Preprint
Article

This version is not peer-reviewed.

Fekete-Szego and Zalcman Functional Estimates for Subclasses of Alpha-Convex Functions Related to Trigonometric Functions

A peer-reviewed article of this preprint also exists.

Submitted:

07 December 2023

Posted:

08 December 2023

You are already at the latest version

Abstract
In this study we introduce the new classes $\mathcal{M}_{\alpha}(\sin)$ and $\mathcal{M}_{\alpha}(\cos)$ of $\alpha$-convex functions associated with sine and cosine functions. Also, we obtain the initial coefficient bounds for the first five coefficients of the functions that belong to these classes. Further, we determine the upper bound of Zalcman functional for the class $\mathcal{M}_{\alpha}(\cos)$ for the case $n=3$, showing that the Zalcman conjecture holds for this value. Moreover, the problem of the Fekete-Szeg\H{o} functional estimate for these classes is studied.
Keywords: 
;  ;  ;  ;  ;  ;  ;  ;  ;  

1. Introduction and Preliminaries

Let T be the class consists of all analytic and normalized functions f, where f has the form
f ( z ) = z + a 2 z 2 + a 3 z 3 + , z D ,
and D : = z C : | z | < 1 is the open unit disc; also, the subclass of T consisting of univalent functions is denoted by S .
Let us consider two analytic functions P and Q in D . The function P is said to be subordinated to Q , written symbolically as P ( z ) Q ( z ) , if there exists an analytic function η in D , with η ( 0 ) = 0 and | η ( z ) | < 1 for all z D , such that P = Q η . Further, if Q is an univalent function in D , then the following equivalence holds (see [1]):
P ( z ) Q ( z ) P ( 0 ) = Q ( 0 ) and P ( D ) Q ( D ) .
The family of functions p analytic in D satisfying the condition Re p ( z ) > 0 , z D , and of the form
p ( z ) = 1 + n = 1 t n z n , z D ,
is denoted by P , that represents the well-known Carathéodory function class.
In [2] Mocanu introduced and studied the well-known class of α-convex functions, that is
M α : = f T : Re 1 α z f ( z ) f ( z ) + α 1 + z f ( z ) f ( z ) > 0 , z D , α 0 ,
and the properties of this class of functions was extensively studied during a long period by many researchers (see, for example [3,4,5]). In [6] it was proved that all α -convex functions are univalent and starlike, while the subclass S * : = M 0 is called the class of starlike (normalized) functions in D and S c : = M 1 represents the class of convex (normalized) functions in D .
Definition 1.
Let us now define the new classes M α ( sin ) and M α ( cos ) , with α 0 , connected with the sine and cosine functions, respectively, as follows:
M α ( sin ) : = f T : 1 α z f ( z ) f ( z ) + α 1 + z f ( z ) f ( z ) 1 + sin z = : Φ ( z ) ,
M α ( cos ) : = f T : 1 α z f z f ( z ) + α 1 + z f ( z ) f ( z ) cos z = : Ψ ( z ) .
Remark 1. (i) Substituting the value of α = 0 and α = 1 in (3) we obtain the following subclasses which were studied in [7,8,9], respectively, that are
S sin * : = M 0 sin , S sin c : = M 1 sin .
(ii) Taking α = 0 in Equation (4) we obtain the subclass S cos * : = M 0 cos defined in [10], and by taking α = 1 in Equation (4) we obtain the subclass S cos c : = M 1 cos .
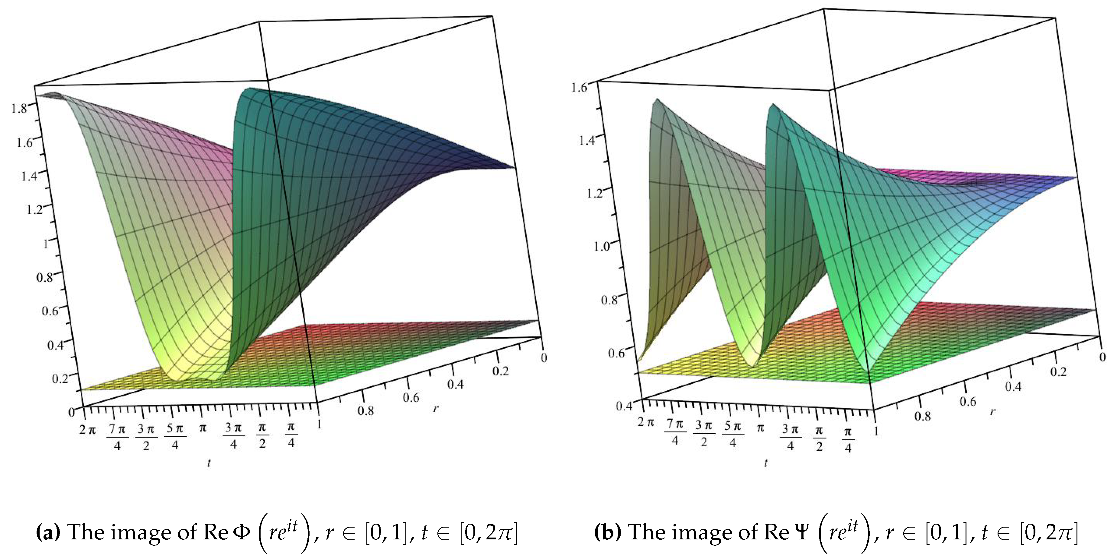
(iii) Since the functions Φ and Ψ defined above have real positive parts in D , and moreover (see the Figure 1A,B made with MAPLE™ computer software)
Re Φ ( z ) > 1 10 , Re Ψ ( z ) > 1 2 , z D ,
it follows that the classes M α ( sin ) and M α ( cos ) are subsets of the class M α , that is M α ( sin ) , M α ( cos ) M α S * S , α 0 .
The following lemmas are necessary to understand the proofs of our main results.
Lemma 1.
If p P has the form (2), then
| t n | 2 , for n 1 ,
| t i + j μ t i t j | 2 max { 1 ; | 1 2 μ | } , for μ C , ,
and for any complex number ζ we have
| t 2 ζ t 1 2 | 2 max 1 ; | 2 ζ 1 | .
The inequality (5) is the well-known Carathéodory’s result (see [11,12]), while (6) may be found in [1], and the inequality (7) is from [13] (see also [14], Lemma 2).
Lemma 2
([7](Lemma 2.2)). If p P has the form (2), then
| α t 1 3 β t 1 t 2 + γ t 3 | 2 | α | + 2 | β 2 α | + 2 | α β + γ | .

