Submitted:
30 October 2023
Posted:
31 October 2023
You are already at the latest version
Abstract

Keywords:
1. Introduction
2. Materials and Methods
2.1. Materials
2.2. Fourier-Transform Infrared Spectroscopy
2.3. Raman Spectroscopy
2.4. Cell Viability
2.5. Inhibitory Effects on Nitric Oxide (NO) Production
2.6. Western Blot
3. Results and Discussion
3.1. Spectroscopic Investigation of Electrospun PVDF and PU Nanofibers
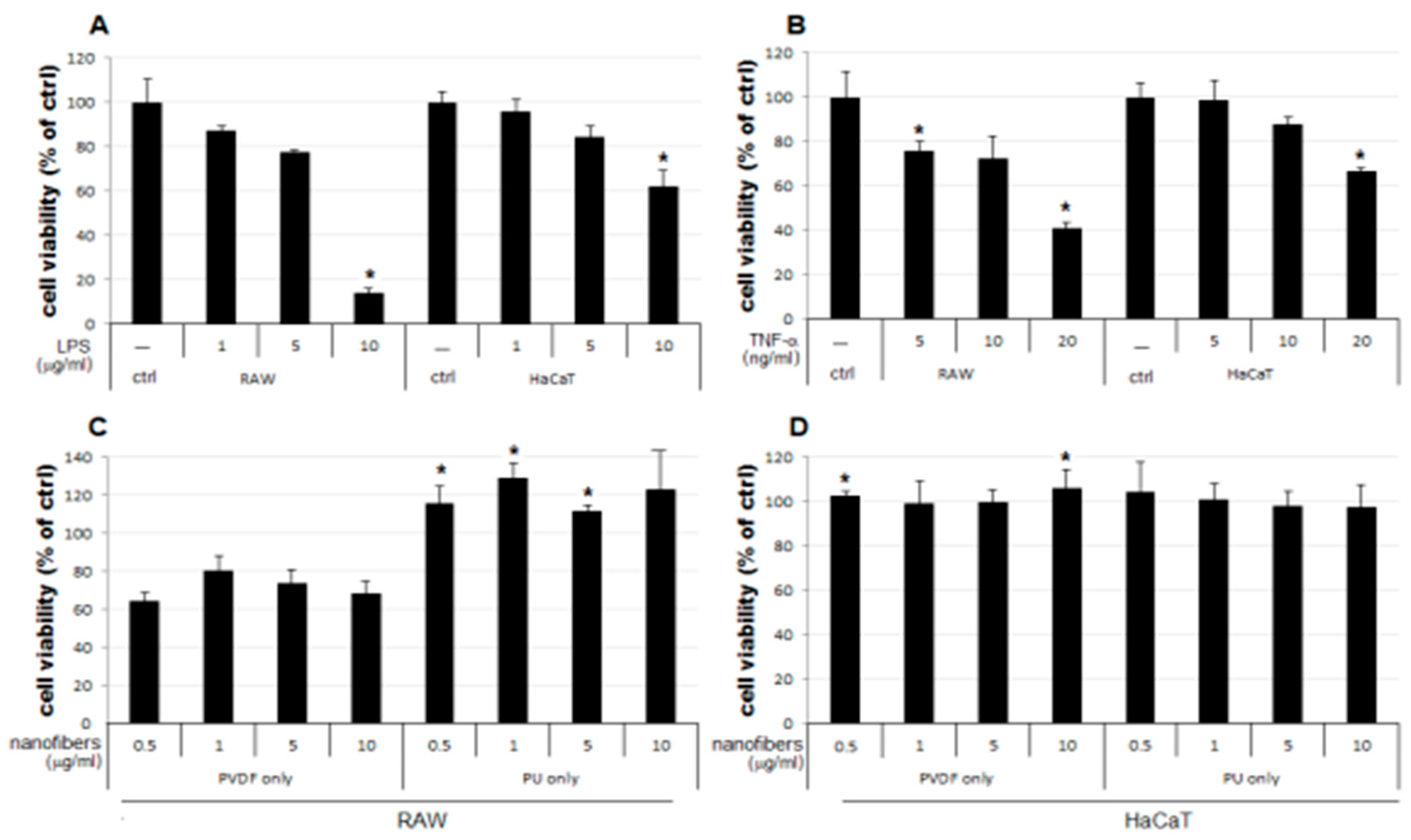
