Submitted:
28 October 2023
Posted:
30 October 2023
Read the latest preprint version here
Abstract
Keywords:
1. Introduction
2. Materials and Methods
2.1. Market Survey and Collection of Samples
2.2. Measurement of Specific Gravity
2.3. Thermogravimetric Analysis TGA
2.4. Use of Eggshells as a Cement Replacement
2.4.1. Selection of Eggshells
2.4.2. Properties of OPC, LS, and Selected ES
2.4.3. Detail of Concrete Mixes and Strength Measurement
3. Results
3.1. Specific Gravity of Sample Eggshells
3.2. Quantification of Minerals
3.3. Application of Eggshells as a Cement Replacement
3.3.1. Selection of Eggshells and their Properties
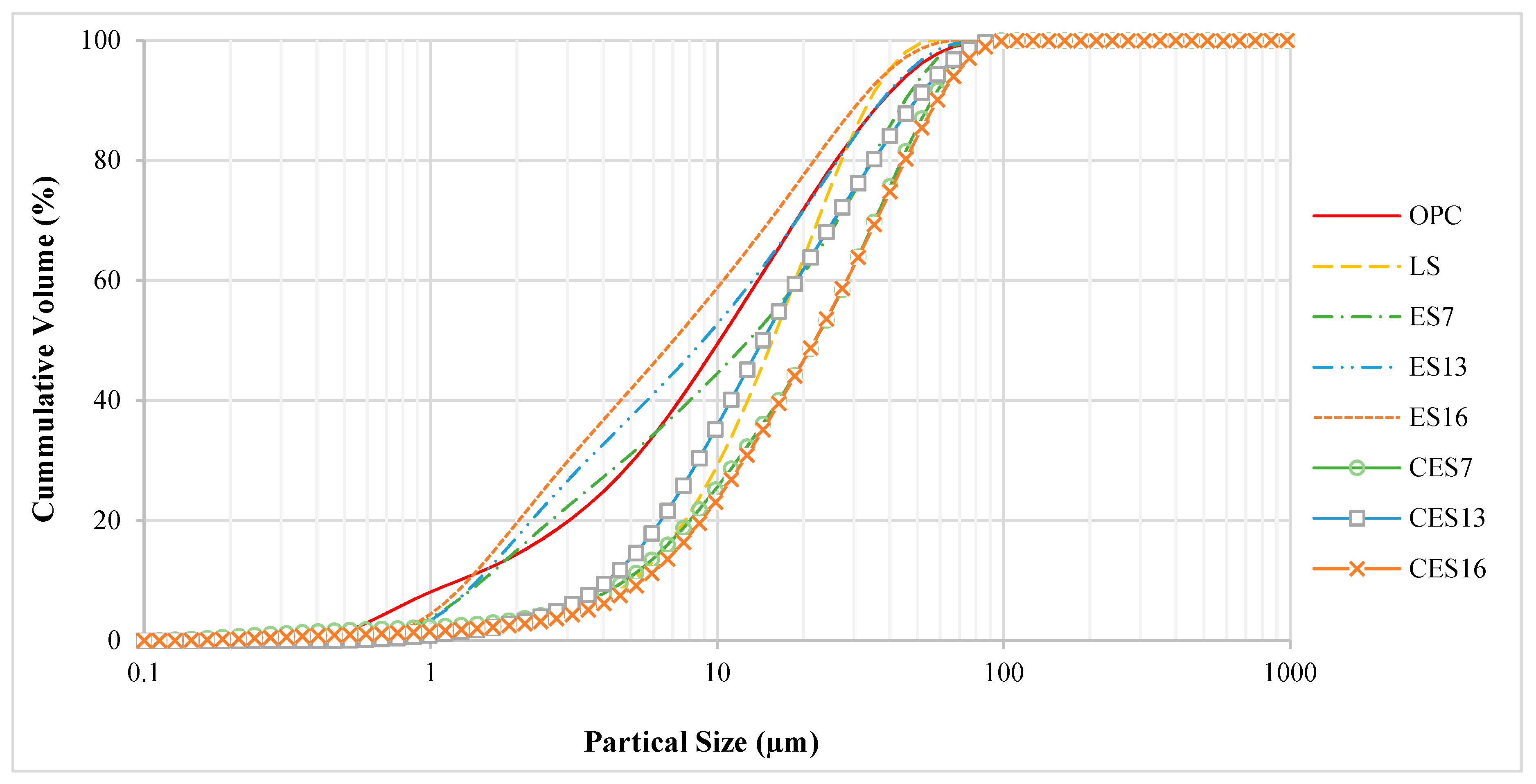
3.3.2. Compressive Strength and Relative Strength (RS) of Concrete Specimens
4. RESULTS
4.1. Calcium Carbonate vs. Specific Gravity in Uncalcined Eggshells
4.2. Role of Calcium Carbonate
4.2.1. Calcium Carbonate vs Strength Development
4.2.2. Filler Effect and Heterogenous Nucleation
4.3. Role of Calcium Oxide in Strength Development in Mixes with CES
5. Conclusions
- The specific gravity of eggshells from across the world is lower than the extra pure limestone due to an organic matrix. Thus, the eggshells are impure biological limestone having less mineral content as compared to additional pure limestone. The brown pigmentation in eggshells causes higher specific gravity but does not affect the mineral content. Furthermore, the quality of eggshells from different regions worldwide can be defined by their micro-structure in addition to their specific gravity and mineral contents.
- The eggshells from different regions across the globe, both in uncalcined state and calcined state with decomposed CaCO3, are viable to use as a replacement of cement The variation in the strength due to the variation in mineral content is acceptable. However, the strength of mixes with calcined eggshells is closer to the control mix and mixed with limestone. The CaCO3 content is the major contributor towards strength development by producing filler/dilution effect and heterogenous nucleation depending upon the size of particles in addition to the CaCO3 content, whereas CaO is another factor towards strength development by increasing the quantity of free CaO in the cementitious matrix containing calcined eggshells.
Acknowledgment
References
- R.M. Andrew, Global CO2 emissions from cement production, 1928-2018, Earth Syst. Sci. Data. 11 (2019) 1675–1710. [CrossRef]
- T. Matschei, B. Lothenbach, F.P. Glasser, Thermodynamic properties of Portland cement hydrates in the system CaO–Al2O3–SiO2–CaSO4–CaCO3–H2O, 37 (2007) 1379–1410. [CrossRef]
- ASTM, ASTM C125-Standard Terminology Relating to Concrete and Concrete Aggregates, in: ASTM Stand., West Conshohocken, PA, 2003: pp. 1–4.