2. Initial Coefficients Estimates for the Classes M α ( sin ) and M α ( cos )

In this section the coefficients of the functions of the classes M α ( sin ) and M α ( cos ) are analysed, and the upper bounds for the first five coefficients is obtained.
Theorem 1.
If f M α ( sin ) has the form (1), then
| a 2 | 1 1 + α , | a 3 | 1 2 1 + 2 α max 1 ; 3 α + 1 1 + α 2 , | a 4 | 1 6 1 + 3 α max 1 ; 6 α ( α 1 ) 1 + 2 α 1 + α + 4 α 4 + 31 α 3 + 30 α 2 + 35 α + 4 3 1 + 2 α 1 + α 3 , | a 5 | 1 4 1 + 4 α [ 1 2 max 1 ; 27 α 2 20 α + 1 9 α 2 + 12 α + 3 + 1 + | Φ 1 ( α ) | | Φ 2 ( α ) | 18 1 + 3 α 1 + 2 α 2 1 + α 2 + M ( α ) ] .
where
Φ 1 ( α ) : = 108 α 7 + 200 α 6 + 556 α 5 + 1042 α 4 + 631 α 3 + 409 α 2 + 145 α + 5 , Φ 2 ( α ) : = 180 α 5 8 α 4 + 69 α 3 + 187 α 2 + 75 α + 1 ,
and
M ( α ) : = 8 α 2 + 1 9 1 + 2 α 2 max 1 ; 1 Φ 2 ( α ) 1 + 3 α 1 + α 2 8 α 2 + 1 .
Proof. 
If f M α ( sin ) , then there exists a function η that is analytic in D and satisfy the conditions η ( 0 ) = 0 and | η ( z ) | < 1 for all z D , such that
1 α z f z f ( z ) + α 1 + z f ( z ) f ( z ) = Φ η ( z ) = 1 + sin η ( z ) , z D .
Since f is of the form (1), it follows that
1 α z f z f ( z ) + α 1 + z f ( z ) f ( z ) = 1 + 1 + α a 2 z + 3 α a 2 2 + 4 α a 3 a 2 2 + 2 a 3 z 2 + 7 α a 2 3 15 α a 2 a 3 + a 2 3 + 9 α a 4 3 a 2 a 3 + 3 a 4 z 3 + 15 α a 2 4 + 44 α a 2 2 a 3 a 2 4 28 α a 2 a 4 16 α a 3 2 + 4 a 2 2 a 3 + 16 α a 5 4 a 2 a 4 2 a 3 2 + 4 a 5 z 4 + , z D .
From the fact that η ( 0 ) = 0 and | η ( z ) | < 1 for all z D , if we define the function p by
p ( z ) : = 1 + η ( z ) 1 η ( z ) = 1 + t 1 z + t 2 z 2 + , z D ,
we obtain that p P and
η ( z ) = p ( z ) 1 p ( z ) + 1 = t 1 z + t 2 z 2 + 2 + t 1 z + t 2 z 2 + , z D .
According to the above relation we get
1 + sin η ( z ) = 1 + 1 2 t 1 z + t 2 2 t 1 2 4 z 2 + 1 2 t 3 1 2 t 1 t 2 + 5 48 t 1 3 z 3 + 5 16 t 2 t 1 2 1 32 t 1 4 + 1 2 t 4 1 2 t 1 t 3 1 4 t 2 2 z 4 + , z D ,
cos η ( z ) = 1 t 1 2 8 z 2 + 1 4 t 1 t 2 + 1 8 t 1 3 z 3 + 35 384 t 1 4 1 8 t 2 2 + 3 8 t 2 t 1 2 1 4 t 1 t 3 z 4 + , z D ,
and equating the corresponding coefficients of (9) and (10) we obtain
a 2 = t 1 2 ( 1 + α ) ,
a 3 = 2 1 + α 2 t 2 + α 1 α t 1 2 8 1 + 2 α 1 + α 2 , a 4 = 5 1 + 2 α 1 + α 3 6 1 + 7 α 1 + 2 α + 9 1 + 5 α 1 α α 144 1 + 3 α 1 + 2 α 1 + α 3 t 1 3
+ 6 1 + 5 α 8 1 + 2 α 1 + α 48 1 + 3 α 1 + 2 α 1 + α t 1 t 2 + 1 6 1 + 3 α t 3 , a 5 = 1 4 1 + 4 α [ Φ 1 ( α ) 288 1 + 3 α 1 + 2 α 2 1 + α 4 t 1 4 Φ 2 ( α ) 48 1 + 3 α 1 + 2 α 2 1 + α 2 t 1 2 t 2
