Preprint
Article

This version is not peer-reviewed.

Traffic Circle – an Example of Sustainable Home Zone Design

A peer-reviewed article of this preprint also exists.

Submitted:

23 October 2023

Posted:

24 October 2023

You are already at the latest version

Abstract
Quite a number of new metered parking systems have been introduced in recent years by the local authorities of various spa towns in Poland in connection with home zone conversion projects. The traffic signs posted in these locations were limited to the beginning and end of the demarcated parking area. Traffic circle (TC) is an example of traffic calming measures (TCM) used in home zones to slow down the traffic (case study – home zone in a small spa village). This article presents the results of a study investigating the speed reductions obtained with a home zone and traffic circle used as traffic calming measures. The indispensable speed surveys were carried out in relation to this study in two periods: in summer when the streets are crowded with tourists and in September with little pedestrian traffic. Two research hypotheses were formulated as part of the speed data analysis to verify the slowing effect of traffic circle and the relevance of traffic circles design parameters and location, road function and the surrounding streetscape. For each hypothesis statistical analyses were carried out using two nonparametric tests: two-sample Kolmogorov–Smirnov test and median test. The third research hypothesis formulated in this study was related to sustainable development factors related to fuel consumption and traffic-related air pollution including carbon dioxide, carbon monoxide, nitrogen oxide and hydrocarbons. This hypothesis was verified by estimating the amount of air pollution in the home zone under analysis in three different situations (scenarios): in summer with the travel speed reduced by pedestrian traffic to ca. 8–10 km/h and in September with a small number of pedestrians and 20–25 km/h resulting speed between traffic circles, reduced at traffic circle, and in a theoretical 30 km/h zone with 25–30 km/h assumed speed between traffic circles, dropping at traffic circle. These analyses confirmed the appropriateness of traffic circle as a home zone traffic calming measure, as long as its design is based on a detailed analysis of the relevant factors, including location, road function and the surrounding streetscape.
Keywords: 
;  ;  ;  ;  ;  ;  

1. Introduction

The ever growing or flourishing economy brought a massive increase in the number of motor vehicles, mainly private cars, which has affected the public space quality [2]. This is particularly true of small towns and spa where public spaces play a specific role by defining the prestige and attractiveness of the place. However, this must not affect the well-being of the local community or compromise the safety of traffic or availability of transport means. Bearing in mind sustainable development of urban environment, these requirements should be considered and implemented in line with the accepted urban planning principles. As the first step of the process, the existing transport system of the town of spa should be analysed, paying attention to the designated functions [3,4]. This should include determination of the local residents’ and tourists’ needs, bearing in mind the intended use and function of a given public space. Towns can have one of the following spatial structures Figure 1:
-
monocentric, with a clear-cut centre both functionally and spatially and generally oblong, elliptical, square, rectangular or semi-circular shape (Figure 1a and Figure 1b),
-
bipolar, made up of two or more distinctly bordered urban entities that may merge together into a rectangular or tubular system (Figure 1c),
-
polycentric, formed through development and merging of smaller entities (Figure 1d).
Figure 1. Spatial structures of selected seaside settlements in Poland: (a) monocentric semi-circular system of Pobierowo; (b) rectangular monocentric system of Dziwnówek; (c) bipolar system of Łukęcin; (d) polycentric system Rewal. Source: own elaboration against the background of a satellite photo from Google Earth [5].
Figure 1. Spatial structures of selected seaside settlements in Poland: (a) monocentric semi-circular system of Pobierowo; (b) rectangular monocentric system of Dziwnówek; (c) bipolar system of Łukęcin; (d) polycentric system Rewal. Source: own elaboration against the background of a satellite photo from Google Earth [5].
Preprints 88537 g001aPreprints 88537 g001b
Figure 1 shows some Polish seaside settlements where brighter orange areas are the historic centres and indigenous residents’ homes and paler orange areas are occupied by recently built resorts and homes of younger generations. The route of the provincial road running through these illustrative spas is also marked.
When contemplating projects intended to address transport issues and revive smaller settlements and spas in line with the sustainable development principles it is indispensable to consider the four above-mentioned sustainability pillars: human, social, economic and environmental. The first wave of urban sustainability projects aimed at public space, social or economic revival involved regeneration of urban green areas, planning of green streets and green infrastructure and care for the natural environment [6,7,8,9]. These factors should be taken collectively as the basis for preparation of traffic calming projects. In the case of public space revival projects it is also necessary to consider a factor related to the safety of pedestrians, cyclists and drivers or passengers because pedestrian fatalities constitute a high percentage of all urban road accidents [10,11,12] (ca. 70% according to [12]). Broken down by age, 9% of these fatalities are people up to 24 years of age, 42% are between 25 and 65 years old and 49% are older than 65 years [11]. As reported in [12], pedestrian fatalities constitute 36% of all urban road accident fatalities in urban areas, as compared to 14% cyclists, 19% motorised two wheelers, 26% car occupants, etc.
Other challenges of public space revival planning are air pollution issues (related to ever-increasing number of motor vehicles) and traffic noise pollution caused by road traffic in general and with consideration of effective traffic management strategies (TMS) [13,14,15,16]. The air pollution and traffic noise pollution issues are main considerations in selection of appropriate traffic calming measures and planning of traffic calming systems in urban areas [17,18]. These considerations may be addressed through appropriate modelling [19] or field monitoring of existing traffic calming measures [13]. A number of studies investigated the issue of air pollution in the vicinity of existing traffic calming measures as part of traffic calming studies [13,20,21,22]. Traffic calming measures generally cause sudden slowing of traffic making vertical and horizontal deflections an undesired option when considered from the air pollution and traffic noise pollution angle [23]. Noteworthy, this resistance to this kind of traffic calming measures, as shown by the locals, road authorities, road and landscape engineers and urban planners is directed more towards vertical defections and less towards horizontal deflections.
Traffic calming may involve urban traffic management, functional classification of the streets and/or introduction of home or 30 km/h zones in the area concerned. Other than in larger towns where 30 km/h zones may be applied in combination with home zones, in smaller towns and spas home zones are the preferred option, bearing in mind pedestrian amenity improvements. This issue is particularly evident in spa villages and recreational resorts. Various traffic calming measures i.e. horizontal and vertical deflections can be used to slow down the traffic as part of traffic calming projects [24,25,26,27,28,29,30,31,32,33]. These include chicanes, road narrowings, speed tables or speed humps and mini roundabouts. Two-way to one-way conversions may also be implemented as part of a traffic calming project [34].
Raised junctions, mini roundabouts or traffic circles are used quite often in home or 30 km/h zones. The differences between roundabout and traffic circle can be found in different publications [35,36]. However, they generally refer to older designs of these road components, covering larger surface areas [36]. However, in traffic-calming areas, home zones in particular, there is a tendency to design traffic circle without reconstructing the approach legs, realigning of kerblines, etc. [37] to cut the project cost. Then it is appropriate to refer to them with the term proposed in [38], i.e. “mini traffic calming circle”. Figure 2 shows some examples of such traffic circles that can be found in traffic calming areas in Poland. The of traffic circles central island may be elevated above (Figure 2a) or installed flush with the surrounding road surface (Figure 2b). The central island may, but not necessarily, promote circular traffic. It may be imposed by appropriately used traffic signs and pavement markings. An example of traffic circle with traffic signs imposing circular traffic around the raised central island is shown in Figure 2a. In Figure 2b the traffic circle extends over the entire area between the kerblines and not imposing circular traffic as a result.
The effectiveness of traffic circle in traffic calming applications has not, as yet, been reported in the literature, as opposed to extensively covered experiments and evaluations to verify the effectiveness of speed tables. Where the central island does not impose circular traffic, traffic circles are similar to speed tables in terms of traversability. Among the key benefits of traffic circle retrofitting projects are calming of traffic, reduced travel delay, compact size making it possible to keep within the existing right-of-way, low project cost and improved traffic safety.
This motivated the authors to undertake the research described in this article, that is evaluation of the effectiveness of traffic circles as a traffic calming measure in home zones. The initial assumptions included a defined transverse profile of the traffic circles central island and relevance of pedestrian traffic volume in the home zone area. A small seaside spa town featuring a grid street pattern located on the Baltic coast in Poland was chosen as a study.
The following research hypotheses were defined:
Research hypothesis 1 (H1) – “Traffic circle has a significant traffic calming effect when located in a home zone of a spa village”.
Research hypothesis 2 (H2) – “The central island should have its transverse profile appropriate to the street function and location and the surrounding streetscape character”.
Research hypothesis 3 (H3) – “Provision of traffic circles in home zones of small spas should be considered as part of urban street and public space redesigning projects contemplated in these locations”.
Section 2 of this article describes the object of study which are seven traffic circles built about twenty years ago in a small seaside spa in Poland and the applied research methods. The study results are presented in Section 3. The results are discussed in Section 4 and the final conclusions of the study are given in Section 5. Figure 3 presents the stages of the study on traffic circle effectiveness as a traffic calming measure for home zone areas.