- S. Tsivilis, E. Chaniotakis, E. Badogiannis, G. Pahoulas, A. Ilias, A study on the parameters affecting the properties of Portland limestone cements, Cem. Concr. Compos. 21 (1999) 107–116. [CrossRef]
- V. Bonavetti, H. Donza, G. Menéndez, O. Cabrera, E.F. Irassar, Limestone filler cement in low w/c concrete: A rational use of energy, Cem. Concr. Res. 33 (2003) 865–871. [CrossRef]
- ASTM, ASTM C150-Standard Specification for Portland Cement, in: ASTM Stand., West Conshohocken, PA, 2015: pp. 1–10. [CrossRef]
- BSI, Methods of testingComposition, Specifications and Conformity Criteria for Common Cements, in: BS EN 197-1, 2011: p. 50.
- D. Wang, C. Shi, N. Farzadnia, Z. Shi, H. Jia, A review on effects of limestone powder on the properties of concrete, Constr. Build. Mater. 192 (2018) 153–166. [CrossRef]
- M. Afzal, Y. Liu, J.C.P. Cheng, V.J.L. Gan, Reinforced concrete structural design optimization: A critical review, J. Clean. Prod. 260 (2020) 120623. [CrossRef]
- S. Tsivilis, G. Batis, E. Chaniotakis, G. Grigoriadis, D. Theodossis, Properties and behavior of limestone cement concrete and mortar, Cem. Concr. Res. 30 (2000) 1679–1683. [CrossRef]
- M. Afzal, S. Maqsood, S. Yousaf, Performance Evaluation of Cost Saving Towards Sustainability in Traditional Construction Using Prefabrication Technique, Int. J. Res. Eng. Sci. ISSN. 5 (2017) 73–79. www.ijres.org.
- ASTM, ASTM C911-Standard Specification for Quick Lime, Hydrated Lime, and Limestone for Selected Chemical and Industrial Uses, in: ASTM Stand., West Conshohocken, PA, 2011: pp. 6–8. [CrossRef]
- F. Ujin, K.S. Ali, Z.Y.H. Harith, Viability of Using Eggshells Ash Affecting the Setting Time of Cement, Int. J. Civil, Environ. Struct. Constr. Archit. Eng. 10 (2016) 327–331.
- S. Maqsood, L.S.S. Eddie, Effect of using Calcined Eggshells as a Cementitious Material on Early Performance, (n.d.) 1–19.
- Y. Liu, M. Afzal, J.C.P. Cheng, J. Gan, Extension of IFC model schema for automated prefabrication of steel reinforcement in concrete structures, in: 8th Int. Conf. Innov. Prod. Constr. (IPC 2020), Hong Kong, China, 2020. https://hdl.handle.net/1783.1/110080.
- H. Binici, O. Aksogan, A.H. Sevinc, E. Cinpolat, Mechanical and radioactivity shielding performances of mortars made with cement, sand and egg shells, Constr. Build. Mater. 93 (2015) 1145–1150. [CrossRef]
- A.H. Sevinç, M.Y. Durgun, A novel epoxy-based composite with eggshell, PVC sawdust, wood sawdust and vermiculite: An investigation on radiation absorption and various engineering properties, Constr. Build. Mater. 300 (2021). [CrossRef]
- D. Cree, P. Pliya, Effect of elevated temperature on eggshell, eggshell powder and eggshell powder mortars for masonry applications, J. Build. Eng. 26 (2019). [CrossRef]
- D. Gowsika, S.S. kokila, K. Sargunan, Experimental Investigation of Egg Shell Powder as Partial Replacement with Cement in Concrete, Int. J. Eng. Trends Technol. 14 (2014) 65–68. [CrossRef]
- N. Parthasarathi, M. Prakash, K.S. Satyanarayanan, Experimental study on partial replacement of cement with egg shell powder and silica fume, Rasayan J. Chem. 10 (2017) 442–449. [CrossRef]
- S. Sohu, N. Bheel, A.A. Jhatial, A.A. Ansari, I.A. Shar, Sustainability and mechanical property assessment of concrete incorporating eggshell powder and silica fume as binary and ternary cementitious materials, Environ. Sci. Pollut. Res. (2022) 58685–58697. [CrossRef]
- A. Teara, D. Shu Ing, Mechanical properties of high strength concrete that replace cement partly by using fly ash and eggshell powder, Phys. Chem. Earth. 120 (2020) 102942. [CrossRef]
- Teara, S.I. Doh, S.C. Chin, Y.J. Ding, J. Wong, X.X. Jiang, Investigation on the durability of use fly ash and eggshells powder to replace the cement in concrete productions, in: IOP Conf. Ser. Earth Environ. Sci., 2019. [CrossRef]
- F. Fatahillah, A. Sumarno, The Effect of Concrete Mixture on Usage Fly Ash and Chicken Egg Shell Powder as Cement Substitutions in Concrete Compressive Strength, Neutron. 22 (2022) 24–30. [CrossRef]
- N.S. Afizah Asman, S. Dullah, J. Lynn Ayog, A. Amaludin, H. Amaludin, C.H. Lim, A. Baharum, Mechanical Properties of Concrete Using Eggshell Ash and Rice Husk Ash As Partial Replacement of Cement, in: MATEC Web Conf., 2017: pp. 4–9. [CrossRef]
- Oliko, C.K. Kabubo, J.N. Mwero, Rice Straw and Eggshell Ash as Partial Replacements of Cement in Concrete, Eng. Technol. Appl. Sci. Res. 10 (2020) 6481–6487. [CrossRef]
- V. Chandrasekaran, M. Vasanth, S. Thirunavukkarasu, Experimental Investigation of Partial Replacement of Cement with Glass Powder and Eggshell Powder Ash in Concrete, Civ. Eng. Res. J. 5 (2018) 1–9. [CrossRef]
- M.E. Mohamad, A.A. Mahmood, A. Yik Yee Min, A.R. Nur Nadhira, Palm Oil Fuel Ash (POFA) and Eggshell Powder (ESP) as Partial Replacement for Cement in Concrete, E3S Web Conf. 34 (2018) 1–8. [CrossRef]
- H. Hamada, B. Tayeh, F. Yahaya, K. Muthusamy, A. Al-Attar, Effects of nano-palm oil fuel ash and nano-eggshell powder on concrete, Constr. Build. Mater. 261 (2020) 119790. [CrossRef]
- N.H. Abd Khalid, N.N. Abdul Rasid, A.R. Mohd Sam, N.H. Abdul Shukor Lim, L. Zardasti, M. Ismail, A. Mohamed, Z.A. Majid, The hydration effect on palm oil fuel ash concrete containing eggshell powder, IOP Conf. Ser. Earth Environ. Sci. 220 (2019). [CrossRef]
- N.H.A. Khalid, N.N.A. Rasid, A.R. Mohdsam, N.H.A.S. Lim, M. Ismail, L. Zardasti, A. Mohamed, Z.A. Majid, N.F. Ariffin, Characterization of palm oil fuel ash and eggshell powder as partial cement replacement in concrete, IOP Conf. Ser. Mater. Sci. Eng. 431 (2018). [CrossRef]
- M. Amin, M.M. Attia, I.S. Agwa, Y. Elsakhawy, K.A. El-hassan, B.A. Abdelsalam, Effects of sugarcane bagasse ash and nano eggshell powder on high-strength concrete properties, Case Stud. Constr. Mater. 17 (2022). [CrossRef]
- S. Kamaruddin, W.I. Goh, A.A. Jhatial, M.T. Lakhiar, Chemical and Fresh State Properties of Foamed Concrete Incorporating Palm Oil Fuel Ash and Eggshell Ash as Cement Replacement, Int. J. Eng. Technol. 7 (2018) 350–354.
