Preprint
Article

This version is not peer-reviewed.

Long-Term Effects of Direct-Fed Microbials on Liveweight and Milk Production in Dairy Holstein Cows

Submitted:

02 November 2023

Posted:

02 November 2023

You are already at the latest version

Abstract
This 16-month study aimed to evaluate the extended effects of administering direct-fed microbials (DFM) on milk yield and components in 150 dairy cows. The cows were randomly divided into two groups: control (n=75) and DFM (n=75) based on parity and days in milk. Throughout the study, the two groups of cows were housed separately in a free stall yard, and each group had their own feeding area. The DFM group received 10 ml/cow of the Lacticaseibacillus- and Lentilactobacillus-based DFM via top dressing of the feed during lactation and drying off. Milk yield and liveweight were recorded daily. Milk samples were collected every two months for milk components analysis. Both groups produced less milk in the second production season due to adverse weather conditions. DFM cows gained more liveweight across the study (19.40 kg, 95% CI 0.44; 38.30) compared to controls. In the second season, DFM cows lost weight at a slower rate (-6.06, 95% CI -10.49; -1.61) during the postpartum period and produced more milk (0.39 L/d 95% CI 0.10; 0.89). Over a full lactation, DFM cows yielded at least 258L (95% CI 252L; 265L) more milk than controls. No significant differences were found in fat yield, protein yield, or somatic cell counts. The study suggests that prolonged DFM administration positively impacted milk production, but further research is needed to understand the underlying mechanism.
Keywords: 
;  ;  

1. Introduction

Growing concerns about the excessive use of antimicrobials in livestock production have prompted the search for natural and safe alternatives. One such alternative is the use of direct-fed microbials (DFMs) which are feed products containing live or naturally occurring microorganisms, including yeast, fungi and bacteria [1]. DFMs have been investigated as a promising strategy to enhance the health, performance and feed efficiency of dairy cattle [2,3].
Numerous research findings have indicated that DFMs have the potential to modify the ruminal microbiome [4], alter fermentation patterns and enhance fiber digestibility. Additionally, DFMs have demonstrated the ability to reduce enteric methane emissions [5] and enhancing milk quality and components [6].
However, the effects of supplementing DFMs on milk production have yielded contradictory findings. While some studies have reported improvements in milk yield [7] milk components [6,8] and postpartum metabolism [1,2], others have found no significant enhancements in milk production [4,9,10] or limited improvements restricted to health related aspects [11]. These discrepancies in outcomes may arise from various factors, including the type and combination of strains used, dosage, the duration of supplementation, the composition of the diet, as well as intrinsic cow factors such as age, health, and physiological stage.
The adoption of DFMs at the farm level in the cattle industry faces challenges due to uncertainties regarding their long-term and persistent effects [12] and the need to replicate research results under commercial settings while adhering to existing management practices. Although some studies have assessed the effects of DFM supplementation over short periods of time, ranging from a few weeks [4,8,10] to 5-7 months [1], within the same lactation, few have investigated the potential carryover effects of DFMs on milk yield and quality during subsequent lactations.
Bacteria from the genus formerly known as Lactobacillus, an important group of microorganisms used in DFM supplementation, have demonstrated an impact on the ruminal environment, resulting in increased milk yield and quality [3,5]. Thus, the present study aimed to evaluate the effects of supplementing the diet with a consortia of three species of bacteria, Lacticaseibacillus casei, Lacticaseibacillus paracasei, and Lentilactobacillus buchneri, which were formerly known as Lactobacillus casei, Lactobacillus paracasei, and Lactobacillus buchneri respectively, (Mylo®, Terragen Biotech) on milk yield and milk components during two consecutive lactations in dairy cows.

