assuming a uniform service pattern can lead to inaccurate modeling and unrealistic predictions about system performance. By incorporating heterogeneous service rates for each server, the queueing-inventory system can more effectively capture the diverse capabilities and efficiencies of the service providers, resulting in more precise analyses and enhanced decision-making capabilities. Morse [27] was among the early pioneers to introduce the notion of heterogeneity in service within queueing systems and examined two specific cases: (1) where no queue is permitted before the service facility and (2) where an infinite queue is allowed before the service facility. Li and Stanford [23] developed a queuing system that includes servers with different capabilities, where customers earn priority credits based on their waiting time. The customer with the highest accumulated priority receives service priority. The study determines the waiting time distribution for each customer class and employs simulations to validate the model’s effectiveness.
Jain [13] studied a multi-server queueing system with heterogeneous servers that depend on the queue length. They used a recursive method to derive various performance measures for the system. The numerical analysis helps to establish a trade-off between the costs associated with the servers and the waiting times experienced by customers. Kumar and Jain [20] examined a system comprising operational and standby K-type units, along with K-heterogeneous servers. The servers are successively activated one by one based on a predefined threshold policy when the number of failed units in the system reaches the specified threshold. Ammar [1] established the steady state vector and performance measures for a queueing system with dual heterogeneous servers. Saaty [34] later studied a queueing system with two servers by assigning different service rates, μ 1 and μ 2 .
Krishnamoorthy and Sreenivasan [19] examined a queuing system consisting of two servers that exhibit heterogeneity. While one server remains constantly available, the other server takes periodic breaks when no customers are in the queue waiting for service. Melikov et al. [25] studied a heterogeneous multi-server queueing system consisting of two groups of servers: F fast servers and S slow servers. Jain and Meena [14] analyzed the transient behavior of the machining system with multiple components consisting of two servers that are both unreliable and heterogeneous using the Runge-Kutta method and determined the total cost through a heuristic search approach. Jose and Beena [17] considered a production inventory system that involves servers with different capabilities, a server taking vacations, and customers who may retry. The system follows an ( s , S ) policy, where a server goes on vacation if the inventory level reaches zero or the orbit is empty. Based on Bernoulli trials, customers can choose to wait or leave, and the rate of retrail is classical.
Rasmi et al. [30] considered a queuing-inventory system that accommodates customers of K types with varying characteristics. These customers arrive at the system according to a marked Markovian arrival process. Each customer class corresponds to a specific service requirement and is assigned a distinct priority, resulting in different inventory levels being utilized to serve customers of each class. Seenivasan et al. [36] examined a dual heterogeneous server queueing model with two different kinds of breakdowns on the second server. The breakdown occurs due to the restoration or catastrophes, whereas the first server is always available. Mei and Dudin [24] investigated a retrial system that involves unreliable servers with heterogeneity, considering a broad range of dependencies between the total retrial rate and the number of customers in the system. A multidimensional continuous-time, asymptotically quasi-Toeplitz Markov chain describes the system’s dynamics.
Arrival from a finite source is a vital study problem in the queueing-inventory system, as it is more realistic. For instance, a software company releases a new version of its product with exclusive features and upgrades. The company notifies a select group of existing customers eligible for a discounted upgrade. These customers form a finite source from which customer arrivals occur. Interested customers from this finite population may then contact the company to inquire about the upgrade, make a purchase, or seek further information. If the product is unavailable while they are purchasing it, they temporarily leave and return later to purchase it. Artaljeo et al. [2] introduced the concept of a retrial facility into the inventory system. Sivakumar [38] studied the finite source arrival in a queueing-inventory model with retrial demands. Yadavalli et al. [43] examined a continuous review and retrial inventory system with multiple parallel servers and limited customers. Customers enter an orbit and vie for service when all servers are occupied. Lawrence et al. [21] studied the queueing-inventory system where service and lead time follow phase-type distribution in a finite population. They have applied the ( s , S ) ordering policy in this perishable inventory system, which is reviewed continuously.
Suganya and Sivakumar [39] investigated an experimental inventory system with multiple server vacations where clients come under a Markovian arrival process. Two heterogeneous servers provide phase-type services, and the system takes into account finite-size orbits for users who discover that both servers are occupied or unavailable. Using multivariate Markov chains, Efrosinin et al. [9] explored a finite-source multi-server heterogeneous system without priority service interruption. The study determines the optimal threshold policy and evaluates the associated performance measures. However, analytical and numerical investigations need to be revised due to the system’s dimensionality. Jenifer et al. [35] investigated a finite-source inventory system with service provided by a single server. The arrival of customers follows a quasi-random process, and the service time and lead time both follow phase-type distributions. They studied the impact of the squared coefficient of variation on optimal values and the expected waiting time for customers in both the waiting hall and the pool.
The effect of stock-dependent arrival can be noticed during seasonal sales occasions like New Year or Christmas shopping. Customers eagerly expect substantial discounts and promotions on various goods, which results in a notable rise in the arrival rate at retail outlets. The factor affecting the volume of consumers at these times is the availability of the stock level. Levin et al. [22] state that the presence of abundant and diverse stock in supermarkets attracts a significant number of customers, increasing market demand. This phenomenon is referred to as “stock-dependent deman”. Baker and Urban [3] analyzed the inventory system with constant demand during the initial period and level-dependent demand after the initial period. Urban [40] developed a unifying theory on inventory models with demand rates influenced by inventory levels. Shah and Pandey [37] studied a deteriorating inventory system in which the arrival pattern of customers depends on the advertisement and stock display. Min et al. [26] introduced an inventory model that takes into account deteriorating items, stock-dependent demand, and two-level trade credit. Hsieh et al. [12] determined the optimal lot size of a deterministic inventory model with the two-component demand rate and time-dependent partial backlogging. In this model, the component of the level-dependent demand rate is considered a power function of the current stock level. Duan et al. [7] studied an inventory model for perishable products, where the inventory level influences the demand rate.
Pervin et al. [29] dealt with a two-echelon deteriorating inventory system with stock-dependent demand. Xue et al. [42] examined how to effectively manage retail shelf and backroom inventories when stock levels influence demand. Varghese and Shajin [41] considered the service facility in an inventory system, which depends on finite storage capacity and stock-dependent demand rate. Chandra [6] investigated time-dependent holding cost for a deteriorating inventory system with a stock-dependent demand pattern. Hanukov et al. [10] investigated an M / M / 2 -type system where the server utilizes idle time to generate preliminary services for incoming customers. Additionally, the server can announce the quantity of available stock, which leads to increased demand as customers anticipate shorter waiting times.
Hanukov et al. [11] investigated a multi-server system with stock-dependent arrival that utilizes idle time to produce and store preliminary services. By reducing customers’ sojourn time, the system aims to stimulate demand. Recently, Barron [5] introduced an inventory system that takes into account the influence of stock-dependent demand and age-stock-dependent cost functions in a random environment. The study primarily aims to comprehend how arrival patterns, which are influenced by stock levels, impact inventory management costs and dynamics. Khan et al. [18] presented an inventory model designed for items that deteriorate over time, exhibiting non-linear stock-dependent demand. The model also incorporates a hybrid payment scheme, accounting for partially backlogged shortages.
Numerous types of academic papers have been published so far concerning queueing-inventory modelling. However, no paper studied the stock-dependent arrival process and heterogeneous servers in a finite source queueing-inventory system with orbit. Also, the homogeneous and heterogeneous servers are compared with the expected total cost, the average number of customers in the waiting hall and orbit, a fraction of the success rate of retrial, the expected impatient rate of a customer, and the average number of busy servers. The rest of the paper is organized as follows: a detailed model description is given in Section 2, and model analysis is done in Section 3. Various system performance measures are defined in Section 4. Section 5 analyses the various numerical illustrations to validate the model, and the conclusion from the study is added in the last section.

1.1. Notations

I : Identity matrix 0 : Zero matrix e : A column vector of convenient size with all entries being one H ( x ) : Heaviside function δ i j : Kronecker Delta δ ¯ i j : 1 δ i j

2. Model Description

Definition 2.1. 
[20] The system consists of c servers, and the service time of the i t h ( i = 1 , 2 , , c ) server is assumed to be exponentially distributed with rate μ i . When there are j busy servers in the system, the state-dependent mean service rate is given by
α j = i = 1 j μ i , where j = 1 , 2 , , c .
Definition 2.2. 
The stock-dependent arrival rate is defined by λ j = λ j k 1 , j { 1 , , S } , where j signifies the current stock level and k 1 ( 0 k 1 1 ) is a scaling factor. Furthermore, if k 1 = 0 , the rate of arrival is independent of the stock level (homogeneous), and if k 1 > 0 , the rate of customer arrival is dependent on the stock level (non-homogeneous). Also, the customer’s retrial rate is given by θ j = θ j k 2 , where j { 0 , 1 , 2 , , S } and k 2 ( 0 k 2 1 ) is a scaling factor.

2.1. Model Assumption

This stochastic queueing-inventory model consists of c heterogeneous servers, a waiting hall of capacity K, and an inventory of maximum storage capacity size S. At most c number of customers can receive service at an instance. So that except for the customers receiving the service, at most L = K c customers can wait in the waiting hall for their turn. The arrival of customers follows a quasi-random process with the parameter λ and is generated from a finite source of size N . Also, the arrival of customers depends on the current inventory level, and the rate is defined by λ j 1 where j 1 refers to the current stock level. If the waiting hall is occupied when a customer arrives, he immediately enters the orbit and keeps trying to enter the waiting hall. Once a space exists in the waiting hall, the customer from the orbit immediately enters the waiting hall. The retrial is assumed to follow the classical retrial policy. The rate at which orbital customers enter the waiting hall is denoted by θ j 1 where j 1 refers to the current inventory level. The time between consecutive arrivals of customers from the orbit follows an exponential distribution. The servers become busy only whenever customers and items are available. When there are j busy servers in the system, the state-dependent mean service rate is denoted by α j as defined in definition (2.1). Customers in the waiting hall have limited patience and may leave the system if they wait too long. These impatient customers leave the system after a random time, which is distributed as an exponential with the parameter η . Each item in the inventory also has a limited lifetime, and the lifetime follows an exponential distribution with a perishable rate of γ . Once the inventory level reaches a pre-determined threshold of s, an order for Q = S s items is initiated. The rate at which orders are received is denoted by β , and the lead time of each order follows an exponential distribution. The model flow chart is shown in Figure 1.

3. Mathematical Analysis of Model

Let us consider the following random variables at time t in order to analysis the model mathematically.
  • D 1 ( t ) represents the current inventory level.
  • D 2 ( t ) represents the number of busy servers.
  • D 3 ( t ) represents the number of customers in waiting hall.
  • D 4 ( t ) represents number of customers in the orbit.
The collection of random variables { H ( t ) , t 0 } = { ( D 1 ( t ) , D 2 ( t ) , D 3 ( t ) , D 4 ( t ) ) : t 0 } forms a continuous time Markov chain (CTMC) with finite state space Ω = i = 1 4 A i where
A 1 = ( j 1 , j 2 , j 3 , j 4 ) | 0 j 1 c 1 , 0 j 2 j 1 , j 3 = 0 , 0 j 4 N ( j 2 + j 3 ) A 2 = ( j 1 , j 2 , j 3 , j 4 ) | 0 j 1 c 1 , j 2 = j 1 , 1 j 3 K j 2 , 0 j 4 N ( j 2 + j 3 ) A 3 = ( j 1 , j 2 , j 3 , j 4 ) | c j 1 S , 0 j 2 c , j 3 = 0 , 0 j 4 N ( j 2 + j 3 ) A 4 = ( j 1 , j 2 , j 3 , j 4 ) | c j 1 S , j 2 = c , 1 j 3 K j 2 , 0 j 4 N ( j 2 + j 3 )
and j 1 , j 2 , j 3 , j 4 are the non-negative integers. For the sake of simplicity, one shall consider the tuple, ( j 1 , j 2 , j 3 , j 4 ) Ω .

3.1. Matrix Formulation

The rate matrix, B of the CTMC { H ( t ) , t 0 } is formed by arranging the state space Ω in the lexicographical order which is given by
Preprints 92699 i001
The sub-matrix C denotes the transitions due to the reorder of the inventory which is given by
C = β × I [ ( N + 1 ) ( K + 1 ) K ( K + 1 ) / 2 ]
The following square matrices F j 1 of order ( N + 1 ) ( K + 1 ) K ( K + 1 ) / 2 for j 1 = 1 , 2 , , S represent the transitions due to the service and perishable of items.
For j 1 = 1 , 2 , , c
[ F j 1 ] = α j 2 , j 2 = 1 , 2 , , j 1 , j 3 = 0 , j 4 = 0 , 1 , 2 , , N j 2 , j 2 = j 2 1 , j 3 = j 3 , j 4 = j 4 α j 2 , j 2 = j 1 , j 3 = 1 , 2 , , K j 2 , j 4 = 0 , 1 , 2 , , N ( j 2 + j 3 ) j 2 = j 2 1 , j 3 = j 3 , j 4 = j 4 ( j 1 j 2 ) γ , j 2 = 0 , 1 , , j 1 1 , j 3 = 0 , j 4 = 0 , 1 , 2 , , N j 2 , j 2 = j 2 , j 3 = j 3 , j 4 = j 4 , α j 2 , j 2 = 1 , 2 , , c , j 3 = 0 , j 4 = 0 , 1 , 2 , , N j 2 , j 2 = j 2 1 , j 3 = j 3 , j 4 = j 4 , α c , j 2 = c , j 3 = 1 , 2 , , K c , j 4 = 0 , 1 , 2 , , N ( c + j 3 ) j 2 = j 2 , j 3 = j 3 1 , j 4 = j 4 , ( j 1 j 2 ) γ , j 2 = 0 , 1 , , c , j 3 = 0 , j 4 = 0 , 1 , 2 , , N j 2 , j 2 = j 2 , j 3 = j 3 , j 4 = j 4 ( j 1 c ) γ , j 2 = c , j 3 = 1 , 2 , , K c , j 4 = 0 , 1 , 2 , , N ( c + j 3 ) j 2 = j 2 , j 3 = j 3 , j 4 = j 4 0 , Otherwise .
The following square matrices R j 1 of order ( N + 1 ) ( K + 1 ) K ( K + 1 ) / 2 for j 1 = 1 , 2 , , S represent the transitions due to the primary arrival, retrial and impatience.
For j 1 = 0 , 1 , 2 , , c
[ R j 1 ] = δ ¯ j 1 0 ( N ( j 2 + j 3 + j 4 ) ) λ j 1 , j 2 = 0 , , j 1 1 , j 3 = 0 , j 4 = 0 , 1 , , N ( j 2 + j 3 ) 1 , j 2 = j 2 + 1 , j 3 = j 3 , j 4 = j 4 , ( N ( j 2 + j 3 + j 4 ) ) λ j 1 , j 2 = j 1 , j 3 = 0 , , K j 2 1 , j 4 = 0 , , N ( j 2 + j 3 ) 1 , j 2 = j 2 , j 3 = j 3 + 1 , j 4 = j 4 , ( N ( j 2 + j 3 + j 4 ) ) λ j 1 , j 2 = j 1 , j 3 = K j 2 , j 4 = 0 , , N ( j 2 + j 3 ) 1 , j 2 = j 2 , j 3 = j 3 + 1 , j 4 = j 4 + 1 , j 4 θ j 1 , j 2 = 0 , , j 1 1 , j 3 = 0 , j 4 = 1 , , N ( j 2 + j 3 ) j 2 = j 2 + 1 , j 3 = j 3 , j 4 = j 4 1 , j 4 θ j 1 , j 2 = j 1 , j 3 = 0 , , K j 2 1 , j 4 = 1 , , N ( j 2 + j 3 ) j 2 = j 2 , j 3 = j 3 + 1 , j 4 = j 4 1 , j 3 η , j 2 = j 1 , j 3 = 1 , , K j 2 , j 4 = 0 , , N ( j 2 + j 3 ) j 2 = j 2 , j 3 = j 3 1 , j 4 = j 4 + 1 , { δ ¯ j 4 0 j 4 θ j 1 + β + δ j 3 0 ( j 1 j 2 ) γ + δ ¯ j 2 0 α j 2 + δ ¯ j 4 ( N ( j 2 + j 3 ) ) ( N ( j 2 + j 3 + j 4 ) ) λ j 1 } , j 2 = 0 , , j 1 , j 3 = 0 , j 4 = 0 , , N ( j 2 + j 3 ) j 2 = j 2 , j 3 = j 3 , j 4 = j 4 , { δ ¯ j 3 ( K j 2 ) j 4 θ j 1 + β + δ ¯ j 2 0 α j 2 + j 3 η + δ ¯ j 4 ( N ( j 2 + j 3 ) ) ( N ( j 2 + j 3 + j 4 ) ) λ j 1 } , j 2 = j 1 , j 3 = 1 , , K j 2 , j 4 = 0 , , N ( j 2 + j 3 ) j 2 = j 2 , j 3 = j 3 , j 4 = j 4 0 , Otherwise .
For j 1 = c + 1 , c + 2 , , S
[ R j 1 ] = ( N ( j 2 + j 3 + j 4 ) ) λ j 1 , j 2 = 0 , , c 1 , j 3 = 0 , j 4 = 0 , , N ( j 2 + j 3 ) 1 , j 2 = j 2 + 1 , j 3 = j 3 , j 4 = j 4 ( N ( j 2 + j 3 + j 4 ) ) λ j 1 , j 2 = c , j 3 = 0 , , K j 2 1 , j 4 = 0 , , N ( j 2 + j 3 ) 1 , j 2 = j 2 , j 3 = j 3 + 1 , j 4 = j 4 , ( N ( j 2 + j 3 + j 4 ) ) λ j 1 , j 2 = c , j 3 = K j 2 , j 4 = 0 , , N ( j 2 + j 3 ) 1 j 2 = j 2 , j 3 = j 3 + 1 , j 4 = j 4 + 1 , j 4 θ j 1 , j 2 = 0 , , c 1 , j 3 = 0 , j 4 = 1 , , N ( j 2 + j 3 ) , j 2 = j 2 + 1 , j 3 = j 3 , j 4 = j 4 1 j 4 θ j 1 , j 2 = c , j 3 = 0 , , K j 2 1 , j 4 = 1 , , N ( j 2 + j 3 ) j 2 = j 2 , j 3 = j 3 + 1 , j 4 = j 4 1 , j 3 η , j 2 = c , j 3 = 1 , , K j 2 , j 4 = 0 , , N ( j 2 + j 3 ) j 2 = j 2 , j 3 = j 3 1 , j 4 = j 4 + 1 , 0 , Otherwise .
[ R j 1 ] = { δ ¯ j 4 0 j 4 θ j 1 + β + δ j 3 0 ( j 1 j 2 ) γ + δ ¯ j 2 0 α j 2 + δ ¯ j 4 ( N ( j 2 + j 3 ) ) ( N ( j 2 + j 3 + j 4 ) ) λ j 1 } , j 2 = 0 , , c , j 3 = 0 , j 4 = 0 , , N ( j 2 + j 3 ) , j 2 = j 2 , j 3 = j 3 , j 4 = j 4 , { δ ¯ j 3 ( K j 2 ) j 4 θ j 1 + β + δ ¯ j 2 0 α j 2 + j 3 η + δ ¯ j 4 ( N ( j 2 + j 3 ) ) ( N ( j 2 + j 3 + j 4 ) ) λ j 1 } , j 2 = c , j 3 = 1 , , K j 2 , j 4 = 0 , , N ( j 2 + j 3 ) , j 2 = j 2 , j 3 = j 3 , j 4 = j 4 , 0 , Otherwise .

