Preprint
Article

This version is not peer-reviewed.

A Treatise on Reconnoitering the Suitability of Fuzzy MARCOS for Assessment of Conceptual Designs

A peer-reviewed article of this preprint also exists.

Submitted:

04 December 2023

Posted:

05 December 2023

You are already at the latest version

Abstract
The development of an equipment starts from an effective design activity. The concept selection process is an activity that is entailed in the design stage and its relevance in the design process cannot be overemphasized because it informs the choice of optimal conceptual design from a set of alternative design. Hence, there is a need to accrue efforts to the concept selection process because of its importance. This article presents the identification of optimal conceptual design as a Multicriteria decision making model by assessing the suitability of Fuzzy Measurement Alternatives and Ranking according to COmpromise Solution (MARCOS). The Fuzzy MARCOS model was developed to access four alternative conceptual designs of briquetting machines considering eight design features with several sub features. The fuzzy MARCOS model was able to rank the conceptual designs and the results obtained from the decision analysis showed that the Fuzzy MARCOS model was able to rank the designs based on their performance and the final values of the overall utility function. The overall utility function is a based on the utility degree of the conceptual design alternatives in terms of the best and worst designs identified by the model. The utility degree created a platform for comparison on how the design alternatives varies from the best and worst design.
Keywords: 
;  ;  ;  ;  