+ 2 1 + 7 α 3 1 + 3 α 1 + α 6 1 + 3 α 1 + α t 1 t 3 + 1 + 8 α 2 1 + 2 α 2 8 1 + 2 α 2 t 2 2 + 1 2 t 4 ] .
Using (12) we get
| a 2 | = 1 2 1 + α | t 1 | ,
and from (5) we have | t 1 | 2 , hence
| a 2 | 1 1 + α .
The relation (13) leads to
| a 3 | = t 2 4 1 + 2 α α α 1 t 1 2 8 1 + 2 α 1 + α 2 ,
using triangle inequality we get
| a 3 | 1 4 1 + 2 α t 2 α α 1 t 1 2 2 1 + α 2 ,
and according to (7), since α 0 , we obtain
| a 3 | = 1 4 1 + 2 α t 2 α α 1 t 1 2 2 1 + α 2 1 4 1 + 2 α 2 max 1 ; 2 · α α 1 2 1 + α 2 1 = 1 2 1 + 2 α max 1 ; 3 α + 1 1 + α 2 .
The equality (14) leads to
| a 4 | = 1 3 1 + 3 α 1 4 t 3 4 1 + 2 α 1 + α 3 1 + 5 α 2 1 + 2 α 1 + α t 1 t 2 + t 3 4 6 1 + 7 α 1 + 2 α 5 1 + 2 α 1 + α 3 9 1 + 5 α 1 α α 12 1 + 2 α 1 + α 3 t 1 3 ,
and using the triangle inequality we get
| a 4 | 1 3 1 + 3 α [ 1 4 t 3 4 1 + 2 α 1 + α 3 1 + 5 α 2 1 + 2 α 1 + α t 1 t 2 + | t 3 | 4 + 6 1 + 7 α 1 + 2 α 5 1 + 2 α 1 + α 3 9 1 + 5 α 1 α α 12 1 + 2 α 1 + α 3 | t 1 | 3 ] .
From (5), (6) and of Lemma 1, the above inequality implies that
| a 4 | 1 6 1 + 3 α max 1 ; 6 α ( α 1 ) 1 + 2 α 1 + α + 4 α 4 + 31 α 3 + 30 α 2 + 35 α + 4 3 1 + 2 α 1 + α 3 .
By rearranging (15) we get
| a 5 | = 1 4 1 + 4 α | 1 4 t 4 6 1 + 3 α 1 + α 4 1 + 7 α 3 1 + 3 α 1 + α t 1 t 3 + 1 4 t 4 7 1 + 8 α 2 1 + 2 α 2 18 1 + 2 α 2 t 2 2 5 Φ 2 ( α ) 144 1 + 3 α 1 + 2 α 2 1 + α 2 t 1 2 t 2 + Φ 1 ( α ) 288 1 + 3 α 1 + 2 α 2 1 + α 4 t 1 4 2 1 + 2 α 2 1 + 8 α 36 1 + 2 α 2 t 2 t 2 Φ 2 ( α ) 2 1 + 3 α 1 + α 2 2 1 + 2 α 2 1 + 8 α t 1 2 | ,
and using triangle inequality we get
| a 5 | 1 4 1 + 4 α [ 1 4 t 4 6 1 + 3 α 1 + α 4 1 + 7 α 3 1 + 3 α 1 + α t 1 t 3 + 1 4 t 4 7 2 1 + 2 α 2 1 + 8 α 18 1 + 2 α 2 t 2 2 + 5 | Φ 2 ( α ) | 144 1 + 3 α 1 + 2 α 2 1 + α 2 | t 1 | 2 | t 2 | + | Φ 1 ( α ) | 288 1 + 3 α 1 + 2 α 2 1 + α 4 | t 1 | 4 + 8 α 2 + 1 36 1 + 2 α 2 | t 2 | | t 2 Φ 2 ( α ) 2 1 + 3 α 1 + α 2 8 α 2 + 1 ) t 1 2 | ] .
Now we will find an upper bound for the each term of the right hand side of the above inequality, as follows.
(i) According to (6) we have
t 4 6 1 + 3 α 1 + α 4 1 + 7 α 3 1 + 3 α 1 + α t 1 t 3 2 max 1 ; 1 12 1 + 3 α 1 + α 8 1 + 7 α 3 1 + 3 α 1 + α = 2 max 1 ; 27 α 2 20 α + 1 9 α 2 + 12 α + 3 ,
whenever α 0 .
(ii) Using again the inequality (6) a simple computation shows that
t 4 7 2 1 + 2 α 2 1 + 8 α 18 1 + 2 α 2 t 2 2 2 max 1 ; 1 7 2 1 + 2 α 2 1 + 8 α 9 1 + 2 α 2 = 2 max 1 ; 2 ( 10 α 2 18 α 1 ) 9 1 + 2 α 2 = 2 ,