3.2. Steady state analysis

From the structure of the matrix B , it is clear that CTMC { H ( t ) , t 0 } with the finite state space Ω is irreducible. Hence, the steady state probability distribution of the process exists that is given by
X ¯ = lim t P r { ( D 1 ( t ) , D 2 ( t ) , D 3 ( t ) , D 4 ( t ) ) ( D 1 ( 0 ) , D 2 ( 0 ) , D 3 ( 0 ) , D 4 ( 0 ) }
where X ¯ = ( X ( 0 ) , X ( 1 ) , X ( 2 ) , , X ( S ) ) . Each X ( j 1 ) ’s are partitioned as follows:
For j 1 = 0 , 1 , , c 1
X ( j 1 ) = X ( j 1 , j 2 , j 3 , j 4 ) 0 j 2 j 1 , j 3 = 0 , 0 j 4 N ( j 2 + j 3 )
and
X ( j 1 ) = X ( j 1 , j 2 , j 3 , j 4 ) j 2 = j 1 , 1 j 3 K j 2 , 0 j 4 N ( j 2 + j 3 ) .
For j 1 = c , c + 1 , , S
X ( j 1 ) = X ( j 1 , j 2 , j 3 , j 4 ) 0 j 2 c , j 3 = 0 , 0 j 4 N ( j 2 + j 3 )
and
X ( j 1 ) = X ( j 1 , j 2 , j 3 , j 4 ) j 2 = c , 1 j 3 K j 2 , 0 j 4 N ( j 2 + j 3 ) .
Then the vector of limiting probabilities X ¯ satisfies
X ¯ B = 0 and
X ¯ e = 1 .
Solving the matrix balance equation X ¯ B = 0 delivers the following set of equations:
X ( j 1 + 1 ) F j 1 + 1 + X ( j 1 ) R j 1 = 0 , j 1 = 0 , , Q 1
X ( j 1 + 1 ) F j 1 + 1 + X ( j 1 ) R j 1 + X ( j 1 Q ) C = 0 , j 1 = Q , , S 1
X ( j 1 ) R j 1 + X ( j 1 Q ) C = 0 , j 1 = S .
Using the above equations (4)-(6), the recursive solving technique by the forward substitutions, give
X ( j 1 ) = X ( Q ) j 1 , j 1 { 0 , 1 , 2 , , S }
where
j 1 = ( 1 ) Q i F Q R Q 1 1 F i + 1 R i 1 , i = 0 , , Q 1 , I , i = Q , ( 1 ) 2 Q i + 1 j = 0 S i F Q R Q 1 1 F s + 1 j R s j 1 C R S j 1 F S j R S j 1 1 F i + 1 R i 1 , i = Q + 1 , , S ,
Then the vector X ( Q ) is determined by solving
π ( Q ) [ ( 1 ) Q j = 0 s 1 F Q R Q 1 1 F Q 1 F s + 1 j R s j 1 C R S j 1 F S j R S j 1 1 F S j 1 F Q + 2 R Q + 1 1 F Q + 1 + R Q + ( 1 ) Q F Q R Q 1 1 F Q 1 F 1 R 0 1 C ] = 0 ,
and
π ( Q ) [ i = 0 Q 1 ( 1 ) Q i F Q R Q 1 1 F Q 1 F i + 1 R i 1 + I + i = Q + 1 S ( ( 1 ) 2 Q i + 1 j = 0 S i F Q R Q 1 1 F Q 1 F s + 1 j R s j 1 C R S j 1 F S j R S j 1 1 F S j 1 F i + 1 R i 1 ) ] e = 1 .

4. System Performance Measures

This section explores the determination of expected total cost along with system performance measures of the proposed model.
1. Average Inventory Level:
1 = j 1 = 1 S j 1 X ( j 1 ) e
2. Average Reorder rate:
2 = j 2 = 1 c j 4 = 0 N j 2 α j 2 X ( s + 1 , j 2 , 0 , j 4 ) + j 3 = 1 K c j 4 = 0 N ( c + j 3 ) α c X ( s + 1 , c , j 3 , j 4 ) + j 2 = 0 c j 4 = 0 N j 2 ( s + 1 j 2 ) γ X ( s + 1 , j 2 , 0 , j 4 ) + j 3 = 1 K c j 4 = 0 N ( c + j 3 ) ( s + 1 c ) γ X ( s + 1 , c , j 3 , j 4 )
3. Average Perishable rate:
3 = j 1 = 1 c 1 j 2 = 0 j 1 j 4 = 0 N j 2 ( j 1 j 2 ) γ X ( j 1 , j 2 , 0 , j 4 ) + j 1 = c S j 2 = 0 c j 4 = 0 N j 2 ( j 1 j 2 ) γ X ( j 1 , j 2 , 0 , j 4 ) + j 1 = c S j 3 = 1 K c j 4 = 0 N ( c + j 3 ) ( j 1 c ) γ X ( j 1 , c , j 3 , j 4 )
4. Average number of customers in the queue:
4 = j 1 = 0 c 1 j 3 = 1 K j 1 j 4 = 0 N ( j 1 + j 3 ) j 3 X ( j 1 , j 1 , j 3 , j 4 ) + j 1 = c S j 3 = 1 K c j 4 = 0 N ( c + j 3 ) j 3 X ( j 1 , c , j 3 , j 4 )
5. Average number of customers in the orbit:
5 = j 1 = 0 c 1 j 2 = 0 j 1 j 4 = 1 N j 2 j 4 X ( j 1 , j 2 , 0 , j 4 ) + j 1 = 0 c 1 j 3 = 1 K j 2 j 4 = 1 N ( j 1 + j 3 ) j 4 X ( j 1 , j 1 , j 3 , j 4 ) + j 1 = c S j 2 = 0 c j 4 = 1 N j 2 j 4 X ( j 1 , j 2 , 0 , j 4 ) + j 1 = c S j 3 = 1 K c j 4 = 1 N ( c + j 3 ) j 4 X ( j 1 , c , j 3 , j 4 )
6. Average number of busy servers:
6 = j 1 = 1 c 1 j 2 = 1 j 1 j 4 = 1 N j 2 j 2 X ( j 1 , j 2 , 0 , j 4 ) + j 1 = 1 c 1 j 3 = 1 K j 2 j 4 = 0 N ( j 1 + j 3 ) j 1 X ( j 1 , j 1 , j 3 , j 4 ) + j 1 = c S j 2 = 1 c j 4 = 0 N j 2 j 2 X ( j 1 , j 2 , 0 , j 4 ) + j 1 = c S j 3 = 1 K c j 4 = 0 N ( c + j 3 ) c X ( j 1 , c , j 3 , j 4 )
7. Average impatient rate of customers:
7 = j 1 = 0 c 1 j 3 = 1 K j 1 j 4 = 0 N ( j 1 + j 3 ) j 3 η X ( j 1 , j 1 , j 3 , j 4 ) + j 1 = c S j 3 = 1 K c j 4 = 0 N ( c + j 3 ) j 3 η X ( j 1 , c , j 3 , j 4 )
8. Overall rate of retrial:
8 = j 1 = 0 c 1 j 2 = 0 j 1 j 4 = 1 N j 2 j 4 θ j 1 X ( j 1 , j 2 , 0 , j 4 ) + j 1 = 0 c 1 j 3 = 1 K j 2 j 4 = 1 N ( j 1 + j 3 ) j 4 θ j 1 X ( j 1 , j 1 , j 3 , j 4 ) + j 1 = c S j 2 = 0 c j 4 = 1 N j 2 j 4 θ j 1 X ( j 1 , j 2 , 0 , j 4 ) + j 1 = c S j 3 = 1 K c j 4 = 1 N ( c + j 3 ) j 4 θ j 1 X ( j 1 , c , j 3 , j 4 )
9. Successful rate of retrial:
9 = 1 j 1 = 0 c 1 j 4 = 1 N ( j 1 + j 3 ) j 4 θ j 1 X ( j 1 , j 1 , K j 1 , j 4 ) + j 1 = c S j 4 = 1 N K j 4 θ j 1 X ( j 1 , c , K c , j 4 )
10. Successful rate of retrial:
10 = 9 8

4.1. Expected Total Cost

Here different costs are defined as
  • c h = Holding cost per unit item per unit time.
  • c s = Setup cost per order per unit time.
  • c p = Perishable cost per unit item per unit time.
  • c w = Waiting cost of a customer in queue per unit time.
  • c o = Waiting cost of a customer in orbit per unit time.
The expected total cost (ETC) of the system is defined by
E T C = c h 1 + c w 4 + c o 5 + c s 2 + c p 3 .

5. Numerical illustration

The four-dimensional stochastic multi-server queuing-inventory problem is studied with detailed numerical illustrations using the system’s cost and parameter values. The discussions show how the service provided by the server and the respective probabilities influence the system’s total cost and essential system performance measures. For the analysis of numerical discussions, the following parameters and cost values are assumed: S = 30 , s = 10 , c h = 0.2 , c s = 0.1 , c o = 4 , c w = 0.2 , c p = . 01 , c = 3 , Q = S s , N = 48 , K = 13 , θ 1 = 0.4 , θ 2 = 0.07 , λ 1 = 0.1 , λ 2 = 0.3 , μ 1 = 6 , μ 2 = 10 , μ 3 = 20 , μ 4 = 30 , μ 5 = 40 , η = 0.03 , β = 0.4 , γ = 0.01 , k 1 = 0.8 , k 2 = 0.6 .

5.1. A Comparative Analysis of Homogeneous and Heterogeneous Servers in ETC

In this section, we compare the efficiency of homogeneous and heterogeneous servers in ETC through Figure 2, Figure 3, Figure 4, Figure 5, Figure 6, Figure 7, Figure 8, Figure 9, Figure 10, Figure 11, Figure 12 and Figure 13.
  • Observing Figure 2 and Figure 3, we note that while increasing λ and μ 1 , ETC increases and decreases, respectively. But compared to homogeneous servers, ETC is more efficient on heterogeneous servers.
  • While increasing S and s, we note that ETC increases in both Figure 4 and Figure 5. But the value of ETC is minimum in Figure 4.
  • Figure 6 and Figure 7 show that θ increases the ETC while η decreases it. But ultimately, comparing both figures, one can note that ETC is more efficient only in Figure 6.
  • Parameters β and γ are varied in Figure 8 and Figure 9. They show us that there exists convexity for both heterogeneous and homogeneous servers while varying β . But the obtained convexity is more efficient for heterogeneous servers. Also, the ETC is decreased while varying γ for both homogeneous and heterogeneous servers.
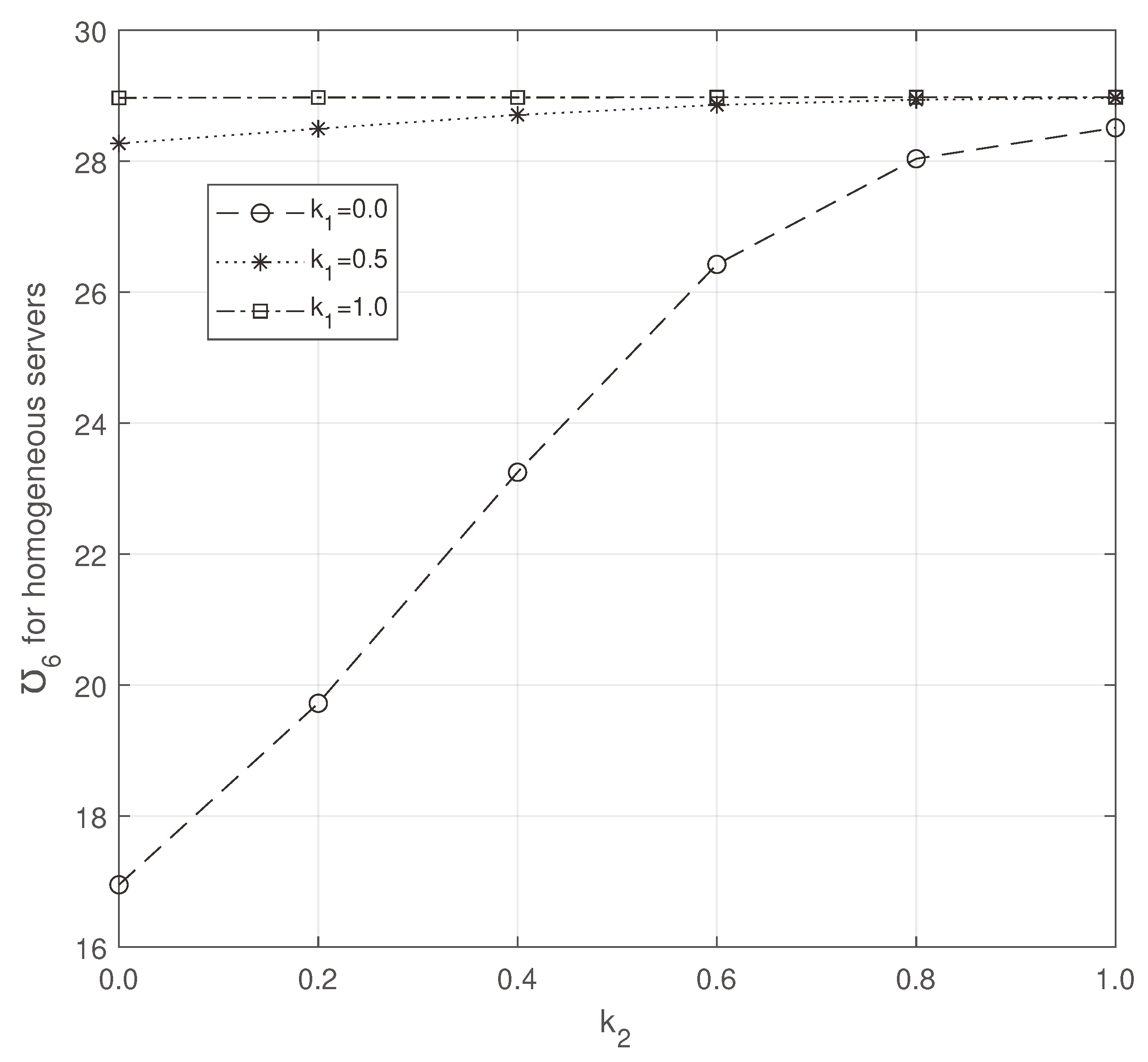
  • The scaling factors k 1 and k 2 are varied to compare the heterogeneous and homogeneous servers in Figure 10 and Figure 11. We note that while increasing the scaling factors, arrival occurs, so ETC increases. Compared to homogeneous servers, heterogeneous servers efficiently optimize the ETC.
  • In Figure 12 and Figure 13, L and c are varied to see the changes in ETC. While increasing them, ETC increased as we expected. However, ETC is minimum in Figure 12.
From the above comparative analysis, we witness that heterogeneous servers play a vital role in controlling the efficiency of the ETC.

