Preprint
Article

This version is not peer-reviewed.

Spatial and Temporal Deposition Rate of Beach Litter in Cadiz Bay (SW Spain)

A peer-reviewed article of this preprint also exists.

Submitted:

04 December 2023

Posted:

04 December 2023

You are already at the latest version

Abstract
This study investigates the spatial and temporal distribution of litter at 7 beach sectors in Cadiz Bay, Southwest Spain. Two ten-day surveys carried out in autumn 2022 and spring 2023 revealed a total of 4,199 and 4,634 items, respectively, with plastic being the predominant material (71.13% in autumn, 88.39% in spring). Litter quantities varied significantly among beaches, La Puntilla showing the highest abundance with 0.48 ± 0.25 items m-1 in autumn and 1.34 ± 0.61 items m-1 in spring. The lowest abundance was recorded at sector 1 of Valdelagrana beach (0.08 ± 0.06 items m-1) during autumn and at El Castillito beach (0.08 ± 0.04 items m-1) during spring. Statistical analyses did not reveal significant differences in litter quantities between autumn and spring, however high significant interaction was shown considering both season and beach lo-cation. Seasonal differences were also observed in litter composition. Litter categories increased from 90 in autumn to 107 in spring. The top 10 litter categories varied between seasons and included cigarette butts, plastic fragments and plastic packaging. Cigarette butts were principally abundant in autumn because re-lated to summer beach users and wet wipes were particularly observed in spring because linked to wastewaters and river discharges especially relevant in winter months. Hydrodynamic and wind conditions were analyzed, revealing complex relationships with litter abundance.
Keywords: 
;  ;  ;  ;  ;  

1. Introduction

Marine litter is any persistent, manufactured or processed solid waste material discarded or abandoned in marine and/or coastal environments [1] and is now ubiquitous in all the oceans and beaches around the world [2,3,4]. Litter is associated with land based sources (ca. 80%), i.e., it is transported into the marine environments from land through rivers, sewage, run off, wind, etc. [5,6] or it is abandoned on the beach by visitors especially in summer [3,7], and marine based sources (ca. 20%), i.e., off-shore gas/oil extraction activities, fishing and shipping activities, etc. [8,9]. When litter enters into oceans and seas, it is transported by marine currents, winds and waves and is able to arrive at remote places and islands [10,11] and even in very deep ocean floors [5,12,13]. There, in marine ocean floors, is deposited most part (70%) of marine litter and the rest is equally distributed between the beach environment and the water column (i.e., 15% each [2]). Litter negatively affects the quality of marine environments, constituting a risk for wildlife because of ingestion of litter items by sea birds, mammals, reptiles, fish, etc. [14,15,16], the entanglement of wildlife in abandoned/lost fishing gear and lines [17] and transport of alien species [18,19] and contaminants, e.g., POPs (Persistent Organic Pollutants) and heavy metals [20]. Litter has also economic impacts on fishing activities [21], tourism [22], e.g., “no litter” is one of the Big Five criteria that beach visitors take into account to choose a tourist destination [23] and is potentially dangerous to beach visitors, e.g. because of cuts and injuries and the biological risk linked to medical and sanitary waste [24].
Beach litter is essentially (ca. 80%) composed by plastics [18,25,26] that, during recent decades, have been accumulating in marine environments because their great use, discharge rates and durability and the low rates of recovery [27]. Regarding beach litter monitoring programs, Botero et al. [28] highlighted as most of beach litter studies are based on single or seasonal surveys and very low attention has been devoted to quantify short-term dynamics of beach litter [29] that has been assessed by daily litter collections campaigns [30,31], the use of images obtained by webcams [32] (Kako et al., 2010) and litter mark-recapture/tagging [29,33].
This paper deals with beach litter abundance at 7 different beach sectors of Cadiz Bay coastal area, along the Atlantic side of Andalusia, SW Spain. Beach litter has relevant implications in Andalusia since its coast represents an attractive “Sun, Sea and Sand” tourist destination visited by a total amount of 23 millions of national and international tourists during 2022. Malaga and Cadiz were the most visited provinces in Andalusia, with the latter recording 5.4 million in 2022 and 2.4 million visitors in the first semester of 2023 [34]. Despite most of the existing beach litter papers [28] and previous studies in Cadiz province, e.g. Williams et al. [35] and Asensio-Montesinos et al. [36,37], this paper deals with a beach litter daily monitoring program carried out during 10 consecutive days at 7 beach sectors during two study periods; i.e., in autumn (20th – 29th October 2022) and spring (15th – 24th March 2023), to record daily variations in the abundance, typology and accumulation rates of “fresh” beach litter [3,33] and their relationships with waves and wind characteristics. The term of fresh beach litter is defined as litter that has recently arrived or appeared on the beach and has been used by authors such as Williams and Tudor [29] and Asensio-Montesinos et al. [33] to monitor litter items. The methodology used in this work is easily applicable to other similar areas and the results obtained can be used to optimise present and expensive clean-up operations and to promote sound management actions to reduce beach litter pollution.

2. Study Area

The province of Cadiz faces the Atlantic Ocean and administratively belongs to the Andalusia region (Southwest Spain, Figure 1). It is a densely populated and tourist area with ca. 1.2 million inhabitants and 8 million stay-night visitors recorded in 2022, 80% of them located within 30 km from the shoreline [38], highlighting the local economic relevance of beach tourism linked to coastal attractiveness and good weather conditions recorded during most of the year [39].
The coastline, which is a mesotidal environment (tidal range between 2 and 4 m), shows a NW-SE orientation and is exposed to both westerly and easterly winds. Atlantic low-pressure systems, approaching from western directions, are responsible for most relevant rainy events, marine storms and both sea and swell waves which significant associated height values are usually lower than 1 m [40]. E to SE winds, originally formed in the Mediterranean Sea and channelled through the Gibraltar Strait, give rise to small sea waves because of the limited fetch. Due to the interaction between approaching wave fronts and the coastline, the prevailing littoral drift flows South-eastward. A secondary and limited opposite drift is also occasionally recorded [41]. The Guadalete River, which is 172 km in length, flows directly into the investigated coastal area and the San Pedro tidal creek is observed at the southern end of Valdelagrana spit (Figure 1).
The 7 coastal sectors investigated, belonging to El Puerto de Santa Maria municipality, presented different lengths (Table 1) and included both exposed and sheltered beaches that showed different orientations, morphological beach states and natural and geological constrains as the presence of rocky shores, a port (Puerto Sherry), two long jetties and several short groins (Figure 1). Concerning morphological and sedimentological characteristics, the investigated coastal sectors are characterised by fine to medium quartz-rich sediments that give rise to dissipative or intermediate morphodynamic beach states [35,42,43]. All sites belonged to the “urban beach” typology according to Williams and Micallef [23] terminology. Daily beach cleaning operations are manually carried out early in the morning by local authorities from March to October and mechanical clean-up operations during the April-September period [35].

3. Materials and Methods

3.1. Wave and Wind Data

Waves and wind data during the study period were obtained from "Puertos del Estado" website [44] and used to analyse the wave climate (significant wave height, peak wave period, and direction) and wind properties (wind speed and direction) during the high tide previous to each sampling data. To compute the relative average wind direction, the statistical method known as the “resultant vector average wind direction” [45] was applied, using R Studio as the analytical tool (https://www.r-project.org/, accessed October 2023).
Detailed fields of wave heights and propagation directions were computed by means of numerical simulations with the Simulating Waves Nearshore (SWAN) wave-propagation model [46], forced by different, representative offshore wave conditions. High-resolution topo-bathymetric and tidal conditions were provided by previous simulations by 2-D hydrodynamic model [47,48], within a calculation grid with a spatial horizontal resolution of 40 m, covering the entire Cadiz Bay and related marshes and creeks (E -6° 23’ 35.1’’ to -6° 8’ 47.0’’; N 36° 20’ 39.0’’ to 36° 37’ 56.5’’), based upon the Spanish Marine Hydrographic Institute (IHM) nautical charts 443A and 443B and direct topo-bathymetric measurements on the intertidal areas [49,50,51].

