Submitted:
27 October 2023
Posted:
27 October 2023
You are already at the latest version
Abstract
Keywords:
1. Introduction
2. Material and Methods
2.1. Analytical Image Reconstruction in the Compton Camera
2.2. Simulation of Compton Cameras Using the Geant4 Toolkit and Analytical Image Reconstruction
3. Results and Discussion
3.1. Introduction and Prior Work
- Efficiency Sensitivity Analysis: The results presented in Table 1 guided us to propose a novel camera design based on an efficiency sensitivity analysis of the Compton camera.
- Design Requirements: The new design necessitates scatterer detector arrays with dimensions of , absorber detector arrays with dimensions of , and image screen arrays measuring to define the image.
- Geometric Configuration: As illustrated in Figure 7, the configuration specifies the distance between the first scatterer detector and the selected radioactive source (5 mm), along with eight scatterer layers with 2.125 mm thickness and 1 mm spacing between them.
3.2. Simulation and Image Reconstruction
- Simulation Tool: The simulation employed Geant4, a Monte Carlo code.
- Image Reconstruction: Figure 8 displays the 2D image reconstruction, locating the source at the intersection of the image screen and cones formed by correct events within the Compton imaging system.
- Image Verification: Following the reconstruction, the image screen was placed at the source location to verify accuracy.
3.3. Image Reconstruction and Analysis
- Image Reconstruction at Varying Distances: The image was reconstructed using the Gnuplot tool at distances of 10, 15, 20, 25, and 50 mm from the screen of the first scatterer detector, as depicted in Figure 9.
- Functionality Demonstration: The purpose of Figure 9 is to showcase the expected functionality of the reconstruction algorithm.
- Distance Impact on Image Clarity: The results indicate that increasing the distance from the source reduces the intensity of events used for reconstruction, impacting source localization clarity.
- Uncertainty at 10 mm: Notably, at a distance of 10 mm from the first scatterer detector, there is a measurable level of uncertainty in determining the source position along the z-axis. This is visible in the figures as a blurred or less-defined reconstructed source image, especially compared to other distances. The increased uncertainty at 10 mm affects the overall image quality.


3.4. Spatial Resolution Analysis
- Spatial Resolution Assessment: Figure 10 presents the Full Width at Half Maximum (FWHM) as a measure of the spatial resolution of the Compton camera, specifically for image reconstruction along the y-axis.
- Angular and Spatial Uncertainty: For an energy of 0.662 MeV, the angular uncertainty is 2.7 degrees, and the spatial uncertainty is 3.7 mm.
- Impact of Electronic Noise: Note that the calculations were conducted without considering electronic noise, which can significantly influence image quality depending on camera design and conditions.
| The parameter under investigation | The range where the efficiency value is optimal. |
| Distance between the source and scatterer detector | 5 mm |
| Distance between the scatterer detector and the absorber detector |
30 mm (It decreases exponentially with increasing distance) |
| Dimensions of the scatterer detector plate |
70 mm (It is almost constant) |
| Dimensions of the absorber detector plate |
70 mm (increases linearly) |
| The thickness of the scatterer detector | 17 mm |
| The thickness of the absorber detector |
10 mm (It increases exponentially) |
| The energy source. |
662 keV (The choice of the source according to the intended application) |
| Number of scatterer detector layers (Single to multiple ratios) | 8 |

3.5. Experimental Research Design
- Introduction to Experimental Design: A fresh phase of the study explores an experimental research design employing the Compton imaging system to capture an image of a gamma-ray source, as illustrated in Figure 11.
3.6. Experimental Design Details
- Novel Experimental Setup: Figure 12 reveals the novel design of the proposed Compton imaging system tailored specifically for this experimental research. The gamma-ray source is enclosed within an ultra-thin hollow sphere less than 1 mm thick.
- Energy Sources: The radioisotope used in the experiment emits gamma rays with energies of 0.024 and 0.392 MeV, with the 0.392 MeV gamma ray serving as the primary detection source.
- Threshold Implementation: A threshold was introduced to filter out signals that do not meet the minimum energy requirement for gamma rays at this higher energy level.
- Conical Interaction: A threshold level was defined to enable the interaction of gamma rays with conical half-angles exceeding 20 degrees.