5.2. A Comparative Analysis of Heterogeneous and Homogeneous Servers in Average Number of Busy Servers

In this section, we compare the heterogeneous and homogeneous servers, analyzing the average number of busy servers from Figure 14, Figure 15, Figure 16, Figure 17, Figure 18, Figure 19, Figure 20, Figure 21, Figure 22, Figure 23, Figure 24 and Figure 25.
  • From Figure 14 and Figure 15, we note that the average number of customers increases while increasing λ and decreases while increasing μ 1 . Though there is a change in varying them, 6 is minimum on heterogeneous servers only.
  • In Figure 16 and Figure 17, inventory capacity and reorder point are varied to discuss the average busy servers. Though 6 increases while increasing S and s, the minimum value is obtained by varying the heterogeneous servers.
  • Figure 18 and Figure 19 demonstrate the effect of varying the parameters η and θ on 6 . We notice that 6 decreases while increasing η , and it increases at the same time while increasing θ . Observing both figures, we notice that Figure 18 is more efficient.
  • Figure 20 and Figure 21 show us that 6 decreases while varying the parameter γ and 6 increases while varying the parameter β . But observing the figures, we clearly notice that heterogeneous servers are minimized.
  • In Figure 22 and Figure 23, the scaling factors for the arrival rate and the retrial rate are varied. As expected, 6 is increased for k 1 and k 2 in both figures. But Figure 22 obtained the minimum 6 than the other one.
  • In Figure 24 and Figure 25, we have analysed the average number of busy servers under the variation of waiting hall size and number of servers. While increasing both of them, we notice that 6 is increasing. Though they increase, we could notice that the value of 6 is minimum in Figure 24.
The above discussions deal with the comparison of heterogeneous and homogeneous servers on average busy servers. From all the figures, though all the parameters involve their characteristics, the optimized value is obtained for the heterogeneous servers only.

5.3. A Comparative Analysis of Homogeneous and Heterogeneous Servers on Waiting time of Customers in Waiting Hall and Orbit

This section analyses the comparative study of heterogeneous and homogeneous over the average number of customers in the waiting hall and orbit, which are shown in Table 1, Table 2, Table 3, Table 4, Table 5, Table 6 and Table 7. The characteristics of the parameters are given below.
  • We notice that increasing the λ causes an increase in 4 and 5 . This is because of the decrease in the duration of the arrival of primary customers.
  • While increasing the parameter θ , we know that a number of customers enter the waiting hall from orbit. That’s why 4 increases and 5 decreases while increasing θ .
  • The average service time is usually reduced while increasing the parameter μ 1 , or the number of servers. So the 4 and 5 decrease if we increase the values of μ 1 and c.
  • The perishable time decreases if the rate γ increases. So the average customers’ level in the orbit and waiting hall increases while varying the parameter γ .
  • When we increase the rate of β , the lead time of replenishment decreases in nature. So the customers from the orbit and waiting hall need not wait too long in the stock-out time. So 4 and 5 decrease while varying β .
The characteristics of parameters remain the same in Table 1, Table 2, Table 3, Table 4, Table 5, Table 6 and Table 7. Also, we witness that the minimum values of 4 and 5 are obtained on heterogeneous servers. This shows us that the role of heterogeneous servers is inevitable in reducing the waiting time of customers, as waiting time and the mean number of customers are directly proportional to each other.

5.4. A Comparative Analysis of Heterogeneous and Homogeneous Servers in Fraction of Successful Retrial Rate

In this section, a heterogeneous vs. homogeneous server comparison is done over a fraction of the successful retrial rate, which is given in Table 9 and Table 11. The characteristics of each parameter are explained below.
  • While increasing the arrival rates of λ and θ , the waiting hall becomes full more often, which usually decreases the fraction of successful retrials.
  • If we increase the rate of η , the customer’s impatient rate increases. But the orbital customers soon occupy the waiting hall, and it becomes full at some time. So it decreases the fraction of successful retrials.
  • Similarly, when we increase the rate of γ , it decreases the 9 . Because it boosts the perishability of items in the inventory.
  • If the service time or number of servers is increased, the customer waiting time directly decreases. So while increasing μ 1 and c causes a decrease in 9 .
  • Increasing the rate β ensures the availability and on-time replenishment of stock. So 9 increases while we increase the parameter β .
Based on the observation, we note that in Table 9, the obtained value is much minimum than in Table 11. This shows us that heterogeneous servers are more optimized than homogeneous servers.

5.5. A Comparative Analysis of Homogeneous and Heterogeneous Servers in Average Impatient Rate

Table 13 and Table 15 analysed the expected impatient rate on heterogeneous servers and homogeneous servers. Each parameter’s discussions are given below.
  • Increasing the waiting hall size and the arrival rate causes an increase in 4 . So the average impatience rate for a customer increases.
  • When we vary the value of θ , 5 decreases but 4 increases along with it. So the average impatience rate for a customer increases.
  • Similarly, while increasing the value of scaling factors for retrial and arrival rate, they increase the expected impatient rate for a customer.
  • If we increase the rate of η , impatient time decreases. So a customer’s expected impatient rate increases in nature.
  • Similarly, increasing the perishable rate γ leads to a decrease in the 7 .
  • Unlike the other parameters, μ 1 and c decrease 7 while increasing them. Because, they decrease the average waiting time of customers in the waiting hall.
  • Similarly, average lead time decreases while we increase the rate value β . So the average impatient rate decreases while increasing β .
Though the parameters imply their characters independently, from Table 13 and Table 15, we can clearly note that the impatient rate is minimal with heterogeneous servers. This shows how heterogeneous servers are more efficient in a multi-server queueing-inventory system to decrease the impatient rate.

5.6. Observations

  • In each comparison of heterogeneous and homogeneous servers, heterogeneous servers performs efficiently.
  • Optimal reorder rate for ETC exists for homogeneous and heterogeneous servers.
  • The arrival rate of customers is influenced by the stock level. Consequently, the average number of busy servers increases.
  • The FSR increases as the value of c varies, and drops when the value of θ varies.
  • The service rate inversely affects the average impatient rate and ETC.
  • Raising the value of L leads to an increase in the ETC and a rise in the average impatience rate.
  • Modifying the service rate and adding more servers have a significant impact on the system’s performance.

6. Conclusion

In this study, we developed a finite source queueing-inventory system with a stock-dependent arrival and heterogeneous servers. The steady-state probability vector is computed using the matrix geometric method. Various performance measures have been evaluated through numerical analysis, including the expected total cost, the average number of busy servers, the fraction of successful retrial rate, the expected impatient rate for a customer, and the average number of customers in the waiting hall and orbit. The results of the comparative studies reveal that heterogeneous servers are more efficient than homogeneous servers. This efficiency was observed in reducing the total cost and decreasing customers’ waiting time in the waiting hall and orbit. These findings highlight the importance of considering heterogeneity in the service process when designing queueing-inventory systems. By incorporating heterogeneous servers, businesses can achieve improved operational performance, cost savings, and enhanced customer satisfaction through reduced waiting times. This study provides valuable insights into the benefits of employing a finite source multi-server queueing inventory system with a stock-dependent arrival and heterogeneous service processes. The findings contribute to understanding system design and optimization in real-world applications, emphasizing the advantages of utilizing heterogeneous servers in improving overall system efficiency and customer experience. The service time follows an exponential distribution in this proposed model. However, in future work, this can be extended with phase-type distribution.

Author Contributions

Conceptualization, H.T. and J.K.; Software, H.T.; Investigation, S.K., (Section 1–2); A.V., and J.S., (Section 3–6); Writing—original draft preparation, review and editing, all the authors.

Funding

This research received no external funding.

Conflicts of Interest

The authors declare no conflict of interest.