3.2. Sampling Method

The data used in this study were collected through two series of 10 surveys carried out from October 20th to October 29th, 2022 (first campaign, autumn), and from March 15th to March 24th, 2023 (second campaign, spring), at 7 different beaches in El Puerto de Santa Maria municipality. Dates were strategically chosen to minimize the influence of beachgoers on beach litter amount, i.e., were conducted not in correspondence of the tourist season. During weekdays, the beach cleaning company, which is responsible for beach clean-up operations along the coast of El Puerto de Santa Maria municipality, conducted litter collection during the morning low tide of working days, while the authors of the study conducted sampling during the weekends.
The aim of this study is focused on the determination of daily deposition rate due to forcing agents. For this reason, sampling was performed during low tide in the strandline, covering a variable length (Table 1) and a consistent width of 5 m. This specific area was chosen due to its propensity for accumulating the most abundant quantity of marine litter [35].
Collected beach litter was categorized following the Joint List of Litter Categories for Macrolitter Monitoring (items > 2.5 cm), which was developed by the MSFD Technical Group on Marine Litter [66] in collaboration with EU Member States and the Regional Sea Conventions [47]. Plastic tangled wet wipes were added to the classification list.

3.3. Data Analysis

To facilitate comparisons with other studies, the data were presented in terms of litter abundance and average litter accumulation rates per linear meter. Statistical analyses were performed with “R” computer program (http://www.r- project.org/, accessed October 2023). The Kruskal-Wallis test was employed to assess seasonal variations between “autumn” and “spring” seasons, considering the non-normal distribution of the data. Further analysis, incorporating both seasonal and spatial dimensions, utilized the Friedman test and Analysis of Variance ANOVA to discern variations across specific beach locations and seasons. The investigation extended to daily litter deposition rates, employing a two-way ANOVA to dissect the interactive influence of season and beach location on litter quantities.
Detailed insights were obtained from a beach-by-beach analysis, employing ANOVA and Kruskal-Wallis tests. Visualization of findings was facilitated through box plots. A Chi-Square test scrutinized the distribution of the 20 most frequent litter categories between campaigns, highlighting dominant litter categories.
Cluster analysis was used to represent the dissimilarity of beaches based on litter categories. Linear regression (or Spearman correlation for non-normal data) assessed the links between litter quantity, wave height and wind. Poisson regression probed deeper into factors influencing litter quantity, allowing to examine the interaction between wave direction, beach exposure and litter quantity; such results were supported by the Analysis of Deviance. The analytical approaches collectively offer an overview on the multifaceted dynamics governing beach litter, sorting out the relevance of seasonal, spatial, and environmental factors at surveyed beaches.

4. Results and Discussions

4.1. Beach Litter Spatial and Temporal Distribution

At the 7 surveyed beach sectors, in autumn 2022, a total of 4,199 items with a combined weight of 22.58 kg were recorded. This number increased to 4,634 items with a total weight of 22.68 kg in spring 2023.
The average litter abundance during autumn and spring was 0.28 ± 0.18 items m-1 (0.60 ± 0.30 items m⁻²) and 0.32 ± 0.45 items m-1 (0.21 ± 0.35 items m⁻²), respectively (Table 2). Litter composition and abundance displayed substantial variations from one location to another, with pronounced seasonal changes. The highest abundance was observed at La Puntilla beach, with 0.48 ± 0.25 items m-1 in autumn and 1.34 ± 0.61 items m-1 in spring. Conversely, the lowest abundance was recorded at sector 1 of Valdelagrana beach (0.08 ± 0.06 items m-1) during autumn and at El Castillito beach (0.08 ± 0.04 items m-1) during spring (Table 2).
In order to analyse the seasonal influence on beach litter quantities and content a statistical analysis was done. A Kruskal-Wallis test comparing "autumn" and "spring" seasons did not reveal any significant difference in litter quantities (p-value = 0.33). This suggests that litter abundance remained relatively consistent regardless of the season. Furthermore, also a Friedman test, which considered both seasonal variations and specific beach locations, showed no significant differences, indicating that the seasonality did not significantly affect litter quantities recorded in the different beaches (p-value = 0.70).
To gain a more comprehensive understanding of the seasonal impact on litter characteristics, the analysis was extended by incorporating daily litter deposition rates. Since the ANOVA comparing "autumn" and "spring" seasons did not yield significant results (p-value = 0.79), a two-way ANOVA was performed and showed that, despite season alone had no significant impact on litter quantities, a different trend was recorded considering all surveys at each beach. The interaction between season and beach location was highly significant (p-value for season= 0.66; p-value for location < 0.001; p-value for season: beach location < 0.001).
Further investigations were carried out through a beach-by-beach analysis, by means of ANOVA and Kruskal-Wallis tests based on the normality of the data. Data obtained revealed that “Valdelagrana 1” exhibited non-significant results (p-value = 0.08 seasonal differences (p-value < 0.05), with varying degrees of significance.
To visualize and compare these findings, box plots show the representation of the seasonal variations recorded at each beach (Figure 2).
Comparing litter data across different studies presents challenges due to variations in methodologies, sampling and measurement units [48]. Despite the methodology used in this paper deviates from many traditional studies based on single sampling campaigns generally focused on a standard beach sector 100 m in length (longshore) and different width (according to beach dimensions and water level at the time of the survey), the fact that most of the beach litter accumulates along the strandline, especially during the non-tourist season, i.e., when most of the litter found on the beach is stranded by waves and currents [35], enables to broadly compare the results obtained in this paper with other studies. Therefore, litter amounts recorded in this paper are consistent with values observed in the province of Cadiz by Asensio-Montesinos et al. [36] that carried out a single survey in autumn 2018 at 40 beaches along 100 m transects covering the entire beach surface from the water line position, at low tide, to the backshore. Such authors recorded an average value of 0.06 items m-2, with a range from 0.003 to 0.26 items m-2. Differences were observed at La Puntilla and Valdelagrana were 0.132 and 0.128 items m-1 were respectively surveyed, such values are lower than the ones recorded in this paper (Table 2). Additionally, data recorded in this paper align with observations from various Mediterranean coastlines, such as Ceuta, where Asensio-Montesinos et al. [55] conducted a total of three surveys on 12 beaches, recording litter quantities ranging from 0.212 items m-2 in February, 0.235 items m-2 in March, to 0.356 items m-2 in April 2019. Similarly, a study conducted in the province of Alicante (Spain), with a single survey carried out at 56 sites, found litter averages of 0.062 items m-2 in spring and 0.116 items m-2 in summer [56]. Higher litter amounts values were found in the Adriatic and Ionian Seas, where Vlachogianni et al. [57] conducted four campaigns every three months in 31 beaches across seven Mediterranean countries and observed average values of 0.67 items m-2, with a wide variation from 11 items m-2 recorded at a Croatian site to 0.08 items m-2 recorded in different beaches of Greece.
Beach litter abundance significantly varied from one location to another, and this seems to be a common trend due to various factors. This was also observed at Cape Town (South Africa), where deposition values widely varied among different beaches, ranging from 36 to 2961 items per day within 100 m of beach length [31]. In Indonesia, Cordova et al. [58] recorded stranded litter on 18 beaches through monthly samplings, obtaining much higher average values (2.69 ± 1.31 items m-2) compared to this paper. Kusui & Noda [59] carried out campaigns on 18 beaches in Japan and 8 beaches in Russia, using 10x10 m transects, i.e., a surface of 100 m2. The average litter amount was 341 items per 100 m2 in Japan and 21 items per 100 m2 in Russia.

