Submitted:
26 October 2023
Posted:
27 October 2023
You are already at the latest version
Abstract
Keywords:
1. Introduction
2. Review of the literature
a) Pull factors (stay home)
b) Push factors (move away-move back)
c) Research gap
3. Methods
a) Data Source and Sample
b) Variables and Measurements
c) Analytic approach
4. Results
a) Descriptive statistics
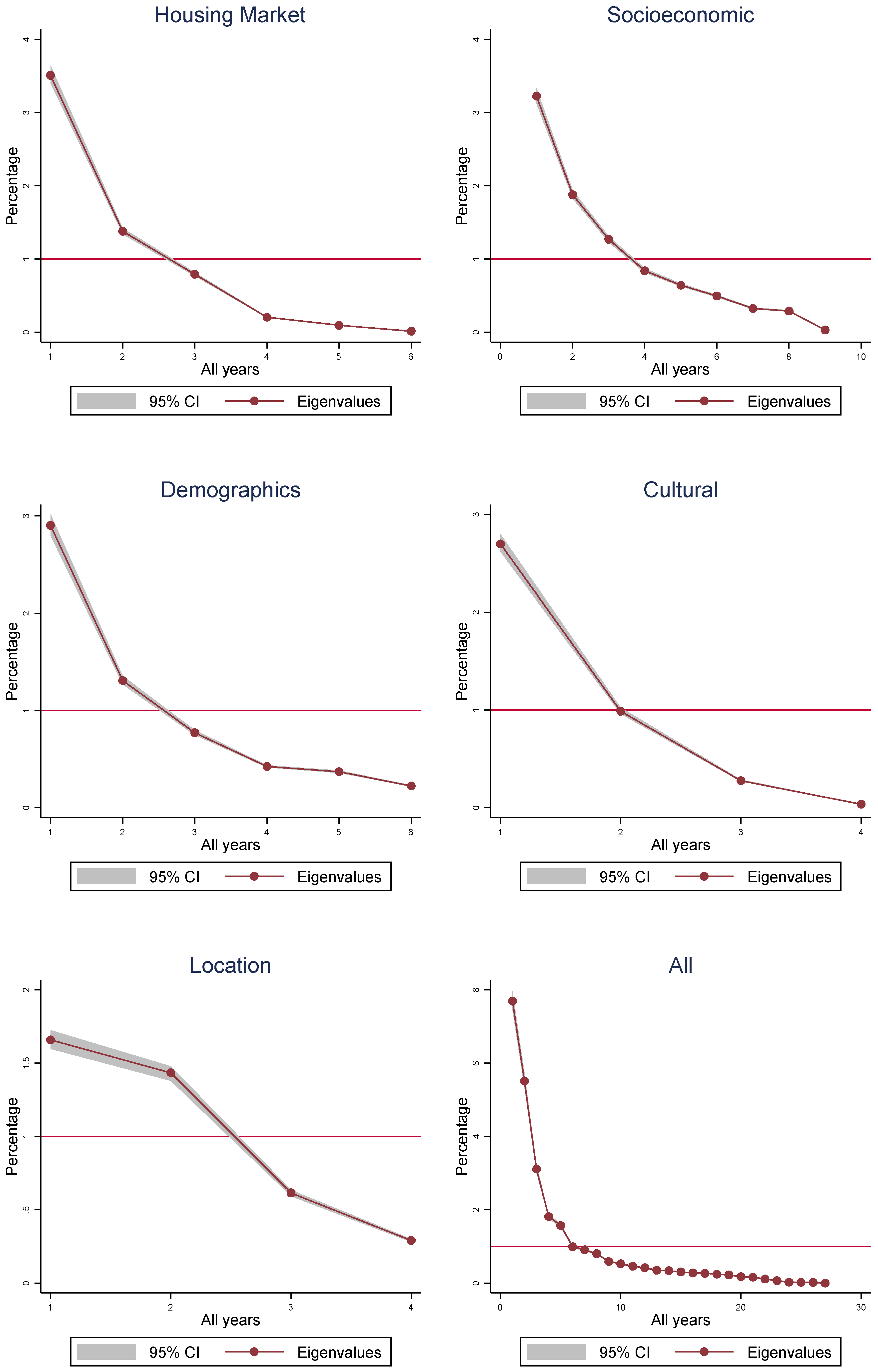
b) Principal Component Analysis
c) Spatial autoregressive panel data model
5. Conclusion
| 1 | The numerator consists of individuals aged 21-24 who are registered at the same property as at least one parent. The denominator consists of the population aged 21-24. |
References
- Grander, M. 2023. The inbetweeners of the housing markets – young adults facing housing inequality in Malmö, Sweden, Housing Studies, vol. 38, no. 3, 505–22. [CrossRef]
- Hoolachan, J., McKee, K., Moore, T., and Soaita, A. M. 2017. ‘Generation rent’ and the ability to ‘settle down’: economic and geographical variation in young people’s housing transitions, Journal of Youth Studies, vol. 20, no. 1, 63–78. [CrossRef]
- Billari, F. C. and Liefbroer, A. C. 2010. Towards a new pattern of transition to adulthood?, Advances in Life Course Research, vol. 15, no. 2, 59–75. [CrossRef]
- Sompolska-Rzechuła, A. and Kurdyś-Kujawska, A. 2022. Generation of Young Adults Living with Their Parents in European Union Countries, Sustainability, vol. 14, no. 7, 4272. [CrossRef]
- Mulder, C. H. 2003. The Housing Consequences of Living Arrangement Choices in Young Adulthood, Housing Studies, vol. 18, no. 5, 703–19. [CrossRef]