2. Materials and methodology

2.1. Study area

The study area was a home zone of Międzywodzie – a small seaside spa located in Poland (Figure 4). With almost 700 permanent inhabitants Międzywodzie is considered a small village. However, in summer over a dozen thousand visitors come to the village, turning it into a spa village. The village is severed into two independent parts by DW102 through road that runs through it. The village is constantly growing with more and more B&Bs, health resorts, small holiday apartments, food outlets, shops, etc. being built all the time. The study area including the analysed traffic circles is located in the centre of Międzywodzie and extends over three streets including a home zone (Figure 4 – Zwycięstwa St., Kasztanowa St. and Wojska Polskiego St.).
With a growing number of tourists in summer this small spa had to deal with serious traffic-related issues. The main challenge was the high volumes of pedestrian traffic on the way to and from the beach and a high demand for parking spaces there. Metered Parking Systems with designated and appropriately marked parking places are introduced in such places, similarly to home zones to cope with these growing parking problems. In this situation a home zone was implemented in the beginning of the 21st century in the central part of Międzywodzie (Figure 4). This involved two-way to one-way conversion of a few streets, constructing a few traffic circles, making the paved paths to run flush with the carriageway surface and demarcating of parking spaces. Improved traffic safety was another benefit of the implemented home zone. However, with no accidents recorded for the period 1995-2023 in the central road accident register SEWIK [39] we cannot name poor traffic safety record as the grounds for the home zone implementation. Actually, it was intended to cope with the parking problems and improve mobility amenities for tourists making their way through the main streets of this spa village.
Considering the cost of reconstruction and available land constraints the cheapest project option was chosen with no changes to kerblines. Footpaths were brought flush with the road surface and the old asphalt pavement was replaced with block paving on a few street sections and permeable concrete grid paving in the parallel on-street parking areas. Raised traffic circles were built on a few junctions, yet without changing the approach leg widths. All the main streets were 5.0–6.0 m wide. After reconstruction and installation of flush kerbs separating the path from the carriageway, the carriageway width has changed to 5.0 m all over the place. Currently each street includes ca. 2.0 m wide parallel on-street parking spaces. These parking spaces are demarcated by a different surfacing material and with pavement markings applied thereon. Appropriate traffic signs have also been placed to indicate parking location. Without demarcated pedestrian crossings, pedestrians may walk all over the carriageway and footpath width.
The locations of the seven analysed traffic circles are shown in Figure 5. This number includes two traffic circles located on Zwycięstwa St. (No. 1 and No. 2 in Figure 5). These junctions have three entry legs and one exit leg each. The remaining five traffic circles included three traffic circles located on four-leg junctions (No. 3, No. 4 and No. 5 in Figure 5) and two traffic circles located on staggered junctions located on Wojska Polskiego St. (No. 6 and No. 7 in Figure 5). Traffic circles No. 5, No. 6 and 7 are located on Wojska Polskiego St., the promenade of Międzywodzie, lined with small restaurants, fish houses, ice cream parlours, pastry shops, small local markets, boutiques, etc. Various events take place during summer weekends along the whole Wojska Polskiego St. street between the DW102 provincial road up to traffic circle No. 5. Also in summer, further on to the north, a summer fair is held during which stalls are placed over the whole carriageway width. The northern part of Wojska Polskiego St. is blocked as a result. In turn, during the above-mentioned weekend events, stalls selling various merchandise are placed on the footpaths and on the carriageway as well. At all intersections the side streets have 5 m wide carriageways, have no footpaths running along the road or demarcated on-street parking spaces. Figure 5 shows as an additional information the traffic directions on the analysed one-way streets.

2.2. Traffic volume and speed surveys

The object of this case study is a spa village. SR4 traffic detection devices [40] were used to simultaneously measure traffic speeds and volumes as part of this study. The siting of the survey stations is shown in Figure 6. The devices were mounted on the existing traffic delineator posts on the way to and past the analysed traffic circles, at the one-way street entries and exits and between the junctions. Due to low traffic volumes noted in the area under analysis, the surveys were discontinued when the number of logged vehicles exceeded 100. Considering the speed logging characteristics and 0.01 sec. logging time accuracy we can assume free traffic flow conditions allowing each observed vehicle and the following vehicles to move freely without an obstacle vehicle ahead. In the summer time free traffic flow may be arbitrarily related to logged vehicles as the main obstacles on the road were the pedestrians walking over the whole carriageway width and thus making faster driving impracticable. Information on gear the drivers used between the junctions was randomly gathered from those who pulled over to park. In September they generally drove in the second gear when making their way through the traffic circle, shifting to the third gear on the way between the junctions. This information was then used to calculate fuel consumption.
Taking account of crowded streets in summer and low number of pedestrians beyond this season, the speed surveys were carried out in two representative periods: in summer and in the last week of September. Considering these low speeds and occupied parking spaces it was justified to limit the comparative analyses to the values of v85 and vav.

3. Results

3.1. Characteristics of the traffic calming measurement TCM

In the study area traffic circles were built as part of the project to convert the existing public spaces to a home zone. The traffic circles central island was surfaced with red concrete paving bricks. The junction approach legs were not widened as part of the project. In the whole home zone area, the footpaths were brought flush with the carriageway surface (Figure 7), separated by a kerbline made of kerb units laid flat. The design allowed to leave the existing drainage system unchanged. On the demarcated parallel on-street parking spaces permeable concrete grid pavement was laid. The travel lanes were, in turn, surfaced with grey paving bricks. The parallel on-street parking spaces on Zwycięstwa St. and Kasztanowa St. start and end ca. 7–10 m from the junction edge, thus creating apparent bulb-outs, yet with no kerbline or markings applied on the pavement surface. On the Międzywodzie promenade they start and end ca. 3–4 m from the junction edge. For streetscape beautification reasons two-colour paving slabs were used on the footpath and small grafted trees were planted alongside. Kerbing was installed around the trees to keep off oil contaminated water from penetrating into the plant bed. On the side facing the road each tree was protected with metal guard posts on either side. In a few places low-height tree boxes or plant beds were placed within the street width. Benches and litter bins were placed between the new planted trees. Wider footpath portions are designated to be occupied by stalls, counters and A-frame ads of boutiques and small food serving businesses. The streetscape character of the selected streets the installed traffic calming measurement TCM is visualised in Figure 7.

3.2. Plan and cross-section of selected traffic circles

Figure 8 shows transverse cross-sections and plan views of traffic circles located on selected junctions. The island diameter was 4.00 m in all cases. The varying parameter was the difference of level between the island centre and its perimeter. The one-way streets had 5.00 m wide carriageways, this including 2.00 m width taken for parallel on-street parking. The side streets had footpaths on some parts and no demarcated parking spaces. The footpaths were surfaced by concrete paving slabs in two contrasting colours. The footpaths were brought flush with the carriageway and separated from it by white kerb units laid flat (Figure 7 and Figure 9).