2. Materials and Methods

2.1. Study Location and Herd

This study was conducted at a commercial dairy farm located in Harrisville, Queensland, Australia, from September 2021 to January 2023. The milking herd consisted of approximately 350 Holstein crossbreed cows from which the study cows were selected. The study cows were housed and managed as two separate groups, including during feeding (mixed ration fed on a feedpad and grazing pasture) and milking. The feeding system was classified as a partial mixed ration (PMR) consisting of a mixed ration offered on a covered feedpad during the day and grazing pasture at night. The mixed ration consisted predominantly of maize silage or barley silage, lucerne hay, soybean silage, canola meal, barley or wheat grain with 1.5 kg of barley or wheat grain fed twice daily in the dairy. Pasture intake was up to 6 kg of ryegrass or kikuyu pasture grazed during winter and summer respectively. The total diet was balanced with available ingredients and variable pasture quality to meet the milk production targets based on the lactation stage throughout the study. The diet composition ranged from 15.5 to 22.8% CP, 31.2 to 40.4% NDF, 20.6 to 26.2% ADF, 28.1 to 40.2% NFC, 4.0 to 5.6% fat, 8.6 to 10.8 MJ ME/kg DM and 20.1 to 24.4% starch. The mixed ration was provided once a day to both groups with a target DMI of 21 to 22 kg/cow/day including pasture intake.

2.2. Study Animals

This study is part of an ongoing larger study aimed to quantify the effects of the DFM on methane production. A total of 150 first and multiparous cows were randomly selected from the milking herd based on parity and days in milk (DIM) and were enrolled in the larger study. The cows were randomly assigned into two groups (control; n=75 and DFM; n=75). Thirty-seven percent of the study animals were in first lactation, 26% in second lactation, and 36% in third lactation. Study cows averaged 3.6 years (standard deviation (SD) ±1.1), 2.0 (±0.8) lactations, 30.6 (±9.1) L/d, 126.9 DIM (± 55.4), 590 kg (±67) of liveweight (LW). For this study, the primary outcome is milk production, therefore, a minimum of fifty cows in each of the experimental groups will enable us to detect with 95% confidence, with a power of 80%, and a pooled variance of 12 L, a difference in mean milk production between the experimental groups of 2 L (95% confidence interval for differences between means = 0.60 to 3.40 L).
Both groups were housed on the same feedpad with separate feeding and loafing areas adjacent to each other when offered the PMR with free access to water, and each group was offered the ration once daily at 0600 in their own feeding area. When grazing pasture, the paddock was split into two strips longitudinally with each treatment group randomly allocated a strip of pasture and grazed separately. Cows in the DFM group were supplemented with 10 mL/cow of a DFM top dressed on their mixed ration during lactation and the dry period using a 2L manual pressure sprayer (245 kPa maximum pressure, Aqua Systems Australia). DFM contained a total of approximately 3.5 x 109 CFU in a consortia of 3 strains of bacteria, Lentilactobacillus buchneri Lb23, Lacticaseibacillus casei Lz26 and Lacticaseibacillus paracasei T9.
Cows were milked twice daily at 0400 and 1500 and individual daily milk yield was electronically measured using the herd management software DairyPlan C21A (GEA Farm Technologies, Germany). Daily milk yield was aggregated into weekly averages and used for statistical analysis. Composite milk samples were collected bimonthly (approximately every 6 to 8 weeks) as part of the herd’s udder health and mastitis control management strategy, and to assess milk fat and protein yield and somatic cell count. Milk samples were collected using on-farm automated milk sampling meters (GEA Westfalia, Australia). Milk samples were placed into vials containing a milk preservative and were shipped to a commercial analysis laboratory (Dairy Express Herd Recording Service Armidale, NSW, Australia). Cow weights were recorded automatically after each milking session using a walk-over weigh unit (WOW) (Datamars, New Zealand).

