Submitted:
05 December 2023
Posted:
06 December 2023
You are already at the latest version
Abstract
Keywords:
1. Introduction
2. Materials and Methods
2.1. Culture conditions for plants and fungi
2.2. Identification of ATG8 genes in multiple species
2.3. Chromosomal locations of MaATG8s
2.4. RNA extraction and quantitative reverse transcription (qRT)-PCR
2.5. Banana transcriptomic analysis
2.6. Plasmid construction
2.7. Subcellular localization
2.8. Inoculation assays
2.9. Y2H assays
2.10. Gene silencing
2.11. Trypan blue staining
3. Results
3.1. Genome-wide identification of MaATG8 genes
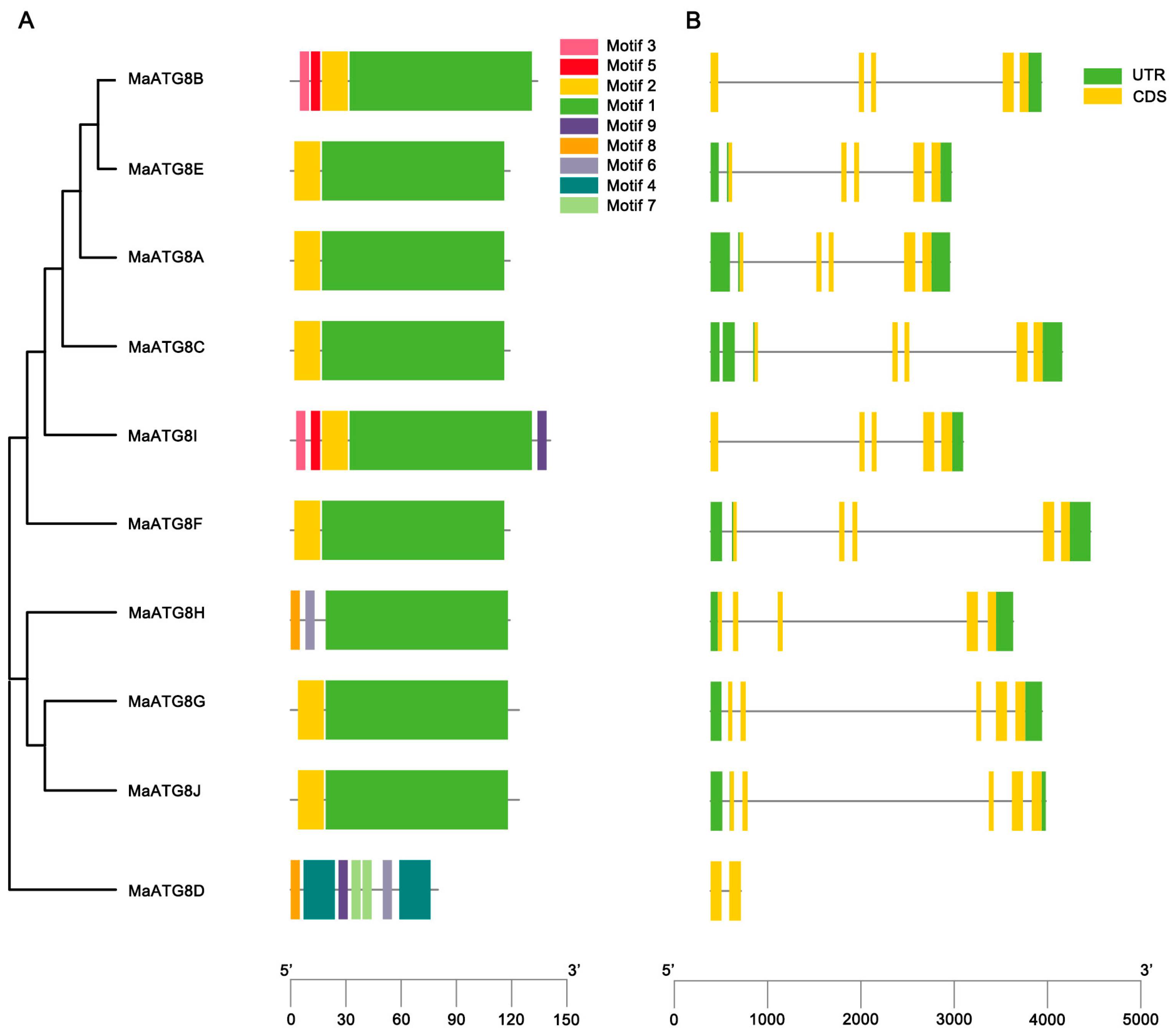
3.2. MaATG8 gene structures and conserved motif analysis
3.3. Predicted cis-acting elements in MaATG8 promoters
3.4. Chromosomal distribution of MaATG8s
3.5. Involvement of MaATG8 family members in the Foc TR4 infection response
3.6. MaATG8F silencing reduced Foc TR4 resistance
3.7. MaATG4B interacted with MaATG8F
4. Discussion
5. Conclusions
Supplementary Materials
Author Contributions
Funding
Institutional Review Board Statement
Informed Consent Statement
Data Availability Statement
Conflicts of Interest
References
- FAOSTAT. Food and Agricultural Organization (FAO). Retrieved from: http://www.fao.org/faostat/en/#data/QC. Accessed on Fri, March, 31, 16:07:35, 2023.
- Bubici G, Kaushal M, Prigigallo MI, Gómez-Lama Cabanás C, Mercado-Blanco J. Biological Control Agents Against Fusarium Wilt of Banana. Front Microbiol. 2019, 10:616. [CrossRef]
- Ploetz RC. Fusarium Wilt of Banana. Phytopathology. 2015, 105(12):1512-21. [CrossRef]
- Pollack JK, Harris SD, Marten MR. Autophagy in filamentous fungi. Fungal Genet Biol. 2009, 46(1):1-8. [CrossRef]
- Liu Y, Bassham DC. Autophagy: pathways for self-eating in plant cells. Annu Rev Plant Biol. 2012, 63:215-37. [CrossRef]
- Parzych KR, Klionsky DJ. An overview of autophagy: morphology, mechanism, and regulation. Antioxid Redox Signal. 2014, 20;20(3):460-73. [CrossRef]
- Levine B, Klionsky DJ. Development by self-digestion: molecular mechanisms and biological functions of autophagy. Dev Cell. 2004, 6(4):463-77. [CrossRef]
- Schmelzle T, Hall MN. TOR, a central controller of cell growth. Cell. 2000, 103(2):253-62. [CrossRef]