1.0. Introduction

Achieving the goal of developing a product with all-embracing design features starts from brainstorming activities in the design phase of the product when several conceptual design concepts have been established. An important task at this stage is decision making on identification of the optimal conceptual design. Decision making in the preliminary design phase and extensive design concept selection from several conceptual designs can be accrued to the robust design of a product [1,2]. The number of design features that are embedded in the optimal design concept is also important because it depicts the multifarious function that the product can perform. A good way to develop a product with several design features is to examine the features in different conceptual designs during the concept selection phase. Selecting a design as an optimal design implies that the design has a satisfactory performance considering all the design features [3,4]. Also, an optimal design can be developed on the fact that, the design features from other conceptual designs can be added to the design. This makes the decision process to be important and the efforts put into it cannot be overemphasized. The design engineers provide several design solutions in the developmental stage before a detail analysis is carried out [5,6,7]. Provision of several design solutions is necessary because the management of the manufacturing firm wants to reduce cost of fabrication and produce an extensive product that will have a high demand in the competitive market and extended useful life. Also, the firm may be interested in selecting a design that is realistic in terms of completion time and utilization of existing technologies of fabrication. In essence, selecting an optimal design concept from a set of alternative designs becomes inevitable considering the fact that all the design solutions have several benefits and shortcomings [8,9].
Research has shown that an excellent way to arrive at an optimal solution in the decision-making process in this scenario is to introduce the Multi-Criteria Decision Model (MCDM) [10,11]. In the preliminary phase of an equipment or a product, the design features and sub-features are identified alongside with the various design alternatives in order to allow the decision making on the optimal design concept to be modelled as a MCDM. Basically, MCDM models can be broadly divided into two categories; which are Multi-Attribute Decision Model (MADM) and Multi-Objective Decision Model (MODM) [12,13]. The MADM is applicable in cases that involves making a choice from a set of alternatives in a discrete or well-defined solution space. The MODM is applied to solve decision problems with several goals where there are no discrete sets of explicitly defined alternatives. Also, the MODM also applies to scenarios where the alternatives are to be ranked based on several criteria. In this case, the decision process is performed different times in order to satisfy the various objectives of decision criteria [13,14]. Several MADM models have been introduced to solve real-life decision-making problems but there is a need to investigate the suitability of these models in the design process. Among the MADM models used in decision making process is the Multi-Attribute Utility theories (MAUT). The MAUT includes the Analytic Hierarchy Process (AHP), Weighted Decision Matrix (WDM), Analytic Network Process (ANP), Technique for Order Preference by Similarity to Ideal Solution (TOPSIS), VIseKriterijumska Optimizacija I Kompromisno Resenje (VIKOR) and Elimination and Choice Translating Reality (ELECTRE) among others [15,16].
Several efforts have been made by researchers to apply these MADM models in the selection of optimal design from set of alternative conceptual designs. Considering the fact that the design features that are usually applied as criteria in the decision process are of different dimensions and units, researches have introduced the theory of fuzzy membership functions and rough numbers in the MADM models. The introduction of the fuzzy and rough number theories is to cater for the multifarious units and dimensions of the design features and ensure that the decision process is unprejudiced and there is no allocation of crips value to weights of the design features of different units and dimensions or performance of the design concepts in the decision matrix [17]. Depending on the nature and objectives of the decision process and the complexity of the design features, Triangular Fuzzy Number (TFN) and Trapezoidal Fuzzy Number (TrFN) has been applied as membership functions in different MADM models in order to proffer solution in the decision process of selecting optimal conceptual design [18].
Further, since the introduction of the Measurement Alternatives and Ranking according to COmpromise Solution (MARCOS) in the year 2020 [19], it has gained attention by researchers and its application has been extended to several field of applications for decision making. Examples of the areas of applications include supplier selection [20,21,22,23,24], logistics [25,26], infrastructure and Technology assessment [27,28,29,30,31,32,33,34,35,36] and Management decisions [37]. At inception, it was applied to assess the sustainable supplier selection in the medical industry which is a very important task in the medical firm that must be strategically addressed because of the quality expected from medical supplies. Considering eight suppliers and twenty-one deciosn criteria, the MARCOS method was able to define the relationship between the suppliers and the reference values in order to obtain the utility functions of the suppliers and rank them in relation to the reference values [19]. Further, the MARCOS method was applied to determine the response of insurance companies in terms of healthcare services to the COVID-19 pandemic considering its ability to consider a large set of alternatives, decision criteria and sub-criteria without compromising on the stability and computational integrity of the decision process [37]. In order to avoid a vague decision process, the intuitionistic fuzzy membership function was introduced to evaluate ten insurance companies considering five expert opinions and seven decision criteria. The decision process was able to identify payback period, premium price and network as the substantial criteria for evaluating healthcare insurance companies.
Also, considering the importance of effective supply chain management to the growth of industries and business and the fact that sustainable supply chain is essential in running the day-to-day activities of the company, several articles have provided explicit information on the application of the MARCOS method in supplier selection and its integration with other multi attribute models. An example of this application is the integration of extended VIKOR and MARCOS for sustainable supplier selection in organ transplantation Networks for healthcare Devices using interval-valued intuitionistic Fuzzy model [38]. Ayşegül and Adali [20], integrated the Fuzzy MARCOS model with Fuzzy SWARA (Stepwise Weight Assessment Ratio Analysis) in green supply chain management in order to identify the best supplier from alternative suppliers in a textile industry where green and environmentally friendly textile dyes are needed to be supplied in the industries. The implementation of this integrating Fuzzy MARCOS with Fuzzy SWARA for green supplier selection has also been verified by Tas et. al, [39]. The integration of SWARA and MARCOS also finds application in decision making in the logistic field where decision was made on inventory classification. The decision process involved evaluation of fifty products to be stored considering quantity of the products purchased, their unit price and annual value of purchase [40]. Another important area of application of MARCOS model is the field of manufacturing. The MARCOS method was applied in the process for powder-mixed electrical discharge machining of cylindrical shaped parts using chromium silicon steel tool and the result obtained was compared with TOPSIS and MAIRCA (Multi-Attributive Ideal-Real Comparative Analysis). The results obtained showed that the three methods selected the same alternative as the optimal alternative from the eighteen alternatives considered in the decision process [41]. Similarly, the MARCOS method was also compared with MAIRCA, TOPSIS and EAMR (Evaluation by an Area-based Method of Ranking) considering the turning process. The cutting speed, feed and depth of cut were the input parameters in the cutting process in order to determine the material removal rate and surface roughness of the workpiece. The results obtained from the application showed that the four models are in conformity as they identified the same alternative as the optimal process from the sixteen alternatives considered in the decision process [42]. The result was similar to the application and comparison of MARCOS to EDAS (Evaluation based on Distance from Average Solution), TOPSIS, MOORA (Multi-Objective Optimization on the basis of Ratio Analysis) and PIV (Proximity Indexed Value) in the decision making in milling process [43]. Further, the MARCOS method was applied in the grinding, turning and milling processes in order to determine the optimum material removal rate and effective surface finish considering nine trials with different machining parameters [44].
Considering the applications of the MARCOS model in different areas of application, it can be observed that the model is finds more application in infrastructure and technology assessment and it is suitable for handling several numbers of alternatives and it also has a consideration for the ideal and anti-ideal scenarios in the formation of the decision matrix. This makes it possible for the model to capture the variations of the alternatives from the ideal and anti-ideal solution considering the utility degree and functions of all the alternatives in order to affirm the optimal alternative. Also, considering the application areas of MARCOS model, it is necessary to investigate its suitability to decision making on the identification of optimal design concept considering several conceptual design alternatives. Hence, this article attempts to extend the application of the Fuzzy MARCOS model to identification of optimal design concept considering four conceptual designs of briquette making machine. The decision process considered eight design features with each of the design features having several sub-features. The importance of considering several design features is to ensure that the decision process is robust and all-encompassing in order to ascertain the computational integrity of the Fuzzy MARCOS model.

2.0. Methodology

There is a need to develop a preliminary decision matrix that contains the weights of the design features and the performance weights of the design concepts relative to each design feature in the decision process. The task involved in the development of the preliminary decision matrix can be divided into two. First, the relative contributions of the sub-features to the design features are aggregated considering the opinion of several design experts in order to determine the weights of the design features and sub-features. Second, the availability of the sub-features in the design alternatives are also evaluated by design experts in order to obtain sub-aggregates for the design concepts. The sub-aggregate for the design concepts for each of the design features form the elements of the decision matrix together with the weights of the design features. In order to avoid apportioning of crisp values in the development of the preliminary decision matrix, linguistic terms are used to represent the Triangular Fuzzy Numbers (TFN).