3.7. Geometric Setup and Material Details
- Chamber Construction: The chamber was constructed using "G4Sphere," specifying inner and outer radii and source dimensions.
- Material Selection: The universe's volume was cubic, filled with air, and the chamber's polymer material was polyethylene.
- Element and Material Specifications: Geometries incorporated elements and materials using "G4Element" and "G4Material" classes, specifying properties such as atom type, atomic number, mass number, molar weight, and constituent element percentages.
3.8. Radioactive Source and Simulation
- Source Generation:"G4GeneralParticleSource" was employed to create a radioactive source. The volumetric radioactive source had specific dimensions.
- Simulation with Standard Model:The simulation was executed using the standard model, including electromagnetic processes, which generated a physical list for simulation.
- Scattering Angle Selection:Events featuring a scattering angle greater than 20° were extracted using C++ code.
3.9. Image Reconstruction and Comparison
- Image Reconstruction with Analytical Method:The image reconstruction involved a pixelated screen at the source's center with a two-dimensional configuration.
- Source Center Determination:Figure 13demonstrates the precise determination of the source's center, as observed in the experimental results.
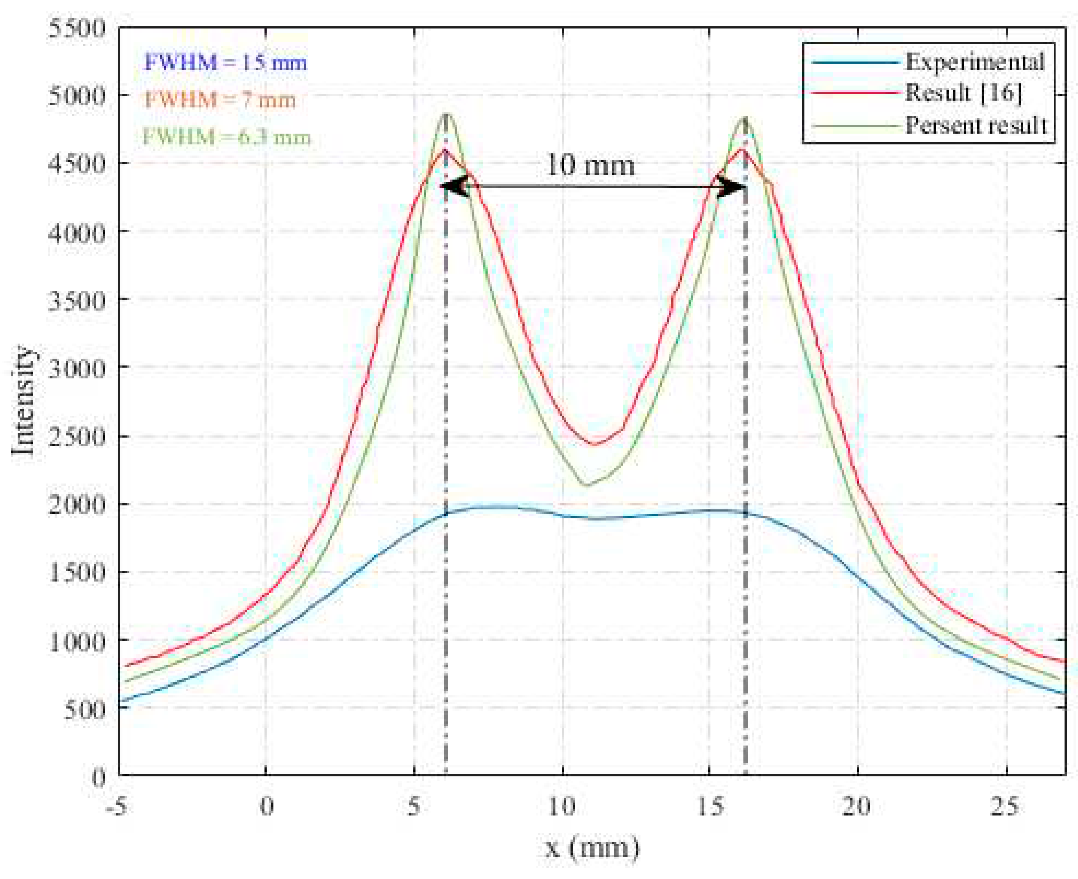
- Experimental vs. Simulation:Observing the disparity between the experimental and simulation images is essential when comparing the results. In the experimental image, two sources, each with a 4 mm diameter, appear to be blended, giving the impression of a single source with a 7 mm diameter. Conversely, in the simulation, as depicted in Figure 14, two 4 mm diameter sources are distinctly and accurately discernible, separated by a distance of 10 mm.