References

  1. Ammar, S. I. (2014). Transient analysis of a two-heterogeneous servers queue with impatient behavior. Journal of the Egyptian mathematical society 22(1), 90–95. [CrossRef]
  2. Artalejo, J. R. , Krishnamoorthy, A., and Lopez-Herrero, M. J. (2006). Numerical analysis of (s, S) inventory systems with repeated attempts. Annals of Operations Research, 141, 67-83. [CrossRef]
  3. Baker, R. , and Urban, T. L. (1988). Single-period inventory dependent demand models. Omega 16(6), 605–607. [CrossRef]
  4. Bandi, C. , Bertsimas, D., and Youssef, N. (2018). Robust transient analysis of multi-server queueing systems and feed-forward networks. Queueing Systems 89, 351–413. [CrossRef]
  5. Barron, Y. (2022). A replenishment inventory model with a stockdependent demand and age–stock-dependent cost functions in a random environment. Asia-Pacific Journal of Operational Research 39(3), 2150035. [CrossRef]
  6. Chandra, S. (2019). An inventory model for time varying holding cost and price discount on backorders in stock dependent demand environment. International Journal of Management, IT and Engineering 9(5), 203–215.
  7. Duan, Y., Li, G., Tien, J. M., and Huo, J. (2012). Inventory models for perishable items with inventory level dependent demand rate. Applied Mathematical Modelling 36(10), 5015–5028. [CrossRef]
  8. Dudin, A. , Jacob, V., Krishnamoorthy, A. (2015). A multi-server queueing system with service interruption, partial protection and repetition of service. Annals of Operations Research 233(1), 101–121. [CrossRef]
  9. Efrosinin, D. , Stepanova, N., Sztrik, J. (2021). Algorithmic analysis of finite-source multi-server heterogeneous queueing systems. Mathematics 9(20), 2624. [CrossRef]
  10. Hanukov, G. , Avinadav, T., Chernonog, T., and Yechiali, U. (2019). A multi-server queueing-inventory system with stock-dependent demand. IFAC-PapersOnLine, 52(13), 671-676. [CrossRef]
  11. Hanukov, G. , Avinadav, T., Chernonog, T., and Yechiali, U. (2021). A multi-server system with inventory of preliminary services and stock-dependent demand. International Journal of Production Research, 59(14), 4384-4402. [CrossRef]
  12. Hsieh, T. P. , Dye, C. Y., and Ouyang, L.Y. (2010). Optimal lot size for an item with partial backlogging rate when demand is stimulated by inventory above a certain stock level. Mathematical and Computer Modelling 51(1-2), 13–32. [CrossRef]
  13. Jain, M. (2005). Finite capacity M/M/r queueing system with queue-dependent servers. Computers & Mathematics with Applications 50(1-2), 187–199. [CrossRef]
  14. Jain, M., and Meena, R. K. (2018). Vacation model for Markov machine repair problem with two heterogeneous unreliable servers and threshold recovery. Journal of Industrial Engineering International 14, 143–152. [CrossRef]
  15. Jeganathan, K. , Harikrishnan, T., Lakshmanan, K., Melikov, A., and Sztrik, J. (2023). Modeling of junior servers approaching a senior server in the retrial queuing-inventory system. Mathematics 11(22), 4581. [CrossRef]
  16. Jeganathan, K. , Harikrishnan, T., Lakshmi, K.P., and Nagarajan, D. (2023). A multi-server retrial queueing-inventory system with asynchronous multiple vacations. Decision Analytics Journal 9, 100333. [CrossRef]
  17. Jose, K., and Beena, P. (2020). On a retrial production inventory system with vacation and multiple servers. International Journal of Applied and Computational Mathematics 6(4), 108. [CrossRef]
  18. Khan, M. A. A. , Shaikh, A. A., Cárdenas-Barrón, L.E., Mashud, A. H. M., Treviño-Garza, G., and Céspedes-Mota, A. (2022). An inventory model for non-instantaneously deteriorating items with nonlinear stock-dependent demand, hybrid payment scheme and partially backlogged shortages. Mathematics 10(3), 434. [CrossRef]
  19. Krishnamoorthy, A. , and Sreenivasan, C. (2012). An M/M/2 queueing system with heterogeneous servers including one with working vacation. International Journal of Stochastic Analysis 2012. [CrossRef]
  20. Kumar, K. , and Jain, M. (2013). Threshold N-policy for (M,m) degraded machining system with K-heterogeneous servers, standby switching failure and multiple vacations. International Journal of Mathematics in Operational Research 5(4), 423–445.
  21. Lawrence, A. S., Sivakumar, B., and Arivarignan, G. (2013). A perishable inventory system with service facility and finite source. Applied Mathematical Modelling 37(7), 4771–4786. [CrossRef]
  22. Levin, R. I. , Lamone, R. P., Kottas, J. F., and McLaughlin, C. P. (1972). Production operations management: contemporary policy for managing operating systems. New York: McGraw-Hill.
  23. Li, N. , and Stanford, D. A. (2016). Multi-server accumulating priority queues with heterogeneous servers. European Journal of Operational Research 252(3), 866–878. [CrossRef]
  24. Mei, L. , and Dudin, A., (2022). Analysis of unreliable retrial queue with heterogeneous servers and Markovian arrival process. Automatic Control and Computer Sciences 56(5), 411–420. [CrossRef]
  25. Melikov, A., Ponomarenko, L., and Mekhbaliyeva, E. (2020). Analyzing the models of systems with heterogeneous servers. Cybernetics and Systems Analysis 56, 89–99. [CrossRef]
  26. Min, J. , Zhou, Y. W., Zhao, J. (2010). An inventory model for deteriorating items under stock-dependent demand and two-level trade credit. Applied Mathematical Modelling 34(11), 3273–3285. [CrossRef]
  27. Morse, P.M. (1958). Queues, inventories, and maintenance. Wiley.
  28. Nazarov, A. , Melikov, A., Pavlova, E., Aliyeva, S., and Ponomarenko, L. (2021). Analyzing an M|M|N queueing system with feedback by the method of asymptotic analysis. Cybernetics and Systems Analysis 57, 57–65.
  29. Pervin, M. , Roy, S., and Weber, G. (2017). A two-echelon inventory model with stock-dependent demand and variable holding cost for deteriorating items. Numerical Algebra Control and Optimization 7(1). [CrossRef]
  30. Rasmi, K. , Jacob, M. J., Rumyantsev, A. S., & Krishnamoorthy, A. (2021). A multi-server heterogeneous queuing-inventory system with class-dependent inventory access. Mathematics, 9(9), 1-23. [CrossRef]
  31. Neuts, M. F., and Rao, B. M. (1990). Numerical investigation of a multiserver retrial model. Queueing systems, 7, 169-189. [CrossRef]
  32. Nithya, N., Anbazhagan, N., Amutha, S., Jeganathan, K., Park, G.-C., Joshi, G. P., and Cho, W. (2023). Controlled arrivals on the retrial queueing–inventory system with an essential interruption and emergency vacationing server. Mathematics, 11(16):3560. [CrossRef]
  33. Rasmi, K. , and Jacob, M. J. (2021). Analysis of a multiserver queueing inventory model with self-service. International Journal of Mathematical Modelling and Numerical Optimisation, 11(3), 275-291.
  34. Saaty, T. L. (1961). Elements of queueing theory: with applications. volume 34203. McGraw-Hill New York.
  35. Sebastian Arockia Jenifer, J. , Shophia Lawrence, A., and Sivakumar, B. (2023). A finite-source inventory system with service facility and postponed demands. Annals of Operations Research, 1–31. [CrossRef]
  36. Seenivasan, M., Senthilkumar, R., Subasri, K. (2022). M/M/2 heterogeneous queueing system having unreliable server with catastrophes and restoration. Materials Today: Proceedings 51, 2332–2338. [CrossRef]
  37. Shah, N.H., Pandey, P. (2009). Deteriorating inventory model when demand depends on advertisement and stock display. International Journal of Operations Research 6(2), 33–44.
  38. Sivakumar, B. (2009). A perishable inventory system with retrial demands and a finite population. Journal of Computational and Applied Mathematics 224(1), 29–38. [CrossRef]
  39. Suganya, C. , and Sivakumar, B. (2019). MAP/PH (1), PH (2)/2 finite retrial inventory system with service facility, multiple vacations for servers. International Journal of Mathematics in Operational Research, 15(3), 265-295.
  40. Urban, T.L. (2005). Inventory models with inventory-level-dependent demand: A comprehensive review and unifying theory. European Journal of Operational Research 162(3), 792–804. [CrossRef]
  41. Varghese, D. , and Shajin, D., (2018). State dependent admission of demands in a finite storage system. Internation Journal or Pure Applied Mathematics, 118(20), 917–922.
  42. Xue,W., Caliskan Demirag, O., Chen, F.Y., and Yang,Y. (2017). Managing retail shelf and backroom inventories when demand depends on the shelf-stock level. Production and Operations Management 26(9), 1685–1704. [CrossRef]
  43. Yadavalli, V. S. , Sivakumar, B., Arivarignan, G., and Adetunji, O. (2012). A finite source multi-server inventory system with service facility. Computers and Industrial Engineering, 63(4), 739-753. [CrossRef]
  44. Yang, X. , Alfa, A.S. (2009). A class of multi-server queueing system with server failures. Computers & Industrial Engineering 56(1), 33–43. [CrossRef]
Figure 1. Flow chart of the model.
Figure 1. Flow chart of the model.
Preprints 92699 g001
Figure 2. ETC for heterogeneous servers: λ vs μ 1 .
Figure 2. ETC for heterogeneous servers: λ vs μ 1 .
Preprints 92699 g002
Figure 3. ETC for homogeneous servers: λ vs μ 1 .
Figure 3. ETC for homogeneous servers: λ vs μ 1 .
Preprints 92699 g003
Figure 4. ETC for heterogeneous servers: S vs s.
Figure 4. ETC for heterogeneous servers: S vs s.
Preprints 92699 g004
Figure 5. ETC for homogeneous servers: S vs s.
Figure 5. ETC for homogeneous servers: S vs s.
Preprints 92699 g005
Figure 6. ETC for heterogeneous servers: θ vs η
Figure 6. ETC for heterogeneous servers: θ vs η
Preprints 92699 g006
Figure 7. ETC for homogeneous servers: θ vs η .
Figure 7. ETC for homogeneous servers: θ vs η .
Preprints 92699 g007
Figure 8. ETC for heterogeneous servers: γ vs β .
Figure 8. ETC for heterogeneous servers: γ vs β .
Preprints 92699 g008
Figure 9. ETC for homogeneous servers: γ vs β .
Figure 9. ETC for homogeneous servers: γ vs β .
Preprints 92699 g009
Figure 10. ETC for heterogeneous servers: k 1 vs k 2 .
Figure 10. ETC for heterogeneous servers: k 1 vs k 2 .
Preprints 92699 g010
Figure 11. ETC for homogeneous servers: k 1 vs k 2 .
Figure 11. ETC for homogeneous servers: k 1 vs k 2 .
Preprints 92699 g011
Figure 12. ETC for heterogeneous servers: c vs L.
Figure 12. ETC for heterogeneous servers: c vs L.
Preprints 92699 g012
Figure 13. ETC for homogeneous servers: c vs L.
Figure 13. ETC for homogeneous servers: c vs L.
Preprints 92699 g013
Figure 14. Average number of heterogeneous busy servers: λ vs μ 1 .
Figure 14. Average number of heterogeneous busy servers: λ vs μ 1 .
Preprints 92699 g014
Figure 15. Average number of homogeneous busy servers: λ vs μ 1 .
Figure 15. Average number of homogeneous busy servers: λ vs μ 1 .
Preprints 92699 g015
Figure 16. Average number of heterogeneous busy servers: S vs s.
Figure 16. Average number of heterogeneous busy servers: S vs s.
Preprints 92699 g016
Figure 17. Average number of homogeneous busy servers: S vs s.
Figure 17. Average number of homogeneous busy servers: S vs s.
Preprints 92699 g017
Figure 18. Average number of heterogeneous busy servers: θ vs η .
Figure 18. Average number of heterogeneous busy servers: θ vs η .
Preprints 92699 g018
Figure 19. Average number of homogeneous busy servers: θ vs η .
Figure 19. Average number of homogeneous busy servers: θ vs η .
Preprints 92699 g019
Figure 20. Average number of heterogeneous busy servers: β vs γ .
Figure 20. Average number of heterogeneous busy servers: β vs γ .
Preprints 92699 g020
Figure 21. Average number of homogeneous busy servers: β vs γ .
Figure 21. Average number of homogeneous busy servers: β vs γ .
Preprints 92699 g021
Figure 22. Average number of heterogeneous busy servers: k 1 vs k 2 .
Figure 22. Average number of heterogeneous busy servers: k 1 vs k 2 .
Preprints 92699 g022
Figure 23. Average number of homogeneous busy servers: k 1 vs k 2
Figure 23. Average number of homogeneous busy servers: k 1 vs k 2
Preprints 92699 g023
Figure 24. Average number of heterogeneous busy servers: c vs L.
Figure 24. Average number of heterogeneous busy servers: c vs L.
Preprints 92699 g024
Figure 25. Average number of homogeneous busy servers: c vs L.
Figure 25. Average number of homogeneous busy servers: c vs L.
Preprints 92699 g025
Table 1. Average number of customers in the waiting hall for heterogeneous servers.
Table 1. Average number of customers in the waiting hall for heterogeneous servers.
c β θ γ λ 0.2 0.3 0.4
μ 1 5.0 6.0 7.0 5.0 6.0 7.0 5.0 6.0 7.0
2 4 0.05 0.01 9.29024 9.20647 9.11723 9.50086 9.44260 9.38050 9.61429 9.56976 9.52228
0.02 9.29258 9.20896 9.11987 9.50272 9.44460 9.38263 9.61581 9.57139 9.52403
0.03 9.29493 9.21147 9.12253 9.50459 9.44661 9.38478 9.61733 9.57304 9.52579