- Ismayil A, Yang M, Liu Y. Role of autophagy during plant-virus interactions. Semin Cell Dev Biol. 2020, 101:36-40. [CrossRef]
- Wang Y, Cao JJ, Wang KX, Xia XJ, Shi K, Zhou YH, Yu JQ, Zhou J. BZR1 Mediates Brassinosteroid-Induced Autophagy and Nitrogen Starvation in Tomato. Plant Physiol. 2019, 179(2):671-685. [CrossRef]
- Marshall RS, Vierstra RD. Autophagy: The Master of Bulk and Selective Recycling. Annu Rev Plant Biol. 2018, 69:173-208. [CrossRef]
- Yoshimoto K, Ohsumi Y. Unveiling the Molecular Mechanisms of Plant Autophagy-From Autophagosomes to Vacuoles in Plants. Plant Cell Physiol. 2018, 59(7):1337-1344. [CrossRef]
- Harding TM, Morano KA, Scott SV, Klionsky DJ. Isolation and characterization of yeast mutants in the cytoplasm to vacuole protein targeting pathway. J Cell Biol. 1995, 131(3):591-602. [CrossRef]
- Klionsky DJ, Cregg JM, Dunn WA Jr, Emr SD, Sakai Y, Sandoval IV, Sibirny A, Subramani S, Thumm M, Veenhuis M, Ohsumi Y. A unified nomenclature for yeast autophagy-related genes. Dev Cell. 2003, 5(4):539-45. [CrossRef]
- Zhu JK. Abiotic Stress Signaling and Responses in Plants. Cell. 2016, 167(2):313-324. [CrossRef]
- Huang W, Ma DN, Liu HL, Luo J, Wang P, Wang ML, Guo F, Wang Y, Zhao H, Ni DJ. Genome-Wide Identification of CsATGs in Tea Plant and the Involvement of CsATG8e in Nitrogen Utilization. Int J Mol Sci. 2020, 21(19):7043. [CrossRef]
- Nakatogawa H, Ichimura Y, Ohsumi Y. Atg8, a ubiquitin-like protein required for autophagosome formation, mediates membrane tethering and hemifusion. Cell. 2007, 130(1):165-78. [CrossRef]
- Kataura T, Sedlackova L, Otten EG, Kumari R, Shapira D, Scialo F, Stefanatos R, Ishikawa KI, Kelly G, Seranova E, Sun C, Maetzel D, Kenneth N, Trushin S, Zhang T, Trushina E, Bascom CC, Tasseff R, Isfort RJ, Oblong JE, Miwa S, Lazarou M, Jaenisch R, Imoto M, Saiki S, Papamichos-Chronakis M, Manjithaya R, Maddocks ODK, Sanz A, Sarkar S, Korolchuk VI. Autophagy promotes cell survival by maintaining NAD levels. Dev Cell. 2022, 57(22):2584-2598.e11. [CrossRef]
- Kirisako T, Ichimura Y, Okada H, Kabeya Y, Mizushima N, Yoshimori T, Ohsumi M, Takao T, Noda T, Ohsumi Y. The reversible modification regulates the membrane-binding state of Apg8/Aut7 essential for autophagy and the cytoplasm to vacuole targeting pathway. J Cell Biol. 2000, 151(2):263-76. [CrossRef]