whenever α 0 .
(iii) For the sum of the third with the fourth term, using the inequality (5) we obtain
5 | Φ 2 ( α ) | 144 1 + 3 α 1 + 2 α 2 1 + α 2 | t 1 | 2 | t 2 | + | Φ 1 ( α ) | 288 1 + 3 α 1 + 2 α 2 1 + α 4 | t 1 | 4 | Φ 1 ( α ) | | Φ 2 ( α ) | 18 1 + 3 α 1 + 2 α 2 1 + α 2 .
(v) To get a majorant for the last term of the sum, according to (5) and (7) we have
8 α 2 + 1 36 1 + 2 α 2 | t 2 | | t 2 Φ 2 ( α ) 2 1 + 3 α 1 + α 2 2 1 + 2 α 2 1 + 8 α t 1 2 | } 8 α 2 + 1 9 1 + 2 α 2 max 1 ; 1 Φ 2 ( α ) 1 + 3 α 1 + α 2 8 α 2 + 1 : = M ( α ) .
Finally, using the upper bounds found to the items (i)–(v), from the inequality (16) we conclude that
| a 5 | 1 4 1 + 4 α { 1 2 max 1 ; 27 α 2 20 α + 1 9 α 2 + 12 α + 3 + 1 + | Φ 1 ( α ) | | Φ 2 ( α ) | 18 1 + 3 α 1 + 2 α 2 1 + α 2 + M ( α ) } .
Remark 2.
A simple computation shows that the upper bounds obtained in the Theorem 1 could be written in the following forms:
| a 3 | 3 α + 1 2 ( 1 + 2 α ) ( 1 + α ) 2 , if 0 α 1 , 1 2 ( 1 + 2 α ) , if α 1 ,
and
| a 4 | 2 α 4 + 52 α 3 + 57 α 2 + 50 α + 7 18 1 + 3 α 1 + 2 α 1 + α 3 , if 0 α 9 + 97 8 , 14 α 4 + 49 α 3 + 12 α 2 + 17 α + 4 18 1 + 3 α 1 + 2 α 1 + α 3 , if α 9 + 97 8 .
For α = 0 and α = 1 , Theorem 1 reduces to the following corollary:
Corollary 1.(i) If f S sin * has the form (1), then
| a 2 | 1 , | a 3 | 1 2 , | a 4 | 7 18 , | a 5 | 25 72 .
(ii) If f S sin c has the form (1), then
| a 2 | 1 2 , | a 3 | 1 6 , | a 4 | 7 72 , | a 5 | 145 18 .
Remark 3.
The upper bounds given by Theorem 1 are not the best possible, excepting those for the first two coefficients.
(i) Thus, for the case α = 0 , the function
f ^ ( z ) : = z exp 0 z sin ( c t ) t d t = z + c z 2 + c 2 2 z 3 + c 3 9 z 4 c 4 72 z 5 , z D , with | c | = 1 ,
is the solution f ^ T of the differential equation z f ^ ( z ) f ^ ( z ) = 1 + sin ( c z ) , | c | = 1 , therefore f ^ S sin * : = M 0 ( sin ) . For f ^ we have
| a 2 | = 1 , | a 3 | = 1 2 , | a 4 | = 1 9 < 7 18 , | a 5 | = 1 72 < 25 72 ,
hence the estimations given by Theorem 1 are not sharp for | a 4 | and | a 5 | .
(ii) Similarly, for α = 1 , the function
f ˜ ( z ) : = 0 z exp 0 x sin ( c t ) t d t d x = z + c 2 z 2 + c 2 6 z 3 + c 3 36 z 4 c 4 360 z 5 , z D , with | c | = 1 ,
is the solution f ˜ T of the differential equation 1 + z f ^ ( z ) f ^ ( z ) = 1 + sin ( c z ) , | c | = 1 , hence f ˜ S sin c : = M 1 ( sin ) . For this function
| a 2 | = 1 2 , | a 3 | = 1 6 , | a 4 | = 1 36 < 7 72 , | a 5 | = 1 360 < 145 18 ,