- L.R. Siong, Water Absorption and Strength Properties of Lightweight Foamed Concrete with 2.5% and 5.0% Eggshell as Partial Cement Replacement Material, Universiti Tunku Abdul Rehman, 2015.
- Ofuyatan, A.G. Adeniyi, D. Ijie, J.O. Ighalo, J. Oluwafemi, Development of high-performance self compacting concrete using eggshell powder and blast furnace slag as partial cement replacement, Constr. Build. Mater. 256 (2020) 119403. [CrossRef]
- A.S. Aadi, N.H. Sor, A.A. Mohammed, The behavior of eco-friendly self - Compacting concrete partially utilized ultra-fine eggshell powder waste, J. Phys. Conf. Ser. 1973 (2021). [CrossRef]
- N. Hilal, D.M. Al Saffar, T.K.M. Ali, Effect of egg shell ash and strap plastic waste on properties of high strength sustainable self-compacting concrete, Arab. J. Geosci. 14 (2021). [CrossRef]
- Y. Liu, M. Afzal, J.C.P. Cheng, J. Gan, Concrete reinforcement modelling with IFC for automated rebar fabrication, in: 8th Int. Conf. Prod. Constr. (IPC 2020) Will Jointly Organ. with 8th Int. Conf. Constr. Eng. Proj. Manag. (ICCEPM 2020), Hong Kong, China, 2020. https://hdl.handle.net/1783.1/110084.
- M. Afzal, Evaluation and development of automated detailing design optimization framework for RC slabs using BIM and metaheuristics, Hong Kong University of Science and Technology, 2019. https://hdl.handle.net/1783.1/101635.
- P. Shekhawat, G. Sharma, R.M. Singh, Strength behavior of alkaline activated eggshell powder and flyash geopolymer cured at ambient temperature, Constr. Build. Mater. 223 (2019) 1112–1122. [CrossRef]
- N. Shiferaw, L. Habte, T. Thenepalli, J.W. Ahn, Effect of eggshell powder on the hydration of cement paste, Materials (Basel). 12 (2019). [CrossRef]
- S. Maqsood, L.S.S. Eddie, Effect of using Calcined Eggshells as a Cementitious Material on Early Performance, Constr. Build. Mater. 318 (2022) 1–15. [CrossRef]
- A.A. Dezfouli, Effect of Eggshell Powder Application on the Early and Hardened Properties of Concrete, J. Civ. Eng. Mater. Appl. 4 (2020) 209–221. [CrossRef]
- N. Razali, M.A. Azizan, K.F. Pa’ee, N. Razali, N. Jumadi, Preliminary studies on calcinated chicken eggshells as fine aggregates replacement in conventional concrete, Mater. Today Proc. 31 (2020) 354–359. [CrossRef]
- Jayasankar.R, Mahindran.N, Langovan.R, Studies on Concrete using Fly Ash , Rice Husk Ash and Egg Shell, Int. J. Civ. Struct. Eng. 1 (2010) 362–372.
- A. Yerramala, Properties of concrete with eggshell powder as cement replacement, Indian Concr. J. 88 (2014) 94–102.
- Gowsika, S. Sarankokila, K. Sargunan, Experimental investigation of egg shell powder as partial replacement with cement in concrete, Int. J. Eng. Trends Technol. 14 (2) (2014) 65–68.
- Orie, O.J. Omokhiboria, Mechanical Properties of Eggshell and Palm Oil Fuel Ashes Cement Blended Concrete, Res. J. Eng. Appl. Sci. 3 (2014) 401–405.
- S.I. Doh, S.C. Chin, Eggshell powder: potential filler in concrete, in: Malaysian Tech. Univ. Conf. Eng. Technol., Melaka, Malaysia, 2014.
- P. Pliya, D. Cree, Limestone derived eggshell powder as a replacement in Portland cement mortar, Constr. Build. Mater. 95 (2015) 1–9. [CrossRef]
- R.A. Al-safy, Experimental Investigation on Properties of Cement Mortar Incorporating Eggshell Powder, J. Eng. Dev. 19 (2015) 198–209.
- T.Y. Yu, D.S. Ing, C.S. Choo, The Effect of Different Curing Methods on the Compressive Strength of Eggshell Concrete, Indian J. Sci. Technol. 10 (2017) 1–4. [CrossRef]
- A. Parkash, E.R. Singh, Behaviour of Concrete Containing Egg Shell Powder As Cement Replacing Material, Int. J. Latest Res. Eng. Comput. 5 (2017) 2347–6540. www.ijlrec.com.