0.06 0.01 9.34397 9.26664 9.18416 9.53357 9.47938 9.42159 9.63660 9.59493 9.55050
0.02 9.34614 9.26896 9.18663 9.53529 9.48124 9.42358 9.63800 9.59645 9.55213
0.03 9.34833 9.27130 9.18912 9.53703 9.48310 9.42557 9.63942 9.59798 9.55377
0.07 0.01 9.38950 9.31773 9.24115 9.56178 9.51114 9.45712 9.65614 9.61700 9.57525
0.02 9.39152 9.31990 9.24346 9.56339 9.51287 9.45897 9.65746 9.61841 9.57677
0.03 9.39356 9.32209 9.24578 9.56500 9.51461 9.46084 9.65877 9.61984 9.57830
5 0.05 0.01 9.22496 9.12961 9.02785 9.45445 9.38815 9.31743 9.57789 9.52710 9.47293
0.02 9.22778 9.13261 9.03103 9.45667 9.39052 9.31995 9.57969 9.52904 9.47500
0.03 9.23062 9.13563 9.03424 9.45890 9.39291 9.32249 9.58150 9.53098 9.47707
0.06 0.01 9.28575 9.19801 9.10428 9.49192 9.43045 9.36484 9.60376 9.55640 9.50587
0.02 9.28836 9.20079 9.10723 9.49396 9.43265 9.36718 9.60542 9.55819 9.50778
0.03 9.29099 9.20359 9.11020 9.49602 9.43485 9.36954 9.60709 9.55999 9.50971
0.07 0.01 9.33712 9.25593 9.16913 9.52414 9.46687 9.40571 9.62635 9.58200 9.53467
0.02 9.33953 9.25851 9.17188 9.52603 9.46891 9.40789 9.62789 9.58366 9.53644
0.03 9.34197 9.26111 9.17464 9.52794 9.47096 9.41007 9.62944 9.58533 9.53823
6 0.05 0.01 9.12891 9.01788 8.89956 9.38644 9.30929 9.22719 9.52472 9.46547 9.40242
0.02 9.13235 9.02152 8.90338 9.38910 9.31212 9.23017 9.52687 9.46776 9.40485
0.03 9.13581 9.02518 8.90723 9.39178 9.31497 9.23318 9.52903 9.47007 9.40729
0.06 0.01 9.20075 9.09898 8.99041 9.43147 9.36022 9.28433 9.55634 9.50133 9.44275
0.02 9.20390 9.10232 8.99393 9.43390 9.36282 9.28708 9.55830 9.50343 9.44498
0.03 9.20707 9.10569 8.99747 9.43636 9.36543 9.28984 9.56028 9.50555 9.44722
0.07 0.01 9.26120 9.16736 9.06716 9.47005 9.40392 9.33341 9.58385 9.53256 9.47788
0.02 9.26409 9.17044 9.07040 9.47228 9.40631 9.33594 9.58566 9.53449 9.47994
0.03 9.26701 9.17354 9.07367 9.47454 9.40871 9.33849 9.58747 9.53644 9.48201
3 4 0.05 0.01 6.93426 6.77126 6.61000 7.75517 7.62520 7.49320 8.27394 8.17363 8.07080
0.02 6.93658 6.77366 6.61244 7.75769 7.62778 7.49583 8.27627 8.17602 8.07324
0.03 6.93893 6.77607 6.61490 7.76022 7.63038 7.49849 8.27862 8.17842 8.07569
0.06 0.01 7.11207 6.95345 6.79550 7.89260 7.76950 7.64401 8.37796 8.28351 8.18658
0.02 7.11438 6.95583 6.79793 7.89503 7.77199 7.64656 8.38018 8.28578 8.18890
0.03 7.11671 6.95823 6.80038 7.89748 7.77450 7.64913 8.38241 8.28807 8.19124
0.07 0.01 7.27551 7.12187 6.96799 8.01644 7.89979 7.78055 8.47124 8.38206 8.29046
0.02 7.27779 7.12421 6.97039 8.01877 7.90219 7.78301 8.47335 8.38422 8.29267
0.03 7.28008 7.12657 6.97280 8.02112 7.90460 7.78548 8.47547 8.38639 8.29489
5 0.05 0.01 6.61144 6.43070 6.25370 7.52686 7.38202 7.23568 8.11090 8.00009 7.88689
0.02 6.61403 6.43335 6.25639 7.52958 7.38480 7.23851 8.11337 8.00261 7.88946
0.03 6.61664 6.43602 6.25910 7.53231 7.38760 7.24137 8.11585 8.00514 7.89204
0.06 0.01 6.81267 6.63612 6.46190 7.68704 7.55014 7.41122 8.23261 8.12855 8.02213
0.02 6.81522 6.63874 6.46456 7.68964 7.55281 7.41395 8.23493 8.13093 8.02455
0.03 6.81780 6.64138 6.46725 7.69227 7.55550 7.41669 8.23727 8.13332 8.02699
0.07 0.01 6.99857 6.82715 6.65682 7.83101 7.70158 7.56979 8.34140 8.24337 8.14302
0.02 7.00107 6.82971 6.65944 7.83350 7.70412 7.57240 8.34359 8.24561 8.14531
0.03 7.00359 6.83230 6.66207 7.83599 7.70669 7.57503 8.34579 8.24786 8.14761
6 0.05 0.01 6.21054 6.01150 5.81890 7.25766 7.09752 6.93675 7.92717 7.80571 7.68229
0.02 6.21328 6.01430 5.82172 7.26046 7.10039 6.93967 7.92964 7.80823 7.68486
0.03 6.21604 6.01712 5.82457 7.26329 7.10328 6.94261 7.93214 7.81077 7.68744
0.06 0.01 6.44507 6.24969 6.05891 7.44910 7.29802 7.14561 8.07274 7.95893 7.84314
0.02 6.44775 6.25244 6.06170 7.45176 7.30075 7.14839 8.07505 7.96129 7.84553
0.03 6.45047 6.25522 6.06450 7.45444 7.30350 7.15120 8.07738 7.96366 7.84795
0.07 0.01 6.66259 6.47227 6.28492 7.62044 7.47787 7.33350 8.20232 8.09526 7.98623
0.02 6.66520 6.47495 6.28765 7.62295 7.48045 7.33614 8.20447 8.09745 7.98847
0.03 6.66784 6.47765 6.29039 7.62548 7.48305 7.33879 8.20664 8.09966 7.99072
Table 2. Continued from previous page.
Table 2. Continued from previous page.
c β θ γ λ 0.2 0.3 0.4
μ 1 5.0 6.0 7.0 5.0 6.0 7.0 5.0 6.0 7.0
4 0.05 0.01 3.97472 3.85522 3.74576 4.83782 4.69510 4.56177 5.61800 5.47295 5.33431
0.02 3.97521 3.85561 3.74608 4.83806 4.69539 4.56209 5.61865 5.47364 5.33503
0.03 3.97569 3.85601 3.74640 4.83831 4.69568 4.56243 5.61930 5.47434 5.33576
0.06 0.01 4.11964 3.99401 3.87862 5.00379 4.85865 4.72238 5.79141 5.64779 5.50974
0.02 4.12006 3.99436 3.87890 5.00407 4.85898 4.72274 5.79210 5.64852 5.51050
0.03 4.12050 3.99471 3.87918 5.00436 4.85931 4.72312 5.79279 5.64925 5.51127
0.07 0.01 4.26491 4.13379 4.01298 5.16695 5.02012 4.88159 5.95850 5.81687 5.68001
0.02 4.26529 4.13410 4.01323 5.16727 5.02048 4.88199 5.95921 5.81762 5.68079
0.03 4.26568 4.13442 4.01348 5.16759 5.02085 4.88239 5.95992 5.81838 5.68159
5 0.05 0.01 3.62484 3.50268 3.39263 4.48704 4.33666 4.19825 5.31847 5.16228 5.01472
0.02 3.62526 3.50301 3.39288 4.48718 4.33686 4.19849 5.31902 5.16288 5.01536
0.03 3.62570 3.50335 3.39314 4.48733 4.33706 4.19873 5.31958 5.16348 5.01600
0.06 0.01 3.77022 3.64095 3.52415 4.66657 4.51256 4.37000 5.51437 5.35917 5.21160
4 0.02 3.77063 3.64128 3.52441 4.66675 4.51279 4.37027 5.51496 5.35981 5.21228
0.03 3.77106 3.64162 3.52467 4.66694 4.51303 4.37056 5.51556 5.36046 5.21296
0.07 0.01 3.91784 3.78203 3.65892 4.84449 4.68771 4.54179 5.70367 5.55022 5.40344
0.02 3.91825 3.78236 3.65918 4.84470 4.68798 4.54210 5.70429 5.55089 5.40415
0.03 3.91866 3.78270 3.65945 4.84492 4.68826 4.54242 5.70491 5.55157 5.40486
6 0.05 0.01 3.22974 3.10743 2.99924 4.10837 3.95202 3.81037 5.01403 4.84759 4.69226
0.02 3.23023 3.10782 2.99955 4.10895 3.95194 3.80978 5.01443 4.84805 4.69275
0.03 3.23072 3.10821 2.99987 4.11020 3.95253 3.80987 5.01483 4.84850 4.69326
0.06 0.01 3.37909 3.24846 3.13254 4.30751 4.14582 3.99841 5.24083 5.07482 4.91874
0.02 3.37960 3.24888 3.13289 4.30751 4.14589 3.99853 5.24127 5.07533 4.91929
0.03 3.38011 3.24930 3.13324 4.30753 4.14598 3.99866 5.24172 5.07583 4.91984
0.07 0.01 3.53248 3.39400 3.27069 4.50633 4.34048 4.18832 5.46024 5.29566 5.13986
0.02 3.53301 3.39444 3.27106 4.50637 4.34060 4.18849 5.46071 5.29619 5.14044
0.03 3.53354 3.39488 3.27143 4.50642 4.34072 4.18866 5.46119 5.29673 5.14103
Table 3. Average number of customers in the waiting hall for homogeneous servers.
Table 3. Average number of customers in the waiting hall for homogeneous servers.
c β θ γ λ 0.2 0.3 0.4
μ 1 5.0 6.0 7.0 5.0 6.0 7.0 5.0 6.0 7.0
2 4 0.05 0.01 9.62905 9.50798 9.36671 9.73617 9.65225 9.55427 9.79416 9.72996 9.65511
0.02 9.63060 9.50986 9.36892 9.73734 9.65370 9.55601 9.79509 9.73113 9.65652
0.03 9.63216 9.51177 9.37115 9.73852 9.65517 9.55776 9.79603 9.73230 9.65793
0.06 0.01 9.65614 9.54473 9.41461 9.75234 9.67430 9.58323 9.80502 9.74483 9.67477
0.02 9.65756 9.54647 9.41667 9.75342 9.67564 9.58484 9.80588 9.74591 9.67607
0.03 9.65900 9.54823 9.41874 9.75451 9.67699 9.58646 9.80675 9.74700 9.67739
0.07 0.01 9.67887 9.57566 9.45509 9.76626 9.69327 9.60818 9.81457 9.75787 9.69199
0.02 9.68018 9.57727 9.45699 9.76726 9.69451 9.60968 9.81537 9.75888 9.69321
0.03 9.68151 9.57889 9.45892 9.76827 9.69577 9.61119 9.81618 9.75989 9.69443
5 0.05 0.01 9.60606 9.47060 9.31104 9.71957 9.62545 9.51461 9.78095 9.70877 9.62389
0.02 9.60793 9.47289 9.31372 9.72097 9.62720 9.51669 9.78207 9.71017 9.62557
0.03 9.60982 9.47520 9.31642 9.72238 9.62896 9.51879 9.78320 9.71158 9.62726
0.06 0.01 9.63576 9.51152 9.36503 9.73746 9.65027 9.54764 9.79309 9.72569 9.64656
0.02 9.63746 9.51362 9.36750 9.73875 9.65188 9.54955 9.79412 9.72698 9.64811
0.03 9.63918 9.51573 9.36999 9.74005 9.65350 9.55149 9.79516 9.72828 9.64967
0.07 0.01 9.66059 9.54584 9.41050 9.75281 9.67156 9.57599 9.80371 9.74048 9.66636
0.02 9.66215 9.54777 9.41278 9.75400 9.67304 9.57777 9.80466 9.74168 9.66780
0.03 9.66373 9.54972 9.41508 9.75520 9.67454 9.57956 9.80563 9.74288 9.66925
6 0.05 0.01 9.57005 9.41350 9.22812 9.69349 9.58449 9.45559 9.76020 9.67639 9.57745
0.02 9.57238 9.41633 9.23141 9.69523 9.58663 9.45811 9.76158 9.67810 9.57948
0.03 9.57472 9.41919 9.23472 9.69698 9.58879 9.46065 9.76297 9.67982 9.58152
0.06 0.01 9.60404 9.46114 9.29169 9.71431 9.61389 9.49512 9.77454 9.69677 9.60505
0.02 9.60614 9.46371 9.29469 9.71589 9.61584 9.49743 9.77580 9.69834 9.60691
0.03 9.60827 9.46631 9.29772 9.71749 9.61781 9.49975 9.77708 9.69991 9.60877
0.07 0.01 9.63233 9.50091 9.34499 9.73208 9.63899 9.52893 9.78703 9.71451 9.62906
0.02 9.63424 9.50326 9.34774 9.73353 9.64078 9.53104 9.78819 9.71594 9.63076
0.03 9.63618 9.50564 9.35052 9.73499 9.64259 9.53318 9.78936 9.71739 9.63248
Table 4. Continued from previous page.
Table 4. Continued from previous page.
c β θ γ λ 0.2 0.3 0.4
μ 1 5.0 6.0 7.0 5.0 6.0 7.0 5.0 6.0 7.0
3 4 0.05 0.01 9.26477 8.99304 8.67554 9.48989 9.30276 9.08246 9.61127 9.47108 9.30548
0.02 9.26697 8.99556 8.67831 9.49162 9.30481 9.08478 9.61264 9.47273 9.30739
0.03 9.26919 8.99810 8.68111 9.49336 9.30688 9.08712 9.61401 9.47440 9.30931
0.06 0.01 9.32111 9.07038 8.77610 9.52362 9.35002 9.14524 9.63383 9.50308 9.34856
0.02 9.32315 9.07273 8.77871 9.52522 9.35192 9.14741 9.63509 9.50461 9.35033
0.03 9.32520 9.07510 8.78135 9.52682 9.35383 9.14959 9.63636 9.50615 9.35211
0.07 0.01 9.36887 9.13643 8.86273 9.55278 9.39100 9.19989 9.65368 9.53126 9.38654
0.02 9.37075 9.13863 8.86518 9.55425 9.39276 9.20190 9.65485 9.53268 9.38819
0.03 9.37266 9.14084 8.86766 9.55574 9.39454 9.20393 9.65602 9.53410 9.38984
5 0.05 0.01 9.20392 8.89820 8.53942 9.44955 9.24055 8.99406 9.58186 9.42609 9.24186
0.02 9.20650 8.90116 8.54267 9.45153 9.24289 8.99669 9.58341 9.42795 9.24399
0.03 9.20911 8.90414 8.54594 9.45354 9.24525 8.99934 9.58496 9.42981 9.24613
0.06 0.01 9.26766 8.98679 8.65563 9.48816 9.29519 9.06706 9.60799 9.46349 9.29238
0.02 9.27003 8.98952 8.65866 9.48998 9.29734 9.06949 9.60940 9.46519 9.29433
0.03 9.27242 8.99228 8.66171 9.49180 9.29950 9.07193 9.61082 9.46690 9.29630
0.07 0.01 9.32152 9.06219 8.75539 9.52143 9.34242 9.13039 9.52143 9.34242 9.13039
0.02 9.32370 9.06472 8.75820 9.52309 9.34440 9.13264 9.52309 9.34440 9.13264
0.03 9.32590 9.06727 8.76104 9.52477 9.34639 9.13490 9.52477 9.34639 9.13490
6 0.05 0.01 9.11864 8.76874 8.35822 9.39495 9.15854 8.88050 9.54354 9.36881 9.16263
0.02 9.12167 8.77218 8.36196 9.39721 9.16117 8.88341 9.54526 9.37084 9.16493
0.03 9.12474 8.77565 8.36572 9.39950 9.16382 8.88634 9.54699 9.37289 9.16724
0.06 0.01 9.19395 8.87437 8.49751 9.44129 9.22442 8.96849 9.57541 9.41455 9.22420
0.02 9.19669 8.87751 8.50094 9.44333 9.22680 8.97114 9.57696 9.41638 9.22629
0.03 9.19947 8.88067 8.50440 9.44539 9.22920 8.97382 9.57851 9.41823 9.22838
0.07 0.01 9.25732 8.96387 8.61646 9.48106 9.28116 9.04453 9.60323 9.45458 9.27819
0.02 9.25981 8.96673 8.61961 9.48290 9.28333 9.04696 9.60462 9.45624 9.28009
0.03 9.26233 8.96962 8.62279 9.48476 9.28551 9.04940 9.60602 9.45791 9.28199
4 4 0.05 0.01 8.75950 8.29185 7.76335 9.15224 8.82540 8.44467 9.37021 9.12810 8.84304
0.02 8.76183 8.29428 7.76575 9.15421 8.82758 8.44699 9.37177 9.12989 8.84502
0.03 8.76418 8.29672 7.76817 9.15618 8.82978 8.44932 9.37333 9.13170 8.84701
0.06 0.01 8.85554 8.42010 7.92216 9.21163 8.90802 8.55267 9.41024 9.18494 8.91900
0.02 8.85772 8.42240 7.92448 9.21344 8.91004 8.55484 9.41167 9.18659 8.92083
0.03 8.85992 8.42473 7.92682 9.21526 8.91208 8.55703 9.41310 9.18826 8.92268
0.07 0.01 8.93822 8.53199 8.06306 9.26341 8.98044 8.64794 9.44567 9.23542 8.98658
0.02 8.94025 8.53417 8.06529 9.26507 8.98232 8.64997 9.44698 9.23694 8.98828
0.03 8.94230 8.53637 8.06753 9.26675 8.98421 8.65202 9.44829 9.23848 8.98998
5 0.05 0.01 8.65203 8.12786 7.53572 9.08884 8.72822 8.30696 9.33069 9.06704 8.75594
0.02 8.65468 8.13062 7.53843 9.09099 8.73060 8.30948 9.33234 9.06894 8.75803
0.03 8.65736 8.13340 7.54117 9.09315 8.73299 8.31202 9.33400 9.07086 8.76013
0.06 0.01 8.76242 8.27648 7.71976 9.15768 8.82454 8.43334 9.37754 9.13372 8.84500
0.02 8.76487 8.27908 7.72236 9.15964 8.82673 8.43568 9.37903 9.13544 8.84690
0.03 8.76734 8.28169 7.72499 9.16160 8.82892 8.43803 9.38053 9.13718 8.84882
0.07 0.01 8.85717 8.40584 7.88299 9.21751 8.90869 8.54438 9.41886 9.19274 8.92396
0.02 8.85942 8.40826 7.88546 9.21929 8.91069 8.54654 9.42021 9.19431 8.92570
0.03 8.86170 8.41070 7.88796 9.22108 8.91271 8.54872 9.42156 9.19589 8.92746
6 0.05 0.01 8.51383 7.91976 7.25140 9.01502 8.61567 8.14907 9.29090 9.00413 8.66555
0.02 8.51679 7.92283 7.25439 9.01730 8.61817 8.15170 9.29256 9.00604 8.66764
0.03 8.51978 7.92593 7.25740 9.01959 8.62069 8.15436 9.29424 9.00797 8.66974
0.06 0.01 8.64590 8.09843 7.47181 9.09802 8.73175 8.30114 9.34804 9.08500 8.77278