3.3. Speed survey data processing

Figure 10 and Figure 11 show the speed ranges calculated from the summer and September survey data respectively. The red dashed line represents averaged v85 values calculated using the summer and September survey data respectively on all the survey stations.
However, in summer the main factor slowing the traffic are the tourists walking all over the one-way carriageways and footpaths (Figure 12). During this period, the parallel parking spaces were occupied for most of the time, making the carriageway apparently and actually narrower.
In the off-season period the tourist business is limited to health and spa facilities, a few shops and some boutiques. Other businesses are closed. In the off-season period, only some of the parking spaces were used by owners of the local properties in the area. With less obstacles on the road ahead, traffic can be handled more efficiently and at higher speeds, both between and within the junctions (Figure 10 and Figure 11).
The results given in Figure 11 allow us to conclude that that even without summer visitors traffic circles effectively slow down the traffic within junctions. In order to traverse the raised central island the drivers reduce their driving speed by about 12–15 km/h. However, the slowing effect is limited to max. 10 m distance. In summer the speeds of travel on the sections between the junctions ranged 7–10 km/h depending on the number of pedestrians and vehicles driving in and out of the parking spaces. In September this range increased on the sections between the traffic circles to 20–25 km/h, the exact speed depending most probably to the number of parked vehicles.
The cumulative frequency graph in Figure 13 shows cumulative distribution function (CDFs) representing the situation on four traffic circles. The cumulative distribution function and 85 percentile speed differences on these traffic circles stem from different street functions, their place in the sequence and the surrounding streetscape characteristics that varied. All these traffic circles featured a similar difference of level in the range of 0.09 – 0.12 m. The cumulative density functions and values of v85 and vav indicate smaller speeds immediately before and past the traffic circle No. 2, as well as a smaller approach speed. This may be due to the place of the sequence of traffic circles (traffic circle No. 2 is passed as the second traffic circle when driving down Zwycięstwa St.) and about 150 m spacing between the subsequent traffic circles. Other relevant factors may include pedestrian traffic, in the summer season using the whole carriageway width and the surrounding streetscape features. Traffic circle No. 2 and holiday camping area featured more parked cars and street businesses, including boutiques and food outlets, as compared to traffic circle No. 1 with the surrounding developments limited to homes and small resorts.
In turn, traffic circle No. 3 is the first on when driving down Kasztanowa St., located about 120 m from the street entry and featuring a greatest transverse slope of the central island with the Δh = 0.17 m level difference. On the street section leading traffic circle No. 3 vehicles are parked year-round due to open spas and health resorts. Also the first in the sequence is traffic circle No. 7 located on Wojska Polskiego St. about 60 m from the entry to this one-way street. It has a smaller transverse slope of the central island having Δh = 0.11 m difference of level. On the way to traffic circle No. 7 vehicles are present at all times due to the central location with many year-round open shops and public amenities. The cumulative density functions and the calculated values of v85 and vav indicate slightly smaller speeds of vehicles passing traffic circle No. 7, attributed to the surround streetscape features and more pedestrians there.

4. Discussion

The statistical inference method was adopted for processing the speed data obtained on all the traffic circles under analysis. The process started with the Kolmogorov-Smirnov Goodness-of-fit test, carried out to verify normality of distribution of the analysed speed populations (equation 1). Normality of speed distribution was confirmed on all the analysed traffic circles in both traffic survey periods.
Preprints 88537 i001
where: H0 – null hypothesis, H1 – alternative hypothesis, F(v) – empirical cumulative frequency curve, F0(v) – theoretical cumulative frequency curve, λα – critical values, α – adopted significance level.
Next, two of the three research hypotheses were verified using the obtained speed results research hypothesis: Research Hypothesis 1 (H1) and Research Hypothesis 2 (H2) (see Section 1). Dealing with a non-measurable characteristic nonparametric tests were chosen to verify research hypotheses (H1 and H2).

4.1. Research hypothesis 1 – “Traffic circle has a significant traffic calming effect when located in a home zone of a spa village”

These were the two-sample K-S test (equation 2) and the median test (equation 3). In the case of Research Hypothesis 1 (H1), both statistical tests were performed for the summer and September “before” and “after” speed parameters for each of the analysed traffic circles. These tests revealed a significant difference between the “before” and “after” speed parameters for all the traffic circles except for that except for traffic circle No. 6, thus confirming the effect of traffic circle on the speed reduction on all the analysed traffic circles (Research Hypothesis 1 (H1)). Some statistical analysis results obtained on the traffic circle No. 1 and No. 2 are given in Table 1 below.
Preprints 88537 i002
where: H0 – null hypothesis, H1 – alternative hypothesis, F(vbefore) – before speed cumulative distribution function, F(vafter) –after speed cumulative distribution function, λα – critical values, α – adopted significance level.
Preprints 88537 i003
where: H0 – null hypothesis, H1 – alternative hypothesis, F1(v50) – number of results below v50 from both populations, F2(v50) – number of results above v50 from both populations, χ2α – critical values, α – adopted significance level.

4.2. Research hypothesis 2 – “The central island should have its transverse profile appropriate to the street function and location and the surrounding streetscape character”

Since the Research Hypothesis 2 consists of three independent parts, three auxiliary hypotheses have been formulated:
Hypothesis No. 2A – “Are the “before” and “after” speeds and speed reductions influenced by pedestrian traffic?” – speed data from two traffic surveys carried out at two different times of the year were considered to test this hypothesis.
Hypothesis No. 2B – “Are the “before” and “after” speeds and speed reductions influenced by the traffic circle location and its place in the sequence along the streets or by the surrounding streetscape?” – only traffic circles located on the same street were considered.
Hypothesis No. 2C – “Are the “before” and “after” speeds and speed reductions influenced by the street function and surrounding streetscape?” – traffic circles with parallel locations on two analysed streets of different importance, function and streetscape were considered.
Auxiliary hypothesis No. 2A – “Are the “before” and “after” speeds and speed reductions influenced by pedestrian traffic?”
Since the speed variation analysis between the summer and September surveys (Figure 10, Figure 11 and Figure 13) showed a considerable traffic slowing effect of the pedestrian crowds during the summer season, also this factor was subjected to the statistical tests comparing the summer and September data populations (equation 4 and 5). The results of both tests are given in Table 2. Based on these results showing a difference between the “before” and ”after” speed data populations in almost all cases, we can conclude that the analysed factor has a statistically significant traffic slowing effect. This effect was not confirmed only for traffic circle No. 6, for which in a result close to the critical value was obtained for “before” speed in one test only. Traffic circle No. 6 is located on the staggered T-junction (Figure 5 and Figure 9b) without demarcated on-street parallel parking and no parked cars (Figure 5 and Figure 9b).
Preprints 88537 i004
where: H0 – null hypothesis, H1 – alternative hypothesis, F(vSummer) – summer speed cumulative distribution function, F(vSeptemer) – September speed cumulative distribution function, λα – critical values, α – adopted significance level.
Preprints 88537 i005
where: H0 – null hypothesis, H1 – alternative hypothesis, F1(v50) – number of results below v50 from both populations, F2(v50) – number of results above v50 from both populations, χ2α – critical values, α – adopted significance level.
Auxiliary hypothesis No. 2B – “Are the “before” and “after” speeds and speed reductions influenced by the traffic circle location and its place in the sequence along the streets or by the surrounding streetscape?”
In order to verify hypothesis No. 2B on the effect of traffic circle location and place in the sequence on a given street and the effect of the immediate surroundings two statistical tests were conducted for combined data for paired traffic circles (equation 6 and 7). The pairs were made up of consecutive traffic circles located on the same street (Table 3 – equation 6 and 7). The test results for “before” traffic circle speeds in September are given in Table 3. The obtained statistics show that populations of different traffic circles are different, i.e. must not be combined in one set. This confirms the hypothesis No. 2B on the statistically significant effect of traffic circle location (i.e. place in the traffic circle sequence when driving down the street), and of the surrounding streetscape character on the obtained speed reduction results.
Preprints 88537 i006
where: H0 – null hypothesis, H1 – alternative hypothesis, F(vNo. i) – speed cumulative distribution function on the traffic circle No. i, F(vNo. i + 1) – speed cumulative distribution function on the traffic circle No. i + 1, i – traffic circle preceding, i + 1 traffic circle following, λα – critical values, α – adopted significance level.
Preprints 88537 i007
where: H0 – null hypothesis, H1 – alternative hypothesis, F1(v50) – number of results below v50 from both populations, F2(v50) – number of results above v50 from both populations, χ2α – critical values, α – adopted significance level.
Auxiliary hypothesis No. 2C – “Are the “before” and “after” speeds and speed reductions influenced by the street function and surrounding streetscape?”
In order to verify hypothesis No. 2C two statistical tests were conducted for combined data for paired traffic circles (equation 7 and 8). The pairs were made up of traffic circles located on neighbouring streets at parallel locations (Table 4 – equation 7 and 8). The test results for “before” traffic circle speeds in September are given in Table 4. The obtained statistics show that populations of different traffic circles are different, i.e. must not be combined in one set. This confirms the hypothesis No. 2C on the statistically significant effect of traffic circle location, street function and of the surrounding streetscape character on the obtained speed reduction results.
Preprints 88537 i008
where: H0 – null hypothesis, H1 – alternative hypothesis, F(vNo. i) – speed cumulative distribution function on the traffic circle No. i, F(vNo. i + 1) – speed cumulative distribution function on the traffic circle No. i + 1, i – traffic circle on the analysed street, i + 1 – traffic circle on the adjacent street at a parallel location, λα – critical values, α – adopted significance level.
Now we can conclude both hypotheses were confirmed in the statistical inference process. Thus, whenever traffic circles are designed in home zones the location, street function and the surrounding streetscape features should be taken into account in the process and the traffic circle design parameters should be taken accordingly.