- N. Balouch, K. Rashid, S. Javed, T. Ahmad, Experimental Study on Compressive Strength of Concrete by Partial Replacement with Eggshell Powder, Tech. Journal, Univ. Eng. Technol. Taxila. 22 (2017) 21–27. [CrossRef]
- J.O. Afolayan, Experimental Investigation of the Effect of Partial Replacement of Cement with Eggshell Ash on the Rheological Properties of Concrete, Int. J. Eng. Appl. Sci. 4 (2017) 1–7.
- A.A. Manzoor, E. Anand, Behaviour of Concrete Containing Egg Shell Powder As Cement Replacing Material, Int. J. Sci. Dev. Adn Res. 3 (2018) 2347–6540. ijsdr.org.
- P. Kalpana, M. Chandu, The Enduringness Moderator in Concrete by Eggshell Powder, Agro Waste and E Waste, in: 12th Int. Conf. Recent Innov. Scieence, Eng. Manag., Srikakulam, 2018: pp. 728–737.
- Y.Y. Tan, S.I. Doh, S.C. Chin, Eggshell as a partial cement replacement in concrete development, Mag. Concr. Res. 70 (2018) 662–670. [CrossRef]
- N.A. Gabol, A.M. Fareed, M. Jawaduddin, Z.H. Zardari, Analysis of Eggshell Powder as A Partial Replacing Material in Concrete, Int. J. Mod. Res. Eng. Manag. 2 (2019) 22–31. www.ijmrem.com.
- H.A. Jaber, R.S. Mahdi, A.K. Hassan, Influence of eggshell powder on the Portland cement mortar properties, Mater. Today Proc. 20 (2020) 391–396. [CrossRef]
- A.A. Langah, A. Saand, Strength Development of Concrete by Using Eggshell Powder as Partial Replacement of Cement, QUEST Res. J. 18 (2020) 72–79.
- Lejano, R.J. Barron, P.D. Saludo, J.M. Tugade, K. Yokohama, Compressive strength of concrete with seawater and powdered eggshells as partial replacement for cement, Int. J. GEOMATE. 18 (2020) 52–58. [CrossRef]
- S. Mohd Arif, O. Rokiah, M. Khairunisa, B.W. Chong, Y.C. Chek, D. Youventharan, P.J. Ramadhansyah, S.I. Doh, Compressive Strength of Concrete containing Eggshell Powder as Partial Cement Replacement, IOP Conf. Ser. Earth Environ. Sci. 682 (2021). [CrossRef]
- S. Niyasom, N. Tangboriboon, Development of biomaterial fillers using eggshells, water hyacinth fibers, and banana fibers for green concrete construction, Constr. Build. Mater. 283 (2021) 122627. [CrossRef]
- K. Nandhini, J. Karthikeyan, Effective utilization of waste eggshell powder in cement mortar, Mater. Today Proc. 61 (2022) 428–432. [CrossRef]
- E.M. Shcherban’, S.A. Stel’makh, A.N. Beskopylny, L.R. Mailyan, B. Meskhi, V. Varavka, N. Beskopylny, D. El’shaeva, Enhanced Eco-Friendly Concrete Nano-Change with Eggshell Powder, Appl. Sci. 12 (2022). [CrossRef]
- Shi, Steel Slag—Its Production, Processing, Characteristics, and Cementitious Properties, J. Mater. Civ. Eng. 16 (2004) 230–236. [CrossRef]
- Z. Zhou, M. Sofi, E. Lumantarna, R.S. Nicolas, G.H. Kusuma, P. Mendis, Strength development and thermogravimetric investigation of high-volume fly ash binders, Materials (Basel). 12 (2019). [CrossRef]
- P. Suraneni, A. Hajibabaee, S. Ramanathan, Y. Wang, J. Weiss, New insights from reactivity testing of supplementary cementitious materials, Cem. Concr. Compos. 103 (2019) 331–338. [CrossRef]
- M. Kristl, S. Jurak, M. Brus, V. Sem, J. Kristl, Evaluation of calcium carbonate in eggshells using thermal analysis, J. Therm. Anal. Calorim. 138 (2019) 2751–2758. [CrossRef]
- A.M. King’ori, A Review of the uses of poultry eggshells and shell membranes, Int. J. Poult. Sci. 10 (2011) 908–912. [CrossRef]
- N. Ajayan, S. K. P, A. A. U., S. Soman, Quantitative Variation in Calcium Carbonate Content in Shell of Different Chicken and Duck Varieties, Adv. Zool. Bot. 8 (2020) 1–5. [CrossRef]
- G.D. Butcher, R. Miles, Concepts of Eggshell Quality, (2012) 1–2.
- Y.O. Suk, C. Park, Effect of breed and age of hens on the yolk to albumen ratio in two different genetic stocks, Poult. Sci. 80 (2001) 855–858. [CrossRef]
- Casiraghi, A. Hidalgo, M. Rossi, Influence of weight grade on shell characteristics of marketed hen eggs, in: XI Th Eur. Symp. Qual. Eggs Egg Prod., Doorwerth, Netherlands, 2005: pp. 23–26.
- H.M. Yang, Z.Y. Wang, J. Lu, Study on the relationship between eggshell colors and egg quality as well as shell ultrastructure in Yangzhou chicken, African J. Biotechnol. 8 (2009) 2898–2902.
- J. Vlčková, E. Tůmová, M. Ketta, M. Englmaierová, D. Chodová, Effect of housing system and age of laying hens on eggshell quality, microbial contamination, and penetration of microorganisms into eggs, Czech J. Anim. Sci. 63 (2018) 51–60. [CrossRef]
- A. Galic, D. Filipovic, Z. Janjecic, D. Bedekovic, I. Kovacev, K. Copec, S. Pliestic, Physical and mechanical characteristics of Hisex Brown hen eggs from three different housing systems, South African J. Anim. Sci. 49 (2019) 468–476. [CrossRef]
- Altuntas, A. Sekeroglu, Mechanical behavior and physical properties of chicken egg as affected by different egg weights, J. Food Process Eng. 33 (2010) 115–127. [CrossRef]
- R.M.G. Hamilton, Methods and Factors That Affect the Measurement of Egg Shell Quality, Poult. Sci. 61 (1982) 2022–2039. [CrossRef]
- J.H. Wolford, K. Tanaka, Factors Influencing Egg Shell Quality - A Review, Worlds. Poult. Sci. J. 26 (1970) 763–780. [CrossRef]
- P. Hunton, Research on eggshell structure and quality : An historical overview, Brazilian J. Poult. Sci. 7 (2005) 67–71.