2.3. Statistical Analysis and Data Management

Each cow’s LW change (dLW) was calculated as LW on week minus average LW at baseline (LW recorded during the first-week post calving). Milk somatic cell counts were log transformed to stabilize the variance and to meet the assumption of normality distribution. There were two final datasets: weekly milk and LW, and bi-monthly milk datasets. The weekly milk and LW dataset comprised of unique cow identification number, cow experimental group (Control and DFM), production season (categorical variable with two levels), cow parity (categorical variable; with two levels 1 for first and second parity cows and two otherwise), days in milk (DIM), cow dLW (continuous variable; kg – positive values represents gains), breed (Holstein-Friesian [HF] or HF-cross), average milk production at baseline (L; first week of lactation), and average LW at baseline (kg). The milk component dataset comprised of cow identification number, experimental group, parity, DIM, breed, dLW, LW at baseline, milk fat yield (kg), milk fat yield at baseline, milk protein yield (kg), milk protein yield at baseline, milk somatic cell counts (SCC, ‘000 cells/mL), and SCC at baseline.
Mean differences in milk yield, milk fat yield, milk protein yield, milk SCC and dLW and experimental groups were compared using separate mixed-effects linear regression models which allowed for clustering within cow, clustering within experimental group, and the repeated measures over time. In these models, cow was fitted as a random effect and the experimental group was fitted as a fixed effect.
The following modelling process was used to develop the milk yield model, which applies to all remaining models. To quantify the predictive effect of cows’ experimental group on milk yield, a linear mixed effect model was fitted to estimate milk yield as a function of a set of explanatory variables (i.e., DIM, milk yield at baseline, experimental group, breed, production season, and parity). The model was built using a forward modelling procedure with cow fitted as a random intercept and DIM as a random slope. The error terms of the residuals were assumed to follow a normal distribution with a mean of zero, and variance of σ2 and follow an autoregressive correlation structure of the first order. First order interaction terms