- Enström Öst, C. and Wilhelmsson, M. 2019. The long-term consequences of youth housing for childbearing and higher education, Journal of Policy Modeling, vol. 41, no. 5, 845–58. [CrossRef]
- Engelhardt, G. V. 1994. House Prices and the Decision to Save for Down Payments, Journal of Urban Economics, vol. 36, no. 2, 209–37. [CrossRef]
- Yates, J. 2016. Why Does Australia Have an Affordable Housing Problem and What Can Be Done About It?, Australian Economic Review, vol. 49, no. 3, 328–39. [CrossRef]
- Young, C. 1996. Are young people leaving home earlier or later?, Journal of the Australian Population Association, vol. 13, no. 2, 125–52. [CrossRef]
- Filandri, M. and Bertolini, S. 2016. Young people and home ownership in Europe, International Journal of Housing Policy, vol. 16, no. 2, 144–64. [CrossRef]
- Iacovou, M. 2010. Leaving home: Independence, togetherness and income, Advances in Life Course Research, vol. 15, no. 4, 147–60. [CrossRef]
- Åsberg, P. 1999. Housing Decisions of Young Swedish Adults, Journal of Housing Economics, vol. 8, no. 2, 116–43. [CrossRef]
- Honjo, K., Tani, Y., Saito, M., Sasaki, Y., Kondo, K., Kawachi, I., and Kondo, N. 2018. Living Alone or With Others and Depressive Symptoms, and Effect Modification by Residential Social Cohesion Among Older Adults in Japan: The JAGES Longitudinal Study, Journal of Epidemiology, vol. 28, no. 7, 315–22. [CrossRef]
- Arnett, J. J. 2014. Emerging Adulthood: The Winding Road from the Late Teens Through the Twenties, Oxford University Press.
- Goldscheider, F. and Goldscheider, C. 1999. The Changing Transition to Adulthood: Leaving and Returning Home, Thousand Oaks, California, SAGE Publications, Inc.