4.3. Trajectory and speed profile analysis

As mentioned, a traffic circle may but not necessarily promote circular movement. In this case, the only 3 m wide carriageway of the one-way street with demarcated on-street parallel parking past the traffic circle makes keeping the right-hand side impracticable. Instead, the drivers tended to pull left, navigating past the raised central island on its left-hand side. This makes the main difference between a traffic circle located on a one-way street and a mini roundabout located on a two-way carriageway. Figure 17 shows examples of different travel paths noted during the surveys. Driving through traffic circle depended on the driver’s skills and habits, difference of level of the central island, vehicle ground clearance and also the surrounding features including street stalls, buildings, various fences and dense shrubs that could obscure the view of the side road junctions (Figure 12, Figure 14c and 14d).
The v85 and vav profiles are presented in Figure 15 for different slopes of the traffic circle central islands, different longitudinal slopes on the way to and past the traffic circle and different surrounding streetscapes. In addition, these profiles include the speeds on the way to, immediately before, within and past the traffic circle, this in order to expose the actual speed variation. The results of both surveys were included.
Firstly, the speed profile data reveal completely different traffic conditions at the times of the two surveys, i.e. in summer and in September (Figure 15). In the former case, with crowds of tourists walking on the footpath and on the carriageway the traffic circles had some, though rather small slowing effect on the road traffic. Much higher speeds and a much more pronounced slowing effect of the traffic circles was noted in September when the pedestrian traffic is limited to the guests of the health resorts and spas of Międzywodzie. The greatest speed reductions were recorded at traffic circles No. 3 and No. 4 located on Kasztanowa St. The speed reduction differences between these two are attributed to different longitudinal slopes on the junction approach sections. The next in the order of speed reduction amount were the traffic circles located on Wojska Polskiego St. and Zwycięstwa St. with central island level difference of Δh = 0.11–0.12 m. Speed reductions of about 4 km/h were obtained on the traffic circles No. 5 and No. 7 depending on the approach and departure speeds and the surrounding streetscape features. For example, in the case of traffic circle No. 5 there are local markets and boutiques at the main legs and the demarcated on-street parking spaces start as close as 3–4 m from the secondary leg kerbline. These parking spaces are used by the spa house and are occupied also in autumn, prominently narrowing the travel lane. These are the main factors contributing to the obtained speed reductions. Traffic circle No. 7 is located 60 m from the home zone entry and this location defines the observed approach speeds. The home zone entry area and the junction corners are occupied by year-round open markets and public amenities, including post office, bank, pharmacy, etc., generating pedestrian traffic and frequent driving in and out of the parking spaces. The situation is different at traffic circles No. 1 and No. 2 with very few pedestrians or parked vehicles in autumn. This resulted in a smaller amounts of speed reduction in autumn in the order of 2 km/h.
The least traffic slowing effect was noted for traffic circle No. 6 that featured small difference of level of Δh = 0.07 m and no demarcated on-street parking next to it. To the right of the one-way street, behind the footpath, there is an urban park, and on the left-hand side there are year-round open small food outlets. The above factors mean that drivers practically have at their disposal the entire width of the road equal to 5 m and do not slow down when crossing traffic circle No. 6. Driving speeds become steady on the section between traffic circle No. 7 and traffic circle No. 5 due to low number of pedestrians in September and a small number of parked vehicles (Figure 9b and 14).

4.4. Regression analysis

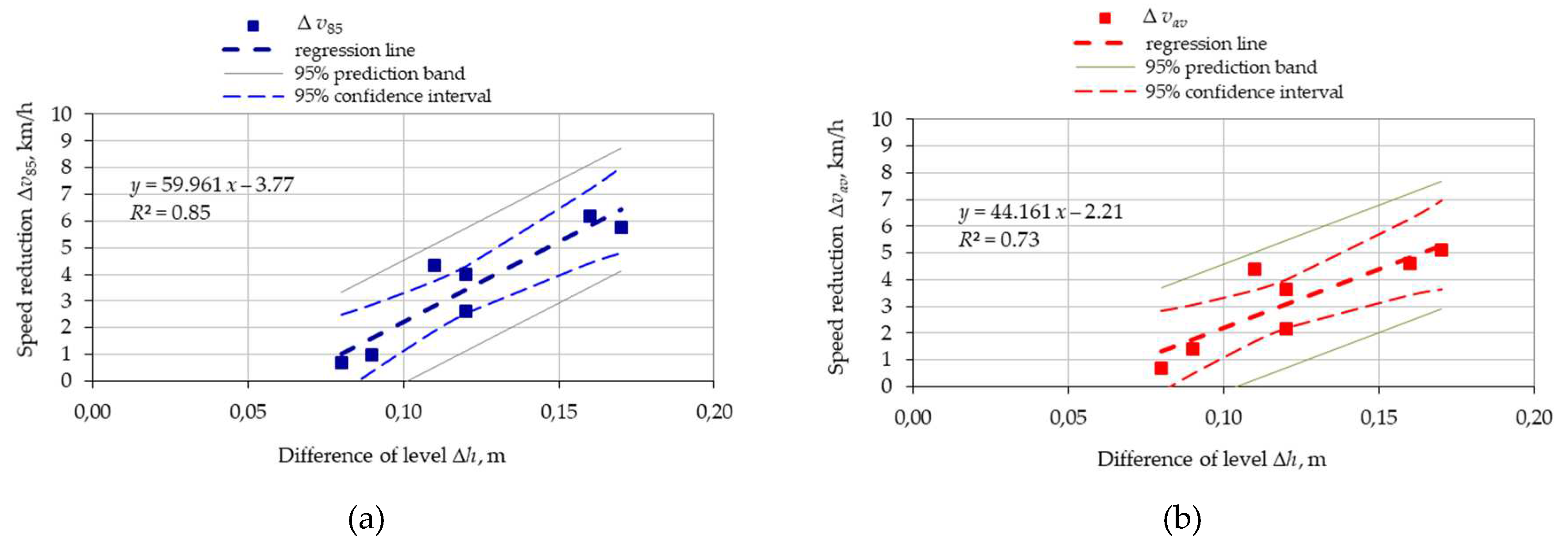
Summing up, we can say that speed reduction obtained with traffic circle depends on the central island difference of level, longitudinal slope of the approach section, effective carriageway width (whether or not limited by the vehicles parked in the demarcated parking spaces), presence of pedestrians, traffic circle location and the surrounding streetscape features. Figure 16 represents the relationship between the obtained speed reductions and the difference of level of the central island, based on the September survey data.
Therefore, in sustainable redesigning of urban streets and public spaces, which may include setting up home zones, it is important to select the appropriate traffic calming measures and use appropriate design parameters, matching the existing streetscape features, as the resulting speed reductions have a considerable bearing on the noise and air pollution in the area [41]. These dependencies are related to the third of the research hypotheses, i.e. hypothesis No. 3. For sustainable home zone projects, it is therefore important to avoid sudden speed drops [41] and consider the range of impact of traffic calming measures when planning their locations [26,42,43,44]. Bearing this in mind, when analysing the speed reductions obtained on the analysed traffic circles, references were made to the results obtained by other researchers reporting similar speed reductions obtained with speed tables [22,42]. The different traffic calming measures (speed table and traffic circle) have different applications and, for example speed tables are an option for places with 30 km/h or 40 km/h desired speed, and thus they are not appropriate for home zones requiring reduction to lower speeds. With similar climbing phase characteristics, driving on these two traffic calming measures differs due to inclined top surface in the case of traffic circle and level surface in the case of speed table. The literature does not, as yet give any experimental results comparing these two traffic calming measures in home zone applications. This being so, this article presents the results obtained on three one-way streets including seven traffic circles having different central island transverse slopes.