were tested and were retained if interaction terms were significant at a likelihood ratio test P value of 0.05 or less. Except for experimental groups and their first-order interaction with DIM, explanatory variables were retained in the final model if they achieved statistical significance at a likelihood ratio test P value of 0.05 or less. The order of DIM polynomial (if any) was determined by the likelihood ratio test and the Akaike information criterion (AIC). Overall model fit was based on the AIC, Bayesian information criterion (BIC) and visual assessment of Pearson’s residuals against fitted values, Q-Q standardised residuals against standardised normal quantiles to test the assumption of homogeneity of the variance of the error terms. All analyses were carried out using nlme (Bates and Maechler, 2010) and lme4 (Bates, 2007) statistical packages in R (R Development Team, 2023).

3. Results

A total of 9253 individual weekly milk yield and LW records and 717 bi-monthly milk component records were available for the analyses. A total of 122 cows (81%) completed the study with 66 cows (88%) in the Control group and 56 cows (75%) in the DFM group. Twenty-eight cows were removed from the study for reasons unrelated to the treatment (chronic mastitis, n=7; infertility, n=6; abortion, n=7; lameness, n=3; low production, n=3; and traumatic reticuloperitonitis, n=2).

3.1. Milk Yield and Liveweight

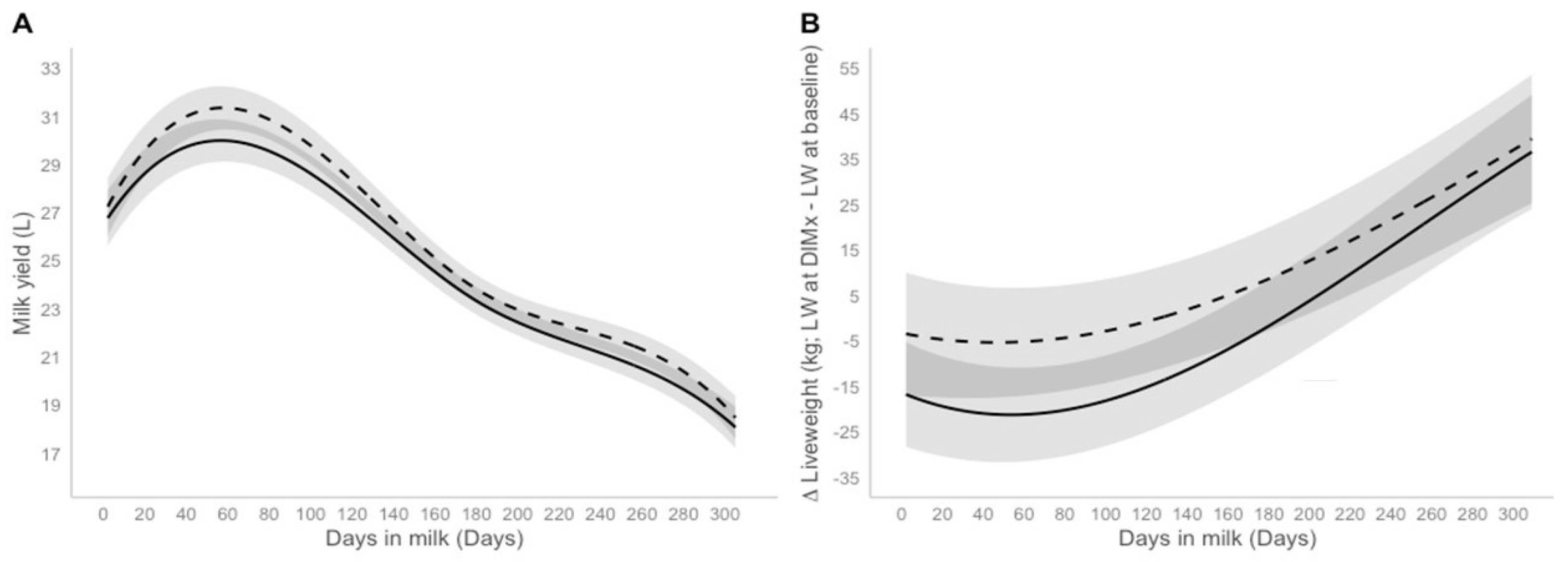
Compared with cows in the Control group, the DFM cows, on average, gained more liveweight (19.40 kg 95% CI 0.44; 38.30, P = 0.05; Table 1; Figure 1 B) throughout the study. In the 2022/23 production season (hereafter termed second production season), DFM cows mobilized more LW (-6.06 kg 95% CI -10.49; -1.61, P = 0.01; Table 1; Figure 1 B) and produced more milk (0.39 L/d 95% CI 0.10; 0.89, P = 0.05; Table 2) compared with the Controls. In the second production season, and after controlling for the effect of variables shown in Table 1, on average, the estimated milk yield for DFM cows across the full lactation was at least 258L (95% CI 252L; 265L, P = 0.05) greater than the Control cows. Predicted lactation curves for the second season are shown in Figure 1 A. DFM cows had consistently higher milk production during early lactation, at peak milk production, and at 200 DIM.