- J.R. Robert, Factors Affecting Egg Internal Quality and Egg Shell Quality in Laying Hens, J. Poult. Sci. 41 (2004) 161–177. [CrossRef]
- H.K. Muiruri, P.C. Harrison, Effect of roost temperature on performance of chickens in hot ambient environments., Poult. Sci. 70 (1991) 2253–2258. [CrossRef]
- A. Nardone, B. Ronchi, N. Lacetera, M.S. Ranieri, U. Bernabucci, Effects of climate changes on animal production and sustainability of livestock systems, Livest. Sci. 130 (2010) 57–69. [CrossRef]
- N. Dayyani, H. Bakhtiari, Heat stress in poultry: background and affective factors, Int. J. Adv. Biol. Biomed. Res. 1 (2013) 1409–1413. http://www.ijabbr.com.
- J.R. Roberts, Factors affecting egg shell and internal egg quality, in: Proc. 18th Annu. ASAIM SE Asian Feed Technol. Nutr. Work. Le Meridien Siem Reap, Cambodia, 2010: pp. 1–9.
- M.E. Mohamad, A.A. Mahmood, A.Y.Y. Min, N.H.A. Khalid, A Review of the Mechanical Properties of Concrete Containing Biofillers, IOP Conf. Ser. Mater. Sci. Eng. 160 (2016). [CrossRef]
- Dhanalakshmi M, Dr Sowmya N J, Dr Chandrashekar A, A Comparative Study on Egg Shell Concrete with Partial Replacement of Cement by Fly Ash, Int. J. Eng. Res. V4 (2015). [CrossRef]
- V.H. Yadav, H. Eramma, Experimental Studies on Concrete for the Partial Replacement of Cement By Egg Shell Powder and Ggbs, Int. Res. J. Eng. Technol. 4 (2017) 144–150. https://irjet.net/archives/V4/i8/IRJET-V4I827.pdf.
- S. Karthikeyan, C. Suresh, S. Manikandan, M. Divya, R. Nandhakumar, An experimental investigation of eggshell concrete, J. Chem. Pharm. Sci. 8 (2015) 851–852.
- T. Prasanth, B. Sasidharan, M.R. Udhayakumar, V. Yuvasakthi, Hameed A. A., Replacement of cement using eggshell and fully replacement by red sand, Int. J. Intellect. Adv. Res. Eng. Comput. 6 (2018) 1133–1136.
- R.R. Kumar, R. Mahendran, S.G. Nathan, D. Sathya, K. Thamaraikannan, an Experimental Study on Concrete Using Coconut Shell Ash and Egg Shell Powder, South Asian J. Eng. Technol. 3 (2017) 151–161.
- and T.A. N. Balouch, K. Rashid, S. Javed, Experimental Study on Compressive Strength of Concrete by Partial Replacement of Cement with Eggshell Powder, Int. J. Res. Appl. Sci. Eng. Technol. 7 (2019) 502–503. [CrossRef]
- R.H. Harms, Specific gravity of eggs and eggshell weight from commercial layers and broiler breeders in relation to time of oviposition., Poult. Sci. 70 (1991) 1099–1104. [CrossRef]
- P.S.B. N. Mesha, A. Roopa, A Thesis on Partial Replacement of Cement by Eggshell Powder and Fine Aggregate by Crushed Gullet Pieces, Int. Journals Adv. Res. Comput. Sci. Softw. Eng. ISSN 2277-128X (Volume-8, Issue-4). (2018) 347–354.
- M.K. Kiran, M.A. Sharma, An experimental study on partial replacement of cement with brick dust (surkhi) in concrete, J. Civ. Constr. Eng. 3 (2017).
- Adogla, P. Paa Kofi Yalley, M. Arkoh, Improving Compressed Laterite Bricks using Powdered Eggshells, Int. J. Eng. Sci. 5 (2016) 65–70.
- Mishra, N. Pathak, Strength and Durability study on Standard Concrete with Partial Replacement of Cement and Sand using Egg Shell Powder and Earthenware Aggregates for Sustainable Construction, Int. J. Res. Dev. Technol. 8 (2017) 360–371.
- FAO, FAOSTAT - Food Balances, Food Agric. Organ. (2023). https://www.fao.org/faostat/en/#data/FBS (accessed June 28, 2023).
- OEC, Trade Balance of Eggs in Hong Kong, Obs. Econ. Complex. (2021). https://oec.world/en/profile/bilateral-product/eggs/reporter/hkg?yearExportSelector=exportYear1. (accessed June 28, 2023).
- V. Kattimani, G.S.K. PANGA, G. Ek, Eggshell membrane separation methods-waste to wealth-a scoping review, Poult. Stud. 19 (2022) 11–18. [CrossRef]
- R.H. Wang, F.Z. Ren, Z.J. Huang, H. Zhao, H.Y. Guo, J.Y. Cui, Research of jointing impact crushing, flotation and acid treatment of avian eggshell membrane extraction method, Sci. Technol. Food Ind. 33 (2012) 291–299.
- S. Yoo, J.S. Hsieh, P. Zou, J. Kokoszka, Utilization of calcium carbonate particles from eggshell waste as coating pigments for ink-jet printing paper, Bioresour. Technol. 100 (2009) 6416–6421. [CrossRef]
- R. Mohadi, K. Anggraini, F. Riyanti, A. Lesbani, Preparation Calcium Oxide From Chicken Eggshells, Sriwij. J. Environ. 1 (2016) 32–35. [CrossRef]
- L. Dupoirieux, D. Pourquier, F. Souyris, Powdered eggshell: a pilot study on a new bone substitute for use in maxillofacial surgery, J. Cranio-Maxillofacial Surg. 23 (1995) 187–194. [CrossRef]
- Z. Li, Materials for Making Concrete, in: Adv. Concr. Technol., John Wiley and Sons, Hoboken, New Jersey, 2011: pp. 23–92.