4.5. Air pollution in three traffic scenarios

The home zone speed recommendations differ between countries and guidelines, ranging from walking speed, as recommended by the Dutch guidelines [45] through 16 km/h in England [46] to 20 km/h in several other countries [30,33,47,48,49,50]. Therefore, air and traffic noise pollution estimations were based on the data obtained for driving through speed tables at speeds in the range of 10–30 km/h [22,42]. Considering the driving speeds measured between the junctions, which also did not exceed the specified speed range (Figure 13 and Figure 14), we can conclude that the analysed traffic circles did not cause abrupt accelerations and decelerations that could be considered undesired due to the impact on the surrounding environment, as per [22,42,51,52]. The level of air pollution was estimated by comparing the three scenarios analysed in this article using for comparison the research data published by Merkisz et al. [22]. In the first scenario a vehicle drove through a home zone traffic circle in summer at an almost steady speed of 8–10 km/h, as shown in Figure 13. The second scenario concerned the speeds logged in the home zone September survey, as shown in Figure 14 varying over a considerably wider range of 10–25 km/h. The third scenario was added for comparison in order to demonstrate the traffic circle effectiveness as a home zone traffic calming measures TCM. The simulated air pollution in the 30 km/h zone was based on the assumption that the raised central island of the traffic circle causes a speed reduction corresponding to that determined during the home zone traffic survey of September. And on the sections between the traffic circles driving speeds were assumed to vary between 25 and 30 km/h. The air pollution results for these three scenarios are given in Figure 17 below, broken down to carbon dioxide (CO2), carbon monoxide (CO), nitrogen oxide (NOx) and hydrocarbons (HC).
Figure 17. Air pollution in the three main street driving scenarios. Source: elaboration own.
Figure 17. Air pollution in the three main street driving scenarios. Source: elaboration own.
Preprints 88537 g017
The analysis of the home zone data given in Figure 17 and the 30 km/h zone simulated data showed that the traffic circle related air pollution may be higher in the 30 km/h zone than in a home zone. Comparing the home zone air pollution data in summer and in September it is justified to conclude that carbon dioxide and carbon monoxide pollution along the street does not differ between the summer and September despite different driving speeds recorded in these period due to almost steady speed in summer of about 10 km/h (Figure 13). The levels of nitrogen oxides and hydrocarbons were, in turn, different in the home zone under analysis. That said, the level of air pollution will definitely be lower in summer due to steadier driving speeds.

4.6. Fuel consumption in three traffic scenarios

Sudden speed variations would also influence fuel consumption. However, with the short distances between the subsequent traffic circles and small driving speed variations on the way, with the steady speeds of 8–10 km/h due to pedestrian traffic we can expect the drivers to shift to the second gear. In September, the driving speeds ranged from 20 to 25 km/h, depending on the number of pedestrians, decreasing only right at the traffic circle. Some drivers drove in the third gear, thus reducing fuel consumption. However, almost all the interviewed drivers confirmed shifting to the second gear on the approach to the traffic circle. Considering short distances of travel through the analysed streets and using the mean fuel consumption data in litre/100 km depending on gear, as given in [53] we may expect only very slight differences in fuel consumption. For example, travelling at 8–10 km/h in the second gear in summer the car would use about 0.043 litre of petrol to reach the end of the street, and in September this amount would drop to 0.033 litres due to using third gear with 20–25 km/h travel speeds practicable on this section. However, was a 30 km/h zone implemented in this street, a car would use 0.035 litre of petrol driving between the traffic circles in third gear at 25–30 km/h.
The comparisons performed as part of this study, covering pedestrian safety (especially in summer), reduction of driving speed, air pollution and fuel consumption indicate suitability of traffic circle as an effective and economic traffic calming measure for use in home zone applications.

5. Conclusions

The following conclusions may be drawn based on the results of the above-described analyses:
-
The traffic calming effect and the amount of speed reduction by traffic circle depend, to a large extent, on the height of the raised central island ∆h. The resulting values of R2 (v85) = 0.85 and R2 (vav) = 0.72 indicate that 85% or 72% of the dependent variable variation (v85, vav) may be explained by a relationship with the independent variable (∆h). Now, the remaining 15% or 28% of the variability should be attributed to the effect of other relevant factors (traffic circle location, place in the sequence, street function and the surrounding streetscape features) and also some other random factors.
-
Transverse slope of the central island should be determined in a prior analytical study and implemented in the home zone design taking into account the following factors:
  • travel lane width,
  • distance between the start and end of the on-street parallel parking spaces and the side street edge,
  • spacing distance between subsequent traffic circles,
  • and also the surrounding features, such as locations and open hours of markets, restaurants and public amenities throughout all seasons of the year.
-
When the traffic calming areas are designed in line with the sustainability principles, allowing for extensive use of the carriageway space by the pedestrian traffic, as is the case in this article, one-way traffic should be the first option, and green street/infrastructure components should be used, as far as practicable, for beautification reasons.
-
In order to prevent exceeding the desired speed range on the sections between traffic circles, encouraged by a lack of vehicles parked on the street, fixed-type side obstacles should be designed at the beginning and end of such sections. These obstacles include flowerbeds, planters, concrete or wooden tree boxes, as shown in Figure A1 in Appendix A.
-
Finally, the authors believe that the issue of increased fuel consumption due to driving in lower gears in traffic calmed areas, such as home zones, may be effectively resolved by the global transition to electric vehicles and sustainable design of traffic calming projects.
There are a few limitations that affect this study. One example are the speeds of the September traffic survey, which are defined by driving habits typical of Polish drivers and Polish traffic rules. Thus slightly other speeds may be obtained in research projects carried out in other countries. Also fuel consumption estimates in this project were based on geographically-specific French data and different estimates may be obtained with input data typical of other locations.

Author Contributions

Conceptualization, S.M, A.S.; methodology, S.M., A.S.; software, S.M.; formal analysis, S.M, A.S.; data curation, S.M, A.S.; writing—original draft preparation, S.M, A.S.; writing—review and editing, S.M., A.S.; visualization, S.M, A.S.; supervision, S.M.; project administration, S.M.

Funding

This research received no external funding.

Institutional Review Board Statement

Not applicable.

Informed Consent Statement

Not applicable.

Data Availability Statement

The data presented in this study are available in the article.

Acknowledgments

The authors would like to thank Mr. Marcin Jóźwiak and the employees of the Public Roads Authority in Kamień Pomorski for their assistance during the traffic surveys carried out as part of this study and for providing us with the information on the home zone conversion project in Międzywodzie.

Conflicts of Interest

The authors declare no conflict of interest.