4.2. Beach Litter Composition

Beach litter was composed of different materials (Figure 3), with plastic being the most abundant, representing 71.13% and 88.39% of the total in autumn and spring, respectively. The remaining materials included chemicals (0.92% - 0.02%), clothing (1.01% - 2.35%), glass and ceramics (1.46% - 3.13%), metals (1.85% - 4.04%), organic food (0.68% - 0.02%), paper (1.82% - 0.82%), rubber (19.19% - 0.56%) and wood (1.95% - 0.67%).
Litter diversity, expressed in terms of the number of categories, exhibited some differences between autumn and spring. Using the Joint List classification [52], were identified 90 and 107 litter categories for autumn and spring surveys, respectively and 117 considering both.
Based on the Joint List classification, the top 10 litter categories encountered for each season were (Autumn 2022: cigarette butts (1746 items); fragments of non-foamed plastic 2.5−50 cm (985 items); plastic crisps packets/sweets wrappers (297 items); fragments of foamed polystyrene 2.5−50 cm (181 items); other identifiable non-foamed plastic items (177 items); plastic string and cord (Ø<1cm) not from dolly ropes or unidentified (96 items); other identifiable foamed plastic items (85 items); plastic cotton bud sticks (68 items); plastic shopping/carrier/grocery bags (56 items); other processed wooden items 2.5−50 cm (51 items).
  • Spring 2023: plastic wet wipes (900 items); cigarette butts (514 items); plastic crisps packets/sweets wrappers (423 items); fragments of non-foamed plastic 2.5−50 cm (339 items); fragments of foamed polystyrene 2.5−50 cm (211 items); other plastic string and filaments exclusively from fishery (167 items); plastic shopping/carrier/grocery bags (150 items); pieces of glass/ceramic (glass or ceramic fragments ≥ 2.5 cm) (142 items); plastic tangled wet wipes (142 items); plastic fishing line (120 items).
  • Autumn 2022: cigarette butts (1746 items); fragments of non-foamed plastic 2.5−50 cm (985 items); plastic crisps packets/sweets wrappers (297 items); fragments of foamed polystyrene 2.5−50 cm (181 items); other identifiable non-foamed plastic items (177 items); plastic string and cord (Ø<1cm) not from dolly ropes or unidentified (96 items); other identifiable foamed plastic items (85 items); plastic cotton bud sticks (68 items); plastic shopping/carrier/grocery bags (56 items); other processed wooden items 2.5−50 cm (51 items).
  • Spring 2023: plastic wet wipes (900 items); cigarette butts (514 items); plastic crisps packets/sweets wrappers (423 items); fragments of non-foamed plastic 2.5−50 cm (339 items); fragments of foamed polystyrene 2.5−50 cm (211 items); other plastic string and filaments exclusively from fishery (167 items); plastic shopping/carrier/grocery bags (150 items); pieces of glass/ceramic (glass or ceramic fragments ≥ 2.5 cm) (142 items); plastic tangled wet wipes (142 items); plastic fishing line (120 items).
Beach litter can have both marine and terrestrial origins. “Marine origin” refers to litter generated directly in the sea through activities like fishing, offshore gas/oil extraction and cruises. In contrast, “terrestrial origin” is linked to litter stemming from activities on land, such as beach tourism, or items transported to the coast by wind, rainwater, rivers, etc. [5]. Determining the exact source of beach litter is complex and often uncertain [60]. Therefore, in this paper, items were categorized by use rather than source by means of the Joint List subcategories [61]. These categories include construction, clothing, fishing, food, healthcare, personal care, recreation, smoking and undefined. The highest percentage, represented by the “Undefined Use” category in both campaigns (Figure 4), reflects the difficulty in the determination of the specific use of many items. In the first campaign the most common category was the one related to smoking and, in the spring campaign, personal hygiene items, due to wet wipes, constituted the second-highest category.
Plastic was always the dominant material, confirming a global trend [62]. It is also worth noting that many of the encountered categories aligned with previous research conducted along the coast of different European countries [63], in the province of Cadiz, Spain [36,37], in continental Portugal, and in the Azores Islands [64], among others.
The great abundance of cigarette butts, which constituted the most prevalent items in this study, falls in line with the findings of numerous other studies [25,35,36,37,65,66,67,68], highlighting their ubiquitous presence along coastal environments. They were identified a total of over 2000 cigarette butts, with 1746 collected in the autumn season and 514 in the spring season. It is important to mention that this paper was exclusively focused on cigarette butts that visually exhibited degradation levels clearly linked to items stranded on the beach by waves and currents. These observations are in accordance with the degradation levels proposed by Araújo et al. [69] and concerns level 3 of their classification, i.e. the cigarette butt retains its fibrous filter with some signs of wear and discoloration, and with level 4, where only the compacted filter fibres are found, lacking the outer paper coating. An explanation of the differences in the amount of cigarette butts observed in autumn and spring is probably related to the fact that the beaches of El Puerto de Santa Maria, during the summer months, experience a significant flux of tourists that leaves behind a large amount of cigarette butts on the beach. This behaviour aligns with the findings of Araújo [70] and Asensio-Montesinos et al. [36], who emphasize that the frequency of beachgoers is one of the key factors in determining the accumulation of cigarette butts on beaches. Such small, lightweight debris can float for a long period in the sea [71]. Subsequently, marine conditions and tides may gradually bring the cigarette butts back to the beach or cause them to sink into the sea floor and, when they get stranded on the beach, often elude mechanical beach cleaning operations; because of their small dimensions they go through the sieves used [72]. All the above reflects the influence of summer tourism on cigarette butts presence in autumn [70], and their low frequency observed in spring is linked to their degradation and probably their transport offshore [36] because of marine storms that greatly affect Cadiz beaches during the November-February period [41].
Finally, the great abundance of wet wipes, especially at La Puntilla beach, is a matter of notable concern. They presented huge seasonal differences as they were almost absent in autumn and became the prevalent item in spring. The exact causes of such relevant variations remain unknown. They are surely linked to the Guadalete River [35,36] that recollect wastewaters from different cities, among them El Puerto de Santa Maria, which water supplies (and associated litter discharge) increase during fall and winter seasons as observed at other areas by Poeta et al. [73]. Another cause may be the malfunctioning of the sewage plants in the Bay of Cadiz [67].
Concerning the 20 most frequent observed litter categories, a Chi-Square test was employed to compare their distribution during the two campaigns, revealing highly significant differences (P<0.001). "Plastic wet wipes" and "cigarette butts" notably emerged as the most prominent categories (Figure 5).
Finally, the Cluster analysis showed the dissimilarity of all beaches, according to litter category content variations observed in the two campaigns, highlighting the relevance of the season (Figure 6).