thus the estimations of Theorem 1 are not sharp for | a 4 | and | a 5 | .
Theorem 2.
If f M α ( cos ) has the form (1), then
| a 2 | = 0 , | a 3 | 1 4 ( 1 + 2 α ) , | a 4 | 1 3 1 + 3 α , | a 5 | 1 8 ( 1 + 4 α ) 3 α | 1 α | ( 1 + 2 α ) 2 + 11 3 .
Proof. 
If f M α ( cos ) , then equating the corresponding coefficients of (9) and (11) we obtain
a 2 = 0 ,
a 3 = t 1 2 16 ( 1 + 2 α ) ,
a 4 = t 1 12 1 + 3 α t 2 t 1 2 2 ,
a 5 = 4 α ( 1 α ) 512 1 + 4 α 1 + 2 α 2 t 1 4 t 1 8 ( 1 + 4 α ) 1 2 t 3 3 4 t 1 t 2 + 1 6 t 1 3 t 2 2 32 1 + 4 α .
Using (18) we get
| a 3 | = 1 16 1 + 2 α | t 1 | 2 ,
and from (5) we have | t 1 | 2 , hence
| a 3 | 1 4 1 + 2 α .
The relation (19) leads to
| a 4 | = t 1 12 1 + 3 α t 2 t 1 2 2 ,
and according to (5) and (7), we obtain
| a 4 | 1 3 1 + 3 α .
From the equality (20) we have
| a 5 | = 4 α ( 1 α ) 512 1 + 4 α 1 + 2 α 2 t 1 4 t 1 8 ( 1 + 4 α ) 1 2 t 3 3 4 t 1 t 2 + 1 6 t 1 3 t 2 2 32 1 + 4 α ,
and using the triangle inequality we get
| a 5 | 4 α 1 α 512 1 + 4 α 1 + 2 α 2 | t 1 | 4 + | t 1 | 8 ( 1 + 4 α ) 1 2 t 3 3 4 t 1 t 2 + 1 6 t 1 3 + | t 2 | 2 32 1 + 4 α .
From (5) and Lemma 2 for the appropriate values α = 1 6 , β = 3 4 , and γ = 1 2 , the above inequality implies that
| a 5 | 1 8 ( 1 + 4 α ) 3 α | 1 α | ( 1 + 2 α ) 2 + 11 3 ,
and all the estimations are proved. □
For α = 0 and α = 1 the Theorem 2 leads us to the following corollary.
Corollary 2.(i) If f S cos * has the form (1), then
| a 2 | = 0 , | a 3 | 1 4 , | a 4 | 1 3 , | a 5 | 11 24 .
(ii) If f S cos c has the form (1), then
| a 2 | = 0 , | a 3 | 1 12 , | a 4 | 1 12 , | a 5 | 11 120 .
Remark 4.
The estimations given by Theorem 2 are not the best possible, excepting those for the first two coefficients.
(i) Thus, for α = 0 and if f S cos * , then the inequality | a 3 | 1 4 is sharp and it is attained for the function f * S cos * that satisfies the differential equation z f * ( z ) f * ( z ) = cos ( c z ) , | c | = 1 , that is
f * ( z ) : = z exp 0 z cos ( c t ) 1 t d t = z c 2 4 z 3 + c 4 24 z 5 47 c 6 8640 z 7 + , z D , with | c | = 1 .
(ii) Also, for α = 1 and if f S cos c , then the inequality | a 3 | 1 12 is sharp being attained for the function f S cos * that it is the solution of the differential equation 1 + z f ( z ) f ( z ) = cos ( c z ) , | c | = 1 , and
f ( z ) : = 0 z exp 0 x cos t 1 t d t d x = z c 2 12 z 3 + c 4 120 z 5 47 c 6 60480 z 7 + , z D , with | c | = 1 .