- Doelling JH, Walker JM, Friedman EM, Thompson AR, Vierstra RD. The APG8/12-activating enzyme APG7 is required for proper nutrient recycling and senescence in Arabidopsis thaliana. J Biol Chem. 2002, 277(36):33105-14. [CrossRef]
- Che R, Liu C, Wang Q, Tu W, Wang P, Li C, Gong X, Mao K, Feng H, Huang L, Li P, Ma F. The Valsa Mali effector Vm1G-1794 protects the aggregated MdEF-Tu from autophagic degradation to promote infection in apple. Autophagy. 2023, 19(6):1745-1763. [CrossRef]
- Huang X, Wang J, Chen S, Liu S, Li Z, Wang Z, Chen B, Zhang C, Zhang Y, Wu J, Yang X, Xie Q, Li F, An H, Huang J, Li H, Liu C, Wu X, Liu DX, Yang X, Zhou G, Zhang T. Rhabdovirus encoded glycoprotein induces and harnesses host antiviral autophagy for maintaining its compatible infection. Autophagy. 2023, 1:1-20. [CrossRef]
- Liu Y, Schiff M, Czymmek K, Tallóczy Z, Levine B, Dinesh-Kumar SP. Autophagy regulates programmed cell death during the plant innate immune response. Cell. 2005, 121(4):567-577. [CrossRef]
- Shi J, Gong Y, Shi H, Ma X, Zhu Y, Yang F, Wang D, Fu Y, Lin Y, Yang N, Yang Z, Zeng C, Li W, Zhou C, Wang X, Qiao Y. 'Candidatus Liberibacter asiaticus' secretory protein SDE3 inhibits host autophagy to promote Huanglongbing disease in citrus. Autophagy. 2023, 19(9):2558-2574. [CrossRef]
- Yang M, Zhang Y, Xie X, Yue N, Li J, Wang XB, Han C, Yu J, Liu Y, Li D. Barley stripe mosaic virus γb Protein Subverts Autophagy to Promote Viral Infection by Disrupting the ATG7-ATG8 Interaction. Plant Cell. 2018, 30(7):1582-1595. [CrossRef]
- Pei D, Zhang W, Sun H, Wei X, Yue J, Wang H. Identification of autophagy-related genes ATG4 and ATG8 from wheat (Triticum aestivum L.) and profiling of their expression patterns responding to biotic and abiotic stresses. Plant Cell Rep. 2014, 33(10):1697-710. [CrossRef]
- Fernández-Bautista, N., Domínguez-Núñez, J. A., Moreno, M. M. C. and Berrocal-Lobo, M. Plant Tissue Trypan Blue Staining During Phytopathogen Infection. Bio-protocol. 2016, 6(24): e2078. [CrossRef]
- Park E, Woo J, Dinesh-Kumar SP. Arabidopsis ATG4 cysteine proteases specificity toward ATG8 substrates. Autophagy. 2014, 10(5):926-7. [CrossRef]