2.1. TFN and membership functions

Considering the multi-dimensional nature and different units of measurements and quantification of the design features and their sub-features, apportioning crisp number will allow ambiguous and prejudice in the decision process. Hence, a fuzzy number with the triangular membership function is applied by using a linguistic scale to represent the membership functions as presented in Table 1. The linguistic scale was applied in aggregating the relative contributions of the sub-features to the design features and the availability of the sub-features in the design alternatives. For ease of analysis, consider a TFN ‘M’ which membership function ‘Preprints 92173 a001’ is contained in [01] as defined in equation 1 [45].
Preprints 92173 e001
In Equation (1), a, b and c represent the lower, modal and upper values of M respectively, such that Preprints 92173 a002. The TFN (M) described in equation 1 can be defuzzified to obtain a crisp value ‘Preprints 92173 a003’ which is the best non-fuzzy performance value as presented in Equation (2) [46].   
Preprints 92173 e002

2.2. Preliminary decision matrix

Consider a scenario where there are ‘n’ number of alternative conceptual designs (Cdn) that are to be assessed before commencement of detail design and prototyping. If the assessment is done with ‘m’ number of design features, then it is possible to develop a preliminary decision matrix. In order to determine the weights of the design features and their sub-features, the ratings of design experts’ decisions are developed in a sub-decision matrix as presented in equation 3. Also, the availability of sub-features in the design concepts can also be presented in a fuzzified sub-decision matrix using ‘k’ number of design experts as described in equation 4. The matrices in described in equations 3 and 4 are developed based on the linguistic scale presented in Table 1. The weights of the design features and sub-features are instrumental in the determination of aggregate TFNs for the design concepts.
Preprints 92173 e003
In Equation (3), Preprints 92173 a004represents the decision of design expert ‘k’ for the relative contribution of ith sub-feature (Preprints 92173 a005) corresponding to design feature m (Preprints 92173 a006). Preprints 92173 a007 is the cumulative weight of the decisions of kth design expert which is obtainable in equation 5. Also, Preprints 92173 a008 and Preprints 92173 a009 are the weights of the ith sub-feature and design feature m respectively. Preprints 92173 a010 and Preprints 92173 a011 can also be obtained from equations 6 and 7 respectively.
Preprints 92173 e004
Preprints 92173 e005
Preprints 92173 e006
Preprints 92173 e007
In equation (4), Preprints 92173 a012 is the decision of design expert ‘k’ on the availability of sub-feature ‘i’ in design concept ‘n’ corresponding to design feature ‘m’. Also, Preprints 92173 a013 denotes the aggregate TFN for the nth design concept corresponding to the decision of kth design expert and Preprints 92173 a014 is the overall TFN for the nth design concept considering design feature ‘m’. Preprints 92173 a015 and Preprints 92173 a016 can be obtained from equations 8 and 9 respectively.
Preprints 92173 e008
Preprints 92173 e009
The weight of the design features and the overall TFN obtained from Equation (9) for all the design concepts corresponding the design features will be harnessed to develop a decision matrix as presented in Equation (10). This matrix will be used for the decision making in the fuzzy MARCOS process.
Preprints 92173 e010