0.02 8.64859 8.10127 7.47464 9.10004 8.73400 8.30354 9.34950 9.08670 8.77465
0.03 8.65130 8.10413 7.47750 9.10209 8.73628 8.30596 9.35098 9.08841 8.77654
0.07 0.01 8.75873 8.25324 7.66690 9.16986 8.83269 8.43403 9.39823 9.15633 8.86748
0.02 8.76116 8.25585 7.66955 9.17166 8.83472 8.43621 9.39951 9.15784 8.86916
0.03 8.76362 8.25848 7.67223 9.17348 8.83676 8.43842 9.40080 9.15936 8.87085
Table 5. Average number of customers in the orbit for heterogeneous servers.
Table 5. Average number of customers in the orbit for heterogeneous servers.
c β θ γ λ 0.2 0.3 0.4
μ 1 5.0 6.0 7.0 5.0 6.0 7.0 5.0 6.0 7.0
2 4 0.05 0.01 31.52533 31.31726 31.08927 32.11490 31.97470 31.82462 32.47388 32.37009 32.26159
0.02 31.54339 31.33696 31.11058 32.12701 31.98764 31.83826 32.48281 32.37945 32.27122
0.03 31.56128 31.35645 31.13166 32.13902 32.00048 31.85180 32.49168 32.38875 32.28081
0.06 0.01 30.91534 30.69252 30.44860 31.62709 31.48124 31.32506 32.07063 31.96563 31.85558
0.02 30.93497 30.71389 30.47165 31.64006 31.49506 31.33960 32.08002 31.97547 31.86570
0.03 30.95442 30.73504 30.49447 31.65291 31.50877 31.35403 32.08936 31.98525 31.87577
0.07 0.01 30.33627 30.09929 29.83998 31.16029 31.00833 30.84556 31.68201 31.57495 31.46251
0.02 30.35734 30.12217 29.86463 31.17405 31.02299 30.86096 31.69186 31.58527 31.47311
0.03 30.37820 30.14482 29.88902 31.18771 31.03754 30.87625 31.70166 31.59553 31.48366
5 0.05 0.01 31.48257 31.28995 31.07058 32.07136 31.94455 31.80336 32.43398 32.34201 32.24195
0.02 31.49999 31.30922 31.09170 32.08293 31.95708 31.81674 32.44241 32.35098 32.25131
0.03 31.51723 31.32829 31.11260 32.09440 31.96951 31.83002 32.45078 32.35989 32.26061
0.06 0.01 30.86601 30.66061 30.42664 31.57757 31.44676 31.30073 32.02563 31.93384 31.83330
0.02 30.88492 30.68148 30.44947 31.58991 31.46011 31.31497 32.03447 31.94324 31.84310
0.03 30.90364 30.70213 30.47206 31.60215 31.47336 31.32910 32.04324 31.95257 31.85285
0.07 0.01 30.28118 30.06334 29.81516 31.10548 30.97005 30.81853 31.63245 31.53983 31.43785
0.02 30.30144 30.08567 29.83954 31.11857 30.98419 30.83359 31.64170 31.54966 31.44810
0.03 30.32150 30.10776 29.86367 31.13155 30.99822 30.84853 31.65089 31.55943 31.45829
6 0.05 0.01 31.37585 31.21794 31.02537 31.97815 31.87916 31.76036 32.35419 32.28559 32.20461
0.02 31.39198 31.23611 31.04572 31.98864 31.89076 31.77302 32.36168 32.29373 32.21331
0.03 31.40792 31.25407 31.06584 31.99903 31.90226 31.78558 32.36912 32.30181 32.22196
0.06 0.01 30.74642 30.57947 30.37534 31.47366 31.37362 31.25241 31.93715 31.87102 31.79148
0.02 30.76387 30.59910 30.39729 31.48481 31.38593 31.26584 31.94495 31.87951 31.80056
0.03 30.78113 30.61851 30.41899 31.49586 31.39814 31.27917 31.95269 31.88793 31.80959
0.07 0.01 30.15034 29.97426 29.75858 30.99217 30.89010 30.76553 31.53619 31.47128 31.39202
0.02 30.16900 29.99522 29.78198 31.00395 30.90310 30.77971 31.54431 31.48012 31.40148
0.03 30.18746 30.01595 29.80513 31.01562 30.91598 30.79376 31.55238 31.48890 31.41089
3 4 0.05 0.01 30.90334 30.62365 30.29099 31.15867 30.94226 30.69267 31.30251 31.12512 30.92736
0.02 30.91713 30.63956 30.30928 31.16905 30.95395 30.70572 31.31086 31.13430 30.93734
0.03 30.93078 30.65532 30.32740 31.17935 30.96554 30.71866 31.31915 31.14343 30.94724
0.06 0.01 30.34510 30.05157 29.70295 30.69677 30.47709 30.22332 30.91314 30.73788 30.54100
0.02 30.35999 30.06868 29.72254 30.70774 30.48940 30.23703 30.92180 30.74740 30.55135
0.03 30.37475 30.08563 29.74194 30.71863 30.50162 30.25064 30.93040 30.75686 30.56164
0.07 0.01 29.81655 29.50996 29.14604 30.25733 30.03369 29.77483 30.54072 30.36612 30.16881
0.02 29.83244 29.52815 29.16680 30.26886 30.04661 29.78918 30.54968 30.37598 30.17953
0.03 29.84819 29.54619 29.18738 30.28032 30.05943 29.80343 30.55860 30.38577 30.19018
5 0.05 0.01 30.80730 30.56199 30.25836 31.06706 30.87909 30.65379 31.21729 31.06489 30.88887
0.02 30.82031 30.57717 30.27609 31.07680 30.89017 30.66634 31.22506 31.07353 30.89838
0.03 30.83321 30.59221 30.29363 31.08646 30.90117 30.67880 31.23278 31.08210 30.90783
0.06 0.01 30.23424 29.97926 29.66327 30.59236 30.40449 30.17802 30.81745 30.66990 30.49713
0.02 30.24827 29.99555 29.68221 30.60262 30.41614 30.19118 30.82547 30.67881 30.50697
0.03 30.26217 30.01170 29.70097 30.61280 30.42770 30.20424 30.83343 30.68767 30.51675
0.07 0.01 29.69252 29.42822 29.10015 30.14153 29.95274 29.72386 30.43555 30.29112 30.12010
0.02 29.70746 29.44552 29.12020 30.15229 29.96493 29.73761 30.44382 30.30033 30.13027
0.03 29.72227 29.46267 29.14006 30.16296 29.97702 29.75126 30.45204 30.30947 30.14037
6 0.05 0.01 30.59868 30.40973 30.16087 30.88402 30.74260 30.56223 31.05593 30.94392 30.80698
0.02 30.61057 30.42372 30.17745 30.89278 30.75267 30.57383 31.06279 30.95163 30.81562
0.03 30.62235 30.43757 30.19387 30.90147 30.76266 30.58533 31.06962 30.95929 30.82420
0.06 0.01 29.99948 29.80721 29.55205 30.38832 30.25193 30.07515 30.63951 30.53619 30.40616
0.02 30.01224 29.82217 29.56973 30.39750 30.26245 30.08726 30.64654 30.54410 30.41505
0.03 30.02489 29.83699 29.58723 30.40661 30.27290 30.09927 30.65353 30.55195 30.42388
0.07 0.01 29.43474 29.23878 28.97693 29.91889 29.78595 29.61102 30.24267 30.14595 30.02099
0.02 29.44829 29.25462 28.99559 29.92846 29.79691 29.62362 30.24987 30.15407 30.03014
0.03 29.46172 29.27031 29.01408 29.93796 29.80779 29.63611 30.25704 30.16213 30.03923
Table 6. Continued from previous page.
Table 6. Continued from previous page.
c β θ γ λ 0.2 0.3 0.4
μ 1 5.0 6.0 7.0 5.0 6.0 7.0 5.0 6.0 7.0
4 4 0.05 0.01 30.30145 30.04577 29.75107 30.34439 30.02129 29.61364 30.34926 30.06536 29.72156
0.02 30.30886 30.05418 29.76055 30.35454 30.03357 29.62856 30.35776 30.07533 29.73322
0.03 30.31622 30.06255 29.76997 30.36461 30.04575 29.64335 30.36620 30.08524 29.74481
0.06 0.01 29.82323 29.48620 29.06283 29.90243 29.61736 29.27226 29.91902 29.66983 29.37989
0.02 29.83421 29.49939 29.07875 29.91138 29.62780 29.28443 29.92663 29.67848 29.38967
0.03 29.84512 29.51248 29.09452 29.92027 29.63817 29.29651 29.93419 29.68708 29.39940
0.07 0.01 29.32961 28.98023 28.54241 29.47882 29.19198 28.84444 29.55412 29.30904 29.02205
0.02 29.34135 28.99424 28.55922 29.48819 29.20287 28.85709 29.56194 29.31793 29.03211
0.03 29.35300 29.00814 28.57588 29.49750 29.21369 28.86964 29.56973 29.32677 29.04211
5 0.05 0.01 30.17697 29.95350 29.69044 30.20746 29.92495 29.55919 30.21797 29.96984 29.66121
0.02 30.18389 29.96140 29.69943 30.21703 29.93656 29.57344 30.22595 29.97925 29.67234
0.03 30.19078 29.96925 29.70836 30.22653 29.94808 29.58756 30.23388 29.98860 29.68338
0.06 0.01 29.66373 29.37271 28.99638 29.75151 29.50663 29.20105 29.77809 29.56472 29.30997
0.02 29.67407 29.38516 29.01155 29.75989 29.51646 29.21262 29.78517 29.57281 29.31922
0.03 29.68434 29.39752 29.02659 29.76821 29.52622 29.22410 29.79221 29.58085 29.32840
0.07 0.01 29.14974 28.85134 28.46524 29.31032 29.06769 28.76360 29.39842 29.19252 28.94401
0.02 29.16076 28.86454 28.48124 29.31906 29.07791 28.77559 29.40567 29.20080 28.95349
0.03 29.17170 28.87764 28.49710 29.32775 29.08806 28.78750 29.41289 29.20904 28.96290
6 0.05 0.01 29.93522 29.71016 29.41036 29.95034 29.77327 29.52120 29.96880 29.77437 29.56207
0.02 29.94409 29.72089 29.42359 29.95660 29.78152 29.57025 29.97610 29.78189 29.53145
0.03 29.95290 29.73153 29.43670 29.96283 29.78862 29.57839 29.98336 29.79044 29.54163
0.06 0.01 29.35347 29.12791 28.82545 29.47183 29.28558 29.04282 29.52697 29.36585 29.16684
0.02 29.36302 29.13937 28.83948 29.47945 29.29452 29.05343 29.53333 29.37312 29.17520
0.03 29.37249 29.15074 28.85340 29.48702 29.30340 29.06396 29.53965 29.38034 29.18352
0.07 0.01 28.80569 28.57994 28.27480 29.00355 28.82492 28.58931 29.12545 28.97616 28.78795
0.02 28.81582 28.59205 28.28956 29.01146 28.83417 28.60025 29.13192 28.98355 28.79648
0.03 28.82588 28.60406 28.30419 29.01933 28.84336 28.61111 29.13836 28.99091 28.80496
Table 7. Average number of customers in the orbit for homogeneous servers.
Table 7. Average number of customers in the orbit for homogeneous servers.
c β θ γ λ 0.2 0.3 0.4
μ 1 5.0 6.0 7.0 5.0 6.0 7.0 5.0 6.0 7.0
2 4 0.05 0.01 31.95367 31.94177 31.93131 32.01395 32.00620 31.99903 32.04628 32.03839 32.03065
0.02 31.96055 31.94895 31.93880 32.01974 32.01222 32.00531 32.05132 32.04363 32.03611
0.03 31.96738 31.95607 31.94624 32.02550 32.01821 32.01155 32.05634 32.04885 32.04154
0.06 0.01 31.52107 31.48932 31.46261 31.56723 31.53362 31.50636 31.57165 31.53951 31.51310
0.02 31.52375 31.49196 31.46521 31.57042 31.53680 31.50952 31.57446 31.54228 31.51584
0.03 31.52643 31.49459 31.46780 31.57360 31.53996 31.51266 31.57725 31.54505 31.51857
0.07 0.01 31.18828 31.15129 31.11982 31.21853 31.18063 31.14980 31.22786 31.19072 31.15994
0.02 31.19120 31.15416 31.12264 31.22204 31.18413 31.15328 31.23095 31.19377 31.16296
0.03 31.19410 31.15701 31.12545 31.22555 31.18761 31.15674 31.23404 31.19682 31.16596
5 0.05 0.01 31.76778 31.76103 31.75849 31.83927 31.82926 31.82175 31.88064 31.87326 31.86748
0.02 31.77487 31.76782 31.76502 31.84518 31.83493 31.82720 31.88575 31.87816 31.87218
0.03 31.78190 31.77457 31.77150 31.85105 31.84056 31.83261 31.89083 31.88303 31.87685
0.06 0.01 31.29885 31.25119 31.21114 31.35066 31.30497 31.26775 31.35312 31.30928 31.27437
0.02 31.30146 31.25376 31.21368 31.35341 31.30770 31.27045 31.35626 31.31241 31.27749
0.03 31.30407 31.25633 31.21621 31.35616 31.31042 31.27314 31.35939 31.31553 31.28059
0.07 0.01 30.93700 30.88218 30.83568 30.97503 30.92398 30.88066 30.97669 30.92528 30.88552
0.02 30.93984 30.88497 30.83843 30.97849 30.92698 30.88363 30.97972 30.92873 30.88895
0.03 30.94266 30.88776 30.84118 30.98194 30.92997 30.88660 30.98274 30.93216 30.89237
6 0.05 0.01 31.57861 31.53359 31.48140 32.10692 32.07879 32.04590 32.44496 32.42510 32.40191
0.02 31.59226 31.54814 31.49694 32.11603 32.08845 32.05614 32.45160 32.43210 32.40929
0.03 31.60578 31.56255 31.51231 32.12505 32.09801 32.06629 32.45818 32.43905 32.41662
0.06 0.01 30.96027 30.91329 30.85857 31.60293 31.57561 31.54324 32.02334 32.00563 31.98441
0.02 30.97509 30.92908 30.87541 31.61262 31.58589 31.55413 32.03025 32.01292 31.99210
0.03 30.98976 30.94471 30.89207 31.62224 31.59607 31.56493 32.03711 32.02016 31.99974
0.07 0.01 30.53682 30.45682 30.38924 30.57592 30.50169 30.44126 30.59202 30.52747 30.47689
0.02 30.53960 30.45956 30.39194 30.57892 30.50465 30.44420 30.59545 30.53089 30.48029
0.03 30.54236 30.46228 30.39463 30.58190 30.50761 30.44713 30.59887 30.53430 30.48367
Table 8. Continued from previous page.
Table 8. Continued from previous page.
c β θ γ λ 0.2 0.3 0.4
μ 1 5.0 6.0 7.0 5.0 6.0 7.0 5.0 6.0 7.0
3 4 0.05 0.01 31.86607 31.83976 31.81794 31.92617 31.89702 31.87344 31.92636 31.89929 31.87726
0.02 31.86850 31.84215 31.82029 31.92901 31.89985 31.87625 31.92886 31.90176 31.87969
0.03 31.87093 31.84454 31.82263 31.93135 31.90267 31.87905 31.93184 31.90422 31.88212
0.06 0.01 31.46230 31.45163 31.44257 31.57536 31.56974 31.56477 31.65364 31.64812 31.64283
0.02 31.46995 31.45961 31.45089 31.58165 31.57628 31.57158 31.65900 31.65369 31.64862
0.03 31.47756 31.46753 31.45915 31.58790 31.58277 31.57834 31.66433 31.65922 31.65438
0.07 0.01 30.99283 30.98351 30.97588 31.15761 31.15393 31.15095 31.28024 31.27686 31.27378
0.02 31.00119 30.99220 30.98495 31.16434 31.16093 31.15823 31.28588 31.28272 31.27987
0.03 31.00949 31.00084 30.99395 31.17103 31.16788 31.16547 31.29149 31.28854 31.28593
5 0.05 0.01 31.67470 31.63452 31.60116 31.73675 31.69819 31.66705 31.74261 31.70484 31.67488
0.02 31.67707 31.63686 31.60346 31.73920 31.70061 31.66944 31.74540 31.70762 31.67764
0.03 31.67943 31.63918 31.60575 31.74164 31.70302 31.67183 31.74817 31.71038 31.68039
0.06 0.01 31.25210 31.24123 31.23498 31.38119 31.36703 31.35556 31.47221 31.46098 31.45151
0.02 31.25996 31.24878 31.24224 31.38758 31.37316 31.36145 31.47760 31.46615 31.45648
0.03 31.26777 31.25627 31.24945 31.39393 31.37925 31.36731 31.48297 31.47130 31.46143
0.07 0.01 30.76050 30.74567 30.73575 30.94577 30.92791 30.91288 31.08451 31.06984 31.05708
0.02 30.76905 30.75388 30.74365 30.95259 30.93445 30.91917 31.09016 31.07526 31.06229
0.03 30.77754 30.76204 30.75150 30.95936 30.94095 30.92542 31.09579 31.08065 31.06747
6 0.05 0.01 31.36229 31.30216 31.25234 31.43013 31.37571 31.33221 31.45139 31.40304 31.36548
0.02 31.36461 31.30444 31.25459 31.43254 31.37809 31.33457 31.45414 31.40578 31.36820
0.03 31.36691 31.30672 31.25683 31.43494 31.38047 31.33692 31.45687 31.40850 31.37090
0.06 0.01 30.94092 30.87056 30.81164 30.99580 30.93140 30.87944 31.01512 30.95861 30.91452
0.02 30.94348 30.87309 30.81413 30.99852 30.93409 30.88210 31.01823 30.96171 30.91759