Appendix A

Figure A1. Visualization of the proposed traffic safety improvement measures using green infrastructure components suitable for home zone applications: (a) tree boxes with appropriately selected species used as side obstacles (greenery resistant to drought, frost, exhaust emissions); (b) side obstacles with appropriate grafted tree species. Source: elaboration own.
Figure A1. Visualization of the proposed traffic safety improvement measures using green infrastructure components suitable for home zone applications: (a) tree boxes with appropriately selected species used as side obstacles (greenery resistant to drought, frost, exhaust emissions); (b) side obstacles with appropriate grafted tree species. Source: elaboration own.
Preprints 88537 g0a1

References

  1. Horn, B.E.; Jansson, A.H.H. Traffic safety and environment: Conflict or integration. International Association of Traffic and Safety Sciences IATSS Research 2000, 24(1), 21–29. [CrossRef]
  2. Boglietti, S.; Tiboni, M. Analyzing the criticalities of public spaces to promote sustainable mobility, XXV International Conference Living and Walking in Cities – New scenarios for safe mobility in urban areas (LWC 2021), 9-10 September 2021, Brescia, Italy, Transportation Research Procedia, 2022, 60: 172-179. [CrossRef]
  3. Paszkowski, Z. Miasto idealne w perspektywie europejskiej z jego związki z urbanistyką współczesną, Towarzystwo Autorów i Wydawców Prac Naukowych UNIVERSITAS, Kraków, Poland, 2011. [In Polish].
  4. Paszkowski, Z. Historia idei miasta od antyku do renesansu, Zachodniopomorski Uniwersytet Technologiczny w Szczecinie, Szczecin, Poland 2015. [In Polish].
  5. Google Earth. Available online: http://www.earth.google.com (accessed on 2 September 2023).
  6. Mell, I.; Clement, S. Progressing Green Infrastructure planning: understanding its scalar, temporal, geo-spatial and disciplinary evolution, Impact Assessment and Project Appraisal, 2020, 38(6): 449–463. [CrossRef]
  7. Meerow, S. A green infrastructure spatial planning model for evaluating ecosystem service tradeoffs and synergies across three coastal megacities, Environmental Research Letters 2019, 14, 125011. [CrossRef]
  8. Learn About Green Streets, Available online: https://www.epa.gov/G3/learn-about-green-streets (accessed on 18 July 2023).
  9. Green streets, Residential streets commercial streets arterial streets alleys. A conceptual Guide To effective Design solutions, United States Enviromental Ptotection Agency US EPA Region 3 Philadelphia, US, 2009. Available online: https://nepis.epa.gov/Exe/ZyPDF.cgi/P10059Y4.PDF?Dockey=P10059Y4.PDF (accessed on 18 July 2023).
  10. WHO, Pedestrian safety: a road safety manual for decision-makers and practitioners, 2013, Geneva, Switzerland.
  11. Slootmans, F. European Road Safety Observatory Facts and Figures – Pedestrians, European Commission, Directorate General for Transport, Brussels, Belgium 2021. Available online: https://road-safety.transport.ec.europa.eu/system/files/2023-02/ff_pedestrians_20230213.pdf (accessed on 18 July 2023).
  12. Slootmans, F. European Road Safety Observatory Facts and Figures – Urban areas, European Commission, Directorate General for Transport, Brussels, Belgium, 2022. Available online: https://road-safety.transport.ec.europa.eu/system/files/2022-07/ff_roads_inside_urban_areas_20220707.pdf (accessed on 18 July 2023).
  13. Bigazzi, A.Y.; Rouleau, M. Can traffic management strategies improve urban air quality? A review of the evidence, Journal of Transport & Health 2017, 7(B): 111-124;. [CrossRef]
  14. Harris, G.J.; Stait, R.E.; Abbott, P.G.; Watts, G.R. Traffic calming: Vehicle generated noise and ground-borne vibration alongside sinusoidal, round-top and flat-top road humps, TRL Report 416, Transport Research Laboratory, Crowthorne, Berkshire, GB, 1999. Available online: https://trl.co.uk/uploads/trl/documents/TRL416.pdf (accessed on 18 July 2023).
  15. Lu, X.; Kang, J.; Zhu, P.; Cai, J.; Fei Guo, F.; Zhang, Y. Influence of urban road characteristics on traffic noise, Transportation Research Part D: Transport and Environment, 2019, 75: 136-155;. [CrossRef]
  16. McAlexander, T.P.; Gershon, R.R.; Neitzel, R.L. Street-level noise in an urban setting: assessment and contribution to personal exposure, Environ Health 2015, 14, 18. [CrossRef]
  17. Ahn, K.; Rakha, H. A field evaluation case study of the environmental and energy impacts of traffic calming, Transportation Research Part D: Transport and Environment 2009, 14(6): 411-424;. [CrossRef]
  18. Yang, X.; McCoy, E.; Hough, K.; de Nazelle, A. Evaluation of low traffic neighbourhood (LTN) impacts on NO2 and traffic, Transportation Research Part D: Transport and Environment 2022, 13, 103536. [CrossRef]
  19. Cloke, J.; Boulter, P.; Davies, G.P.; Hickman, A.J.; Layfield, R.E.; McCrae, I.S.; Nelson, P.M. Traffic Management and Air Quality Research Programme. TRL Report 327, Crowthorne, Berkshire, GB, 1998.
  20. Vardoulakis, S.; Kettle, R.; Cosford, P.; Lincoln, P.; Holgate, S.; Grigg, J.; Kelly, F.; Pencheon, D. Local action on outdoor air pollution to improve public health, International Journal of Public Health 2018, 63(5): 557-565;. [CrossRef]
  21. Burns, J.; Boogaard, H.; Polus, S.; Pfadenhauer, L.M.; Rohwer, A.C.; van Erp, A.M.; Turley, R.; Rehfues, E.A. Interventions to reduce ambient air pollution and their effects on health: An abridged Cochrane systematic review, Environ. Int. 2020, 135: 105400. [CrossRef]
  22. Merkisz, J.; Pielucha J.; Fuć, P.; Nowak M. Assessment of vehicle emission indicators for diverse urban microinfrastructure, Combustion Engines, 2013, 154(3): 787-793.
  23. Kuss, P., Nicholas, K.A.; A dozen effective interventions to reduce car use in European cities: Lessons learned from a meta-analysis and transition management, Case Stud. Transport Policy, 2022, 10(3): 1494-1513. [CrossRef]
  24. Mass Hingway, Traffic Calming and Traffic Management, Chapter 16, Mass Hingway, Winchester, US 2006. Available online: https://www.winchester.us/DocumentCenter/View/4073/MassDOT-Traffic-Calming-and-Traffic-Management (accessed on 18 July 2023).
  25. Traffic Calming Guidelines Chapter 6, Devon County Council, Engineering and Planning Department, Devon 1995.
  26. Roads Development Guide, East Ayrshire, Strathclyde Regional Council London, UK, 2010.
  27. Traffic Calming, Local Transport Note 1/07, Department for Regional Development (Northern Ireland), Scottish Executives, Welsh Assembly Government, London, UK, 2007.
  28. Webster, P. Traffic calming – Design Guide, Nottinghamshire County Council, Nottingham, GB, 2004.
  29. OMGEVING cvba, IPOD, Richtlijnen, dimensioneringen, statuten en checklist voor het openbaar domein in Gent, OMGEVING cvba, Berchem-Antwerpia, Neterlands, 2011.
  30. Vejdirektoratet, Urban Traffic Areas—Part 7—Speed Reducers; Vejdirektoratet-Vejregeludvalget: Copenhagen, Denmark, 1991.
  31. Lárus Ágústsson, L. Techniques of speed reduction - danish experiences, ICTCT International Co-operation on Theories and Concepts in Traffic Safety No. 277/99, Copenhagen, Denmark, 1999.
  32. Traffic Calming Guidelines TCG, Devon County Council, Engineering and Planning Department, Devon 1991.
  33. Directives for the Design of Urban Roads. RASt 06; Road and Transportation Research Association (FGSV): Kӧln, Germany, 2006.
  34. Ignaccolo, M.; Zampino, S.; Maternini, G.; Tiboni, M.; Leonardi, S.; Inturri, G.; Le Pira, M.; Elena Cocuzza, E.; Distefano, N.; Giuffrida, N.; Pulvirenti, G.; Torrisi, V. How to redesign urbanized arterial roads? The case of Italian small cities, XXV International Conference Living and Walking in Cities – New scenarios for safe mobility in urban areas (LWC 2021), 9-10 September 2021, Brescia, Italy, Transportation Research Procedia 2022, 60: 196–203,. [CrossRef]