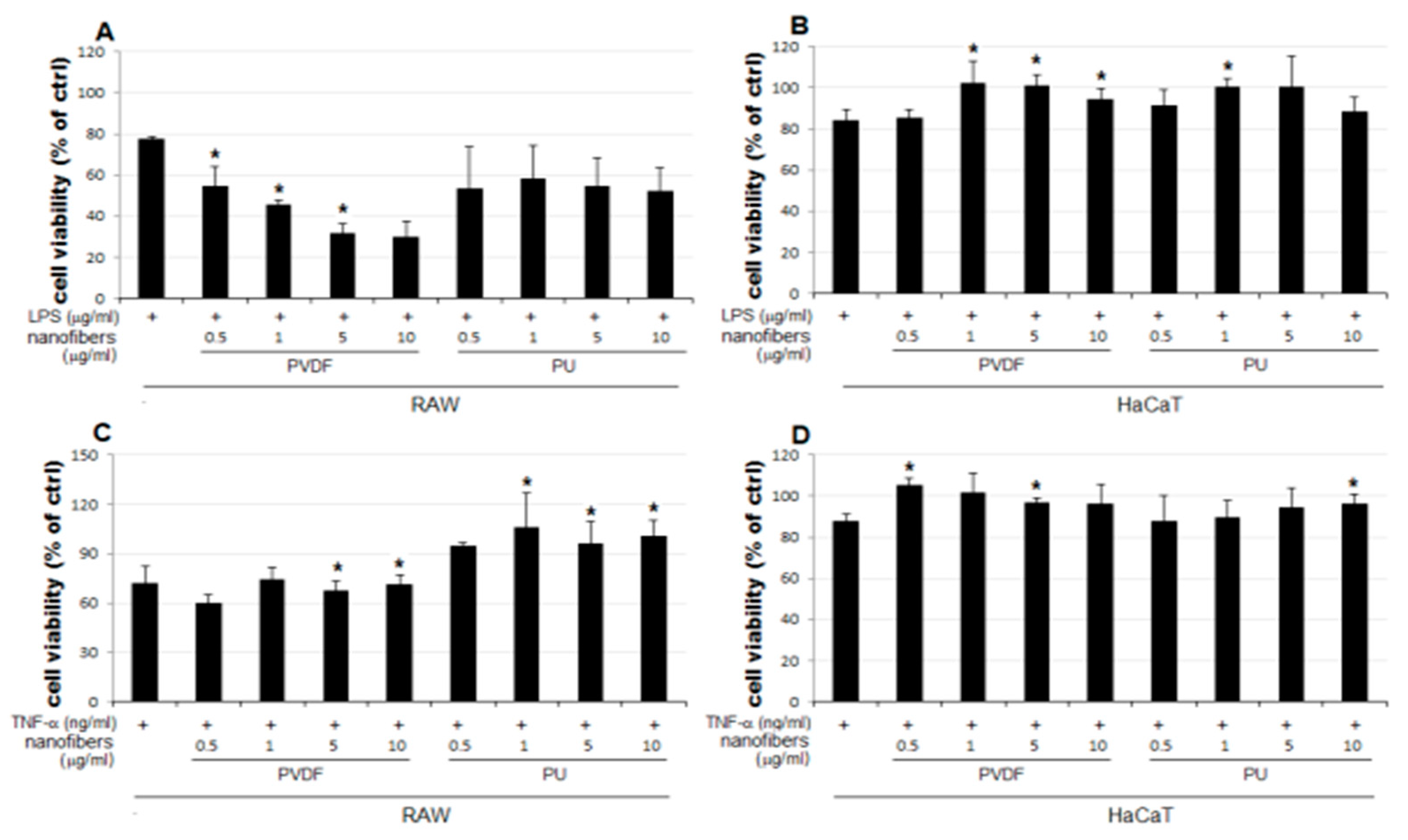
3.2. Anti-Inflammatory Activity Investigation of PVDF and PU NFs
3.3. Inhibitory Effects of PVDF and PU NFs on Nitric Oxide Production
3.4. Inhibitory Effects of PU NFs on iNOS and COX-2 Protein Expression
4. Conclusion
- The cell viability is unaffected in HaCaT cells treated with only NFs (Figure 4D). The cell viability increased in cells simultaneously treated with LPS or TNF-α and PU or PVDF NFs.