2.3. Fuzzy MARCOS

Considering the framework presented in Fig. X, the next step is to create an extended fuzzy matrix containing the best (Preprints 92173 a017) and worst (Preprints 92173 a018) design concept based on the beneficial (Preprints 92173 a019) and cost (Preprints 92173 a020) categories of design features. The best and worst design concept created in this case will represent the ideal and anti-ideal design concepts respectively. The best and worst design concepts can be obtained from equations 11 and 12 respectively. The matrix containing the best and worst design concept can be obtained by rewriting equation 10 as presented in equation 13.
Preprints 92173 e011
Preprints 92173 e012
Preprints 92173 e013tif
Further, the elements of the extended fuzzy decision matrix in equation 13 can be normalized using Equation (14) for the beneficial (Preprints 92173 a021) and cost (Preprints 92173 a022) features considering the notations for the lower, modal and upper values of the TFN defined in Equation (1).
Preprints 92173 e014
In equation 14, Preprints 92173 a023 represents the lower, modal and upper values of the elements of the extended fuzzy decision matrix while Preprints 92173 a024 represents the lower, modal and upper values of the elements of the worst design. The next step is to compute the weighted normalized fuzzy decision matrix Preprints 92173 a025 as presented in equation 15. This is obtainable by multiplying the weights of the design features with the normalized elements of the decision matrix. Hence, the weighted and normalized version of equation 13 can be expressed in equation 16.
Preprints 92173 e015
Preprints 92173 e016
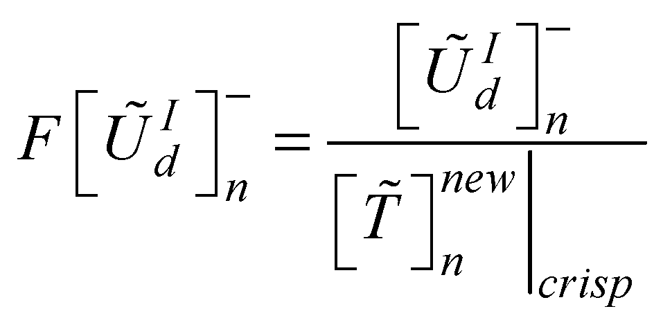
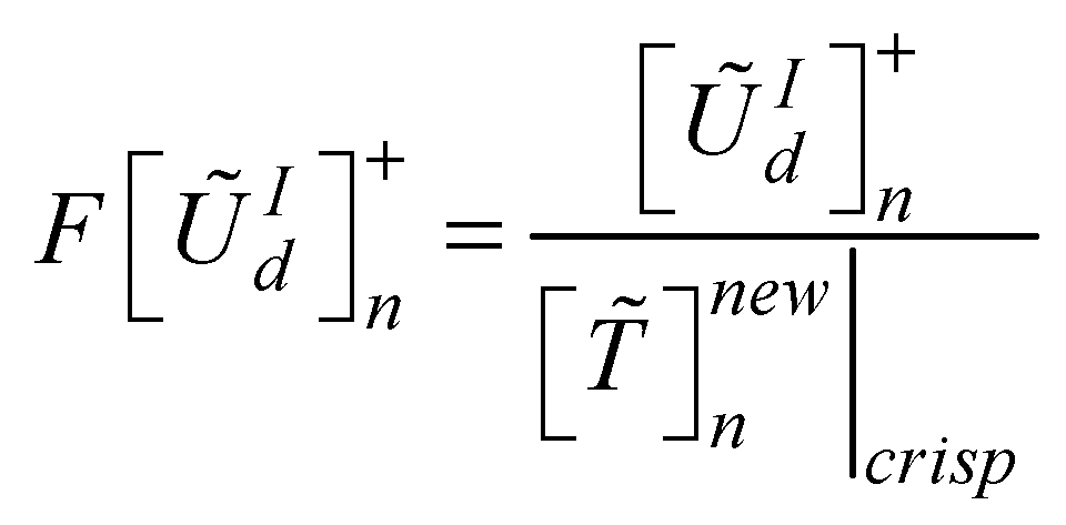
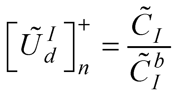
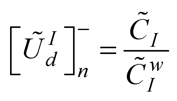
The cumulative fuzzy matrix Preprints 92173 a026 can be obtained by summing the elements of the weighted matrix. This is obtainable from equation 17. The cumulative fuzzy matrix is necessary for estimating the utility degree of the design alternatives Preprints 92173 a027. The utility degree of the design alternatives is a function of the cumulative matrices of the best Preprints 92173 a028 and worst Preprints 92173 a029 design. Hence, the utility degree can be expressed in terms of best and worst design scenarios as presented in equations 18 and 19 respectively. The next step is to compute the fuzzy utility matrix Preprints 92173 a030. The fuzzy utility matrix is a summation of the utility degrees for the best and worst scenario of the design concepts as presented in equation 20. Further, the fuzzy utility matrix is necessary for determining a new fuzzy number Preprints 92173 a031 which is the maximum of the utility matrix as presented in equation 21. This new fuzzy number will be defuzzified using equation 2 in order to compute the utility functions in relation to the best Preprints 92173 a032 and worst Preprints 92173 a033 design alternatives as presented in equations 22 and 23 respectively. The next step is to defuzzify the TFNs for the best and worst utility degree scenarios and the best and worst utility functions. This is necessary in the determination of a crisp value for the overall utility function for the design concepts as presented in equation 24.
Preprints 92173 e017
Preprints 92173 e018
Preprints 92173 e019
In equations 18 and 19, Preprints 92173 a034 and Preprints 92173 a035 are the cumulative fuzzy matrix for the best and worst designs respectively.
Preprints 92173 e020
Preprints 92173 e021
Preprints 92173 e022
Preprints 92173 e023
Preprints 92173 e024
In equation 24, Preprints 92173 a036 represents the crisp values for Preprints 92173 a037 respectively. The design concepts are ranked according to the values of the overall utility functions such that the design with the highest value is the optimal design.

3.0. Implementation

In order to investigate the suitability of the methodology, it is necessary to implement its application on the conceptual design of a product. In this article, four conceptual designs of briquette making machine (refs) is considered for evaluation using the design for X features. A framework for application of the methodology to conceptual designs of briquetting making machines is presented in Figure 2. It is worthwhile to know that all the sub-features allotted to the design for X features are performance indices for effective operation of the briquette making machine. For simplification of analysis, a framework for application of the fuzzy MARCOS is presented in Figure 3. Firstly, sub-matrices for aggregating the relative contributions of the sub-features to the design features are developed as presented in Table A1, Table A2, Table A3, Table A4, Table A5, Table A6, Table A7 and Table A8 in the Appendix A following equation 3 and using the linguistic term presented in Table 1. Also, sub-matrices for aggregating the relative availability of the sub-features in the design concepts are developed as presented in Table A9, Table A10, Table A11, Table A12, Table A13, Table A14, Table A15 and Table A16 in the Appendix A using the weights obtained for the sub-features.