  35. Are roundabouts and traffic circles the same? The answer might surprise you. Available online: https://www.motorbiscuit.com/roundabouts-traffic-circles-same-answer-surprise (accessed on 18 July 2023).
  36. Traffic Circles and Roundabouts. Available online: https://www.surrey.ca/services-payments/parking-streets-transportation/roads-in-surrey/traffic-circles-and-roundabouts (accessed on 18 July 2023).
  37. Melton, L.; Shumard, D. Mini roundabouts and neighborhood traffic circles, NCTCOG Public Works Roundup, City Council Regular Meeting, Burleson, USA, May 21, 2019. Available online: https://www.nctcog.org/getmedia/57bdd772-1d6b-4d1f-a344-94ab249ec392/2019PWR-MiniRAB-FINAL.pdf (accessed on 18 July 2022).
  38. Rao, P.S.N., Bhagwati, S., Satish Khanna, S., City level projects: Street design guidelines, Delhi Urban Art Commission, Delhi, India 2020.
  39. System Ewidencji Wypadków i Kolizji, Available online: https://sewik.pl/ (accessed on 18 July 2023). (accessed on 18 July 2023).
  40. 40. Speed displays traffic detection, Radar, Detection, Software, Vitronic: Kędzierzyn Koźle, Poland 2015.
  41. Künzler, P.; Dietiker, J.; Steiner, R. Nachhaltige Gestaltung von Verkehrsräumen im Siedlungsbereich, Grundlagen für Planung, Bau und Reparatur von Verkehrsräumen; Herausgegeben vom Bundesamt für Umwelt BAFU: Bern, Switzerland, 2011. Available online: https://www.bafu.admin.ch/dam/bafu/de/dokumente/luft/uw-umwelt-wissen/nachhaltige_gestaltungvonverkehrsraeumenimsiedlungsbereich.pdf (accessed on 12 August 2023).
  42. Faheem, H. Suitability of existing traffic calming measures for use on some highways in Egypt, 9th International Conference on Civil and Architecture Engineering, May 29-31, 2012, Cairo, Egypt. Available online: https://iccae.journals.ekb.eg/article_44388.html. [CrossRef]
  43. Wirksamkeit geschwindigkeitsdämpfender Maßnahmen außerorts, Hessisches Landesamt für Straßen- und Verkehrswesen: Hessen, Germany 1997. Available online: https://docplayer.org/57666796-Wirksamkeit-geschwindigkeitsdaempfender-massnahmen.html (accessed on 2 August 2020).
  44. Distefano, N.; Leonardi, S. Evaluation of the benefits of traffic calming on vehicle speed reduction, Civil Engineering and Architecture 2019, 7(4): 200-214. [CrossRef]
  45. Centre for Research and Contract Standardization in Civil Engineering (CROW) Recommendations for Traffic Provisions in Built-Up Areas: ASVV, CROW, Ede, Netherlands, 1998.
  46. Department for Transport (DfT), Home Zones: Challenging the future of our street, London, UK, 2005.
  47. Gharehbaglou, M.; Khajeh-Saeed, F.; Woonerf: A Study of Urban Landscape Components on Living Streets, MANZAR 2018, 10 (43): 40-49. [CrossRef]
  48. Van den Boomen, T. Wed met de regels! Het Nieuwe Woonerf (Away with the rules! he New Woonerf). NCR Hamdelsblad, 5, 2002.
  49. Collarte, N. The Woonerf Concept. Rethinking a Residential Street in Somerville, Master of Arts in Urban and Environmental Policy and Planning MA (857), Tufts University, December 7 2012. Available online: https://docplayer.net/35878575-The-woonerf-concept-rethinking-a-residential-street-in-somerville-natalia-collarte-60-wadsworth-street-apt-12h-cambridge-ma-857.html (accessed on 18 July 2023).
  50. Clayden, A.; McKay, K.; Wild, A. Improving residential liveability in the UK: Home zones and alternative approaches Journal of Urban Design 2006, 11(1): 55-71. [CrossRef]
  51. Pérez-Acebo, H.; Ziółkowski, R., Linares-Unamunzaga, A.; Gonzalo-Orden, H. A Series of Vertical Deflections, a Promising Traffic Calming Measure: Analysis and Recommendations for Spacing. Applied Sciences 2020, 10, 3368. [CrossRef]
  52. Yang, X.; McCoy, E.; Hough, K.; de Nazelle, A. Evaluation of low traffic neighbourhood (LTN) impacts on NO2 and traffic, Transportation Research Part D: Transport and Environment 2022, 113: 103536,. [CrossRef]
  53. Nina67, Consommation D’essence en Fonction de Vitesse et Rapport, Astuces-Pratiques, Article of 23 July 2015. Available online: https://www.astuces-pratiques.fr/auto-moto/consommation-d-essence-en-fonction-de-vitesse-et-rapport (accessed on 12 August 2023).
Figure 2. Examples of traffic circles used in Poland on two-way streets: (a) an example of a sectioned-off central island on a raised junction in Mierzyn, including traffic signs directing the traffic around the island. Source: photo by Alicja Sołowczuk; (b) example of coloured/textured surface used on the central island of a raised junction in Puławy. Source: Google Earth [5].
Figure 2. Examples of traffic circles used in Poland on two-way streets: (a) an example of a sectioned-off central island on a raised junction in Mierzyn, including traffic signs directing the traffic around the island. Source: photo by Alicja Sołowczuk; (b) example of coloured/textured surface used on the central island of a raised junction in Puławy. Source: Google Earth [5].
Preprints 88537 g002
Figure 3. Adopted stages of the research. Source: own elaboration.
Figure 3. Adopted stages of the research. Source: own elaboration.
Preprints 88537 g003
Figure 4. Both the study area and the home zone (marked in orange) are located to the north of the DW102 road. Source: own elaboration against the background of a satellite photo from Google Earth [5].
Figure 4. Both the study area and the home zone (marked in orange) are located to the north of the DW102 road. Source: own elaboration against the background of a satellite photo from Google Earth [5].
Preprints 88537 g004
Figure 5. Study area details: (a) traffic circles locations and numbering; (b) home zone divided into functional sub-areas. Source: own elaboration.
Figure 5. Study area details: (a) traffic circles locations and numbering; (b) home zone divided into functional sub-areas. Source: own elaboration.
Preprints 88537 g005
Figure 6. Survey station equipment (SR4): (a) traffic detection device; (b) SR4 sited before and after traffic circle. Source: photo by Alicja Sołowczuk.
Figure 6. Survey station equipment (SR4): (a) traffic detection device; (b) SR4 sited before and after traffic circle. Source: photo by Alicja Sołowczuk.
Preprints 88537 g006
Figure 7. Streetscape and traffic calming measurements visualisation of the analysed streets: (a) one-way street with parallel on-street parking on the right-hand side; (b) one-way main promenade hosting various weekend events. Source: drawings own.
Figure 7. Streetscape and traffic calming measurements visualisation of the analysed streets: (a) one-way street with parallel on-street parking on the right-hand side; (b) one-way main promenade hosting various weekend events. Source: drawings own.
Preprints 88537 g007
Figure 8. Visualization of the analysed traffic circles: (a) transverse cross-section; (b) plan view of a traffic circle located on a T-junction; (c) plan view of traffic circle located on the main promenade (all dimensions in metres). Source: own elaboration.
Figure 8. Visualization of the analysed traffic circles: (a) transverse cross-section; (b) plan view of a traffic circle located on a T-junction; (c) plan view of traffic circle located on the main promenade (all dimensions in metres). Source: own elaboration.
Preprints 88537 g008aPreprints 88537 g008b
Figure 9. Analysed traffic circles: (a) No. 3 – ∆h = 0.17 m; (b) No. 6 – ∆h = 0.08 m (all dimensions in metres). Source: photo by Alicja Sołowczuk.