0.03 30.94603 30.87560 30.81661 31.00123 30.93678 30.88476 31.02132 30.96479 30.92066
0.07 0.01 30.37532 30.32618 30.26874 31.12318 31.09618 31.06384 31.61959 31.60341 31.58351
0.02 30.39120 30.34309 30.28676 31.13343 31.10705 31.07535 31.62679 31.61100 31.59152
0.03 30.40692 30.35982 30.30460 31.14360 31.11782 31.08677 31.63393 31.61854 31.59948
4 4 0.05 0.01 31.80654 31.72422 31.63584 32.30838 32.25124 32.19025 32.62034 32.57656 32.53022
0.02 31.82235 31.74083 31.65327 32.31925 32.26258 32.20206 32.62854 32.58506 32.53900
0.03 31.83801 31.75728 31.67053 32.33004 32.27382 32.21377 32.63668 32.59349 32.54772
0.06 0.01 31.21683 31.12865 31.03394 31.82850 31.76919 31.70583 32.21855 32.17458 32.12792
0.02 31.23408 31.14674 31.05291 31.84018 31.78135 31.71848 32.22719 32.18352 32.13716
0.03 31.25116 31.16466 31.07170 31.85176 31.79342 31.73103 32.23578 32.19241 32.14635
0.07 0.01 30.65708 30.56327 30.46251 31.37007 31.30842 31.24250 31.83254 31.78799 31.74061
0.02 30.67563 30.58272 30.48288 31.38249 31.32135 31.25595 31.84162 31.79739 31.75032
0.03 30.69400 30.60198 30.50306 31.39483 31.33419 31.26929 31.85065 31.80673 31.75997
5 0.05 0.01 31.73678 31.66806 31.59239 32.24206 32.19562 32.14466 32.56043 32.52557 32.48762
0.02 31.75179 31.68393 31.60918 32.25228 32.20635 32.15593 32.56805 32.53353 32.49591
0.03 31.76665 31.69964 31.62579 32.26241 32.21699 32.16710 32.57561 32.54142 32.50414
0.06 0.01 31.13712 31.06403 30.98346 31.75334 31.70590 31.65369 32.15117 32.11706 32.07969
0.02 31.15346 31.08130 31.00170 31.76428 31.71738 31.66573 32.15917 32.12541 32.08839
0.03 31.16964 31.09839 31.01976 31.77512 31.72877 31.67767 32.16710 32.13369 32.09702
0.07 0.01 30.56857 30.49120 30.40582 31.28709 31.23837 31.18459 31.75849 31.72465 31.68736
0.02 30.58612 30.50973 30.42538 31.29870 31.25055 31.19736 31.76686 31.73339 31.69647
0.03 30.60350 30.52808 30.44475 31.31023 31.26264 31.21003 31.77518 31.74207 31.70551
6 0.05 0.01 31.46918 31.43938 31.41821 31.55566 31.52164 31.49315 31.62213 31.59397 31.56964
0.02 31.47585 31.44579 31.42438 31.56113 31.52688 31.49819 31.62680 31.59843 31.57391
0.03 31.48247 31.45215 31.43052 31.56656 31.53209 31.50320 31.63145 31.60287 31.57816
0.06 0.01 30.90867 30.87090 30.84255 31.06102 31.02043 30.98571 31.18351 31.14990 31.12044
0.02 30.91604 30.87800 30.84939 31.06690 31.02607 30.99113 31.18841 31.15458 31.12492
0.03 30.92336 30.88505 30.85619 31.07276 31.03168 30.99653 31.19328 31.15923 31.12938
0.07 0.01 30.37331 30.33110 30.29584 30.59284 30.54649 30.50630 30.76867 30.73026 30.69628
0.02 30.38430 30.33880 30.30327 30.59910 30.55249 30.51206 30.77378 30.73514 30.70096
0.03 30.39225 30.34644 30.31065 30.60532 30.55845 30.51779 30.77886 30.73999 30.70561
Table 9. Fraction of successful rate of retrial for heterogeneous servers.
Table 9. Fraction of successful rate of retrial for heterogeneous servers.
c β θ γ λ 0.2 0.3 0.4
μ 1 5.0 6.0 7.0 5.0 6.0 7.0 5.0 6.0 7.0
2 4 0.05 0.01 0.35231 0.37496 0.39716 0.27330 0.29231 0.31117 0.22410 0.24036 0.25661
0.02 0.35168 0.37434 0.39656 0.27271 0.29172 0.31058 0.22357 0.23982 0.25607
0.03 0.35104 0.37371 0.39595 0.27211 0.29112 0.30999 0.22303 0.23927 0.25552
0.06 0.01 0.33563 0.35763 0.37927 0.26146 0.27984 0.29812 0.21527 0.23098 0.24669
0.02 0.33502 0.35703 0.37869 0.26089 0.27927 0.29755 0.21476 0.23046 0.24617
0.03 0.33439 0.35642 0.37809 0.26031 0.27869 0.29697 0.21425 0.22994 0.24564
0.07 0.01 0.32082 0.34220 0.36327 0.25089 0.26868 0.28640 0.20733 0.22252 0.23774
0.02 0.32023 0.34161 0.36270 0.25034 0.26813 0.28585 0.20684 0.22202 0.23724
0.03 0.31963 0.34102 0.36212 0.24978 0.26758 0.28530 0.20634 0.22152 0.23673
5 0.05 0.01 0.36226 0.38574 0.40875 0.28211 0.30191 0.32155 0.23204 0.24906 0.26605
0.02 0.36157 0.38507 0.40809 0.28146 0.30127 0.32091 0.23146 0.24847 0.26545
0.03 0.36087 0.38438 0.40743 0.28080 0.30061 0.32026 0.23086 0.24787 0.26485
0.06 0.01 0.34494 0.36774 0.39016 0.26969 0.28882 0.30782 0.22271 0.23912 0.25553
0.02 0.34427 0.36709 0.38951 0.26907 0.28820 0.30720 0.22215 0.23856 0.25496
0.03 0.34360 0.36642 0.38886 0.26844 0.28757 0.30658 0.22159 0.23799 0.25438
0.07 0.01 0.32958 0.35172 0.37353 0.26928 0.28863 0.30785 0.22271 0.23912 0.25553
0.02 0.32893 0.35108 0.37290 0.26862 0.28798 0.30719 0.22215 0.23856 0.25496
0.03 0.32828 0.35044 0.37227 0.26796 0.28731 0.30653 0.22159 0.23799 0.25438
6 0.05 0.01 0.37596 0.40047 0.42446 0.29435 0.31513 0.33569 0.24323 0.26119 0.27908
0.02 0.37520 0.39973 0.42373 0.29363 0.31441 0.33498 0.24258 0.26053 0.27842
0.03 0.37443 0.39897 0.42299 0.29291 0.31369 0.33426 0.24192 0.25987 0.27776
0.06 0.01 0.35771 0.38148 0.40481 0.28108 0.30111 0.32097 0.23314 0.25042 0.26765
0.02 0.35697 0.38075 0.40410 0.28039 0.30043 0.32029 0.23252 0.24980 0.26703
0.03 0.35623 0.38002 0.40338 0.27970 0.29974 0.31960 0.23189 0.24916 0.26639
0.07 0.01 0.34153 0.36459 0.38728 0.26969 0.28882 0.30782 0.22411 0.24078 0.25743
0.02 0.34083 0.36389 0.38659 0.26907 0.28820 0.30720 0.22352 0.24019 0.25683
0.03 0.34011 0.36319 0.38590 0.26844 0.28757 0.30658 0.22292 0.23958 0.25623
3 4 0.05 0.01 0.70078 0.71279 0.72419 0.60518 0.61841 0.63122 0.52971 0.54284 0.55569
0.02 0.70060 0.71261 0.72402 0.60486 0.61810 0.63092 0.52933 0.54247 0.55533
0.03 0.70040 0.71243 0.72385 0.60454 0.61779 0.63062 0.52895 0.54209 0.55496
0.06 0.01 0.68405 0.69640 0.70816 0.58922 0.60247 0.61534 0.51521 0.52817 0.54090
0.02 0.68385 0.69620 0.70798 0.58890 0.60216 0.61503 0.51483 0.52780 0.54053
0.03 0.68364 0.69601 0.70779 0.58858 0.60184 0.61472 0.51445 0.52743 0.54016
0.07 0.01 0.66801 0.68063 0.69269 0.57417 0.58740 0.60028 0.50168 0.51448 0.52707
0.02 0.66780 0.68042 0.69250 0.57384 0.58708 0.59997 0.50130 0.51411 0.52670
0.03 0.66758 0.68021 0.69230 0.57351 0.58676 0.59966 0.50092 0.51374 0.52634
5 0.05 0.01 0.71632 0.72856 0.74009 0.62256 0.63621 0.64936 0.54695 0.56049 0.57372
0.02 0.71611 0.72837 0.73990 0.62222 0.63588 0.64904 0.54655 0.56010 0.57333
0.03 0.71591 0.72817 0.73971 0.62188 0.63555 0.64872 0.54614 0.55970 0.57293
0.06 0.01 0.69960 0.71222 0.72416 0.60600 0.61965 0.63285 0.53163 0.54497 0.55803
0.02 0.69938 0.71201 0.72396 0.60565 0.61931 0.63253 0.53123 0.54457 0.55764
0.03 0.69916 0.71180 0.72376 0.60531 0.61897 0.63220 0.53083 0.54418 0.55725
0.07 0.01 0.68349 0.69642 0.70870 0.59037 0.60399 0.61721 0.51739 0.53053 0.54342
0.02 0.68326 0.69619 0.70849 0.59002 0.60365 0.61688 0.51699 0.53013 0.54303
0.03 0.68302 0.69596 0.70827 0.58967 0.60330 0.61654 0.51659 0.52974 0.54264
6 0.05 0.01 0.73634 0.74875 0.76031 0.64438 0.65839 0.67181 0.56848 0.58237 0.59587
0.02 0.73612 0.74854 0.76010 0.64402 0.65804 0.67146 0.56804 0.58194 0.59546
0.03 0.73589 0.74832 0.75989 0.64365 0.65768 0.67112 0.56761 0.58151 0.59504
0.06 0.01 0.71950 0.73235 0.74439 0.62687 0.64087 0.65435 0.55194 0.56558 0.57890
0.02 0.71926 0.73212 0.74417 0.62650 0.64051 0.65400 0.55151 0.56516 0.57848
0.03 0.71902 0.73189 0.74395 0.62613 0.64015 0.65365 0.55108 0.56474 0.57806
0.07 0.01 0.70317 0.71638 0.72882 0.61038 0.62433 0.63783 0.53665 0.55006 0.56319
0.02 0.70292 0.71613 0.72859 0.61000 0.62397 0.63747 0.53623 0.54964 0.56277
0.03 0.70266 0.71589 0.72835 0.60963 0.62360 0.63711 0.53580 0.54922 0.56236
Table 10. Continued from previous page.
Table 10. Continued from previous page.
c β θ γ λ 0.2 0.3 0.4
μ 1 5.0 6.0 7.0 5.0 6.0 7.0 5.0 6.0 7.0
4 4 0.05 0.01 0.87241 0.87645 0.88013 0.82746 0.83341 0.83890 0.78118 0.78842 0.79522
0.02 0.87237 0.87641 0.88009 0.82743 0.83338 0.83888 0.78110 0.78834 0.79514
0.03 0.87233 0.87638 0.88006 0.82741 0.83336 0.83885 0.78101 0.78826 0.79506
0.06 0.01 0.86566 0.86998 0.87393 0.81908 0.82525 0.83097 0.77176 0.77913 0.78607
0.02 0.86562 0.86995 0.87390 0.81905 0.82522 0.83094 0.77167 0.77904 0.78598
0.03 0.86558 0.86992 0.87387 0.81901 0.82519 0.83091 0.77157 0.77895 0.78589
0.07 0.01 0.85881 0.86342 0.86764 0.81076 0.81714 0.82308 0.76250 0.76999 0.77706
0.02 0.85878 0.86339 0.86761 0.81072 0.81710 0.82304 0.76241 0.76989 0.77697
0.03 0.85875 0.86336 0.86758 0.81068 0.81706 0.82301 0.76231 0.76980 0.77688
5 0.05 0.01 0.88096 0.88506 0.88873 0.84012 0.84612 0.85158 0.79693 0.80429 0.81111
0.02 0.88093 0.88503 0.88871 0.84009 0.84609 0.85156 0.79685 0.80421 0.81103
0.03 0.88089 0.88500 0.88868 0.84006 0.84606 0.85153 0.79676 0.80413 0.81094
0.06 0.01 0.87463 0.87902 0.88296 0.83202 0.83827 0.84398 0.78748 0.79499 0.80198
0.02 0.87460 0.87899 0.88294 0.83199 0.83823 0.84395 0.78739 0.79490 0.80189
0.03 0.87457 0.87897 0.88292 0.83195 0.83820 0.84391 0.78729 0.79480 0.80180
0.07 0.01 0.86819 0.87287 0.87708 0.82396 0.83043 0.83637 0.77817 0.78581 0.79295
0.02 0.86817 0.87285 0.87706 0.82391 0.83039 0.83633 0.77807 0.78571 0.79285
0.03 0.86815 0.87283 0.87704 0.82387 0.83034 0.83629 0.77797 0.78561 0.79275
6 0.05 0.01 0.89191 0.89596 0.89953 0.85564 0.86155 0.86683 0.81591 0.82321 0.82987
0.02 0.89189 0.89595 0.89951 0.85560 0.86151 0.86680 0.81582 0.82312 0.82979
0.03 0.89187 0.89593 0.89950 0.85557 0.86148 0.86677 0.81572 0.82303 0.82970
0.06 0.01 0.88605 0.89039 0.89422 0.84785 0.85402 0.85958 0.80633 0.81381 0.82068
0.02 0.88604 0.89038 0.89421 0.84781 0.85398 0.85954 0.80623 0.81371 0.82058
0.03 0.88602 0.89036 0.89420 0.84776 0.85394 0.85950 0.80612 0.81361 0.82049
0.07 0.01 0.88007 0.88469 0.88879 0.84003 0.84646 0.85228 0.79684 0.80447 0.81152
0.02 0.88006 0.88468 0.88878 0.83998 0.84641 0.85223 0.79673 0.80436 0.81142
0.03 0.88005 0.88467 0.88877 0.83993 0.84637 0.85218 0.79662 0.80426 0.81132
Table 11. Fraction of successful rate of retrial for homogeneous servers.
Table 11. Fraction of successful rate of retrial for homogeneous servers.
c β θ γ λ 0.2 0.3 0.4
μ 1 5.0 6.0 7.0 5.0 6.0 7.0 5.0 6.0 7.0
2 4 0.05 0.01 0.23430 0.28236 0.32950 0.17781 0.21598 0.25434 0.14411 0.17575 0.20798
0.02 0.23365 0.28170 0.32886 0.17726 0.21540 0.25374 0.14364 0.17525 0.20745
0.03 0.23298 0.28103 0.32820 0.17671 0.21481 0.25314 0.14317 0.17474 0.20692
0.06 0.01 0.22194 0.26802 0.31349 0.16959 0.20621 0.24313 0.13824 0.16866 0.19970
0.02 0.22133 0.26739 0.31287 0.16908 0.20565 0.24256 0.13780 0.16818 0.19920
0.03 0.22070 0.26675 0.31224 0.16855 0.20510 0.24199 0.13736 0.16770 0.19869
0.07 0.01 0.21119 0.25546 0.29935 0.16233 0.19754 0.23315 0.13298 0.16229 0.19226
0.02 0.21061 0.25485 0.29875 0.16184 0.19701 0.23260 0.13256 0.16184 0.19178
0.03 0.21001 0.25424 0.29814 0.16134 0.19648 0.23205 0.13214 0.16138 0.19129
5 0.05 0.01 0.23984 0.28977 0.33872 0.18250 0.22237 0.26240 0.14822 0.18142 0.21521
0.02 0.23912 0.28905 0.33801 0.18190 0.22173 0.26175 0.14771 0.18086 0.21463
0.03 0.23839 0.28831 0.33729 0.18128 0.22108 0.26109 0.14719 0.18030 0.21404
0.06 0.01 0.22705 0.27490 0.32208 0.17394 0.21215 0.25065 0.14208 0.17395 0.20646
0.02 0.22637 0.27421 0.32140 0.17337 0.21154 0.25003 0.14160 0.17343 0.20591
0.03 0.22568 0.27351 0.32071 0.17279 0.21093 0.24940 0.14110 0.17290 0.20535
0.07 0.01 0.21594 0.26187 0.30740 0.16639 0.20309 0.24019 0.13658 0.16726 0.19861
0.02 0.21529 0.26122 0.30674 0.16585 0.20252 0.23960 0.13611 0.16676 0.19808
0.03 0.21464 0.26055 0.30607 0.16530 0.20194 0.23900 0.13565 0.16626 0.19755
6 0.05 0.01 0.24795 0.30033 0.35154 0.18947 0.23158 0.27375 0.15443 0.18971 0.22552
0.02 0.24715 0.29952 0.35075 0.18879 0.23087 0.27302 0.15384 0.18908 0.22487
0.03 0.24633 0.29870 0.34995 0.18810 0.23015 0.27229 0.15325 0.18845 0.22422
0.06 0.01 0.23452 0.28466 0.33398 0.18039 0.22068 0.26117 0.14784 0.18166 0.21605
0.02 0.23376 0.28389 0.33322 0.17975 0.22001 0.26048 0.14730 0.18107 0.21543
0.03 0.23299 0.28311 0.33245 0.17910 0.21933 0.25978 0.14674 0.18047 0.21481
0.07 0.01 0.22286 0.27096 0.31850 0.17239 0.21106 0.25002 0.14197 0.17448 0.20759
0.02 0.22215 0.27023 0.31777 0.17179 0.21042 0.24936 0.14145 0.17392 0.20700
0.03 0.22142 0.26949 0.31704 0.17117 0.20977 0.24870 0.14092 0.17335 0.20641
Table 12. Continued from previous page.
Table 12. Continued from previous page.
c β θ γ λ 0.2 0.3 0.4
μ 1 5.0 6.0 7.0 5.0 6.0 7.0 5.0 6.0 7.0
3 4 0.05 0.01 0.36390 0.43174 0.49415 0.28159 0.33989 0.39582 0.22993 0.28023 0.32975
0.02 0.36327 0.43116 0.49364 0.28099 0.33930 0.39527 0.22939 0.27968 0.32921
0.03 0.36263 0.43058 0.49313 0.28038 0.33871 0.39471 0.22884 0.27912 0.32866
0.06 0.01 0.34691 0.41314 0.47467 0.26962 0.32615 0.38072 0.22113 0.26981 0.31793
0.02 0.34630 0.41258 0.47417 0.26904 0.32558 0.38018 0.22061 0.26928 0.31740
0.03 0.34568 0.41201 0.47366 0.26846 0.32501 0.37964 0.22009 0.26875 0.31688
0.07 0.01 0.33180 0.39641 0.45692 0.25890 0.31376 0.36701 0.21316 0.26035 0.30716
0.02 0.33121 0.39586 0.45643 0.25834 0.31321 0.36648 0.21267 0.25985 0.30666