4.0. Results and Discussion

4.1. Results

The aggregate TFNs for the design concepts in Table A9, Table A10, Table A11, Table A12, Table A13, Table A14, Table A15 and Table A16 are harnessed alongside the weights of the design features obtained from Table A1, Table A2, Table A3, Table A4, Table A5, Table A6, Table A7 and Table A8 in order to arrive at a preliminary decision matrix as presented in Table 2. It is necessary to normalize the elements of the decision matrix in order to consider the beneficial and cost features. the normalized decision matrix is presented in Table 3. The cumulative matrix, utility degree in relation to the best and worst designs, utility matrix and utility functions in relation to the best and worst designs can be obtained from equations 17 to 23 respectively considering the weighted normalized decision matrix in Table 4. Table 5 shows the computations of the cumulative matrix, utility degree in relation to the best and worst designs, utility matrix and utility functions in relation to the best and worst designs. In order to obtain the utility functions for the design alternatives considering equation 24, the utility function and utility degree in relation to best and worst designs are defuzzified using equation 2 as presented in Table 6. The design concepts are ranked according to the values of their utility functions.

4.2. Discussion

Considering the weighted normalized decision matrix in Table 4, a clear picture of the performance of the design alternatives with respect to the design features can be obtained in the form of TFNs. Also, an interesting aspect of the fuzzy MARCOS method is the determination of the best and worst design by selecting the design with the highest upper membership function of the TFNs in all the design features. This implies that the best design will perform well in all the design features and the worst design performs poorly in all the design features. Although, in real life achieving the best design may seem a little bit difficult because a consideration of all the design features in a design may be difficult to achieve. Hence, there will be a trade-off in the design process such that some design features will not be predominantly available in the design. It is worthwhile to note that such design features are also important but the decision to prioritize the design features has come to play in order to satisfy the features that are necessary for a robust design. Also, when there is a need to prioritize some design features, the alternatives which has the best performance in all these features can easily be identified. In essence, there is a need to classify the design features into cost and beneficial features. The design for life cycle cost and manufacturing are the cost features as highlighted in Table 4. Another interesting aspect of the fuzzy MARCOS method is the fact that, the model gives a relative comparison because it provides clear picture of the design alternatives relative to the best and worst designs. The relative position of the design alternatives to the best and worst designs can be depicted in the form of the TFNs as presented in Figure 4a. The MARCOS model further determined the optimal design alternative considering the utility degrees, fuzzy utility functions and overall utility function rather than mere defuzzification and comparison with the best and worst designs. Also, considering the comparison in Figure 4a, the model was able to establish the level of performance of the design alternatives relative to the expected performance of the best and worst design but a judgment on the optimal design concept cannot be made because the utility degree which is a function on how each of the design performs with respect to the best and worst design needs to be determined. Hence, in Figure 4b, the design alternatives were ranked based on their scores in t he overall utility function. An observation of the final values of the overall utility function showed that there is a closeness in the final values of the design alternatives. This is an indication that the decision process did not apportion values to the design alternatives but rather compared their performances in all the design features.

5. Conclusion

Conclusively, it is not an overstatement to say that concept selection in the preliminary design phase of a product is very important and as such, more emphasis and efforts needs to be put into the design concept selection in order to have a robust decision process. This is necessary because it provides more information on the design features associated with the optimal design concept. Sometimes, modifications can be made to any of the alternatives or the optimal design in order to accommodate some design features before fabrication commences. Due to the importance that is attached to the concept selection process, this article is proposing the adoption of fuzzy MARCOS as a multicriteria decision model as a tool for carrying out the concept selection process. The preliminary decision matrix was developed considering the weights of the design features and sub features and the availability of the sub features in each of the design concepts. The essence of considering the availability of the sub features in the alternative designs is to assists the decision process in obtaining at unambiguous values for the performance of the design alternatives in the form of linguistic terms using several experts’ opinion. The framework for applying the fuzzy MARCOS model to selection of optimal conceptual design was developed based on its application to other subject areas and the model performed excellently by identifying the optimal design concepts considering its overall utility value relative to the best and worst design. Further work can also be carried out in the aspect of identifying the designs features to be improved on considering the best and worst design concepts identified by the fuzzy MARCOS model.