Figure 9. Analysed traffic circles: (a) No. 3 – ∆h = 0.17 m; (b) No. 6 – ∆h = 0.08 m (all dimensions in metres). Source: photo by Alicja Sołowczuk.
Preprints 88537 g009
Figure 10. Box plot of speed data measured in summer. The whiskers represent the minimum and maximum values; lower and upper edges of the boxes determine the first and third quartiles; the bold line designates the median value. Source: own elaboration.
Figure 10. Box plot of speed data measured in summer. The whiskers represent the minimum and maximum values; lower and upper edges of the boxes determine the first and third quartiles; the bold line designates the median value. Source: own elaboration.
Preprints 88537 g010
Figure 11. Box plot of speed data measured in September. The whiskers represent the minimum and maximum values; lower and upper edges of the boxes determine the first and third quartiles; the bold line designates the median value. Source: own elaboration.
Figure 11. Box plot of speed data measured in September. The whiskers represent the minimum and maximum values; lower and upper edges of the boxes determine the first and third quartiles; the bold line designates the median value. Source: own elaboration.
Preprints 88537 g011
Figure 12. Differences in pedestrian traffic on the main promenade in the home zone area: (a) summer season (Source: Google Earth [5]); (b) September. (Source: photo by Alicja Sołowczuk).
Figure 12. Differences in pedestrian traffic on the main promenade in the home zone area: (a) summer season (Source: Google Earth [5]); (b) September. (Source: photo by Alicja Sołowczuk).
Preprints 88537 g012
Figure 13. Illustrative cumulative frequency graph of traffic circle crossing speeds: (a) No. 1; (b) No. 2; (c) No. 3; (d) No. 7. Source: own elaboration.
Figure 13. Illustrative cumulative frequency graph of traffic circle crossing speeds: (a) No. 1; (b) No. 2; (c) No. 3; (d) No. 7. Source: own elaboration.
Preprints 88537 g013
Figure 14. Examples of passenger cars driving through traffic circles: (a) traversing the island on the left-hand side; (b) traversing the island on the right-hand side; (c) traversing through the central part of the island; (d) bypassing the island by pulling right. Source: photo by Alicja Sołowczuk.
Figure 14. Examples of passenger cars driving through traffic circles: (a) traversing the island on the left-hand side; (b) traversing the island on the right-hand side; (c) traversing through the central part of the island; (d) bypassing the island by pulling right. Source: photo by Alicja Sołowczuk.
Preprints 88537 g014
Figure 15. Traffic circle driving speed profiles: (a) No. 1 – Δh = 0.12 m; (b) No. 2 – Δh = 0.09 m; (c) No. 3 – Δh = 0.17 m; (d) No. 4 – Δh = 0.16 m; (e) No. 5 – Δh = 0.12 m; (f) No. 6 – Δh = 0.08 m; (g) No. 7 – Δh = 0.11 m. Source: elaboration own.
Figure 15. Traffic circle driving speed profiles: (a) No. 1 – Δh = 0.12 m; (b) No. 2 – Δh = 0.09 m; (c) No. 3 – Δh = 0.17 m; (d) No. 4 – Δh = 0.16 m; (e) No. 5 – Δh = 0.12 m; (f) No. 6 – Δh = 0.08 m; (g) No. 7 – Δh = 0.11 m. Source: elaboration own.
Preprints 88537 g015
Figure 16. Speed reduction vs. central island difference of level ∆h: (a) v85; (b) vav. Source: elaboration own.
Figure 16. Speed reduction vs. central island difference of level ∆h: (a) v85; (b) vav. Source: elaboration own.
Preprints 88537 g016
Table 1. Sample results of statistical tests – traffic circle No. 1 and No. 2. Source: own work.
Table 1. Sample results of statistical tests – traffic circle No. 1 and No. 2. Source: own work.
K–S Goodness-of-fit test 1 Two-sample K–S test 2 Median test 3
Before After
Data from the Summer
Traffic circle No. 1 λ = 0.76 < λα = 1.36 λ = 0.34 < λα = 1.36 λ = 4.05 > λα = 1.36 χ2 = 30.3 > χα2 = 3.84
Traffic circle No. 2 λ = 0.73 < λα = 1.36 λ = 0.58 < λα = 1.36 λ = 4.45 > λα = 1.36 χ2 = 38.2 > χα2 = 3.84
Data from the September
Traffic circle No. 1 λ = 0.92 < λα = 1.36 λ = 1.00 < λα = 1.36 λ = 4.03 > λα = 1.36 χ2 = 83.8 > χα2 = 3.84
Traffic circle No. 2 λ = 0.90 < λα = 1.36 λ = 0.75 < λα = 1.36 λ = 2.28 > λα = 1.36 χ2 = 27.2 > χα2 = 3.84
1 Kolmogorov–Smirnov Goodness-of-fit test (equation 1): λα = 1.36, α = 0.05. 2 Two–sample Kolmogorov–Smirnov test (equation 2): λα = 1.36, α = 0.05. 3 Median test (equation 3): χα2 = 3.84, α = 0.05.
Table 2. Results of statistical tests related to hypothesis 2A – effect of pedestrians on the “before” and ”after” traffic circle speeds measured in the summer season and in September. Source: own work.
Table 2. Results of statistical tests related to hypothesis 2A – effect of pedestrians on the “before” and ”after” traffic circle speeds measured in the summer season and in September. Source: own work.
Test Traffic circle
No. 1 No. 2 No. 3 No. 4 No. 5 No. 6 No. 7
Data from Test K–S test 1
Before (Summer and September) 4.05 6.9 5.7 4.5 2.3 1.35 4.9
After (Summer and September) 7.00 7.2 7.5 7.7 7.1 7.3 7.1
Data from Median test 2
Before (Summer and September) 26.6 167.9 165.5 174.4 179.7 166.0 164.5
After (Summer and September) 97.9 153.8 139.3 152.4 180.8 197.8 56.1
1 Two–sample Kolmogorov–Smirnov test λ (equation 4): λα = 1.36, α = 0.05. 2 Median test (equation 5): χα2 = 3.84, α = 0.05.
Table 3. Statistics related to hypothesis No. 2B to verify the effect of the traffic circle location, place in the sequence and the surrounding streetscape features on the “before” speed measured in the September survey. Source: own work.
Table 3. Statistics related to hypothesis No. 2B to verify the effect of the traffic circle location, place in the sequence and the surrounding streetscape features on the “before” speed measured in the September survey. Source: own work.
Test Analysis of traffic circles located along the main streets
No. 1 and 2 No. 3 and 4 No. 5 and 6 No. 6 and 7
Data from Test K–S test 1 4.1 1.1 1.6 3.3
Data from Median test 2 48.4 3.6 8.0 67.6
1 Two–sample Kolmogorov–Smirnov test λ (equation 6): λα = 1.36, α = 0.05. 2 Median test (equation 7): χα2 = 3.84, α = 0.05.
Table 4. Statistics related to hypothesis No. 2C to verify the effect of the traffic circle location and the surrounding streetscape features at a parallel location on the “before” speed measured in the September survey. Source: own work.
Table 4. Statistics related to hypothesis No. 2C to verify the effect of the traffic circle location and the surrounding streetscape features at a parallel location on the “before” speed measured in the September survey. Source: own work.
Test Analysis of traffic circle located on parallel side streets
No. 1 and 7 No. 2 and 5 No. 3 and 5 No. 4 and 7
Data from Test K–S test 1 4.3 1.32 2.1 1.6
Data from Median test 2 83.8 8.6 8.7 15.7
1 Two–sample Kolmogorov–Smirnov test λ (equation 8): λα = 1.36, α = 0.05. 2 Median test (equation 7): χα2 = 3.84, α = 0.05.
Disclaimer/Publisher’s Note: The statements, opinions and data contained in all publications are solely those of the individual author(s) and contributor(s) and not of MDPI and/or the editor(s). MDPI and/or the editor(s) disclaim responsibility for any injury to people or property resulting from any ideas, methods, instructions or products referred to in the content.
Copyright: This open access article is published under a Creative Commons CC BY 4.0 license, which permit the free download, distribution, and reuse, provided that the author and preprint are cited in any reuse.
Prerpints.org logo

Preprints.org is a free preprint server supported by MDPI in Basel, Switzerland.

Subscribe

Disclaimer

Terms of Use

Privacy Policy

Privacy Settings

© 2026 MDPI (Basel, Switzerland) unless otherwise stated