4. Conclusions
Declaration of competing interests
Funding
Acknowledgments
Availability of data and materials
References
- Hussein, M.; Ibrahim, H.; Morad, E.; Maamoun, I.; Attala, E. A Study of Single Photon Emission Computed Tomography by using Geant4/GATE.
- Terzioglu, F.; Kuchment, P.; Kunyansky, L. Compton camera imaging and the cone transform: a brief overview. Inverse Problems 2018, 34, 054002. [CrossRef]
- Ahmed, A.M.; Chacon, A.; Rutherford, H.; Akamatsu, G.; Mohammadi, A.; Nishikido, F.; Tashima, H.; Yoshida, E.; Yamaya, T.; Franklin, D.R. A validated Geant4 model of a whole-body PET scanner with four-layer DOI detectors. Physics in Medicine & Biology 2020, 65, 235051. [CrossRef]
- Kim, D.; Uenomachi, M.; Shimazoe, K.; Takahashi, H. Evaluation of single scattering correction method in compton imaging system. Nuclear Instruments and Methods in Physics Research Section A: Accelerators, Spectrometers, Detectors and Associated Equipment 2021, 1010, 165568. [CrossRef]
- Fontana, M. Tests and characterization of gamma cameras for medical applications. Université de Lyon, 2018.
- Sakai, M.; Yamaguchi, M.; Nagao, Y.; Kawachi, N.; Kikuchi, M.; Torikai, K.; Kamiya, T.; Takeda, S.i.; Watanabe, S.; Takahashi, T. In vivo simultaneous imaging with 99mTc and 18F using a Compton camera. Physics in Medicine & Biology 2018, 63, 205006. [CrossRef]
- Motomura, S.; Kanayama, Y.; Haba, H.; Watanabe, Y.; Enomoto, S. Multiple molecular simultaneous imaging in a live mouse using semiconductor Compton camera. Journal of analytical atomic spectrometry 2008, 23, 1089-1092. [CrossRef]
- Koide, A.; Kataoka, J.; Masuda, T.; Mochizuki, S.; Taya, T.; Sueoka, K.; Tagawa, L.; Fujieda, K.; Maruhashi, T.; Kurihara, T. Precision imaging of 4.4 MeV gamma rays using a 3-D position sensitive Compton camera. Scientific reports 2018, 8, 8116. [CrossRef]
- Everett, D.; Fleming, J.; Todd, R.; Nightingale, J. Gamma-radiation imaging system based on the Compton effect. In Proceedings of Proceedings of the Institution of Electrical Engineers; IET: 1977.
- Yoshida, E.; Tashima, H.; Nagatsu, K.; Tsuji, A.B.; Kamada, K.; Parodi, K.; Yamaya, T. Whole gamma imaging: a new concept of PET combined with Compton imaging. Physics in Medicine & Biology 2020, 65, 125013. [CrossRef]
- Ogane, K.; Uenomachi, M.; Shimazoe, K.; Takahashi, M.; Takahashi, H.; Seto, Y.; Momose, T. Simultaneous measurements of single gamma ray of 131I and annihilation radiation of 18F with Compton PET hybrid camera. Applied Radiation and Isotopes 2021, 176, 109864. [CrossRef]
- Han, L.; Rogers, W.L.; Huh, S.S.; Clinthorne, N. Statistical performance evaluation and comparison of a Compton medical imaging system and a collimated Anger camera for higher energy photon imaging. Physics in Medicine & Biology 2008, 53, 7029. [CrossRef]
- Zhang, L.; Rogers, W.L.; Clinthorne, N.H. Potential of a Compton camera for high performance scintimammography. Physics in Medicine & Biology 2004, 49, 617. [CrossRef]
- Fontana, M.; Dauvergne, D.; Létang, J.M.; Ley, J.-L.; Testa, É. Compton camera study for high efficiency SPECT and benchmark with Anger system. Physics in Medicine & Biology 2017, 62, 8794. [CrossRef]
- Richard, M.-H. Design study of a Compton camera for prompts-gamma imaging during ion beam therapy. Université Claude Bernard-Lyon I, 2012.