4.3. Hydrodynamic and Wind Conditions

Wind speed and direction and significant wave height and direction, were presented in Table 4. Wind principally blows during the autumn survey from the 3rd quadrant with an average value of 3.8 m/s and in spring from the 4th quadrant with an average value of 4.6 m/s (Table 4). During autumn and spring surveys wave fronts broadly reflected wind conditions and prevalently approached from the 3rd y 4th quadrant, respectively. Wave height in autumn ranged from 0.71 to 1.70 m (average = 1.08 m) and in spring from 0.70 to 1.74 m (average= 1.17 m). Wave period ranged a lot and higher values, corresponding with swell wave conditions, were observed in spring (Table 4).
Recorded significant wave heights during the two monitoring surveys were propagated and the case of an offshore significant wave height of 1.4 m and 5.7 s associated period from the pen boundary condition (Figure 7). Wave fronts recorded relevant diffraction and refraction processes and arrived at investigated beaches with small approaching angles and almost normally at La Puntilla and Valdelagrana sector 2. Significant wave height values greatly decreased during wave propagation process (Figure 7).
Higher values (>1 m) were observed at exposed beaches, i.e., La Calita and La Muralla and, partially, at Valdelagrana 2 (ca. 0.80 m); low values were recorded at La Puntilla (Hs = 0.40 m) and very low values (Hs = 0.20 m) at El Aculadero, El Castillito and Valdelagrana 1. Despite the exact approaching direction of offshore wave fronts, longshore transport took place according to vectors presented in Figure 7, i.e. from western to eastern directions so most of wave energy is transmitted along the orthogonals that arrive normally at La Calita, La Muralla, Valdelagrana 2 and La Puntilla. Therefore, La Puntilla works as a “coul de sac” area [75] (Anfuso et al., 2008), which it is limited by the Guadalete River jetties to the South and, partially, by a short groin to the North.
Overall, data analysis revealed no clear correlations between litter quantity and wave height, as depicted in Figure 8. However, specific patterns emerged: concerning La Calita and La Muralla, the two most exposed beaches, peaks in litter abundance were observed with an increase in wave height, regardless of its approaching direction. In contrast, more sheltered beaches tended to accumulate more litter when affected by waves from the west.
Regarding La Puntilla beach, the great amount of litter items recorded are probably accumulated by longshore transport and wave energy that converge at such area as observed in Figure 7.
Additionally, during the second campaign, a two-day time lag was observed between energetic wave events and an increase in litter quantity. In Valdelagrana, both sectors demonstrated relatively similar litter accumulation rates, with Sector 2 (more exposed) receiving higher quantities.
To validate these observations, several statistical tests were conducted. Linear regression, replaced by Spearman correlation in case of non-normal data, was employed to examine the relationship between litter quantity and wave height. Considering the observed time lag and insights from other studies [76], tests were performed using the significant wave height corresponding to the sampling day, as well as the data recorded one and two days before of the survey. For the first campaign, a significant relationship was found between the same-day wave height and litter content at El Castillito (p-value = 0.02) and La Puntilla (p-value = 0.01). A significant relationship was also observed between the wave recorded two days before the survey and litter amount at Valdelagrana 1 (p-value = 0.03). In the second campaign, a p-value < 0.05 was obtained comparing wave height recorded two days before the survey and litter amount at La Puntilla (p-value = 0.02) (Figure 9). Analysis of combined data from both campaigns yielded no significant relationships.
The relationship between wind speed and litter quantity was also investigated but non-significant correlation was found (Figure 10).
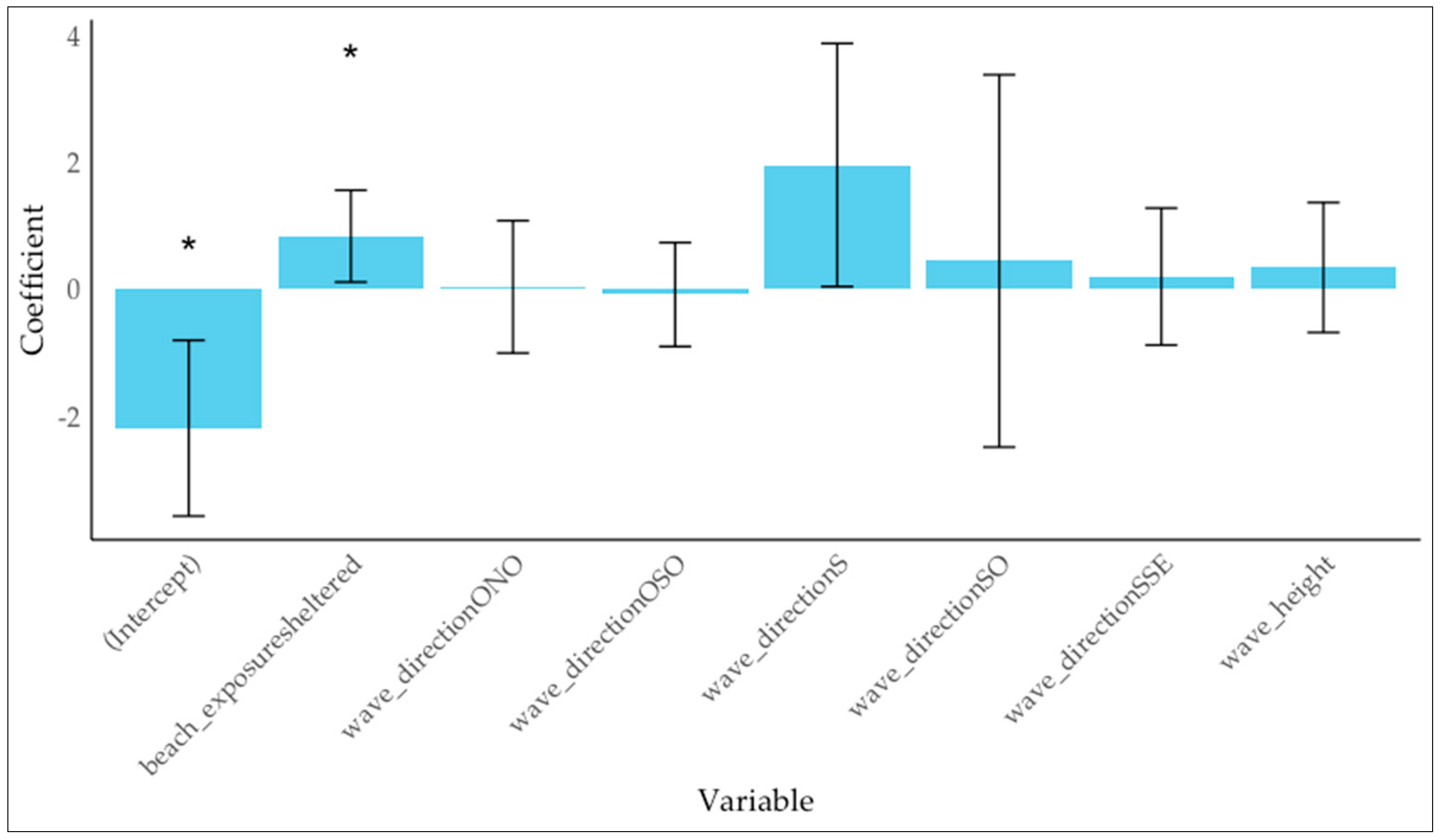
Last, a Poisson regression was conducted to examine the interaction between wave direction, beach exposure and litter quantity. Results suggest that while wave height does not significantly influence litter quantity, the sheltered category and south wave approaching direction achieved p-values of 0.02 and 0.04, respectively. The Analysis of Deviance supports the hypothesis that beach exposure is a significant predictor of the litter rate (Figure 11).
Contrasting results can be observed in other studies focused on the relationships between litter deposition rates and hydrodynamic variables. For example, Eriksson et al. [30] conducted daily collections of marine stranded debris in two Sub-Antarctic islands, i.e., Herd and Macquarie islands, over four months to establish the physical components related to litter deposition rates. The results obtained were inconsistent: through a multiple regression analysis, they observed as the combined effects of the maximum tidal height and wind speed and direction were associated with daily accumulation rate differences on Macquarie Island but not on Heard Island. Other studies, which employed more complex analyses and/or numerical models, reported positive correlations between the before mentioned variables. As an example, Prevenios et al. [76], based on accumulation rates obtained by means of surveys carried out every 15 days over 16 months, found a significant relationship between deposition rates and wave height, using the square of the sum of wave heights from the days prior to the sampling.
Indeed, relationships between wave characteristics and litter deposition rates are complex and further investigations are needed to fully understand them and the results obtained in this paper offer valuable insights that can be used in future studies.

5. Final Considerations

The study examined beach litter distribution across 7 beaches in Cadiz Bay, Southwest Spain. In autumn 2022, 4199 items weighing 22.58 kg were found and litter amount slightly increased in spring 2023 showing 4634 items with a total weight of 22.68 kg. The average litter abundance in autumn was 0.28 ± 0.18 items m⁻¹ (0.6 ± 0.3 items m⁻²) and in spring 0.32 ± 0.45 items m⁻¹ (0.21 ± 0.35 items m⁻²). The highest abundance occurred at La Puntilla beach, with 0.48 ± 0.25 items m⁻¹ in autumn and 1.34 ± 0.61 items m⁻¹ in spring, while the lowest was at Valdelagrana sector 1 (autumn: 0.08 ± 0.06 items m⁻¹) and El Castillito (spring: 0.08 ± 0.04 items m⁻¹).
This investigation highlighted that, overall, litter quantities remained almost constant during the two periods, but significant variations were observed at places. Despite methodological disparities with previous studies, the recorded litter amounts aligned with previous observations in the province of Cadiz and other Mediterranean coastlines. Plastic emerged as the most abundant item, representing 71.13% and 88.39% of the total in autumn and spring, respectively; such values align with global trends and findings from other European and Mediterranean coastlines.
Cigarette butts (> 2000 units) were the dominant items. Their abundance varied between autumn and spring, reflecting the influence of summer tourism on litter accumulation/characteristics in autumn. Wet wipes, notably abundant at La Puntilla beach, exhibited significant seasonal differences, potentially influenced by river water and sewage discharges.
In addition, items were categorized according to their use utilizing the Joint List subcategories. The predominance of the “Undefined Use” category in both seasons (Figure 4) reflected the difficulty in determining the specific use of many items. The second place was occupied by “smoking-related” and “personal hygiene” items for autumn and spring surveys, respectively.
Hydrodynamic and wind conditions were explored in relation to litter abundance, with varying patterns observed across the different beaches. The study highlighted the complexity of the relationships between waves and litter deposition rates and characteristics; further investigations are needed to full understand such relationships in order to optimise clean-up operations.
Within this paper it has been confirmed that beach litter amount varies significantly from one location to another because of several factors. This consideration emphasizes the importance of developing customized cleaning strategies that consider both seasonal variations and the unique environmental characteristics of each beach.
Results obtained in this study allow optimising coastal clean-up efforts throughout the different seasons analysed. For instance, addressing cigarette butts accumulation requires different methods in autumn (when they are very abundant) compared to spring, such as the implementation of manual cleaning that is more effective in the recollection of small items than mechanical clean-up programs.
It is critical to avoid single-use items, promote recycling, and invest in environmental education. A cultural shift towards responsible disposal is essential, encouraging environmental awareness to prevent littering, particularly cigarette butts and wet wipes, which should be properly disposed of to avoid ending up in sewage.
Although the immediate impact may not be striking, continued efforts are needed to understand and manage waste dynamics more effectively.
Furthermore, improving wastewater treatment systems is essential to prevent specific items (i.e. wet wipes) from reaching the environment. The significant influence of tourism, evidenced by the prevalence of items like cigarette butts, emphasizes the need for targeted interventions during peak tourist seasons.
Beach litter is not only an environmental concern but also an economic burden affecting states and citizens. The “More Trash More Cash” report [77] sheds light on the significant costs that the Spanish municipalities and taxpayers have to pay, amounting to 744 million Euros annually (to clean-up packaging litter on streets and coastal areas).
Overall, this research contributes valuable data that for policymakers, environmentalists and local authorities to develop effective strategies to mitigate the impact of marine litter on coastal ecosystems. The methodology employed here is transferable to similar coastal areas, providing a basis for optimizing clean-up operations and promoting sustainable management practices. As marine litter continues to pose significant challenges globally, ongoing research efforts are crucial for developing evidence-based solutions and fostering a cleaner, healthier marine environment.