Appendix A

Table A1. Contributions of sub-features of Design for Assembly and Disassembly.
Table A1. Contributions of sub-features of Design for Assembly and Disassembly.
Preprints 92173 i007
Table A2. Contributions of sub-features of Design for Maintainability.
Table A2. Contributions of sub-features of Design for Maintainability.
Preprints 92173 i008
Table A3. Contributions of sub-features of Design for Reliability.
Table A3. Contributions of sub-features of Design for Reliability.
Preprints 92173 i009
Table A4. Contributions of sub-features of Design for Life Cycle Cost.
Table A4. Contributions of sub-features of Design for Life Cycle Cost.
Preprints 92173 i010
Table A5. Contributions of sub-features of Design for Environment.
Table A5. Contributions of sub-features of Design for Environment.
Preprints 92173 i011
Table A6. Contributions of sub-features of Design for Functionality.
Table A6. Contributions of sub-features of Design for Functionality.
Preprints 92173 i012
Table A7. Contributions of sub-features of Design for Manufacturing.
Table A7. Contributions of sub-features of Design for Manufacturing.
Preprints 92173 i013
Table A8. Contributions of sub-features of Design for Operation.
Table A8. Contributions of sub-features of Design for Operation.
Preprints 92173 i014
Table A9. Availability of Sub Features of Assembly and Disassembly in the Design Concepts.
Table A9. Availability of Sub Features of Assembly and Disassembly in the Design Concepts.
Preprints 92173 i015
Table A10. Availability of Sub Features of Operation in the Design Concepts.
Table A10. Availability of Sub Features of Operation in the Design Concepts.
Preprints 92173 i016
Table A11. Availability of Sub Features of Environmental in the Design Concepts.
Table A11. Availability of Sub Features of Environmental in the Design Concepts.
Preprints 92173 i017
Table A12. Availability of Sub Features of Reliability in the Design Concepts.
Table A12. Availability of Sub Features of Reliability in the Design Concepts.
Preprints 92173 i018
Table A13. Availability of Sub Features of Life Cycle Cost in the Design Concepts.
Table A13. Availability of Sub Features of Life Cycle Cost in the Design Concepts.
Preprints 92173 i019
Table A14. Availability of Sub Features of Functionality in the Design Concepts.
Table A14. Availability of Sub Features of Functionality in the Design Concepts.
Preprints 92173 i020
Table A15. Availability of Sub Features of Manufacturing in the Design Concepts.
Table A15. Availability of Sub Features of Manufacturing in the Design Concepts.
Preprints 92173 i021
Table A16. Availability of Sub Features of Maintainability in the Design Concepts.
Table A16. Availability of Sub Features of Maintainability in the Design Concepts.
Preprints 92173 i022