3. The Fekete-Szego Inequality for the Classes M α ( sin ) and M α ( cos )

In this section we determine upper bounds for the Fekete-Szego functional for the new defined classes M α ( sin ) and M α ( cos ) .
Theorem 3.
If f M α ( sin ) has the form (1), then
| a 3 ρ a 2 2 | 1 2 1 + 2 α max 1 ; 2 ρ 1 + 2 α 1 + 3 α 1 + α 2 , ρ C .
Proof. 
If f M α ( sin ) , then from (12) and (13) we get
a 3 ρ a 2 2 = 1 + 3 α 2 1 + 2 α t 1 2 4 1 + α 2 + 1 4 1 + 2 α t 2 t 1 2 2 ρ t 1 2 4 1 + α 2 , = 1 4 1 + 2 α t 2 2 ρ 1 + 2 α α 1 α 2 1 + α 2 t 1 2 ,
and using (7) it follows that
| a 3 ρ a 2 2 | 1 4 1 + 2 α 2 max 1 ; 2 ρ 1 + 2 α α 1 α 1 + α 2 1 , = 1 2 1 + 2 α max 1 ; 2 ρ 1 + 2 α 1 + 3 α 1 + α 2 .
For α = 0 and α = 1 , the following special are obtained.
Corollary 3.(i) If f S sin * , then
| a 3 ρ a 2 2 | 1 2 max 1 ; | 2 ρ 1 | , ρ C .
(ii) If f S sin c , then
| a 3 ρ a 2 2 | 1 6 max 1 ; | 3 ρ 2 | 2 , ρ C .
Remark 5.
1. According to the Remark 3, the upper bounds given by Theorem 3 are the best possible for α = 0 and α = 1 .
2. If f M α ( cos ) has the form (1), from (17), (18) and (5) we get
a 3 ρ a 2 2 = a 3 = t 1 2 16 ( 1 + 2 α ) 1 4 1 + 2 α , ρ C ,
hence to find the upper bound of the Fekete-Szego functional is obvious.