Author Contributions

“Conceptualization, G.A. and F.A.− M.; methodology, O.A., C.J.G., J.C.G.R.; software, O.A., C.J.G., E.C.; validation, O.A., C.J.G. and G.A.; formal analysis, E.C.X.X.; investigation, J.C.G.R., E.C.; resources, F.A.− M.; data curation, C.R.C., E.C., ; writing—original draft preparation, J.C.G.R., G.A., E.C.; writing—review and editing, J.C.G.R., E.C., J.C.G.R.; supervision, G.A.; All authors have read and agreed to the published version of the manuscript.” Please turn to the CRediT taxonomy for the term explanation. Authorship must be limited to those who have contributed substantially to the work reported.

Funding

This research received no external funding.

Institutional Review Board Statement

Not applicable.

Informed Consent Statement

Not applicable.

Data Availability Statement

Not applicable.

Acknowledgments

Special thanks to the beach cleaning company Innovia Coptalia for their help with the sampling. This work is a contribution to the PAI Research Group RNM-373 of Andalusia, Spain.

Conflicts of Interest

The authors declare that they have no conflicts of interest.

Appendix A

Table A1. Litter density (weight of items m-1 and weight of items m-2) at surveyed beach.
Table A1. Litter density (weight of items m-1 and weight of items m-2) at surveyed beach.
Beach Weight of items m-1 Weight of items m-2
Autumn Spring Total Autumn Spring Total
(averege ± SD) (averege ± SD)
La Calita 1.60 ± 0.94 0.64 ± 0.57 1.64 ± 1.86 0.32 ± 0.19 0.13 ± 0.11 0.22 ± 0.18
La Muralla 0.52 ± 0.51 0.34 ± 0.29 0.71 ± 1.02 0.24 ± 0.12 0.07 ± 0.06 0.16 ± 0.13
El Aculadero 0.54 ± 0.50 0.52 ± 0.50 0.90 ± 1.54 0.33 ± 0.27 0.10 ± 0.10 0.22 ± 0.23
El Castillito 1.39 ± 1.62 0.87 ± 1.15 1.72 ± 2.71 0.32 ± 0.30 0.17 ± 0.23 0.24 ± 0.27
La Puntilla 2.83 ± 1.87 6.49 ± 3.94 9.35 ±19.22 0.57 ± 0.37 1.30 ± 0.79 0.93 ± 0.71
Valdelagrana 1 1.61 ± 1.52 0.70 ± 0.96 1.59 ± 2.13 0.32 ± 0.30 0.14 ± 0.19 0.23 ± 0.26
Valdelagrana 2 0.70 ± 0.94 1.65 ± 1.13 2.42 ± 4.90 0.14 ± 0.19 0.33 ± 0.23 0.23 ± 0.22
Total 1.31 ± 0.83 1.60 ± 2.20 3.01 ± 3.02 0.32 ± 0.13 0.32 ± 0.44 0.28 ± 0.27