- Aquilino, W. S. 1990. The Likelihood of Parent-Adult Child Coresidence: Effects of Family Structure and Parental Characteristics, Journal of Marriage and Family, vol. 52, no. 2, 405–19. [CrossRef]
- García-Andrés, A., Martinez, J. N., and Aguayo-Téllez, E. 2021. Leaving the Nest or Living with Parents: Evidence from Mexico’s Young Adult Population, Review of Economics of the Household, vol. 19, no. 3, 913–33. [CrossRef]
- Goldscheider, F. K. and Lawton, L. 1998. Family Experiences and the Erosion of Support for Intergenerational Coresidence, Journal of Marriage and Family, vol. 60, no. 3, 623–32. [CrossRef]
- Choi, N. G. 2003. Coresidence between Unmarried Aging Parents and their Adult Children: Who Moved in with Whom and Why?, Research on Aging, vol. 25, no. 4, 384–404. [CrossRef]
- Messineo, M. J. and Wojtkiewicz, R. A. 2004. Coresidence of Adult Children with Parents from 1960 to 1990: is the Propensity to Live at Home Really Increasing?, Journal of Family History, vol. 29, no. 1, 71–83. [CrossRef]
- Blumenberg, E., Ralph, K., Smart, M., and Taylor, B. D. 2016. Who knows about kids these days? Analyzing the determinants of youth and adult mobility in the U.S. between 1990 and 2009, Transportation Research Part A: Policy and Practice, vol. 93, 39–54. [CrossRef]
- Da Vanzo, J. and Goldscheider, F. K. 1990. Coming Home Again: Returns to the Parental Home of Young Adults, Population Studies, vol. 44, no. 2, 241–55. [CrossRef]
- Albertini, M., Gähler, M., and Härkönen, J. 2018. Moving back to “mamma”? Divorce, intergenerational coresidence, and latent family solidarity in Sweden, Population, Space and Place, vol. 24, no. 6, e2142. [CrossRef]
- Garasky, S. 2002. Where are they going? A comparison of urban and rural youths’ locational choices after leaving the parental home, Social Science Research, vol. 31, no. 3, 409–31. [CrossRef]
- Ermisch, J. 1999. Prices, Parents, and Young People’s Household Formation, Journal of Urban Economics, vol. 45, no. 1, 47–71. [CrossRef]
- Blumenberg, E., Brown, A., Ralph, K., Taylor, B. D., and Turley Voulgaris, C. 2019. A resurgence in urban living? Trends in residential location patterns of young and older adults since 2000, Urban Geography, vol. 40, no. 9, 1375–97. [CrossRef]
- Britton, M. L. 2013. Race/Ethnicity, Attitudes, and Living With Parents During Young Adulthood, Journal of Marriage and Family, vol. 75, no. 4, 995–1013. [CrossRef]
- Krishna, A. 2002. Enhancing Political Participation in Democracies: What is the Role of Social Capital?, Comparative Political Studies, vol. 35, no. 4, 437–60. [CrossRef]
- Hair, J. F., Black, W. C., Babin, B. J., Anderson, R. E., and Tatham, R. L. 2006. Multivariate data analysis 6th Edition, Pearson Prentice Hall. New Jersey. humans: Critique and reformulation. Journal of Abnormal Psychology, vol. 87, 49–74.