- The treatment with PU and PVDF NFs was effective in inhibiting the expression of inflammatory mediators in RAW 264.7 cells.
- The LPS-induced iNOS expression in RAW 264.7 cells decreased after treatment with PU NFs at 0.1, 0.5, 1, and 5 μg/mL, indicating a high level of inhibition in a concentration-dependent manner. The inhibition of COX-2 expression was observed at equal concentrations, whereas the level of inhibition was higher compared to cells treated with LPS.
Author Contributions
Funding
Institutional Review Board Statement
Data Availability Statement
Acknowledgments
Conflicts of Interest
References
- Tiwari, J.N.; Tiwari, R.N.; Kim, K.S. Zero-dimensional, one-dimensional, two-dimensional and three-dimensional nanostructured materials for advanced electrochemical energy devices. Prog. Mater. Sci. 2012, 57(4), 724–803. [CrossRef]
- Laurent et al., Title of the article. Chem. Rev. 2010, 110.
- Dreaden, E.C.; Alkilany, A.M.; Huang, X.; Murphy, C.J.; El-Sayed, M.A. The golden age: Gold nanoparticles for biomedicine. Chem. Soc. Rev. 2012, 41(7), 2740–2779. [CrossRef]
- Dreaden, E.C.; Alkilany, A.M.; Huang, X.; Murphy, C.J.; El-Sayed, M.A. The golden age: Gold nanoparticles for biomedicine. Chem. Soc. Rev. 2012, 41(7), 2740–2779. [CrossRef]
- Nowrouzi A.; Meghrazi K.; Golmohammadi T.; Golestani A.; Ahmadian S.; Shafiezadeh M.; Shajary Z.; Khaghani S.; Amiri A.N. Cytotoxicity of subtoxic AgNP in human hepatoma cell line (HepG2) after long-term exposure. Iran. Biomed. J. 2010, 14(1-2), 23–32.
- De Berardis B.; Civitelli G.; Condello M.; Lista P.; Pozzi R.; Arancia G.; Meschini, S. Exposure to ZnO nanoparticles induces oxidative stress and cytotoxicity in human colon carcinoma cells. Toxicol. Appl. Pharmacol. 2010, 246(3), 116–127. [CrossRef]
- Vishwakarma V.; Samal S.S.; Manoharan N. Safety and risk associated with nanoparticles-a review. J. Minerals Mater. Charact. Eng. 2010, 9(5), 455. [CrossRef]
- Yang L.; Watts D.J. Particle surface characteristics may play an important role in phytotoxicity of alumina nanoparticles. Toxicol. Lett. 2005, 158(2), 122–132.
- Mostafalou S.; Mohammadi H.; Ramazani A.; Abdollahi M. Different biokinetics of nanomedicines linking to their toxicity; an overview. Daru J. Pharm. Sci. 2013, 21(1), 14. [CrossRef]
- Oberdörster G.; Oberdörster E.; Oberdörster J. Nano-toxicology: An emerging discipline evolving from studies of ultrafine particles. Environ. Health Perspect. 2005, 113(7), 823–839.