References

  1. UNEP. Marine Litter: An analytical overview. UNEP: Nairobi, Kenya, 2005; p. 47. Available online: www.unep.org (accessed November 2023).
  2. Galgani, F.; Leaute, J.P.; Moguedet, P.; Souplet, A.; Verin, Y.; Carpentier, A.; Goraguer, H.; Latrouite, D.; Andral, B.; Cadiou, Y. Litter on the sea floor along European coasts. Mar. Pollut. Bull. 2000, 40, 516–527. [CrossRef]
  3. Galgani, F.; Hanke, G.; Werner, S.; DeVrees, L. Marine litter within the European Marine Strategy Framework Directive. ICES J. Mar. Sci. 2013, 70, 1055–1064. [CrossRef]
  4. Seas at Risk. Circular economy: reducing marine litter at its source. 2 pp. www.seas-at-risk.org February 2019. 2016.
  5. Allsopp, M.; Walters, A.; Santillo, D.; Johnston, P. Plastic Debris in the World’s Oceans Greenpeace. Open Access Library J. 2006, 1, 32.
  6. Ruiz, I.; Rubio, A.; Abascal, A. J.; Basurko, O. C. Modelling floating riverine litter in the south-eastern Bay of Biscay: a regional distribution from a seasonal perspective. Ocean Sci. 2022, 18, 1703–1724. [CrossRef]
  7. Nachite, D.; Maziane, F.; Anfuso, G.; Williams, A.T. Spatial and temporal variations of litter at the Mediterranean beaches of Morocco mainly due to beach users. Ocean. Coast. Manag. 2019, 179, 104846. [CrossRef]
  8. Coe, J.M.; Rogers, D.B. Marine Debris: Sources, Impacts and Solutions; Springer: New York, NY, USA, 1997; p. 432. [Google Scholar].
  9. Ryan, P.G. The importance of size and buoyancy for long-distance transport of marine debris. Environ. Res. Lett. 2015, 10, 084019.
  10. Convey, P.; Barnes, D.K.; Morton, A. Debris accumulation on oceanic island shores of the Scotia Arc, Antarctica. Polar Biol. 2002, 25, 612–617. [CrossRef]
  11. Anfuso, G.; Bolívar-Anillo, H.J.; Asensio-Montesinos, F.; Manzolli, R.P.; Portz, L.; Daza, D.A.V. Beach litter distribution in Admiralty Bay, King George Island, Antarctica. Mar. Pollut. Bull. 2020, 160, 111657. [CrossRef]
  12. Chiba, S.; Saito, H.; Fletcher, R.; Yogi, T.; Kayo, M.; Miyagi, S.; Ogido, M.; Fujikura, K. Human footprint in the abyss: 30 year records of deep-sea plastic debris. Mar. Policy 2018, 96, 204–212. [CrossRef]
  13. Aguilar, R.; Marín, P.; Álvarez, H.; Blanco, J.; Sánchez, N. Plastic in the Deep: An Invisible Problem. How the Seafloor Becomes a Plastic trap; Oceana: Washington, DC, USA, 2020; p. 24.
  14. Forrester, D.J.; White, F.H.; Woodard, J.C.; Thompson, N.P. Intussusception in a Florida manatee. J. Wildl. Dis. 1975, 11 (4), 566–568. [CrossRef]
  15. Cadee, G.C. Seabirds and floating plastic debris. Mar. Pollut. Bull. 2002, 44 (11), 1294–1295. [CrossRef]
  16. Romeo, T.; Pietro, B.; Pedà, C.; Consoli, P.; Andaloro, F.; Fossi, M.C.;. First evidence of presence of plastic debris in stomach of large pelagic fish in the Mediterranean Sea. Mar. Pollut. Bull. 2015, 95 (1), 358–361. [CrossRef]
  17. Walker, T.R.; Reid, K.; Arnould, J.P.; Croxall, J.P. Marine debris surveys at bird island, south Georgia 1990–1995. Mar. Pollut. Bull. 1997, 34 (1), 61–65. [CrossRef]
  18. Barnes, D.K. Biodiversity: invasions by marine life on plastic debris. Nature. 2002, 416 (6883), 808.
  19. Kiessling, T.; Gutow, L.; Thiel, M. Marine Litter as Habitat and Dispersal Vector. In Marine Anthropogenic Litter; Springer: Cham, Switzerland, 2015; pp. 141–181.
  20. Rochman, C.M.; Hentschel, B.T.; Teh, S.J. Long-term sorption of metals is similar among plastic types: implications for plastic debris in aquatic environments. PLoS One. 2014, 9(1): e85433. [CrossRef]
  21. Lau, W. W. Y.; Shiran, Y.; Bailey, R. M.; Cook, E.; Stuchtey, M. R.; Koskella, J.; Velis, C. A.; Godfrey, L.; Boucher, J.; Murphy, M. B.; Thompson, R. C.; Jankowska, E.; Castillo Castillo, A.; Pilditch, T. D.; Dixon, B.; Koerselman, L.; Kosior, E.; Favoino, E.; Gutberlet, J.; Baulch, S.; Atreya, M. E.; Fischer, D.; He, K. K.; Petit, M. M.; Sumaila, U. R.; Neil, E.; Bernhofen, M. V.; Lawrence, K.; Palardy, J. E. Evaluating Scenarios toward Zero Plastic Pollution. Science 2020, 369 (6510), 1455– 1461. [CrossRef]
  22. Krelling, A.P.; Williams, A.T.; Turra, A. Differences in perception and reaction of tourist groups to beach marine debris that can influence a loss of tourism revenue in coastal areas. Mar. Policy 2017, 85, 87–99. [CrossRef]
  23. Williams, A.T.; Micallef, A. Beach Management. Principles and Practice; Earthscan: London, UK, 2009; p. 480.
  24. Williams, A.T.; Pond, K.; Ergin, A.; Cullis, M.J. The hazards of beach litter. In Coastal Hazards. Springer, Dordrecht. 2013, pp. 753–780.
  25. Martinez-Ribes, L.; Basterretxea, G.; Palmer, M.; Tintoré, J. Origin and abundance of beach debris in the Balearic Islands. Sci. Mar. 2007, 71 (2), 305–314. [CrossRef]
  26. Hong, S.; Lee, J.; Jang, Y.C.; Kim, Y.J.; Kim, H.J.; Han, D.; Hong, S.H.; Kang, D.; Shim,W.J. Impacts of marine debris on wild animals in the coastal area of Korea. Mar. Pollut.Bull. 2013, 66, 117–124. [CrossRef]
  27. Driedger, A.G.; Dürr, H.H.; Mitchell, K.; Van Cappellen, P. Plastic debris in the Laurentian Great Lakes: a review. J. Gt. Lakes Res. 2015, 41 (1), 9–19. [CrossRef]
  28. Botero C.M.; Palacios, M.A.; Souza Filho J.R., Milanes C.B. . Beach litter in three South American countries: A baseline for restarting monitoring and cleaning after COVID-19 closure. Mar. Pollut. Bull. 2023, 191, 114915. [CrossRef]
  29. Williams, A.T.; Tudor, D. Litter Burial and Exhumation: Spatial and Temporal Distribution on a Cobble Pocket Beach. Mar. Pollut. Bull. 2001, 42, 1031–1039. [CrossRef]
  30. Eriksson, C.; Burton, H.; Fitch, S.; Schulz, M.; van den Hoff, J. Daily accumulation rates of marine debris on sub-Antarctic island beaches. Mar. Pollut. Bull. 2013, 66, 199–208. [CrossRef]
  31. Chitaka, T.Y.; von Blottnitz, H. Accumulation and characteristics of plastic debris along five beaches in Cape Town. Mar. Pollut. Bull. 2019, 138, 451–457.
  32. Kako, S.I.; Isobe, A.; Magome, S. Sequential monitoring of beach litter using webcams. Mar. Pollut. Bull. 2010, 60 (5), 775–779. [CrossRef]
  33. Asensio-Montesinos, F.; Anfuso, G.; Williams, A.T.; Sans-Lázaro, C. Litter behaviour on Mediterranean cobble beaches, SE Spain. Mar. Pollut. Bull. 2021a, 173 (2021) 113106. [CrossRef]
  34. Instituto de Estadística y Cartografía de Andalucía https://www.juntadeandalucia.es/institutodeestadisticaycartografia/turismo/, (accessed September 2023).
  35. Williams, A.T.; Randerson, P.F.; Di Giacomo, C.; Anfuso, G.; Macias, A.; Perales, J.A. Distribution of beach litter along the coastline of Cádiz, Spain. Mar. Pollut. Bull. 2016, 107, 77–87. [CrossRef].
  36. Asensio-Montesinos, F.; Anfuso, G.; Ramírez, M.O.; Smolka, R.; Sanabria, J.G.; Enríquez, A.F.; Arenas, P.; Bedoya, A.M. Beach litter composition and distribution on the Atlantic coast of Cádiz (SW Spain). Reg. Stud. Mar. Sci. 2020a, 34, 101050. [CrossRef].
  37. Asensio-Montesinos, F.; Ramírez, M.O.; González-Leal, J.M.; Carrizo, L.; Anfuso, G. Characterization of plastic beach litter by Raman spectroscopy in South-western Spain. Sci. Total Environ. 2020b, 744, 140890. [CrossRef]
  38. INE, 2023. Coyuntura Turística Hotelera (EOH/IPH/IRSH). Notas de Prensa 22 septiembre de 2023, Instituto Nacional de Estadística, Madrid. 12p.
  39. Mooser, A.; Anfuso, G.; Mestanza-Ramón, C.; Williams, A.T. Management Implications for the Most Attractive Scenic Sites along the Andalusia Coast (SW Spain). Sustainability 2018, 10, 1328. [CrossRef]
  40. Anfuso, G.; Rangel Buitrago, N.; Cortés Useche, C.; Iglesias Castillo, B.; Gracia, F.J. Characterization of storm events along the Gulf of Cadiz (eastern central Atlantic Ocean). Int. J. Climatol. 2016, 36, 3690–3707. [CrossRef]
  41. Anfuso, G.; Gracia, F.J. Morphodynamic characteristics and short-term evolution of a coastal sector in SW Spain: implications for coastal erosion management. J. Coast. Res. 2005, 1139–1153. [CrossRef]
  42. Wright, L.D.; Short, A.D. Morphodynamic variability of beaches and surfzones: a synthesis. Mar. Geol. 1984, 56, 92–118.
  43. Masselink, G.; Short, A.D. The effect of tide range on beach morphodynamics and morphology: a conceptual beach model. J. Coast. Res. 1993, 9, 785–800.
  44. Puertos del Estado www.puerto.es (accessed November 2023).
  45. Grange, S. K. Technical note: Averaging wind speeds and directions Development of Data Analytic Approaches for Air Quality Data View project Analysis of Air Quality Data View project. 2014. [CrossRef].