- Golnik, C.; Bemmerer, D.; Enghardt, W.; Fiedler, F.; Hueso-González, F.; Pausch, G.; Römer, K.; Rohling, H.; Schöne, S.; Wagner, L. Tests of a Compton imaging prototype in a monoenergetic 4.44 MeV photon field—a benchmark setup for prompt gamma-ray imaging devices. Journal of Instrumentation 2016, 11, P06009. [CrossRef]
- Aldawood, S.; Thirolf, P.; Miani, A.; Böhmer, M.; Dedes, G.; Gernhäuser, R.; Lang, C.; Liprandi, S.; Maier, L.; Marinšek, T. Development of a Compton camera for prompt-gamma medical imaging. Radiation Physics and Chemistry 2017, 140, 190-197. [CrossRef]
- Hofstadter, R.; McIntyre, J.A. Measurement of gamma-ray energies with two crystals in coincidence. Physical Review 1950, 78, 619. [CrossRef]
- Kalish, Y.; Nardi, E. A three crystal NaI (Tl) gamma-ray scintillation spectrometer. Nuclear Instruments and Methods 1964, 26, 329-332. [CrossRef]
- Peterson, L.; Howard, R. Gamma-ray astronomy in space in the 50-kev to 3-mev region. IRE Transactions on Nuclear Science 1961, 8, 21-29. [CrossRef]
- McConnell, M.; Bennett, K.; Collmar, W.; Connors, A.; van Dijk, R.; Forrest, D.; Hermsen, W.; Ryan, J.; Schönfelder, V.; Steinle, H. COMPTEL Observations of X-Ray Binaries. In Proceedings of 23rd International Cosmic Ray Conference (ICRC23), Volume 1; 1993.
- Bloemen, H.; Wijnands, R.; Bennett, K.; Diehl, R.; Hermsen, W.; Lichti, G.; Morris, D.; Ryan, J.; Schonfelder, V.; Strong, A. COMPTEL observations of the Orion complex: Evidence for cosmic-ray induced gamma-ray lines. Astronomy and Astrophysics 1994, 281, L5-L8.
- Schönfelder, V.; Bennett, K.; Bloemen, H.; Diehl, R.; Hermsen, W.; Lichti, G.; McConnell, M.; Ryan, J.; Strong, A.; Winkler, C. COMPTEL overview: Achievements and expectations. Astronomy and Astrophysics Supplement, v. 120, p. 13-21 1996, 120, 13-21.
- Kuiper, L.; Hermsen, W.; Cusumano, G.; Diehl, R.; Schönfelder, V.; Strong, A.; Bennett, K.; McConnell, M.L. The Crab pulsar in the 0.75-30 MeV range as seen by CGRO COMPTEL-A coherent high-energy picture from soft X-rays up to high-energy γ-rays. Astronomy & Astrophysics 2001, 378, 918-935. [CrossRef]
- Iyudin, A.; Diehl, R.; Lichti, G.; Schönfelder, V.; Steinle, H.; Bloemen, H.; Hermsen, W.; de Vries, C.; Morris, D.; Ryan, J. COMPTEL observations of 44Ti gamma-ray line emission from Cas A. In Proceedings of AIP Conference Proceedings; American Institute of Physics: 1994.
- Takada, A.; Tanimori, T.; Mizumura, Y.; Takemura, T.; Yoshikawa, K.; Nakamura, Y.; Abe, M.; Kubo, H.; Kurosawa, S.; Miuchi, K. SMILE-3: sky survey in MeV gamma-ray using the electron-tracking Compton telescope loaded on balloons. In Proceedings of Space Telescopes and Instrumentation 2020: Ultraviolet to Gamma Ray; SPIE: 2020.