- W.T. Tsai, J.M. Yang, C.W. Lai, Y.H. Cheng, C.C. Lin, C.W. Yeh, Characterization and adsorption properties of eggshells and eggshell membrane, Bioresour. Technol. 97 (2006) 488–493. [CrossRef]
- S.M. Hama, Improving mechanical properties of lightweight Porcelanite aggregate concrete using different waste material, Int. J. Sustain. Built Environ. 6 (2017) 81–90. [CrossRef]
- H.M. Hamada, B.A. Tayeh, A. Al-Attar, F.M. Yahaya, K. Muthusamy, A.M. Humada, The present state of the use of eggshell powder in concrete: A review, J. Build. Eng. 32 (2020) 101583. [CrossRef]
- F.S. Murakami, P.O. Rodrigues, C.M.T. De Campos, M.A.S. Silva, Physicochemical study of CaCO3 from egg shells, Cienc. e Tecnol. Aliment. 27 (2007) 658–662. [CrossRef]
- T. Witoon, Characterization of calcium oxide derived from waste eggshell and its application as CO2 sorbent, Ceram. Int. 37 (2011) 3291–3298. [CrossRef]
- A. Lesbani, P. Tamba, R. Mohadi, Fahmariyanti, Preparation of calcium oxide from Achatina fulica as catalyst for production of biodiesel from waste cooking oil, Indones. J. Chem. 13 (2013) 176–180. [CrossRef]
- Cree, A. Rutter, Sustainable Bio-Inspired Limestone Eggshell Powder for Potential Industrialized Applications, ACS Sustain. Chem. Eng. 3 (2015) 941–949. [CrossRef]
- H.M. Yang, Z.Y. Wang, J. Lu, Study on the relationship between eggshell colors and egg quality as well as shell ultrastructure in Yangzhou chicken, African J. Biotechnol. 8 (2009) 2898–2902. https://www.cabdirect.org/cabdirect/abstract/20093204107.
- N.S. Joseph, N.A. Robinson, R.A. Renema, F.E. Robinson, Shell Quality and Color Variation in Broiler Breeder Eggs, J. Appl. Poult. Res. 8 (1999) 70–74. [CrossRef]
- P. Pliya, D. Cree, Limestone derived eggshell powder as a replacement in Portland cement mortar, Constr. Build. Mater. 95 (2015) 1–9. [CrossRef]
- P.D.G. Richards, D.C. Deeming, Correlation between shell colour and ultrastructure in pheasant eggs, Br. Poult. Sci. 42 (2001) 338–343. [CrossRef]
- S.E. Solomon, Egg & eggshell quality., Iowa State University Press, 1997.
- Tumova, M. Englmaierova, Z. Ledvinka, and V Charvatova, Interaction between housing system and genotype in relation to internal and external egg quality parameters, Czech J. Anim. Sci. 56 (2011) 490–498.
- M. Ketta, E. Tůamová, Eggshell structure, measurements, and quality-affecting factors in laying hens: A review, Czech J. Anim. Sci. 61 (2016) 299–309. [CrossRef]
- A. Ipavec, R. Gabrovšek, T. Vuk, V. Kaučič, J. MačEk, A. Meden, Carboaluminate phases formation during the hydration of calcite-containing Portland cement, J. Am. Ceram. Soc. 94 (2011) 1238–1242. [CrossRef]
- R.L. Sharma, S.P. Pandey, Influence of mineral additives on the hydration characteristics of ordinary Portland cement, Cem. Concr. Res. 29 (1999) 1525–1529. [CrossRef]
- J.J. Thomas, H.M. Jennings, J.J. Chen, Influence of nucleation seeding on the hydration mechanisms of tricalcium silicate and cement, J. Phys. Chem. C. 113 (2009) 4327–4334. [CrossRef]
- E.H. Kadri, S. Aggoun, G. De Schutter, K. Ezziane, Combined effect of chemical nature and fineness of mineral powders on Portland cement hydration, Mater. Struct. Constr. 43 (2010) 665–673. [CrossRef]
- A. Schöler, B. Lothenbach, F. Winnefeld, M. Ben Haha, M. Zajac, H.M. Ludwig, Early hydration of SCM-blended Portland cements: A pore solution and isothermal calorimetry study, Cem. Concr. Res. 93 (2017) 71–82. [CrossRef]
- M. Cyr, P. Lawrence, E. Ringot, Efficiency of mineral admixtures in mortars: Quantification of the physical and chemical effects of fine admixtures in relation with compressive strength, Cem. Concr. Res. 36 (2006) 264–277. [CrossRef]
- Q. Wang, J. Yang, H. Chen, Long-term properties of concrete containing limestone powder, Mater. Struct. Constr. 50 (2017) 1–13. [CrossRef]
- X.Y. Wang, Modeling of hydration, compressive strength, and carbonation of portland-limestone cement (PLC) concrete, Materials (Basel). 10 (2017). [CrossRef]
- G. De Schutter, Effect of limestone filler as mineral addition in self compacting concrete, in: 36th Conf. Our World Concr. Struct. "Recenet Adv. Technol. Fresh Concr., Ghent University, Department of Structural Engineering, Ghent, 2011: pp. 49–54. https://biblio.ugent.be/publication/2939937.
- S. Rode, N. Oyabu, K. Kobayashi, H. Yamada, A. Kühnle, True atomic-resolution imaging of (1014) calcite in aqueous solution by frequency modulation atomic force microscopy, Langmuir. 25 (2009) 2850–2853. [CrossRef]
- K. Vance, M. Aguayo, T. Oey, G. Sant, N. Neithalath, Hydration and strength development in ternary portland cement blends containing limestone and fly ash or metakaolin, Cem. Concr. Compos. 39 (2013) 93–103. [CrossRef]
- D.P. Bentz, A. Ardani, T. Barrett, S.Z. Jones, D. Lootens, M.A. Peltz, T. Sato, P.E. Stutzman, J. Tanesi, W.J. Weiss, Multi-scale investigation of the performance of limestone in concrete, Constr. Build. Mater. 75 (2015) 1–10. [CrossRef]
- P. Thongsanitgarn, W. Wongkeo, A. Chaipanich, C.S. Poon, Heat of hydration of Portland high-calcium fly ash cement incorporating limestone powder: Effect of limestone particle size, Constr. Build. Mater. 66 (2014) 410–417. [CrossRef]
- R. Gagné, Expansive agents, in: Sci. Technol. Concr. Admixtures, Elsevier Ltd, 2016: pp. 441–456. [CrossRef]
- N.H. Mtarfi, Z. Rais, M. Taleb, Effect of clinker free lime and cement fineness on the cement physicochemical properties, J. Mater. Environ. Sci. 8 (2017) 2541–2548.