  46. Booij, N.; Ris, R. C.; Holthuijsen, L. H. A third-generation wave model for coastal regions: 1. Model description and validation. J. Geophys. Res. Oceans. 1999, 104, 7649-7666. [GoogleScolar].
  47. González, C. J.; Izquierdo, A.; Álvarez, O.; Bruno, M.; Mañanes, R.; Czerwinski, I. A.; Zurita F. P. Hazard assessment of bacterial contamination in coastal waters using a metocean modeling system: application to bivalve mollusk harvesting areas in Cadiz Bay (SW Spain). Ocean and Coastal Management. 2018, 166, 31-39. [CrossRef]
  48. Jiménez-Rincón, J. A.; González, C. J.; Izquierdo, A.; Álvarez, O. Changes in tide-induced asymmetries in a tidal creek by presence of intertidal flats: The San Pedro Channel (Cadiz Bay). Estuarine, Coastal and Shelf Science. 2023, 295, 108572. [CrossRef]
  49. Álvarez, O.; Izquierdo, A.; Tejedor, B.; Mañanes, R.; Tejedor, L. Kagan B. A. The influence of sediment load on tidal dynamics, a case study: Cadiz Bay. Estuar. Coast Shelf Sci. 1999, 48 (4), 439-450. [CrossRef]
  50. Vidal, J.; Tejedor, B. Study of the dynamic behaviour of the Sancti Petri channel, Southwest coast of Spain. Cienc. Mar. 2005, 31 (4), 617-626. [CrossRef]
  51. González, C. J.; Álvarez, O.; Reyes, J.; Acevedo, A. Two-dimensional modeling of hydrodynamics and sediment transport in the San Pedro tidal creek (Cadiz Bay): morphodynamical implications. Cienc. Mar. 2010, 36 (4), 393–412. [CrossRef]
  52. EA (Environment Agency)/NALG (National Aquatic Litter Group). Assessment of Aesthetic Quality of Coastal and Bathing Beaches. Monitoring Protocol and Classification Scheme. 2000.
  53. Fleet, David.; Vlachogianni, T.; Hanke, G. European Commission. Joint Research Centre. Joint list of litter categories for marine macro-litter monitoring : manual for the application of the classification system. Publications Office of the European Union. 2021.
  54. Anfuso, G.; Lynch, K.; Williams, A.T.; Perales, J.A.; Pereira da Silva, C.; Nogueira Mendes, R.; Maanan, M.; Pretti, C.; Pranzini, E.; Winter, C.; et al. Comments on Marine Litter in Oceans, Seas and Beaches: Characteristics and Impacts. Ann. Mar. Biol. Res. 2015, 2, 1008–1012. [Google Scholar].
  55. Asensio-Montesinos, F.; Anfuso, G.; Aguilar-Torrelo, M. T.; Ramírez, M. O. Abundance and temporal distribution of beach litter on the coast of Ceuta (North Africa, Gibraltar strait). Water. 2021b, 13(19). [CrossRef]
  56. Asensio-Montesinos, F.; Anfuso, G.; Williams, A. Beach litter distribution along the western Mediterranean coast of Spain. Mar. Pollut. Bull. 2019a, 141, 119–126. [CrossRef]
  57. Vlachogianni, T.; Fortibuoni, T.; Ronchi, F.; Zeri, C.; Mazziotti, C.; Tutman, P.; Mandic ́, M. Marine litter on the beaches of the Adriatic and Ionian Seas: An assessment of their abundance, composition and sources. Mar. Pollut. Bull. 2018, 131, 745–756. [CrossRef].
  58. Cordova, M. R.; Iskandar, M. R.; Muhtadi, A.; Nurhasanah, Saville, R.; & Riani, E. Spatio- temporal variation and seasonal dynamics of stranded beach anthropogenic debris on Indonesian beach from the results of nationwide monitoring. Mar. Pollut. Bull. 2022 182. [CrossRef]
  59. Kusui, T.; Noda, M. International survey on the distribution of stranded and buried litter on beaches along the Sea of Japan. Mar. Pollut. Bull. 2003, 47(1–6), 175–179. [CrossRef]
  60. Mira Veiga, J.M.; Fleet, D.; Kinsey, S.; Nilsson, P.; Vlachogianni, T.; Werner, S.; Galgani, F.; Thompson, R.C.; Dagevos, J.; Gago, J.; Sobral, P.; Cronin, R. Identifying Sources of Marine Litter. MSFD GES TG Marine Litter Thematic Report. JRC Technical Report. 2016, EUR 28309. [CrossRef].
  61. Online Photo Catalogue of the Joint List of Litter Categories https://mcc.jrc.ec.europa.eu/main/photocatalogue.py?N=41&O=457&cat=all. (Accessed November 2023).
  62. Galgani, F.; Hanke, G.; Maes, T. Global distribution, composition and abundance of marine litter. Marine Anthropogenic Litter. 2015, 29–56. [CrossRef]
  63. Addamo, A. M.; Laroche, P.; Hanke, G. Top Marine Beach Litter Items in Europe A review and synthesis based on beach litter data. Publications Office of the European Union. 2017. [CrossRef].
  64. Iglesias, I.; Lupiac, M.; Vieira, L. R.; Antunes, S. C.; Mira-Veiga, J.; Sousa-Pinto, I.; Lobo, A. Socio-economic factors affecting the distribution of marine litter: The Portuguese case study. Mar. Pollut. Bull.. 2023, 193. [CrossRef]Surfrider Foundation. https://www.surfrider.org/pages/beach-cleanup-activist-guide (Accessed November 2023. [CrossRef]
  65. Oigman-Pszczol, S.S.; Creed, J.C. Quantification and classification of marine litter on beaches along Armação dos Búzios, Rio de Janeiro, Brazil. J. Coast. Res. 2007, 421–428.
  66. Topçu, E.N.; Öztürk, B. Abundance and composition of solid waste materials on the western part of the Turkish Black Sea seabed. Aquat. Ecosyst. Health Manag. 2010, 13, 301–306. [CrossRef]
  67. Kungskulniti, N.; Charoenca, N.; Hamann, S.; Pitayarangsarit, S.; Mock, J. Cigarette Waste in Popular Beaches in Thailand: High Densities that Demand Environmental Action. Int. J. Environ. Res. Public Health 2018, 15, 630. [CrossRef]
  68. Araújo, M.C.B.; Costa, M.F.; Silva-Cavalcanti, J.S.; Duarte, A.C.; Reis, V.; Rocha-Santos, T.A.; Costa, J.P.; Girão, V. Different faces of cigarette butts, the most abundant beach litter worldwide. Environ. Sci. Pollut. 2022, Res., 29, pp. 48926-48936. [CrossRef]
  69. Araújo, M.C.B.; Costa, M.F. A critical review of the issue of cigarette butt pollution in coastal environments. Environ. Res. 2019, 172, 137–149. [CrossRef]
  70. Engler, R. E. The complex interaction between marine debris and toxic chemicals in the ocean. Environ. Sci. Technol. 2012, 46, 12302–12315. [CrossRef]
  71. Ariza, E.; Jiménez, J. A.; Sardá, R. Seasonal evolution of beach waste and litter during the bathing season on the Catalan coast. Waste Management. 2008, 28(12), 2604–2613. [CrossRef]
  72. Poeta, G.; Conti, L.; Malavasi, M.; Battisti, C.; Acosta, A.T.R. Beach litter occurrence in sandy littorals: The potential role of urban areas, rivers and beach users in central Italy. Estuar. Coast. Shelf Sci. 2016, 181, 231–237. [CrossRef]
  73. Plan Hidrológico de la demarcación hidrográfica del Guadalete y Barbate 2022-2027; Junta de Andalucía. 2021.
  74. Anfuso, G.; Benavente, J.; Del Río, L.; Gracia, F. J. An approximation to short-term evolution and sediment transport pathways along the littoral of Cadiz Bay (SW Spain). Environmental Geology. 2008, 56(1), 69–79. [CrossRef]
  75. Prevenios, M.; Zeri, C.; Tsangaris, C.; Liubartseva, S.; Fakiris, E. ; Papatheodorou, G. Beach litter dynamics on Mediterranean coasts: Distinguishing sources and pathways. Mar. Pollut. Bull. 2018, 129(2), 448–457. [CrossRef]
  76. Changing Markets Foundation. More Trash, More Cash. Who is really behind the plastic crisis in Spain? www.changingmarkets.org. 2021.
Figure 1. Location map showing the seven study sites with wave rose for Cadiz area, observation period: 2012–2023 (source: www.puertos.es, accessed October 2023).
Figure 1. Location map showing the seven study sites with wave rose for Cadiz area, observation period: 2012–2023 (source: www.puertos.es, accessed October 2023).
Preprints 92202 g001
Figure 2. Box plots of beach litter abundance according to season. Boxes enclose 50% of data, associated standard deviations are represented with whiskers, averages with red dots and median values with black lines.
Figure 2. Box plots of beach litter abundance according to season. Boxes enclose 50% of data, associated standard deviations are represented with whiskers, averages with red dots and median values with black lines.
Preprints 92202 g002
Figure 3. Beach litter composition for autumn and spring surveys.
Figure 3. Beach litter composition for autumn and spring surveys.
Preprints 92202 g003
Figure 4. Beach litter classified according to Use categories proposed by Joint List of Litter Categories for Macrolitter Monitoring.
Figure 4. Beach litter classified according to Use categories proposed by Joint List of Litter Categories for Macrolitter Monitoring.
Preprints 92202 g004
Figure 5. The bar chart illustrates the seasonal differences in the number of litter categories. Each bar represents a specific litter category and their length of the bars indicates the difference between seasons.