4. The Zalcman Functional Estimate for the Class M α ( cos )

Zalcman conjectured in 1960 that the coefficients of the functions f S having the form (1) satisfies the inequality
a n 2 a 2 n 1 ( n 1 ) 2 , n 2 .
Further, the equality is obtained only for the Koebe function k ( z ) = z ( 1 z ) 2 and its rotations. Like it was shown in [15,16] it implies the Bieberbach conjecture, that is | a n | n , n 2 . It is noteworthy that for n = 2 the above inequality is a well-known consequence of the Area Theorem and could be found in [1, Theorem 1.5]. In the recent years the Zalcman functional has been given a special interest by many researchers (see, for example, [17,18,19]).
In the next result, for n = 3 we find the Zalcman functional upper bound for the class M α ( cos ) that allows us to prove that the Zalcman conjecture is holds in this case.
Theorem 4.
If f M α ( cos ) has the form (1), then
a 3 2 a 5 170 α 2 + 170 α + 41 96 1 + 4 α 1 + 2 α 2 .
Proof. 
For f M α ( cos ) , using the equalities (18) and (20) it follows that
a 3 2 a 5 = 70 α 2 + 70 α + 19 768 2 α + 1 2 4 α + 1 t 1 4 + 1 8 1 + 4 α 1 2 t 1 t 3 + 1 4 t 2 2 3 4 t 1 2 t 2 , = t 1 8 1 + 4 α 70 α 2 + 70 α + 19 96 2 α + 1 2 t 1 3 3 4 t 1 t 2 + 1 2 t 3 + 1 32 1 + 4 α t 2 2 ,
and from the triangle inequality we get
| a 3 2 a 5 | | t 1 | 8 1 + 4 α | 70 α 2 + 70 α + 19 96 2 α + 1 2 t 1 3 3 4 t 1 t 2 + 1 2 t 3 | + 1 32 1 + 4 α | t 2 | 2 .
Using the inequalities (5) of Lemma 1 and (8) of Lemma 2, the above relation leads easily to (21). □
Since
4 170 α 2 + 170 α + 41 96 + 384 α 1 + 2 α 2 = 6144 α 3 + 7510 α 2 + 2902 α + 343 96 + 384 α 1 + 2 α 2 > 0 , for all α 0 ,
using the result of the Theorem 4 we deduce that:
Corollary 4.
If f M α ( cos ) has the form (1), then
a 3 2 a 5 4 ,
therefore the Zalcman conjecture hold for the class M α ( cos ) if n = 3 .

5. Conclusions

This paper mainly focuses on finding the upper bounds of the first five coefficients for the classes M α ( sin ) and M α ( cos ) of α -convex functions connected with the sine and cosine function. Also, we obtained the estimate for Fekete-Szego functional for these classes, we found the upper bound for Zalcman functional for these class M α ( cos ) for the case n = 3 , and this allows us to prove that the Zalcman inequality holds for this case.
Like we mentioned in the Remarks 3 and 4 the upper bounds we get for a 4 and a 5 for the functions that belong to the classes M α ( sin ) and M α ( cos ) are not the best possible, hence the estimation given in Theorem 4 is not sharp. The problem of finding the best bounds of the above mentioned coefficients and functionals for these classes remains an interesting open question.

Author Contributions

Conceptualization, K.M., J.U. and T.B.; methodology, K.M., J.U. and T.B.; software, K.M., J.U. and T.B.; validation, K.M., J.U. and T.B.; formal analysis, K.M., J.U. and T.B.; investigation, K.M., J.U. and T.B.; resources, K.M., J.U. and T.B.; data curation, K.M., J.U. and T.B.; writing—original draft preparation, K.M., J.U. and T.B.; writing—review and editing, K.M., J.U. and T.B.; visualization, K.M., J.U. and T.B.; supervision, K.M., J.U. and T.B.; project administration, K.M., J.U. and T.B.; All authors have read and agreed to the published version of the manuscript.

Funding

This research received no external funding.

Data Availability Statement

Data are contained within the article.

Conflicts of Interest

The authors declare no conflict of interest.