0.03 0.33061 0.39530 0.45592 0.25778 0.31265 0.36595 0.21217 0.25933 0.30615
5 0.05 0.01 0.37407 0.44412 0.50838 0.29059 0.35113 0.40901 0.23800 0.29046 0.34190
0.02 0.37338 0.44350 0.50783 0.28994 0.35049 0.40841 0.23742 0.28987 0.34132
0.03 0.37268 0.44287 0.50727 0.28928 0.34985 0.40781 0.23682 0.28927 0.34073
0.06 0.01 0.35644 0.42484 0.48820 0.27804 0.33670 0.39314 0.22870 0.27943 0.32936
0.02 0.35578 0.42423 0.48765 0.27742 0.33609 0.39256 0.22814 0.27886 0.32880
0.03 0.35511 0.42362 0.48710 0.27679 0.33547 0.39197 0.22758 0.27828 0.32823
0.07 0.01 0.34078 0.40748 0.46981 0.26682 0.32372 0.37876 0.22031 0.26944 0.31798
0.02 0.34014 0.40689 0.46927 0.26622 0.32313 0.37819 0.21977 0.26889 0.31743
0.03 0.33949 0.40629 0.46873 0.26562 0.32253 0.37762 0.21923 0.26834 0.31689
6 0.05 0.01 0.38803 0.46077 0.52720 0.30305 0.36625 0.42635 0.24933 0.30441 0.35806
0.02 0.38727 0.46009 0.52659 0.30233 0.36556 0.42570 0.24868 0.30376 0.35742
0.03 0.38651 0.45940 0.52598 0.30160 0.36486 0.42504 0.24803 0.30310 0.35678
0.06 0.01 0.36948 0.44046 0.50595 0.28966 0.35083 0.40935 0.23928 0.29246 0.34445
0.02 0.36875 0.43980 0.50536 0.28897 0.35016 0.40872 0.23867 0.29184 0.34384
0.03 0.36802 0.43912 0.50475 0.28828 0.34949 0.40809 0.23804 0.29121 0.34323
0.07 0.01 0.35301 0.42221 0.48662 0.27771 0.33699 0.39402 0.23025 0.28169 0.33217
0.02 0.35231 0.42156 0.48603 0.27706 0.33635 0.39341 0.22966 0.28110 0.33158
0.03 0.35160 0.42091 0.48544 0.27639 0.33570 0.39279 0.22906 0.28050 0.33099
4 4 0.05 0.01 0.48810 0.56472 0.63005 0.38937 0.46191 0.52747 0.32258 0.38879 0.45092
0.02 0.48759 0.56431 0.62973 0.38881 0.46141 0.52704 0.32203 0.38828 0.45045
0.03 0.48708 0.56390 0.62941 0.38825 0.46091 0.52660 0.32149 0.38777 0.44997
0.06 0.01 0.46876 0.54511 0.61105 0.37458 0.44586 0.51085 0.31121 0.37588 0.43689
0.02 0.46826 0.54470 0.61072 0.37404 0.44537 0.51042 0.31069 0.37539 0.43643
0.03 0.46775 0.54429 0.61039 0.37349 0.44488 0.50999 0.31016 0.37488 0.43597
0.07 0.01 0.45115 0.52698 0.59321 0.36112 0.43112 0.49544 0.30080 0.36400 0.42393
0.02 0.45066 0.52657 0.59288 0.36060 0.43064 0.49502 0.30029 0.36351 0.42348
0.03 0.45016 0.52615 0.59255 0.36006 0.43016 0.49459 0.29978 0.36302 0.42303
5 0.05 0.01 0.50159 0.57991 0.64622 0.40203 0.47670 0.54391 0.33423 0.40267 0.46656
0.02 0.50104 0.57947 0.64588 0.40143 0.47617 0.54345 0.33365 0.40212 0.46606
0.03 0.50049 0.57903 0.64554 0.40082 0.47563 0.54298 0.33307 0.40157 0.46555
0.06 0.01 0.48163 0.55976 0.62685 0.38654 0.45990 0.52651 0.32221 0.38900 0.45170
0.02 0.48110 0.55933 0.62650 0.38596 0.45937 0.52605 0.32165 0.38847 0.45121
0.03 0.48055 0.55888 0.62615 0.38537 0.45885 0.52559 0.32108 0.38793 0.45072
0.07 0.01 0.46345 0.54111 0.60861 0.37247 0.44449 0.51040 0.31122 0.37645 0.43801
0.02 0.46293 0.54067 0.60826 0.37191 0.44397 0.50995 0.31068 0.37593 0.43753
0.03 0.46239 0.54022 0.60790 0.37134 0.44346 0.50950 0.31014 0.37541 0.43705
6 0.05 0.01 0.51953 0.59984 0.66718 0.41875 0.49581 0.56477 0.34977 0.42067 0.48642
0.02 0.51894 0.59937 0.66682 0.41811 0.49524 0.56427 0.34914 0.42008 0.48588
0.03 0.51834 0.59889 0.66645 0.41745 0.49466 0.56377 0.34851 0.41949 0.48534
0.06 0.01 0.49864 0.57884 0.64718 0.40225 0.47789 0.54621 0.33678 0.40588 0.47033
0.02 0.49806 0.57837 0.64680 0.40163 0.47733 0.54572 0.33617 0.40532 0.46981
0.03 0.49747 0.57788 0.64642 0.40099 0.47676 0.54523 0.33556 0.40474 0.46928
0.07 0.01 0.47961 0.55938 0.62830 0.38730 0.46151 0.52910 0.32496 0.39239 0.45560
0.02 0.47904 0.55891 0.62792 0.38669 0.46096 0.52862 0.32438 0.39183 0.45509
0.03 0.47846 0.55843 0.62753 0.38608 0.46041 0.52813 0.32379 0.39128 0.45458
Table 13. Expected impatience rate of a customer.
Table 13. Expected impatience rate of a customer.
L λ μ 1 β heterogeneous servers homogeneous servers
k 1 k 2 k 1 k 2
0.0 0.7 0.0 0.7 0.0 0.7 0.0 0.7
10 0.2 5 3 0.05875 0.08887 0.08321 0.09565 0.07562 0.10463 0.09815 0.10729
4 0.04614 0.07970 0.07238 0.08824 0.06572 0.09995 0.09250 0.10316
5 0.03730 0.07197 0.06342 0.08203 0.05874 0.09635 0.08834 0.09999
6 3 0.05803 0.08800 0.08256 0.09491 0.06949 0.10249 0.09556 0.10582
4 0.04534 0.07866 0.07157 0.08735 0.05846 0.09718 0.08901 0.10127
5 0.03647 0.07077 0.06243 0.08099 0.05070 0.09301 0.08402 0.09772
7 3 0.05743 0.08715 0.08192 0.09417 0.06527 0.10008 0.09302 0.10413
4 0.04470 0.07766 0.07080 0.08647 0.05358 0.09411 0.08555 0.09913
5 0.03579 0.06960 0.06149 0.07997 0.04537 0.08932 0.07971 0.09517
0.3 5 3 0.06774 0.09851 0.09352 0.10300 0.08873 0.10821 0.10378 0.10994
4 0.05518 0.09148 0.08525 0.09723 0.08031 0.10419 0.09921 0.10626
5 0.04569 0.08553 0.07839 0.09243 0.07378 0.10107 0.09581 0.10342
6 3 0.06667 0.09774 0.09285 0.10235 0.08216 0.10694 0.10202 0.10908
4 0.05401 0.09057 0.08442 0.09647 0.07221 0.10252 0.09690 0.10513
5 0.04446 0.08448 0.07739 0.09157 0.06448 0.09905 0.09303 0.10204
7 3 0.06578 0.09701 0.09222 0.10173 0.07682 0.10544 0.10024 0.10798
4 0.05304 0.08969 0.08363 0.09574 0.06579 0.10059 0.09455 0.10374
5 0.04345 0.08346 0.07644 0.09073 0.05726 0.09674 0.09018 0.10039
0.4 5 3 0.07533 0.10367 0.09941 0.10687 0.09695 0.11016 0.10692 0.11144
4 0.06334 0.09786 0.09271 0.10196 0.08991 0.10649 0.10237 0.10802
5 0.05372 0.09298 0.08723 0.09790 0.08424 0.10363 0.09878 0.10535
6 3 0.07400 0.10298 0.09874 0.10626 0.09148 0.10932 0.10556 0.11091
4 0.06186 0.09704 0.09190 0.10125 0.08300 0.10537 0.10104 0.10730
5 0.05215 0.09205 0.08629 0.09712 0.07607 0.10226 0.09756 0.10446
7 3 0.07286 0.10232 0.09813 0.10570 0.08627 0.10825 0.10422 0.11013
4 0.06059 0.09626 0.09115 0.10059 0.07654 0.10398 0.09935 0.10630
5 0.05081 0.09115 0.08540 0.09637 0.06856 0.10059 0.09559 0.10327
Table 14. Continued from previous page.
Table 14. Continued from previous page.
L λ μ 1 β heterogeneous servers homogeneous servers
k 1 k 2 k 1 k 2
0.0 0.7 0.0 0.7 0.0 0.7 0.0 0.7
15 0.2 5 3 0.08070 0.12982 0.12490 0.13936 0.10872 0.15135 0.14491 0.15452
4 0.06437 0.11893 0.11252 0.13108 0.09622 0.14649 0.13925 0.15027
5 0.05373 0.10987 0.10237 0.12425 0.08801 0.14285 0.13521 0.14709
6 3 0.07942 0.12851 0.12389 0.13837 0.09898 0.14858 0.14182 0.15257
4 0.06296 0.11731 0.11121 0.12986 0.08479 0.14299 0.13518 0.14783
5 0.05223 0.10793 0.10072 0.12281 0.07555 0.13871 0.13029 0.14423
7 3 0.07838 0.12723 0.12290 0.13738 0.09214 0.14552 0.13873 0.15041
4 0.06180 0.11572 0.10994 0.12865 0.07699 0.13914 0.13107 0.14515
5 0.05101 0.10604 0.09914 0.12137 0.06716 0.13414 0.12525 0.14110
0.3 5 3 0.09318 0.14315 0.13870 0.14878 0.12805 0.15574 0.15127 0.15779
4 0.07656 0.13545 0.13001 0.14263 0.11779 0.15162 0.14666 0.15405
5 0.06478 0.12906 0.12296 0.13762 0.11014 0.14852 0.14331 0.15124
6 3 0.09134 0.14217 0.13785 0.14800 0.11772 0.15402 0.14919 0.15655
4 0.07451 0.13427 0.12895 0.14172 0.10500 0.14945 0.14404 0.15250
5 0.06263 0.12768 0.12169 0.13660 0.09555 0.14595 0.14024 0.14941
3 0.08981 0.14122 0.13704 0.14727 0.10904 0.15210 0.14709 0.15511
3 4 0.07283 0.13312 0.12794 0.14084 0.09454 0.14705 0.14135 0.15072
5 0.06087 0.12633 0.12046 0.13560 0.08390 0.14313 0.13706 0.14733
0.4 5 3 0.10443 0.14964 0.14576 0.15347 0.13987 0.15814 0.15411 0.15965
4 0.08836 0.14346 0.13889 0.14830 0.13170 0.15441 0.14960 0.15620
5 0.07611 0.13838 0.13340 0.14414 0.12529 0.15158 0.14626 0.15356
6 3 0.10214 0.14881 0.14498 0.15276 0.13160 0.15692 0.15300 0.15880
4 0.08576 0.14248 0.13796 0.14748 0.12124 0.15287 0.14836 0.15512
5 0.07333 0.13727 0.13234 0.14323 0.11300 0.14976 0.14486 0.15229
7 3 0.10019 0.14802 0.14426 0.15210 0.12337 0.15550 0.15153 0.15772
4 0.08357 0.14155 0.13709 0.14672 0.11094 0.15110 0.14658 0.15379
5 0.07101 0.13621 0.13132 0.14238 0.10104 0.14769 0.14283 0.15075
Table 15. Expected impatience rate of a customer.
Table 15. Expected impatience rate of a customer.
c η θ γ heterogeneous servers homogeneous servers
k 1 k 2 k 1 k 2
0.0 0.7 0.0 0.7 0.0 0.7 0.0 0.7
3 0.01 0.05 0.01 0.05401 0.09057 0.08442 0.09647 0.07221 0.10896 0.10218 0.11499
0.02 0.05411 0.09060 0.08446 0.09649 0.07233 0.10899 0.10222 0.11501
0.03 0.05422 0.09063 0.08451 0.09652 0.07244 0.10901 0.10226 0.11504
0.06 0.01 0.05673 0.09299 0.08580 0.09858 0.07646 0.11145 0.10372 0.11702
0.02 0.05682 0.09302 0.08584 0.09860 0.07657 0.11148 0.10375 0.11704
0.03 0.05692 0.09305 0.08588 0.09863 0.07668 0.11150 0.10379 0.11706
0.07 0.01 0.05914 0.09509 0.08709 0.10039 0.08003 0.11356 0.10513 0.11873
0.02 0.05923 0.09512 0.08713 0.10041 0.08013 0.11359 0.10517 0.11875
0.03 0.05933 0.09514 0.08717 0.10043 0.08023 0.11361 0.10520 0.11877
0.02 0.05 0.01 0.10649 0.17891 0.16614 0.19090 0.14237 0.21519 0.20094 0.22760
0.02 0.10669 0.17897 0.16623 0.19095 0.14260 0.21524 0.20102 0.22764
0.03 0.10689 0.17902 0.16632 0.19100 0.14282 0.21530 0.20109 0.22768
0.06 0.01 0.11192 0.18387 0.16897 0.19524 0.15094 0.22036 0.20413 0.23180
0.02 0.11211 0.18392 0.16906 0.19528 0.15116 0.22041 0.20420 0.23184
0.03 0.11230 0.18397 0.16914 0.19533 0.15137 0.22046 0.20427 0.23188
0.07 0.01 0.11675 0.18817 0.17163 0.19895 0.15817 0.22473 0.20707 0.23533
0.02 0.11693 0.18822 0.17171 0.19899 0.15837 0.22478 0.20714 0.23537
0.03 0.11712 0.18827 0.17179 0.19903 0.15857 0.22483 0.20721 0.23541
0.03 0.05 0.01 0.15741 0.26490 0.24505 0.28319 0.21042 0.31850 0.29602 0.33763
0.02 0.15771 0.26499 0.24518 0.28326 0.21076 0.31857 0.29613 0.33769
0.03 0.15801 0.26507 0.24530 0.28333 0.21109 0.31865 0.29625 0.33775
0.06 0.01 0.16555 0.27251 0.24940 0.28986 0.22340 0.32652 0.30099 0.34416
0.02 0.16583 0.27259 0.24952 0.28993 0.22371 0.32660 0.30110 0.34422
0.03 0.16611 0.27267 0.24965 0.28999 0.22402 0.32667 0.30120 0.34428
0.07 0.01 0.17280 0.27912 0.25348 0.29557 0.23436 0.33332 0.30557 0.34965
0.02 0.17307 0.27919 0.25360 0.29563 0.23466 0.33339 0.30567 0.34971
0.03 0.17334 0.27926 0.25371 0.29568 0.23495 0.33346 0.30577 0.34977
Table 16. Continued from previous page.
Table 16. Continued from previous page.
c η θ γ heterogeneous servers homogeneous servers
k 1 k 2 k 1 k 2
0.0 0.7 0.0 0.7 0.0 0.7 0.0 0.7
5 0.01 0.05 0.01 0.05255 0.07408 0.07207 0.08126 0.06350 0.10252 0.09690 0.10513
0.02 0.05264 0.07410 0.07210 0.08128 0.06361 0.10255 0.09694 0.10516
0.03 0.05272 0.07413 0.07213 0.08130 0.06373 0.10258 0.09698 0.10519
0.06 0.01 0.05467 0.07611 0.07336 0.08355 0.06699 0.10405 0.09798 0.10644
0.02 0.05475 0.07613 0.07338 0.08356 0.06710 0.10408 0.09801 0.10646
0.03 0.05483 0.07615 0.07341 0.08358 0.06721 0.10411 0.09805 0.10649
0.07 0.01 0.05651 0.07797 0.07457 0.08564 0.07014 0.10533 0.09896 0.10752
0.02 0.05659 0.07799 0.07460 0.08566 0.07024 0.10536 0.09900 0.10754
0.03 0.05666 0.07801 0.07463 0.08567 0.07035 0.10539 0.09904 0.10757
0.02 0.05 0.01 0.10340 0.14523 0.14072 0.15937 0.12474 0.20338 0.19166 0.20875
0.02 0.10357 0.14527 0.14078 0.15940 0.12497 0.20344 0.19174 0.20880
0.03 0.10373 0.14532 0.14083 0.15944 0.12519 0.20350 0.19181 0.20885
0.06 0.01 0.10764 0.14933 0.14333 0.16400 0.13173 0.20656 0.19390 0.21144
0.02 0.10780 0.14937 0.14338 0.16404 0.13194 0.20661 0.19398 0.21150
0.03 0.10795 0.14941 0.14343 0.16407 0.13216 0.20667 0.19405 0.21155
0.07 0.01 0.11133 0.15308 0.14579 0.16825 0.13802 0.20920 0.19595 0.21368
0.02 0.11147 0.15312 0.14584 0.16828 0.13823 0.20925 0.19602 0.21373
0.03 0.11162 0.15316 0.14589 0.16831 0.13843 0.20931 0.19609 0.21378
0.03 0.05 0.01 0.15251 0.21338 0.20589 0.23422 0.18370 0.30249 0.28416 0.31075
0.02 0.15276 0.21344 0.20597 0.23427 0.18403 0.30257 0.28427 0.31083
0.03 0.15301 0.21350 0.20605 0.23432 0.18436 0.30266 0.28438 0.31090
0.06 0.01 0.15887 0.21959 0.20984 0.24126 0.19416 0.30740 0.28765 0.31493
0.02 0.15910 0.21965 0.20992 0.24131 0.19448 0.30749 0.28776 0.31500
0.03 0.15933 0.21970 0.20999 0.24136 0.19479 0.30757 0.28787 0.31507
0.07 0.01 0.16441 0.22527 0.21359 0.24772 0.20361 0.31149 0.29083 0.31838
0.02 0.16462 0.22532 0.21366 0.24777 0.20391 0.31157 0.29094 0.31845
0.03 0.16484 0.22538 0.21374 0.24781 0.20421 0.31165 0.29104 0.31853
Disclaimer/Publisher’s Note: The statements, opinions and data contained in all publications are solely those of the individual author(s) and contributor(s) and not of MDPI and/or the editor(s). MDPI and/or the editor(s) disclaim responsibility for any injury to people or property resulting from any ideas, methods, instructions or products referred to in the content.
Copyright: This open access article is published under a Creative Commons CC BY 4.0 license, which permit the free download, distribution, and reuse, provided that the author and preprint are cited in any reuse.
Prerpints.org logo

Preprints.org is a free preprint server supported by MDPI in Basel, Switzerland.

Subscribe

Disclaimer

Terms of Use

Privacy Policy

Privacy Settings

© 2026 MDPI (Basel, Switzerland) unless otherwise stated