Figure 5. The bar chart illustrates the seasonal differences in the number of litter categories. Each bar represents a specific litter category and their length of the bars indicates the difference between seasons.
Preprints 92202 g005
Figure 6. Cluster dendrograms showing dissimilarity analysis among sites according to litter category.
Figure 6. Cluster dendrograms showing dissimilarity analysis among sites according to litter category.
Preprints 92202 g006
Figure 7. Pathways of wave fronts associated with an offshore wave: Hs= 1.4 m and Tp= 5.7 s, approaching from the West. Numbers depicted on wave fronts correspond to wave height and arrows indicate the direction of longshore transport. Location of investigated beaches is indicated with numbers according to Figure 1 and Table 1.
Figure 7. Pathways of wave fronts associated with an offshore wave: Hs= 1.4 m and Tp= 5.7 s, approaching from the West. Numbers depicted on wave fronts correspond to wave height and arrows indicate the direction of longshore transport. Location of investigated beaches is indicated with numbers according to Figure 1 and Table 1.
Preprints 92202 g007
Figure 8. Significant wave height (shadow area) and wave direction compared to daily litter abundance on each beach and the overall daily litter accumulation.
Figure 8. Significant wave height (shadow area) and wave direction compared to daily litter abundance on each beach and the overall daily litter accumulation.
Preprints 92202 g008
Figure 9. Linear regression lines showing the relationship between the significant wave height (Hs, value recorded during high tide conditions) and the amount of litter (items m-1) at La Puntilla (a) and El Castillito (b) beaches during autumn surveys and relationship between Hs (recorded two days before the sampling) and litter amount at La Puntilla (c) for the spring survey.
Figure 9. Linear regression lines showing the relationship between the significant wave height (Hs, value recorded during high tide conditions) and the amount of litter (items m-1) at La Puntilla (a) and El Castillito (b) beaches during autumn surveys and relationship between Hs (recorded two days before the sampling) and litter amount at La Puntilla (c) for the spring survey.
Preprints 92202 g009
Figure 10. Wind speed (shadow area) and wind direction compared to daily litter abundance and litter density on each beach and the overall daily litter accumulation.
Figure 10. Wind speed (shadow area) and wind direction compared to daily litter abundance and litter density on each beach and the overall daily litter accumulation.
Preprints 92202 g010
Figure 11. The plot diagram illustrates the estimated coefficients of a Poisson regression examining the relationship between wave height, direction, beach exposure and litter quantity at different beaches. Bars represent the estimated coefficients and vertical lines indicate the 95% confidence intervals. Asterisks (*) are positioned above the coefficient bars that are statistically significant at a 95% confidence level. The x-axis represents the variables considered in the regression, while the y-axis represents the estimated coefficients.Statistically significant relationships were found for Wave Direction from the south (p = 0.04) and the sheltered (Table 1) beaches (p = 0.02).
Figure 11. The plot diagram illustrates the estimated coefficients of a Poisson regression examining the relationship between wave height, direction, beach exposure and litter quantity at different beaches. Bars represent the estimated coefficients and vertical lines indicate the 95% confidence intervals. Asterisks (*) are positioned above the coefficient bars that are statistically significant at a 95% confidence level. The x-axis represents the variables considered in the regression, while the y-axis represents the estimated coefficients.Statistically significant relationships were found for Wave Direction from the south (p = 0.04) and the sheltered (Table 1) beaches (p = 0.02).
Preprints 92202 g011
Table 1. Lengths and characteristics of sampled sectors.
Table 1. Lengths and characteristics of sampled sectors.
Sector no. Sector Length (m) Location (Beach name) Beach Characteristic
1 172 La Calita exposed
2 258 La Muralla exposed
3 185 El Aculadero sheltered
4 165 El Castillito sheltered
5 212 La Puntilla sheltered
6 236 Valdelagrana 1 sheltered
7 181 Valdelagrana 2 exposed
Table 2. Litter abundance (number of items m-1 and number of items m-2) at surveyed beach. In Table A1 (Appendix A) is presented litter density expressed as weight of items m-1 and weight of items m-2.
Table 2. Litter abundance (number of items m-1 and number of items m-2) at surveyed beach. In Table A1 (Appendix A) is presented litter density expressed as weight of items m-1 and weight of items m-2.
Beach Items m-1 Items m-2
Autumn Spring Total Autumn Spring Total
(averege ± SD) (averege ± SD)
La Calita 0.43 ± 0.33 0.17 ± 0.12 0.42 ± 0.51 0.09 ± 0.07 0.03 ± 0.02 0.6 ± 0.6
La Muralla 0.11 ± 0.13 0.11 ± 0.09 0.19 ± 0.31 0.05 ± 0.01 0.02 ± 0.02 0.4 ± 0.2
El Aculadero 0.44 ± 0.29 0.23 ± 0.17 0.51 ± 0.65 0.09 ± 0.06 0.05 ± 0.03 0.7 ± 0.05
El Castillito 0.33 ±0.21 0.08 ± 0.04 0.27 ± 0.28 0.07 ±0.04 0.04 ± 0.01 0.4 ± 0.4
La Puntilla 0.48 ± 0.25 1.34 ± 0.61 1.94 ± 3.98 0.10 ± 0.05 0.27 ± 0.12 0.18 ± 0.13
Valdelagrana 1 0.08 ± 0.06 0,12 ± 0.05 0.19 ± 0.36 0.02 ± 0.01 0.02 ± 0.01 0.2 ± 0.1
Valdelagrana 2 0.11 ± 0.04 0,21 ± 0.12 0.33 ± 0.62 0.02 ± 0.01 0.04 ± 0.02 0.3 ± 0.2
Total 0.28 ± 0.18 0.32 ± 0.45 0.63 ± 0.62 0.6 ± 0,3 0.06 ± 0.09 0.08 ± 0.06
Table 3. Top 10 categories according to the Joint List of Litter Categories for Macrolitter Monitoring (items > 2.5 cm).
Table 3. Top 10 categories according to the Joint List of Litter Categories for Macrolitter Monitoring (items > 2.5 cm).
Autumn Spring
Category Total items Category Total items
tobacco products with filters (cigarette butts with filters) 1746 plastic wet wipes 900
fragments of non-foamed plastic 2.5cm - 50cm 985 tobacco products with filters (cigarette butts with filters) 514
plastic crisps packets/sweets wrappers 297 plastic crisps packets/sweets wrappers 423
fragments of foamed polystyrene 2.5 cm - 50 cm 181 fragments of non-foamed plastic 2.5cm - 50cm 339
other identifiable non-foamed plastic items 177 fragments of foamed polystyrene 2.5 cm - 50 cm 211
plastic string and cord (diameter less than 1cm) not from dolly ropes or unidentified 96 other plastic string and filaments exclusively from fishery 167
other identifiable foamed plastic items 85 plastic shopping/carrier/grocery bags 150
plastic cotton bud sticks 68 pieces of glass/ceramic (glass or ceramic fragments ≥ 2.5 cm) 142
plastic shopping/carrier/grocery bags 56 plastic tangled wet wipes 142
wo_nn_owo_smal_ 51 plastic fishing line 120
Table 4. Wind and Wave Characteristics.
Table 4. Wind and Wave Characteristics.
Date Wind Wave
dd/mm/yy Speed (m/s) Direction
of origin (º)
Mean Direction
of origin (º)
Significant Wave Height (m) Peak Period (s)
Autumn
20/10/22 3.28 205 261 1.47 8
21/10/22 4.35 220 251 1.70 13.3
22/10/22 2.51 207 252 1.03 11
23/10/22 3.11 214 222 0.99 5.72
24/10/22 1.10 5 260 1.36 12.1
25/10/22 3.48 96 264 0.76 7.5
26/10/22 0.63 208 262 0.71 7.5
27/10/22 6.02 157 163 0.84 3.9
28/10/22 4.45 133 235 0.77 8.4
29/10/22 9.80 123 186 1.18 10.14
Spring
15/03/23 6.32 297 262 1.51 12.1
16/03/23 6.8 118 245 1.26 11
17/03/23 6.85 199 227 1.27 15.22
18/03/23 6.97 280 275 1.74 14.37
19/03/23 5.36 311 277 1.49 11.88
20/03/23 1.71 11 275 0.77 10.79
21/03/23 0.53 19 154 0.82 11.58
22/03/23 1.57 292 263 0.70 12.44
23/03/23 4.42 327 281 0.96 11.85
Disclaimer/Publisher’s Note: The statements, opinions and data contained in all publications are solely those of the individual author(s) and contributor(s) and not of MDPI and/or the editor(s). MDPI and/or the editor(s) disclaim responsibility for any injury to people or property resulting from any ideas, methods, instructions or products referred to in the content.
Copyright: This open access article is published under a Creative Commons CC BY 4.0 license, which permit the free download, distribution, and reuse, provided that the author and preprint are cited in any reuse.
Prerpints.org logo

Preprints.org is a free preprint server supported by MDPI in Basel, Switzerland.

Subscribe

Disclaimer

Terms of Use

Privacy Policy

Privacy Settings

© 2026 MDPI (Basel, Switzerland) unless otherwise stated