References

  1. Olabanji, O.M. and K. Mpofu, (2021).Appraisal of conceptual designs: Coalescing fuzzy analytic hierarchy process (F-AHP) and fuzzy grey relational analysis (F-GRA). Results in Engineering. 9: p. 100194.
  2. Olabanji, O.M. and K. Mpofu, (2020).Hybridized fuzzy analytic hierarchy process and fuzzy weighted average for identifying optimal design concept. Heliyon, Elsevier. 6(1): p. 1-13.
  3. Olabanji, O.M. , (2022).Improving the Computational Process for Identifying Optimal Design Using Fuzzified Decision Models. International Journal of Fuzzy System Applications IGI Global. 11(1): p. 1-21.
  4. Olabanji, O.M. , (2020).Fuzzified Synthetic Extent Weighted Average for Appraisal of Design Concepts. International Journal of Research in Industrial Engineering. Vol. 9(No. 2): p. 190-208.
  5. Olabanji, O.M. and K. Mpofu, Comparison of weighted decision matrix, and analytical hierarchy process for CAD design of reconfigurable assembly fixture, in Procedia CIRP. 2014. p. 264-269.
  6. Olabanji, O.M. and K. Mpofu, (2019).Decision Analysis for Optimal Design Concept: Hybridized Fuzzified Weighted Decision Matrix and Fuzzy TOPSIS Using Design for X Tools. Procedia CIRP. 84: p. 434-441.
  7. Renzi, C. and F. Leali, (2016).A multicriteria decision-making application to the conceptual design of mechanical components. Journal of Multi-Criteria Decision Analysis. 23(3-4): p. 87-111.
  8. Olabanji, O.M. and K. Mpofu, (2019).Adopting hybridized multicriteria decision model as a decision tool in engineering design. Journal of Engineering, Design and Technology. 18(2): p. 451-479.
  9. Olabanji, O.M. and K. Mpofu, (2021).Design concept evaluation technique via functional link matrix and fuzzy VIKOR based on left and right scores. Production & Manufacturing Research. 9(1): p. 116-139.
  10. Okudan, G.E. and R.A. Shirwaiker. 2006. A multi-stage problem formulation for concept selection for improved product design. in 2006 Technology Management for the Global Future-PICMET 2006 Conference. IEEE. p. 2528. [Google Scholar]
  11. Balin, A., H. Demirel, and F. Alarcin, (2016).A novel hybrid MCDM model based on fuzzy AHP and fuzzy TOPSIS for the most affected gas turbine component selection by the failures. Journal of Marine Engineering & Technology. 15(2): p. 69-78.
  12. Olabanji, O.M. and K. Mpofu, (2020).Fusing Multi-Attribute Decision Models for Decision Making to Achieve Optimal Product Design. Foundations of Computing and Decision Sciences. 45.
  13. Renzi, C. , et al., (2015).Selecting alternatives in the conceptual design phase: an application of Fuzzy-AHP and Pugh’s Controlled Convergence. International Journal on Interactive Design and Manufacturing (IJIDeM). 9(1): p. 1-17.
  14. Renzi, C., F. Leali, and L. Di Angelo, (2017).A review on decision-making methods in engineering design for the automotive industry. Journal of Engineering Design. 28(2): p. 118-143.
  15. Okudan, G.E. and S. Tauhid, (2008).Concept selection methods–a literature review from 1980 to 2008. International Journal of Design Engineering. 1(3): p. 243-277.
  16. Olabanji, O.M. , (2018).Reconnoitering the suitability of fuzzified weighted decision matrix for design process of a reconfigurable assembly fixture. International Journal of Design Engineering. 8(1): p. 38-56.
  17. Olabanji, O.M. and K. Mpofu, (2020).Design sustainability of reconfigurable machines. IEEE Access. 8: p. 215956-215976.
  18. Olabanji, O. and K. Mpofu, (2023).Extending the application of fuzzy COPRAS to optimal product design. Procedia CIRP. 119: p. 182-192.
  19. Stević, Ž., D. Pamučar, A. Puška, and P. Chatterjee, (2020).Sustainable supplier selection in healthcare industries using a new MCDM method: Measurement of alternatives and ranking according to COmpromise solution (MARCOS). Computers & industrial engineering. 140: p. 106231.
  20. Ayşegül, T. and E.A. ADALI, (2022).Green supplier selection based on the combination of fuzzy SWARA (SWARA-F) and fuzzy MARCOS (MARCOS-F) methods. Gazi University Journal of Science. 35(4): p. 1535-1554.
  21. Biswas, S. , (2020).Measuring performance of healthcare supply chains in India: A comparative analysis of multi-criteria decision making methods. Decision Making: Applications in Management and Engineering. 3(2): p. 162-189.
  22. Puška, A., Ž. Stević, and I. Stojanović, (2021).Selection of sustainable suppliers using the fuzzy MARCOS method. Current Chinese Science. 1(2): p. 218-229.
  23. Chakraborty, S., R. Chattopadhyay, and S. Chakraborty, (2020).An integrated D-MARCOS method for supplier selection in an iron and steel industry. Decision Making: Applications in Management and Engineering. 3(2): p. 49-69.
  24. Badi, I. and D. Pamucar, (2020).Supplier selection for steelmaking company by using combined Grey-MARCOS methods. Decision Making: Applications in Management and Engineering. 3(2): p. 37-48.
  25. Stević, Ž. and N. Brković, (2020).A novel integrated FUCOM-MARCOS model for evaluation of human resources in a transport company. Logistics. 4(1): p. 4.
  26. Ulutaş, A. , et al., (2020).Development of a novel integrated CCSD-ITARA-MARCOS decision-making approach for stackers selection in a logistics system. Mathematics. 8(10): p. 1672.
  27. Puška, A., I. Stojanović, A. Maksimović, and N. Osmanović, (2020).Evaluation software of project management by using measurement of alternatives and ranking according to compromise solution (MARCOS) method. Operational Research in Engineering Sciences: Theory and Applications. 3(1): p. 89-102.
  28. Stanković, M. , et al., (2020).A new fuzzy MARCOS method for road traffic risk analysis. Mathematics. 8(3): p. 457.
  29. Ilieva, G. , et al., (2020).Cloud service selection as a fuzzy multi-criteria problem. TEM Journal. 9(2): p. 484.
  30. Mitrović Simić, J. , et al., (2020).A novel CRITIC-Fuzzy FUCOM-DEA-Fuzzy MARCOS model for safety evaluation of road sections based on geometric parameters of road. Symmetry. 12(12): p. 2006.