- P.C. Aïtcin, Portland cement, in: Sci. Technol. Concr. Admixtures, Elsevier Ltd, 2016: pp. 27–51. [CrossRef]
- C. Ju, Y. Liu, M. Jia, K. Yu, Z. Yu, Y. Yang, Effect of calcium oxide on mechanical properties and microstructure of alkali-activated slag composites at sub-zero temperature, J. Build. Eng. 32 (2020) 101561. [CrossRef]
- P.H. Shih, J.E. Chang, L.C. Chiang, Replacement of raw mix in cement production by municipal solid waste incineration ash, Cem. Concr. Res. 33 (2003) 1831–1836. [CrossRef]









| Ref. | Type of ES | Composite Type | Optimal Replacement | Cement Type | w/b | 28th Day Strength |
|---|---|---|---|---|---|---|
| [45] | ES | Ordinary concrete | 5% | IS grade 43 | 0.39 – 0.50 | Compressive, flexural |
| [46] | ES | Ordinary concrete | 5% | ASTM type I | 0.6 | Compressive, split tensile |
| [47] | ES | Ordinary concrete | 5% | IS grade 53 | 0.5 | Compressive |
| [48] | CES1 (500oC) | Ordinary concrete | 10% | OPC | 0.6 | Compressive |
| [49] | ES | Ordinary concrete | 10% (comp.),20% (flexural) | CEM II/B-M | 0.4 | Compressive, flexural |
| [50] | ES (Brown) | Ordinary mortar | 5% | CEM I 52.5 N | 0.5 | Compressive, flexural |
| [51] | ES | Ordinary mortar | 5% | ASTM Type I | 0.4 | Compressive, flexural |
| [52] | ES | Ordinary concrete | 15% | OPC | 0.45 | Compressive |
| [20] | ES | Ordinary concrete | 5% | OPC | 0.5 | Compressive |
| [53] | ES | Ordinary concrete | 12% | IS grade 43 | 0.4 | Compressive, split tensile |
| [54] | ES | Ordinary concrete | 20% | ASTM Type I | 0.6 | Compressive |
| [55] | Eggshell Ash (ESA) | Ordinary concrete | 5% | OPC | 0.55 | Compressive |
| [56] | ES | Ordinary concrete | 12% (comp.) 6% (tensile) |
IS grade 43 | 0.4 | Compressive, split tensile |
| [57] | ES | Concrete (waste as aggregates) | 10% | IS grade 53 | 0.47 | Compressive |
| [58] | ES | Ordinary concrete | 15% | OPC | 0.45 | Compressive, flexural |
| [59] | ES | Ordinary concrete | 7.5% | OPC | 0.52 | Compressive, split tensile, flexural |
| [60] | CES1 (750oC for one hour) | Ordinary concrete | 15% | Iraqi OPC | 0.5 | Compressive |
| [61] | ES | Ordinary concrete | 10% | ASTM Type I | 0.5 | Compressive |
| [43] | CES1 (900oC for 2 hours) | Ordinary concrete | 10% | ASTM Type II | 0.5 | Compressive, flexural |
| [62] | CES1 (100oC for 12 hours) | Seawater concrete | 5% | OPC | 0.5 | Compressive |
| [63] | ES | High Strength Concrete (HSC) | 10% | ASTM Type I | 0.32 | Compressive |
| [64] | ES | Fiber Reinforced Concrete (FRC) | 5% | ASTM Type I | 0.5 | Compressive, flexural |
| [65] | ES | Ordinary mortar | 10% | IS grade 53 | 0.5 | Compressive |
| [66] | ES | Ordinary concrete | 10% | CEM I 52.5N | 0.5 | Compressive, flexural |
| [21] | ES | Ordinary concrete | 11% | OPC | 0.5 | Compressive, split tensile, flexural |
| Reference | Region | Specific Gravity |
|---|---|---|
| [88] | Malaysia | 2.14 |
| [89] | India | 1.95 |
| [40] | India | 2.37 |
| [50] | France | 2.5 |
| [90] | India | 2.01 |
| [91] | India | 2.14 |
| [92] | NA | 2.13 |
| [93] | NA | 2.20 |
| [94] | Pakistan | 2.27 |
| [95] | USA | 2.09 - 2.18 |
| [96] | NA | 2.37 |
| [46] | India | 2.37 |
| [97] | Bangladesh | 2.66 |
| [98] | Ghana | 2.58 |
| [99] | India | 2.33 |
| Average | 2.29 ± 0.21 | |
| Designation | Country | Color | Source |
|---|---|---|---|
| ES1 | China | Dark Brown | Market |
| ES2 | China | Light Brown | |
| ES3 | Thailand | Dark Brown | |
| ES4 | Japan | White | |
| ES5 | Japan | Dark Brown | |
| ES6 | USA | White | |
| ES7 | USA | Dark Brown | |
| ES8 | Singapore | Dark Brown | |
| ES9 | Singapore | White | |
| ES10 | Malaysia | Dark Brown | |
| ES11 | New Zealand | Dark Brown | |
| ES12 | South Korea | Dark Brown | |
| ES13 | China | Dark Brown | Restaurant |
| ES14 | China | Light Brown | |
| ES15 | Japan | Dark Brown | |
| ES16 | Japan | White |
| Oxide Composition (%) | Bogue’s Components (%) | |||||||||||
|---|---|---|---|---|---|---|---|---|---|---|---|---|
| MgO | Al2O3 | SiO2 | P2O5 | SO3 | K2O | CaO | Fe2O3 | Others | C3S | C2S | C3A | C4AF |