- Tang J, Bassham DC. Autophagy during drought: function, regulation, and potential application. Plant J. 2022, 109(2):390-401. [CrossRef]
- Avin-Wittenberg T. Autophagy and its role in plant abiotic stress management. Plant Cell Environ. 2019, 42(3):1045-1053. [CrossRef]
- Xing A, Gao Y, Ye L, Zhang W, Cai L, Ching A, Llaca V, Johnson B, Liu L, Yang X, Kang D, Yan J, Li J. A rare SNP mutation in Brachytic2 moderately reduces plant height and increases yield potential in maize. J Exp Bot. 2015, 66(13):3791-802. [CrossRef]
- Li N, Lin B, Wang H, Li X, Yang F, Ding X, Yan J, Chu Z. Natural variation in ZmFBL41 confers banded leaf and sheath blight resistance in maize. Nat Genet. 2019, 51(10):1540-1548. [CrossRef]
- Zhang P, Yan X, Gebrewahid TW, Zhou Y, Yang E, Xia X, He Z, Li Z, Liu D. Genome-wide association mapping of leaf rust and stripe rust resistance in wheat accessions using the 90K SNP array. Theor Appl Genet. 2021, 134(4):1233-1251. [CrossRef]
- Jia X, Gong X, Jia X, Li X, Wang Y, Wang P, Huo L, Sun X, Che R, Li T, Zou Y, Ma F. Overexpression of MdATG8i Enhances Drought Tolerance by Alleviating Oxidative Damage and Promoting Water Uptake in Transgenic Apple. Int J Mol Sci. 2021, 22(11):5517. [CrossRef]
- Kalvari I, Tsompanis S, Mulakkal NC, Osgood R, Johansen T, Nezis IP, Promponas VJ. iLIR: A web resource for prediction of Atg8-family interacting proteins. Autophagy. 2014, 10(5):913-25. [CrossRef]
- Nolan TM, Brennan B, Yang M, Chen J, Zhang M, Li Z, Wang X, Bassham DC, Walley J, Yin Y. Selective Autophagy of BES1 Mediated by DSK2 Balances Plant Growth and Survival. Dev Cell. 2017, 41(1):33-46.e7. [CrossRef]







Disclaimer/Publisher’s Note: The statements, opinions and data contained in all publications are solely those of the individual author(s) and contributor(s) and not of MDPI and/or the editor(s). MDPI and/or the editor(s) disclaim responsibility for any injury to people or property resulting from any ideas, methods, instructions or products referred to in the content. |
© 2023 by the authors. Licensee MDPI, Basel, Switzerland. This article is an open access article distributed under the terms and conditions of the Creative Commons Attribution (CC BY) license (http://creativecommons.org/licenses/by/4.0/).