- Tucker, N.; Stanger, J.J.; Staiger, M.P.; Razzaq, H.; Hofman, K. The history of the science and technology of electrospinning from 1600 to 1995. J. Eng. Fibers Fabr. 2012, 7(2_suppl), 155892501200702S10. [CrossRef]
- Aman Mohammadi, M.; Hosseini, S.M.; Yousefi, M. Application of electrospinning technique in development of intelligent food packaging: A short review of recent trends. Food Sci. Nutr. 2020, 8(9), 4656-4665. [CrossRef]
- Kim, H.H.; Park, Y.H.; Yoon, K.J.; Kim, K.O. Fabrication of nanofibrous silkworm gland three-dimensional scafold containing micro/nanoscale pores and study of its efects on adipose tissue-derived stem cell growth. J. Mater. Sci. 2016, 51, 9267–9278.
- Kim, K.O.; Akada, Y.; Kai, W.; Kim, B.S.; Kim, I.S. Cells attachment property of PVA hydrogel nanofibers incorporating hyaluronic acid for tissue engineering. J. Biomater. Nanobiotechnol. 2011, 2, 353–360. [CrossRef]
- Park, J.C.; Ito, T.; Kim, K.O.; Kim, K.W.; Kim, B.S.; Khil, M.S.; Kim, H.Y.; Kim, I.S. Electrospun poly (vinyl alcohol) nanofibers: effects of degree of hydrolysis and enhanced water stability. Polymer J. 2010, 42(3), 273–276. [CrossRef]
- Saallah, S.; Naim, M.N.; Lenggoro, I.W.; Mokhtar, M.N.; Bakar, N.F.A.; Gen, M. Immobilisation of cyclodextrin glucanotransferase into polyvinyl alcohol (PVA) nanofibres via electrospinning. Biotechnol. Rep. 2016, 10, 44–48. [CrossRef]
- Kim, G.J.; Yoon, K.J.; Kim, K.O. Glucose-responsive poly (vinyl alcohol)/β-cyclodextrin hydrogel with glucose oxidase immobilization. J. Mater. Sci. 2019, 54, 12806–12817.
- Kharaghani, D.; Gitigard, P.; Ohtani, H.; Kim, K.O.; Ullah, S.; Saito, Y.; Khan, M.Q.; Kim, I.S. Design and characterization of dual drug delivery based on in-situ assembled PVA/PAN core-shell nanofibers for wound dressing application. Sci. Rep. 2019, 9(1), 12640. [CrossRef]
- Kim, G.J.; Kim, K.O. Novel glucose-responsive of the transparent nanofiber hydrogel patches as a wearable biosensor via electrospinning, Sci. Rep. 2020, 10 (1), 18858. [CrossRef]
- Wei, K.; Kim, K.O.; Song, K.H.; Kang, C.Y.; Lee, J.S.; Gopiraman, M.; Kim, I.S. Nitrogen-and oxygen-containing porous ultrafine carbon nanofiber: a highly flexible electrode material for supercapacitor, J. Mater. Sci. Technol. 2017, 33(5), 424–431. [CrossRef]
- Kim, K.O.; Kim, G.J.; Kim, J.H. A cellulose/β-cyclodextrin nanofiber patch as a wearable epidermal glucose sensor. RSC Adv. 2019, 9(40), 22790-22794. [CrossRef]
- Kim, K.O.; Kim, B.S.; Lee, K.H.; Park, Y.H.; Kim, I.S. Osteoblastic cells culture on electrospun poly (ε-caprolacton) scaffolds incorporating amphiphilic PEG–POSS telechelic. J. Mater. Sci.: Mater. Med. 2013, 24, 2029–2036. [CrossRef]
- Kim, K.O.; Kim, B.S. Immobilization of glucose oxidase on a PVA/PAA nanofiber matrix reduces the effect of the hematocrit levels on a glucose biosensor. J. Fiber Sci. Technol. 2017, 73(1), 27–33. [CrossRef]
- Lee, S.J.; Yoo, J.J.; Lim, G.J.; Atala, A.; Stitzel, J. In vitro evaluation of electrospun nanofiber scaffolds for vascular graft application. J. Biomed. Mater. Res. A 2007, 83(4), 999–1008. [CrossRef]
- Gomes, S.R.; Rodrigues, G.; Martins, G.G.; Roberto, M.A.; Mafra, M.; Henriques, C.M.R.; Silva, J.C. In vitro and in vivo evaluation of electrospun nanofibers of PCL, chitosan and gelatin: A comparative study. Mater. Sci. Eng. C 2015, 46, 348–358. [CrossRef]
- Nakkala, J.R.; Yao, Y.; Zhai, Z.; Duan, Y.; Zhang, D.; Mao, Z.; Lu, L.; Gao, C. Dimethyl itaconate-loaded nanofibers rewrite macrophage polarization, reduce inflammation, and enhance repair of myocardic infarction. Small 2021, 17(17), 2006992.