  31. Simić, V., R. Soušek, and S. Jovčić, (2020).Picture fuzzy MCDM approach for risk assessment of railway infrastructure. Mathematics. 8(12): p. 2259.
  32. Pamucar, D. , et al., (2021).A new hybrid fuzzy multi-criteria decision methodology model for prioritizing the alternatives of the hydrogen bus development: A case study from Romania. International Journal of Hydrogen Energy. 46(57): p. 29616-29637.
  33. Bakır, M. and Ö. Atalık, (2021).Application of fuzzy AHP and fuzzy MARCOS approach for the evaluation of e-service quality in the airline industry. Decision Making: Applications in Management and Engineering. 4(1): p. 127-152.
  34. Celik, E. and M. Gul, (2021).Hazard identification, risk assessment and control for dam construction safety using an integrated BWM and MARCOS approach under interval type-2 fuzzy sets environment. Automation in Construction. 127: p. 103699.
  35. Deveci, M. , et al., (2021).Offshore wind farm site selection using interval rough numbers based Best-Worst Method and MARCOS. Applied Soft Computing. 109: p. 107532.
  36. Torkayesh, A.E., S. H. Zolfani, M. Kahvand, and P. Khazaelpour, (2021).Landfill location selection for healthcare waste of urban areas using hybrid BWM-grey MARCOS model based on GIS. Sustainable Cities and Society. 67: p. 102712.
  37. Ecer, F. and D. Pamucar, (2021).MARCOS technique under intuitionistic fuzzy environment for determining the COVID-19 pandemic performance of insurance companies in terms of healthcare services. Applied Soft Computing. 104: p. 107199.
  38. Salimian, S., S. M. Mousavi, and J. Antucheviciene, (2022).An interval-valued intuitionistic fuzzy model based on extended VIKOR and MARCOS for sustainable supplier selection in organ transplantation networks for healthcare devices. Sustainability. 14(7): p. 3795.
  39. Taş, M.A., E. Çakır, and Z. Ulukan, (2021).Spherical fuzzy SWARA-MARCOS approach for green supplier selection. 3C Tecnologia. p. 115-133.
  40. Miškić, S., Ž. Stević, and I. Tanackov, A novel integrated SWARA-MARCOS model for inventory classification. IJIEPR, 32 (4): 1-17. 2021.
  41. Nguyen, H.-Q. , et al., (2022).Multi-criteria decision making in the PMEDM process by using MARCOS, TOPSIS, and MAIRCA methods. Applied sciences. 12(8): p. 3720.
  42. Trung, D.D. and H. Thinh, (2021).A multi-criteria decision-making in turning process using the MAIRCA, EAMR, MARCOS and TOPSIS methods: A comparative study. Advances in Production Engineering & Management. 16(4): p. 443-456.
  43. Trung, D. , (2021).Application of EDAS, MARCOS, TOPSIS, MOORA and PIV methods for multi-criteria decision making in milling process. Decis. Mak. 4(7).
  44. Do Trung, D. , (2022).Multi-criteria decision making under the MARCOS method and the weighting methods: applied to milling, grinding and turning processes. Manufacturing Review. 9.
  45. Olabanji, O.M. and K. Mpofu, (2020).Pugh matrix and aggregated by extent analysis using trapezoidal fuzzy number for assessing conceptual designs. Decision Science Letters. 9(1): p. 21-36.
  46. Olabanji, O.M. and K. Mpofu, (2022).Assessing the sustainability of manufacturing processes in the manufacture of transport equipment, based on fuzzy grey relational analysis. South African Journal of Industrial Engineering. 33(1): p. 39-50.
Figure 2. Application to preliminary conceptual designs of briquette making machines.
Figure 2. Application to preliminary conceptual designs of briquette making machines.
Preprints 92173 g001
Figure 3. Framework for the application of fuzzy MARCOS.
Figure 3. Framework for the application of fuzzy MARCOS.
Preprints 92173 g002
Figure 4. Comparison of design alternatives relative to be best and worst design and their ranking.
Figure 4. Comparison of design alternatives relative to be best and worst design and their ranking.
Preprints 92173 g003
Table 1. Linguistic terms and membership functions for the decision process.
Table 1. Linguistic terms and membership functions for the decision process.
Preprints 92173 i001
Table 2. Fuzzified decision matrix with the best and worst designs and weight of design features.
Table 2. Fuzzified decision matrix with the best and worst designs and weight of design features.
Preprints 92173 i002
Table 3. Normalized Fuzzy decision matrix with the best and worst designs and weight of design features.
Table 3. Normalized Fuzzy decision matrix with the best and worst designs and weight of design features.
Preprints 92173 i003
Table 4. Weighted Normalized Fuzzy decision matrix with the best and worst designs.
Table 4. Weighted Normalized Fuzzy decision matrix with the best and worst designs.
Preprints 92173 i004
Table 5. Cumulative matrix, utility degree and functions for the design concepts.
Table 5. Cumulative matrix, utility degree and functions for the design concepts.
Preprints 92173 i005
Table 6. Defuzzified utility degree and functions and ranking of design concepts.
Table 6. Defuzzified utility degree and functions and ranking of design concepts.
Preprints 92173 i006
Disclaimer/Publisher’s Note: The statements, opinions and data contained in all publications are solely those of the individual author(s) and contributor(s) and not of MDPI and/or the editor(s). MDPI and/or the editor(s) disclaim responsibility for any injury to people or property resulting from any ideas, methods, instructions or products referred to in the content.
Copyright: This open access article is published under a Creative Commons CC BY 4.0 license, which permit the free download, distribution, and reuse, provided that the author and preprint are cited in any reuse.
Prerpints.org logo

Preprints.org is a free preprint server supported by MDPI in Basel, Switzerland.

Subscribe

Disclaimer

Terms of Use

Privacy Policy

Privacy Settings

© 2026 MDPI (Basel, Switzerland) unless otherwise stated