References

  1. Pommerenke, C. Univalent Functions. Vandenhoeck & Ruprecht; Göttingen, 1975.
  2. Mocanu, P.T. Une proprieté de convexité généralisée dans la théorie de la représentation conforme. Mathematica 1969, 11, 127–133. [Google Scholar]
  3. Acu, M.; and Owa, S. On some subclasses of univalent functions. JIPAM. J. Inequal. Pure Appl. Math. 2005, 6, 70. [Google Scholar]
  4. Dziok, J.; Raina, R.K.; Sokół, J. On α-convex functions related to shell-like functions connected with Fibonacci numbers. Appl. Math. Comput. 2011, 218, 996–1002. [Google Scholar] [CrossRef]
  5. Singh, G.; Singh, G. Certain subclasses of alpha-convex functions with fixed point. J. Appl. Math. Inform. 2022, 40, 259–266. [Google Scholar]
  6. Mocanu, P.T.; Reade, M. O. On generalized convexity in conformal mappings. Rev. Roum. Math. Pures Appl. 1971, 16, 1541–1544. [Google Scholar]
  7. Arif, M.; Raza, M.; Tang, H.; Hussain, S.; Khan, H. Hankel determinant of order three for familiar subsets of analytic functions related with sine function. Open Math. 2019, 17, 1615–1630. [Google Scholar] [CrossRef]
  8. Cho, N.E.; Kumar, V.; Kumar, S.; Ravichandran, V. Radius problems for starlike functions associated with the sine function. Bull. Iranian Math. Soc. 2019, 45, 213–232. [Google Scholar] [CrossRef]
  9. Khan, M.G.; Ahmad, B.; Sokół, J.; Muhammad, Z.; Mashwani, W.K. , Chinram, R.; Petchkaew, P., Coefficient problems in a class of functions with bounded turning associated with Sine function. Eur. J. Pure Appl. Math. 2021, 14, 53–64. [Google Scholar] [CrossRef]
  10. Bano, K.; Raza, M. Starlike functions associated with cosine functions. Bull. Iranian Math. Soc. 2021, 47, 1513–1532. [Google Scholar] [CrossRef]
  11. Carathéodory, C. Über den Variabilitätsbereich der Koeffizienten von Potenzreihen, die gegebene Werte nicht annehmen. Math. Ann. 1907, 64, 95–115. [Google Scholar] [CrossRef]
  12. Carathéodory, C. Über den variabilitätsbereich der fourier’schen konstanten von positiven harmonischen funktionen. Rend. Circ. Mat. Palermo 1911, 32, 193–217. [Google Scholar] [CrossRef]
  13. Keogh, F.R.; Merkes, E.P. A coefficient inequality for certain classes of analytic functions. Proc. Amer. Math. Soc. 1969, 20, 8–12. [Google Scholar] [CrossRef]
  14. Karthikeyan, K.R.; Lakshmi, S.; Varadharajan, S.; Mohankumar, D.; Umadevi, E. Starlike functions of complex order with respect to symmetric points defined using higher order derivatives. Fractal Fract. 2022, 6, 116. [Google Scholar] [CrossRef]
  15. Brown, J.E.; Tsao, A. On the Zalcman conjecture for starlike and typically real functions. Math. Z. 1986, 191, 467–474. [Google Scholar] [CrossRef]
  16. Vasudevarao, A.; Pandey, A. The Zalcman conjecture for certain analytic and univalent functions. J. Math. Anal. Appl. 2020, 492, 124466. [Google Scholar] [CrossRef]
  17. Deepak, B.; Janusz, S. Zalcman conjecture for some subclass of analytic functions. J. Fract. Calc. Appl. 2017, 8, 1–5. [Google Scholar]
  18. Ma, W. The Zalcman conjecture for close-to-convex functions. Proc. Amer. Math. Soc. 1988, 104, 741–744. [Google Scholar] [CrossRef]
  19. Khan, M.G.; Ahmad, B.; Murugusundaramoorthy, G.; Mashwani, W.K.; Yalçın, S.; Shaba, T.G.; Salleh, Z. Third Hankel determinant and Zalcman functional for a class of starlike functions with respect to symmetric points related with sine function. J. Math. Comput. Sci. 2022, 25, 29–36. [Google Scholar] [CrossRef]
Figure 1. Figures for the Remark 1 (iii).
Figure 1. Figures for the Remark 1 (iii).
Preprints 92626 g001
Disclaimer/Publisher’s Note: The statements, opinions and data contained in all publications are solely those of the individual author(s) and contributor(s) and not of MDPI and/or the editor(s). MDPI and/or the editor(s) disclaim responsibility for any injury to people or property resulting from any ideas, methods, instructions or products referred to in the content.
Copyright: This open access article is published under a Creative Commons CC BY 4.0 license, which permit the free download, distribution, and reuse, provided that the author and preprint are cited in any reuse.
Prerpints.org logo

Preprints.org is a free preprint server supported by MDPI in Basel, Switzerland.

Subscribe

Disclaimer

Terms of Use

Privacy Policy

Privacy Settings

© 2026 MDPI (Basel, Switzerland) unless otherwise stated