- Sadeghi-Soureh, S.; Jafari, R.; Gholikhani-Darbroud, R.; Pilehvar-Soltanahmadi, Y. Potential of Chrysin-loaded PCL/gelatin nanofibers for modulation of macrophage functional polarity towards anti-inflammatory/pro-regenerative phenotype. J. Drug Delivery Sci. Technol. 2020, 58, 101802. [CrossRef]
- Wilson, V.G. Growth and differentiation of HaCaT keratinocytes. Epidermal Cells: Methods Protocol. 2014, 33–41.
- Kong, L.; Smith, W.; Hao, D. Overview of RAW264. 7 for osteoclastogensis study: Phenotype and stimuli. J. Cellular Mol. Med. 2019, 23(5), 3077–3087. [CrossRef]
- Park, J.; Kim, H.D.; Lee, S.H.; Kwak, C.H.; Chang, Y.C.; Lee, Y.C.; Chung, T.W.; Magae, J.; Kim, C.H. Ascochlorin induces caspase-independent necroptosis in LPS-stimulated RAW 264.7 macrophages. J. Ethnopharmacol. 2019, 239, 111898. [CrossRef]
- Twentyman, P.R.; Luscombe, M. A study of some variables in a tetrazolium dye (MTT) based assay for cell growth and chemosensitivity. Br. J. Cancer 1987, 56(3), 279–285. [CrossRef]
- Elashmawi, I.S. Effect of LiCl filler on the structure and morphology of PVDF films. Mater. Chem. Phys. 2008, 107(1), 96–100. [CrossRef]
- Ye, Y.U.N.; Jiang, Y.; Wu, Z.; Zeng, H. Phase transitions of poly (vinylidene fluoride) under electric fields. Integr. Ferroelectr. 2006, 80(1), 245–251. [CrossRef]
- Li, J.C.; Wang, C.L.; Zhong, W.L.; Zhang, P.L.; Wang, Q.H.; Webb, J.F. Vibrational mode analysis of β-phase poly (vinylidene fluoride). Appl. Phys. Lett. 2002, 81(12), 2223–2225. [CrossRef]
- Boccaccio, T.; Bottino, A.; Capannelli, G.; Piaggio, P. Characterization of PVDF membranes by vibrational spectroscopy. J. Membrane Sci., 2002, 210(2), 315–329. [CrossRef]






![]() |
Disclaimer/Publisher’s Note: The statements, opinions and data contained in all publications are solely those of the individual author(s) and contributor(s) and not of MDPI and/or the editor(s). MDPI and/or the editor(s) disclaim responsibility for any injury to people or property resulting from any ideas, methods, instructions or products referred to in the content. |
© 2023 by the authors. Licensee MDPI, Basel, Switzerland. This article is an open access article distributed under the terms and conditions of the Creative Commons Attribution (CC BY) license (http://creativecommons.org/licenses/by/4.0/).