3.2. Milk Components

No differences between the groups were found in the fat yield (0.04 kg 95% CI -0.22; 0.31 kg/day; P = 0.76), protein yield (-0.04 kg 95% CI -0.15; 0.30; P = 0.53), or log milk somatic cell counts (-0.33 95% CI -2.37; 1.68; P = 0.72).

4. Discussion

The present study aimed to evaluate the long-term effects of supplementing a DFM on milk yield and components in Holstein dairy cows under commercial settings. Previous studies have reported potential benefits of using DFMs to enhance production performance and health in dairy cows during transition and lactation periods [6,12,13]. However, in our study, we did not observe improvements in milk production during the initial stages following DFM treatment commencing in mid-lactation of the first production season (2021). The average milk yield tended to be higher in non-treated cows from baseline and throughout this lactation, although the difference was not statistically significant. Lack of improvement in milk yield after DFM supplementation, has been reported in other studies, where differences in diet composition, combination of multiple DFMs, dosage, treatment duration and feed intake may have influenced the outcomes [1,9,10,14,15]. The lack of improvement after supplementing cows in mid-lactation during the 2021/22 production season may be associated with the complex interactions between nutrition, lactation performance and reproductive processes that exist in dairy cows during mid-lactation. During this stage, dairy cows have typically gone past peak milk productivity and a natural yield reduction is expected. In addition, they have overcome negative energy balance and they are improving body condition [16]. Thus, the energy demand for milk production is less and any energy excess is diverted towards maintenance of pregnancy, recovering liveweight and building up the body reserves for next lactation. These physiological changes may have impacted the lack of initial responses to DFM supplementation.
In our study, we maintained the daily administration of DFM during the dry and transition periods to ensure dosing frequency and to overcome any potential low survival rate and to assist with the establishment of DFMs in the rumen [13]. In the second production season (2022/2023), DFM-fed cows produced more milk during the most productive stages of lactation and recovered bodyweight faster during early lactation. Specifically, DFM cows yielded between 0.10 L/d to 0.89 L/d more milk reflecting a 3% increase in milk production during the initial 100 DIM compared to control cows. Similar positive effects of DFMs have been reported previously. Carpineli et al., [17] found 2.5 kg/d higher milk production in cows supplemented with yeast culture during the drying off period and early lactation. Nocek et al., [2] found 0.9 kg/d to 2.3 kg/d throughout the first 70 d of lactation higher milk production in cows supplemented with mixture of yeast and E. faecium during both transition and postpartum period. Postpartum cows typically mobilise adipose and muscular tissues to meet the energy demands for milk production, resulting in weight loss [18] .Additionally, DFM-fed cows showed a more accelerated postpartum recovery of body weight, .which had a positive correlation with milk yield in other DFM studies [19,20] These positive effects of DFM on milk production and body weight are attributed to the subsequent effects of DFMs on dry matter intake during the periparturient period [2] the number of cellulolytic and fiber-degrading bacteria [6,20], changes in the volatile fatty acid profile in the rumen and changes in the profile of metabolites (glucose, NEFA and BHBA) during early lactation.
It is possible that supplementing with DFMs requires a long establishment period before a change in production is observed. At the beginning of this study the control group tended to be more productive. This tendency appeared to diminish through the first production season and then was reversed in the subsequent second production season. Increasing the number of CFU contained in the supplement dose may accelerate the temporal response in milk production that we observed.
We did not find any significant differences in milk components yield (fat and protein) or somatic cell counts between the DFM and Control groups. This result is consistent with studies that reported no effect on milk composition with the inclusion of DFM in the diet [1,3,9] suggesting that DFM supplementation does not affect milk composition directly.
Field studies conducted in commercial settings present challenges due to the limited control over management decisions that can impact daily operations. In this study, we acknowledge certain limitations that should be considered when interpreting the results. One notable limitation was the lack of precise control over daily individual intake per animal. The DFM was top-dressed on the daily ration using a manual sprayer which did not allow for accurate monitoring of the treatment dose intake on a per-animal basis. Alternative approaches, such as Calan gates [3], tie-stall housing [9] or individual treatment administration [20], are impractical under commercial conditions. However, it should be noted that the daily and continuous administration of the DFM may partially mitigate this issue. Additionally, extreme weather conditions, such as the record-breaking rainfall in 2022 [21] impacted the study and may have affected productive performance during the second lactation season in both groups. Although this limitation exists, the observational nature of the study serves as a valuable tool for generating hypotheses to be further tested under more controlled conditions, where greater control over individual intake may be achieved. Finally, although the current study has a strong internal validity, due to constraints in external validity, the direct application of the study findings to broader herds is limited. It is essential to highlight that the conclusions drawn from this study are relevant primarily to the specific source population and other animals belonging to the target population, sharing analogous characteristics, and managed under similar conditions as elucidated earlier. Therefore, it is imperative to undertake further investigation to duplicate the study’s results across various settings before extending the implications to a more extensive and diverse population.

5. Conclusions

Under the conditions of this field trial, we observed that the continuous and prolonged administration of a Lacticaseibacillus- and Lentilactobacillus-based DFM to lactating dairy cows had a positive effect on milk production in the long term. The improvement in milk production appeared to be most profound in early lactation. However, it is not clear from this study the mechanism underlying the lift in production. Further research in more controlled experiments is needed to determine the driver of the lift in production observed in this study.

Author Contributions

Conceptualization and methodology, ORG, JA, MS; validation and formal analysis, JA, HL; investigation, ORG.; data curation, JA, HL; writing—original draft preparation, ORG, JA, DB, MS writing—review and editing ORG, JA, DB, MS; supervision and project administration, ORG, MS; funding acquisition, MS. All authors have read and agreed to the published version of the manuscript.

Funding

This research was funded by Terragen Biotech Pty Ltd.

Institutional Review Board Statement

This study followed the guidelines outlined in the Animal Ethics permit (AE0364, 12/2020) from The University of Queensland

Data Availability Statement

Data will be available on request by contacting the author.

Acknowledgments

Tredegar Park and Paul Roderick’s farm and all the staff involved for their technical support.

Conflicts of Interest

Authors Ramirez-Garzon and Soust are employees of Terragen Biotech. The authors have not stated any other conflicts of interest.