- Arbia, G., Espa, G., and Giuliani, D. 2021. Spatial Microeconometrics, Routledge. [CrossRef]
- Belotti, F., Hughes, G., and Mortari, A. P. 2017. Spatial Panel-data Models Using Stata, The Stata Journal, vol. 17, no. 1, 139–80. [CrossRef]
- Elhorst, J. P. 2010. Applied Spatial Econometrics: Raising the Bar, Spatial Economic Analysis, vol. 5, no. 1, 9–28. [CrossRef]
- Kapoor, M., Kelejian, H. H., and Prucha, I. R. 2007. Panel data models with spatially correlated error components, Journal of Econometrics, vol. 140, no. 1, 97–130. [CrossRef]
- Lee, L. and Yu, J. 2010. Estimation of spatial autoregressive panel data models with fixed effects, Journal of Econometrics, vol. 154, no. 2, 165–85. [CrossRef]
- Wilhelmsson, M. 2002. Spatial Models in Real Estate Economics, Housing, Theory and Society, vol. 19, no. 2, 92–101. [CrossRef]
- Wang, D., Zhou, T., Lan, F., and Wang, M. 2021. ICT and socio-economic development: Evidence from a spatial panel data analysis in China, Telecommunications Policy, vol. 45, no. 7, 102173. [CrossRef]
- Kelejian, H. H. and Prucha, I. R. 1998. A Generalized Spatial Two-Stage Least Squares Procedure for Estimating a Spatial Autoregressive Model with Autoregressive Disturbances, The Journal of Real Estate Finance and Economics, vol. 17, no. 1, 99–121. [CrossRef]
- Maroto, M. and Severson, M. 2020. Owning, renting, or living with parents? Changing housing situations among Canadian young adults, 2001 to 2011, Housing Studies, vol. 35, no. 4, 679–702. [CrossRef]
- Arundel, R. and Ronald, R. 2016. Parental co-residence, shared living and emerging adulthood in Europe: semi-dependent housing across welfare regime and housing system contexts, Journal of Youth Studies, vol. 19, no. 7, 885–905. [CrossRef]
- Dewilde, C. and Flynn, L. B. 2021. Post-crisis developments in young adults’ housing wealth, Journal of European Social Policy, vol. 31, no. 5, 580–96. [CrossRef]
- Hammarstrom, A. 2002. Early unemployment can contribute to adult health problems: results from a longitudinal study of school leavers, Journal of Epidemiology & Community Health, vol. 56, no. 8, 624–30. [CrossRef]
- Laamanen, J.-P. 2017. Home-ownership and the Labour Market: Evidence from Rental Housing Market Deregulation, Labour Economics, vol. 48, 157–67. [CrossRef]
- Groot, W., van den Brink, H. M., and van Praag, B. 2007. The Compensating Income Variation of Social Capital, Social Indicators Research, vol. 82, no. 2, 189–207. [CrossRef]
- Liu, G. G., Xue, X., Yu, C., and Wang, Y. 2016. How does social capital matter to the health status of older adults? Evidence from the China Health and Retirement Longitudinal Survey, Economics & Human Biology, vol. 22, 177–89. [CrossRef]
- Mackie, P. K. 2016. Young people and housing: identifying the key issues, International Journal of Housing Policy, vol. 16, no. 2, 137–43. [CrossRef]
- Hintze, J. L. and Nelson, R. D. 1998. Violin Plots: A Box Plot-Density Trace Synergism, The American Statistician, vol. 52, no. 2, 181–84. [CrossRef]
- Tukey, J. 1977. Exploratory data analysis, Reading, MA: Addison-Wesley.
- Cattell, R. B. 1966. The Scree Test For The Number Of Factors, Multivariate Behavioral Research, vol. 1, no. 2, 245–76. [CrossRef]




| Variable | Unit | Mean | Std. Dev. | Min | Max | Moran’s I |
| Young adults at home | % | 40.62 | 9.981 | 13.7 | 77.6 | 79.81 |
| Housing Market Conditions | ||||||
| Living in rental housing | % | 22.321 | 8.32 | 2.7 | 80.4 | 2.26 |
| Rental housing stock | number | 5495.706 | 15969.719 | 82 | 263138 | 0.02 |
| Housing stock | Number | 15807.972 | 33514.224 | 1125 | 505845 | |