- Singh, M.; Doria, D. An electronically collimated gamma camera for single photon emission computed tomography. Part II: Image reconstruction and preliminary experimental measurements. Medical Physics 1983, 10, 428-435. [CrossRef]
- Dogan, N.; Wehe, D.K.; Knoll, G.F. Multiple Compton scattering gamma ray imaging camera. Nuclear Instruments and Methods in Physics Research Section A: Accelerators, Spectrometers, Detectors and Associated Equipment 1990, 299, 501-506. [CrossRef]
- Ida, T.; Motomura, S.; Ueda, M.; Watanabe, Y.; Enomoto, S. Accurate modeling of event-by-event backprojection for a germanium semiconductor Compton camera for system response evaluation in the LM-ML-EM image reconstruction method. Japanese Journal of Applied Physics 2018, 58, 016002. [CrossRef]
- Basko, R.; Zeng, G.L.; Gullberg, G.T. Application of spherical harmonics to image reconstruction for the Compton camera. Physics in Medicine & Biology 1998, 43, 887. [CrossRef]
- Lang, C. Design of a Compton camera for medical imaging and characterization of its components. lmu, 2015.
- Ordonez, C.E.; Bolozdynya, A.; Chang, W. Doppler broadening of energy spectra in Compton cameras. In Proceedings of 1997 IEEE Nuclear Science Symposium Conference Record; IEEE: 1997.
- Lojacono, X. Image reconstruction for Compton camera with application to hadrontherapy. Lyon, INSA, 2013.
- Lewitt, R.M. Reconstruction algorithms: transform methods. Proceedings of the IEEE 1983, 71, 390-408. [CrossRef]
- Barrett, H.H. Objective assessment of image quality: effects of quantum noise and object variability. JOSA A 1990, 7, 1266-1278. [CrossRef]
- Hudson, H.M.; Larkin, R.S. Accelerated image reconstruction using ordered subsets of projection data. IEEE transactions on medical imaging 1994, 13, 601-609. [CrossRef]
- Llacer, J.; Chatterjee, A.; Jackson, H.C.; Lin, J.C.; Zunzunegui, M.V. An imaging instrument for positron emitting heavy ion beam injection. IEEE Transactions on Nuclear Science 1979, 26, 634-647. [CrossRef]
- Wilderman, S.J.; Clinthorne, N.H.; Fessler, J.A.; Rogers, W.L. List-mode maximum likelihood reconstruction of Compton scatter camera images in nuclear medicine. In Proceedings of 1998 IEEE Nuclear Science Symposium Conference Record. 1998 IEEE Nuclear Science Symposium and Medical Imaging Conference (Cat. No. 98CH36255); IEEE: 1998.
- Alnaaimi, M. Evaluation of the UCL Compton camera imaging performance. UCL (University College London), 2011.
- Schuemann, J. Monte Carlo Calculations in Nuclear Medicine: Applications in Diagnostic Imaging. Wiley Online Library: 2014.
- Niknami, M.; Hosseini, S.A.; Loushab, M.E. Sensitivity analysis of the efficiency of Compton camera to the detector parameters using the GEANT4 computer code. Applied Radiation and Isotopes 2021, 176, 109883. [CrossRef]
- Agostinelli, S.; Allison, J.; Amako, K.a.; Apostolakis, J.; Araujo, H.; Arce, P.; Asai, M.; Axen, D.; Banerjee, S.; Barrand, G. GEANT4—a simulation toolkit. Nuclear instruments and methods in physics research section A: Accelerators, Spectrometers, Detectors and Associated Equipment 2003, 506, 250-303. [CrossRef]
- Chelikani, S.; Gore, J.; Zubal, G. Optimizing Compton camera geometries. Physics in Medicine & Biology 2004, 49, 1387. [CrossRef]
- Holstensson, M.; Partridge, M.; Buckley, S.E.; Flux, G.D. The effect of energy and source location on gamma camera intrinsic and extrinsic spatial resolution: an experimental and Monte Carlo study. Physics in Medicine & Biology 2010, 55, 1735. [CrossRef]
- Niknami, M.; Valipour, M. Compton Imaging Systems Based on Semiconductor Detectors. In Gamma Ray Imaging: Technology and Applications, Springer: 2023; pp. 65-86.










Disclaimer/Publisher’s Note: The statements, opinions and data contained in all publications are solely those of the individual author(s) and contributor(s) and not of MDPI and/or the editor(s). MDPI and/or the editor(s) disclaim responsibility for any injury to people or property resulting from any ideas, methods, instructions or products referred to in the content. |
© 2023 by the authors. Licensee MDPI, Basel, Switzerland. This article is an open access article distributed under the terms and conditions of the Creative Commons Attribution (CC BY) license (http://creativecommons.org/licenses/by/4.0/).