References

  1. Oetzel, G.R., et al., Direct-Fed Microbial Supplementation and Health and Performance of Pre- and Postpartum Dairy Cattle: A Field Trial. J Dairy Sci, 2007. 90(4): p. 2058-2068. [CrossRef]
  2. Nocek, J.E., et al., Direct-Fed Microbial Supplementation on the Performance of Dairy Cattle During the Transition Period1. J Dairy Sci, 2003. 86(1): p. 331-335. [CrossRef]
  3. Boyd, J., J.W. West, and J.K. Bernard, Effects of the addition of direct-fed microbials and glycerol to the diet of lactating dairy cows on milk yield and apparent efficiency of yield. J Dairy Sci, 2011. 94(9): p. 4616-4622. [CrossRef]
  4. Lamontagne, J., et al., Effects of direct-fed Bacillus subtilis and Bacillus licheniformis on production performance and milk fatty acid profile in dairy cows. J Dairy Sci, 2023. 106(3): p. 1815-1825. [CrossRef]
  5. Williams, S.R.O., et al., The Effect of Direct-Fed Lactobacillus Species on Milk Production and Methane Emissions of Dairy Cows. Animals (Basel), 2023. 13(6). [CrossRef]
  6. Xu, H., et al., The effects of probiotics administration on the milk production, milk components and fecal bacteria microbiota of dairy cows. Sci Bull, 2017. 62(11): p. 767-774. [CrossRef]
  7. AlZahal, O., et al., Active dry <em>Saccharomyces cerevisiae</em> can alleviate the effect of subacute ruminal acidosis in lactating dairy cows. Journal of Dairy Science, 2014. 97(12): p. 7751-7763.
  8. Sun, P., J.Q. Wang, and L.F. Deng, Effects of Bacillus subtilis natto on milk production, rumen fermentation and ruminal microbiome of dairy cows. Animal, 2013. 7(2): p. 216-222. [CrossRef]
  9. Raeth-Knight, M.L., J.G. Linn, and H.G. Jung, Effect of direct-fed microbials on performance, diet digestibility, and rumen characteristics of Holstein dairy cows. J Dairy Sci, 2007. 90(4): p. 1802-9. [CrossRef]
  10. Ferreira, G., et al., Production performance and nutrient digestibility of lactating dairy cows fed low-forage diets with and without the addition of a live-yeast supplement. J Dairy Sci, 2019. 102(7): p. 6174-6179. [CrossRef]
  11. Malekkhahi, M., et al., Effects of supplementation of active dried yeast and malate during sub-acute ruminal acidosis on rumen fermentation, microbial population, selected blood metabolites, and milk production in dairy cows. Anim Feed Sci Technol, 2016. 213: p. 29-43. [CrossRef]
  12. Ban, Y. and L.L. Guan, Implication and challenges of direct-fed microbial supplementation to improve ruminant production and health. J Anim Sci Biotechnol, 2021. 12(1): p. 109. [CrossRef]
  13. Monteiro, H.F., et al., Effects of lactic acid-producing bacteria as direct-fed microbials on the ruminal microbiome. J Dairy Sci, 2022. 105(3): p. 2242-2255. [CrossRef]
  14. Dehghan-Banadaky, M., et al., Effects of live yeast supplementation on mid-lactation dairy cows performances, milk composition, rumen digestion and plasma metabolites during hot season. J Appl Ani Res, 2013. 41(2): p. 137-142. [CrossRef]
  15. Goldsmith, K., et al., The effect of supplementing native rumen microbes on milk production of dairy cows. JDS Commun, 2023. 4(1): p. 31-34. [CrossRef]
  16. Walters, A.H., et al., Milk yield, energy balance, hormone, follicular and oocyte measures in early and mid-lactation Holstein cows. Theriogenology, 2002. 57(2): p. 949-961. [CrossRef]
  17. Carpinelli, N.A., et al., Effects of peripartal yeast culture supplementation on lactation performance, blood biomarkers, rumen fermentation, and rumen bacteria species in dairy cows. J Dairy Sci, 2021. 104(10): p. 10727-10743. [CrossRef]
  18. Peiter, M., L. Caixeta, and M. Endres, Association between change in body weight during early lactation and milk production in automatic milking system herds. JDS Communications, 2023. 4. [CrossRef]
  19. Lehloenya, K.V., et al., Effects of feeding yeast and propionibacteria to dairy cows on milk yield and components, and reproduction*. J Anim Physiol Anim Nutr (Berl), 2008. 92(2): p. 190-202. [CrossRef]
  20. Stein, D.R., et al., Effects of feeding propionibacteria to dairy cows on milk yield, milk components, and reproduction. J Dairy Sci, 2006. 89(1): p. 111-25. [CrossRef]
  21. Bureau of Meteorology. Climate Data Online,. 2022 3/10/2023]; Available from: http://www.bom.gov.au/climate/data/.