| House prices | 1000 SEK | 1470.575 | 1331.521 | 198 | 13345 | 268.69 |
| Construction multifamily housing | Number | 70.721 | 291.065 | 0 | 5382 | 4.99 |
| Socioeconomic and educational differences | ||||||
| Unemployment | % | 13.054 | 3.912 | 3.9 | 31.5 | 36.86 |
| Long-term unemployment | % | 1.363 | .634 | .1 | 5.1 | 92.46 |
| Income 1 | Index | 5.154 | 1.069 | 3.2 | 20.2 | 91.82 |
| Income 2 | 1000 SEK | 229.453 | 53.723 | 134.2 | 598.3 | 137.91 |
| Income tax | % | 32.122 | 1.32 | 26.5 | 35.15 | 326.37 |
| Health | Index | 37.328 | 11.019 | 9.9 | 81.7 | 96.67 |
| Proportion eligible to secondary school | % | 88.091 | 5.559 | 54.8 | 100 | 28.18 |
| Proportion eligible to university | % | 79.813 | 12.402 | 26.9 | 100 | 58.75 |
| University student | Number | 224.773 | 1034.039 | 0 | 13902 | 3.92 |
| Demographic differences | ||||||
| Population | Number | 32705.341 | 65296.481 | 2387 | 978770 | 5.89 |
| Proportion in age 20-64 born in Sweden | % | 53.567 | 2.733 | 43.3 | 63 | 37.93 |
| Migration | Number | 176.136 | 560.936 | -4966 | 13054 | 2.61 |
| Men | % | 50.631 | 1.027 | 47.7 | 58.5 | 67.33 |
| Average age | Year | 42.622 | 2.604 | 35.1 | 51.4 | 179.79 |
| Cultural differences | ||||||
| Proportion age 20-64 born aboard | % | 63.326 | 3.903 | 42.2 | 76 | 147.41 |
| Voting participation EU | % | 41.939 | 7.885 | 0 | 73.6 | 113.75 |
| Voting participation Sweden | % | 83.33 | 3.781 | 67.2 | 93.9 | 44.95 |
| Voting participation municipality | % | 80.938 | 4.064 | 57.8 | 92.9 | 38.57 |
| Location differences | ||||||
| Population density | Ratio | 138.31 | 485.682 | 0 | 6171 | 245.40 |
| Urbanisation | % | 74.759 | 14.482 | 30 | 100 | 73.79 |
| (1) | (2) | |||
| Random effect | t-value | Fixed effects | t-value | |
| Housing Market | ||||
| Housing stock | -0.0242*** | (-6.33) | -0.0102** | (-2.74) |
| Rental housing stock | -0.0635*** | (-20.49) | -0.0398*** | (-13.54) |
| Demographic | ||||
| Young people | -0.0110** | (-2.78) | -0.00758* | (-2.30) |
| Population and migration | -0.000626 | (-0.20) | 0.00157 | (0.61) |
| Socio-economic | ||||
| Unemployment and health | 0.0226*** | (8.23) | 0.0147*** | (9.01) |
| Income tax | -0.00426* | (-2.18) | -0.00951*** | (-7.27) |
| Long-term unemployment | 0.00652** | (2.60) | 0.00184 | (1.21) |
| Cultural | ||||
| Voting participation | 0.0256*** | (8.97) | 0.0185*** | (10.07) |
| Young people born abroad | 0.00930** | (2.74) | 0.00590* | (2.14) |
| Location | ||||
| Coordinates | -0.00627 | (-0.77) | 0.125 | (1.75) |
| Urbanisation and density | -0.0282*** | (-3.71) | -0.0257 | (-1.02) |
| Constant | 3.887*** | (129.41) | ||
| W | ||||
| lnyah_all | -0.0704*** | 0.803*** | ||
| (-7.46) | (53.53) | |||
| e.lnyah_all | 0.642*** | -0.551*** | ||
| (41.89) | (-13.77) | |||
| sigma_u | ||||
| Constant | -0.173*** | |||
| (-22.74) | ||||
| sigma_e | ||||
| Constant | 0.0806*** | 0.0760*** | ||
| (109.55) | (95.59) | |||
| AIC | -12816.3 | -13703.2 | ||
| Observations | 6670 | 6670 |
Disclaimer/Publisher’s Note: The statements, opinions and data contained in all publications are solely those of the individual author(s) and contributor(s) and not of MDPI and/or the editor(s). MDPI and/or the editor(s) disclaim responsibility for any injury to people or property resulting from any ideas, methods, instructions or products referred to in the content. |
© 2023 by the authors. Licensee MDPI, Basel, Switzerland. This article is an open access article distributed under the terms and conditions of the Creative Commons Attribution (CC BY) license (http://creativecommons.org/licenses/by/4.0/).