| 1.12 | 5.45 | 19.10 | 0.13 | 4.51 | 0.67 | 65.50 | 3.00 | 0.43 | 67.66 | 3.74 | 9.37 | 9.13 |
| Specimen | OPC | LS/ES/CES | Fine Aggregates | Coarse Aggregates | w/b | a/b |
|---|---|---|---|---|---|---|
| Kg/m3 | Kg/m3 | Kg/m3 | Kg/m3 | |||
| Control | 600 | - | 600 | 1200 | 0.5 | 3 |
| Non-Control | 570 | 30 | 600 | 1200 | 0.5 | 3 |
| Sample | A1 | B2 | |||||||||
| O3 | V4 | Thermogravimetric Analysis | Stoichiometric Analysis | CaCO3 | |||||||
| CaO | ΔW | CO2 | Ca | CaO | ΔW | CO2 | Ca | ||||
| % | % | % | % | % | % | % | % | % | % | % | |
| LS | 0.38 | - | 55.79 | 44.21 | 43.82 | 39.87 | 55.78 | 44.22 | 43.84 | 39.92 | 99.62 |
| ES1 | 1.14 | 1.63 | 54.83 | 45.17 | 42.40 | 39.18 | 54.44 | 45.56 | 42.79 | 38.96 | 97.23 |
| ES2 | 0.94 | 3.35 | 53.61 | 46.39 | 42.10 | 38.31 | 53.59 | 46.41 | 42.12 | 38.36 | 95.72 |
| ES3 | 1.24 | 2.89 | 51.76 | 48.24 | 44.11 | 36.99 | 53.68 | 46.32 | 42.19 | 38.42 | 95.87 |
| ES4 | 0.91 | 2.00 | 54.23 | 45.77 | 42.86 | 38.76 | 54.36 | 45.64 | 42.73 | 38.91 | 97.09 |
| ES5 | 1.09 | 2.08 | 55.29 | 44.71 | 41.54 | 39.51 | 54.22 | 45.78 | 42.61 | 38.80 | 96.83 |
| ES6 | 1.15 | 2.46 | 53.70 | 46.30 | 42.69 | 38.37 | 53.97 | 46.03 | 42.42 | 38.63 | 96.39 |
| ES7 | 1.30 | 1.99 | 53.61 | 46.39 | 43.10 | 38.31 | 54.15 | 45.85 | 42.56 | 38.76 | 96.71 |
| ES8 | 1.22 | 2.37 | 55.92 | 44.08 | 40.50 | 39.96 | 53.98 | 46.02 | 42.43 | 38.64 | 96.41 |
| ES9 | 1.05 | 2.23 | 53.95 | 46.06 | 42.77 | 38.55 | 54.15 | 45.85 | 42.56 | 38.76 | 96.71 |
| ES10 | 1.22 | 2.10 | 55.93 | 44.08 | 40.76 | 39.97 | 54.14 | 45.86 | 42.55 | 38.75 | 96.69 |
| ES11 | 1.34 | 2.58 | 52.98 | 47.02 | 43.10 | 37.86 | 53.80 | 46.20 | 42.28 | 38.50 | 96.08 |
| ES12 | 1.51 | 2.11 | 55.27 | 44.73 | 41.11 | 39.49 | 53.97 | 46.03 | 42.42 | 38.62 | 96.38 |
| ES13 | 1.23 | 3.42 | 54.18 | 45.82 | 41.17 | 38.72 | 53.39 | 46.61 | 41.96 | 38.21 | 95.35 |
| ES14 | 1.01 | 2.28 | 53.73 | 46.27 | 42.98 | 38.40 | 54.15 | 45.85 | 42.56 | 38.76 | 96.72 |
| ES15 | 1.09 | 2.47 | 55.28 | 44.72 | 41.15 | 39.51 | 54.00 | 46.00 | 42.44 | 38.65 | 96.44 |
| ES16 | 1.34 | 4.01 | 53.51 | 46.49 | 41.15 | 38.24 | 53.00 | 47.00 | 41.66 | 37.93 | 94.65 |
| Aver. | 1.17 | 2.50 | 54.24 | 45.76 | 42.09 | 38.76 | 53.94 | 46.06 | 42.39 | 38.61 | 96.33 |
| Component | Stochiometric Analysis | Thermogravimetric Analysis | ||||
|---|---|---|---|---|---|---|
| Extra Pure Limestone | Eggshells from different countries | Difference | ||||
| % | % | % | % | % | ||
| Ca | 40.08 | 40.03 | 40.24 | 0.21 | ||
| C | 11.99 | 12.01 | 11.93 | 0.08 | ||
| O | 47.93 | 47.97 | 47.83 | 0.13 | ||
| CO2 | 43.92 | 43.99 | 43.70 | 0.30 | ||
| CaO | 56.08 | 56.01 | 56.30 | 0.30 | ||
| Material | D [4,3] | D (50) | D (90) |
|---|---|---|---|
| (μm) | (μm) | (μm) | |
| OPC | 17.53 | 11.56 | 42.86 |
| LS | 20.27 | 17.74 | 38.90 |
| ES-7 | 21.26 | 14.62 | 51.45 |
| ES-13 | 16.76 | 10.14 | 42.67 |
| ES-16 | 13.94 | 8.00 | 35.98 |
| CES-7 | 30.21 | 24.98 | 63.83 |
| CES-13 | 24.09 | 16.43 | 56.25 |
| CES-16 | 31.27 | 24.87 | 66.68 |
| S. No | Calcined Eggshells | CaCO3 | Ca(OH)2 | CaO |
| % | % | % | ||
| 1 | CES7 | 37.5 | 55.3 | 7.2 |
| 2 | CES13 | 37.6 | 55.1 | 7.4 |
| 3 | CES16 | 36.7 | 54.6 | 8.7 |
| Mix | CaO in CES | CaO in OPC | SiO2 | Al2O3 | Fe2O3 | HM | LSF |
| % | % | % | % | % | |||
| OPC | - | 65.5 | 19.1 | 5.45 | 3 | 2.377 | 1.057 |
| M-CES7 | 7.2 | 65.5 | 19.1 | 5.45 | 3 | 2.391 | 1.063 |
| M-CES13 | 7.4 | 65.5 | 19.1 | 5.45 | 3 | 2.392 | 1.063 |
| M-CES16 | 8.7 | 65.5 | 19.1 | 5.45 | 3 | 2.394 | 1.064 |
Disclaimer/Publisher’s Note: The statements, opinions and data contained in all publications are solely those of the individual author(s) and contributor(s) and not of MDPI and/or the editor(s). MDPI and/or the editor(s) disclaim responsibility for any injury to people or property resulting from any ideas, methods, instructions or products referred to in the content. |
© 2023 by the authors. Licensee MDPI, Basel, Switzerland. This article is an open access article distributed under the terms and conditions of the Creative Commons Attribution (CC BY) license (http://creativecommons.org/licenses/by/4.0/).