Figure 1. Line plot of predicted marginal milk yield means (A), change in liveweight (B) and their 95% confidence intervals of first and second parity cows in the Control Group (solid line) and DFM Group (dashed line) that have calved in the 2022/2023 production season and had an average milk production at baseline of 25 L/d and an average liveweight at baseline of 550 kg.
Figure 1. Line plot of predicted marginal milk yield means (A), change in liveweight (B) and their 95% confidence intervals of first and second parity cows in the Control Group (solid line) and DFM Group (dashed line) that have calved in the 2022/2023 production season and had an average milk production at baseline of 25 L/d and an average liveweight at baseline of 550 kg.
Preprints 89462 g001
Table 1. Estimated coefficients and 95% confidence interval of explanatory variables influencing the association between change in liveweight (kg) and the experimental groups. Coefficients estimated from a mixed effects model with random intercepts (cow) and random slopes (days in milk).
Table 1. Estimated coefficients and 95% confidence interval of explanatory variables influencing the association between change in liveweight (kg) and the experimental groups. Coefficients estimated from a mixed effects model with random intercepts (cow) and random slopes (days in milk).
Explanatory variable Coefficient (SE) 95% Confidence Interval P-value
Intercept -57.73 (6.24) -69.91; -45.52 <0.001
Days in milk (DIM) fitted as 4th order cubic spline §§ <0.001
Experimental groups 0.05
Control
DFM £ 19.40 (9.70) 0.44; 38.30 0.05
Liveweight at baseline 0.22 (0.03) 0.16; 0.28 <0.001
Cow parity <0.001
1st&2nd -20.51 (2.36) -25.16; -15.7
>2nd -49.43 (3.71) -56.72; -41.91
Year <0.001
2021
>2021 40.9 (1.58) 37.68; 44.00
DIM polynomial terms X Experimental group 0.06
DFM X Production season 0.01
Control X 2021 Reference
2022/2023 -6.06 (2.27) -10.49; -1.61
§ Likelihood ratio P values; §§ a Fourth order of cubic spline polynomial was determined by the likelihood ratio test and model AIC. DIM - Days in Milk. £ DFM-- Direct Fed Microbials.
Table 2. Estimated coefficients and 95% confidence interval of explanatory variables influencing the association between milk yield (L/d) and experimental groups. Coefficients estimated from a mixed effects model with random intercepts (cow) and random slopes (days in milk).
Table 2. Estimated coefficients and 95% confidence interval of explanatory variables influencing the association between milk yield (L/d) and experimental groups. Coefficients estimated from a mixed effects model with random intercepts (cow) and random slopes (days in milk).
Explanatory variable Coefficient (SE) 95% Confidence Interval P-value
Intercept 23.06 (1.05) 19.38; 24.16 < 0.001
Days in milk (DIM) fitted as 4th order cubic spline §§
Experimental groups 0.91
Control Reference
DFM £ 0.09 (0.83) -1.54; 1.72
Milk yield at baseline(L) 0.23 (0.03) 0.19; 0.31 <0.001
Cow parity <0.001
1st&2nd Reference
>2nd 1.77 (0.16) 1.54; 2.20
Production season <0.001
First (2021) Reference
Second (>2021) -3.59 (0.14) -3.87; -3.30
DIM polynomial terms X Experimental group 0.07
Control X DIM terms Reference
Experimental Group X Production season 0.05
Control X 2021 Reference
2022/2023 0.39 (0.19) 0.10; 0.89
§ Likelihood ratio P values; §§ Fourth order of cubic spline polynomial was determined by the likelihood ratio test and model AIC. DIM - Days in Milk. £ DFM-- Direct Fed Microbials.
Disclaimer/Publisher’s Note: The statements, opinions and data contained in all publications are solely those of the individual author(s) and contributor(s) and not of MDPI and/or the editor(s). MDPI and/or the editor(s) disclaim responsibility for any injury to people or property resulting from any ideas, methods, instructions or products referred to in the content.
Copyright: This open access article is published under a Creative Commons CC BY 4.0 license, which permit the free download, distribution, and reuse, provided that the author and preprint are cited in any reuse.
Prerpints.org logo

Preprints.org is a free preprint server supported by MDPI in Basel, Switzerland.

Subscribe

Disclaimer

Terms of Use

Privacy Policy

Privacy Settings

© 2026 MDPI (Basel, Switzerland) unless otherwise stated