Submitted:
16 October 2023
Posted:
17 October 2023
You are already at the latest version
Abstract
Keywords:
1. Introduction
2. Experimental
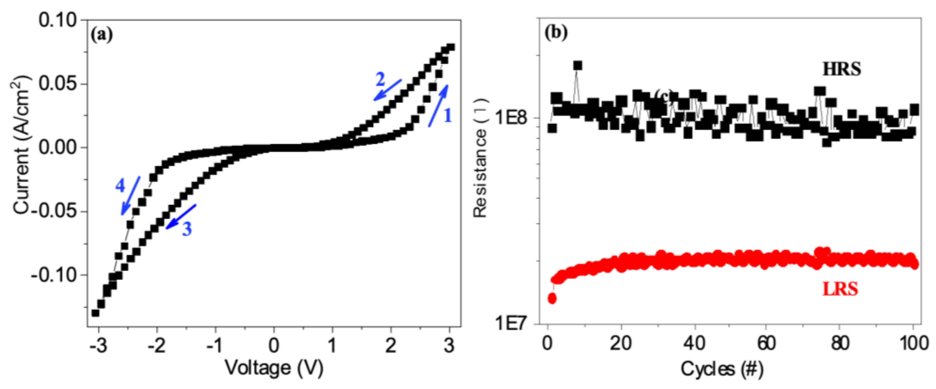
3. Results and Discussion
4. Conclusions
Author Contributions
Funding
Institutional Review Board Statement
Informed Consent Statement
Data Availability Statement
Conflicts of Interest
References
- Kwon, D.H.; Kim, K.M.; Jang, J.H.; Jeon, J.M.; Lee, M.H.; Kim, G.H.; Li, X.S.; Park, G.S.; Lee, B.; Han, S.; Kim, M.; Hwang, C.S. Atomic structure of conducting nanofilaments in TiO2 resistive switching memory. Nat. Nanotechnol. 2010, 5, 148–153. [Google Scholar] [CrossRef]
- Kim, D.C.; Seo, S.; Ahn, S.E.; Suh, D.S.; Lee, M.J.; Park, B.H.; Yoo, I.K.; Baek, I.G.; Kim, H.J.; Yim, E.K.; Lee, J.E.; Park, S.O.; Kim, H.S.; Chung, U.I.; Moon, J.T.; Ryu, B.I. Electrical observations of filamentary conductions for the resistive memory switching in NiO films. Appl. Phys. Lett. 2006, 88, 202102–202102-3. [Google Scholar] [CrossRef]
- Ren, S.X.; Zhang, L.Y.; Dong, J.Y.; Huang, Y.F.; Guo, J.J.; Zhang, L.; Zhao, J.; Zhao, X.; Chen, W. Electric field control of magnetism in Ti/ZnO/Pt and Ti/ZnO/SRO devices. J. Mater. Chem. C 2015, 3, 4077–4080. [Google Scholar] [CrossRef]
- Dong, R.; Lee, D.S.; Xiang, W.F.; Oh, S.J.; Seong, D.J.; Heo, S.H.; Choi, H.J.; Kwon, M.J.; Seo, S.N.; Pyun, M.B.; Hasan, M.; Hwang, H. Reproducible hysteresis and resistive switching in metal-CuxO-metal heterostructures. Appl. Phys. Lett. 2007, 90, 042107. [Google Scholar] [CrossRef]
- Zackriya, V.M.; Kittur, H.M.; Chin, A. A novel read scheme for large size one-resistor resistive random access memory array. Sci. Rep. 2017, 7, 42375. [Google Scholar] [CrossRef]
- Cao, Y.; Shen, J.; Randall, C.A.; Chen, L.Q. Phase-field modeling of switchable diode-like current-voltage characteristics in ferroelectric BaTiO3. Appl. Phys. Lett. 2014, 104, 182905. [Google Scholar] [CrossRef]
- Zou, X.; Ong, H.G.; You, L.; Chen, W.G.; Ding, H.; Funakubo, H.; Chen, L.; Wang, J.L. Charge trapping-detrapping induced resistive switching in Ba0.7Sr0.3TiO3. AIP Adv. 2012, 2, 032166. [Google Scholar] [CrossRef]
- Bourim, E.M.; Park, S.; Liu, X.J.; Biju, K.P.; Hwang, H.; Ignatiev, A. Ferroelectric polarization effect on Al-Nb codoped Pb(Zr0.52Ti0.48)O3/Pr0.7Ca0.3MnO3 heterostructure resistive memory. Electrochem. Solid-State Lett. 2011, 14, H225. [Google Scholar] [CrossRef]
- Wang, C.; Jin, K.J.; Xu, Z.T.; Wang, L.; Ge, C.; Lu, H.B.; Guo, H.Z.; He, M.; Yang, G.Z. Switchable diode effect and ferroelectric resistive switching in epitaxial BiFeO3 thin films. Appl. Phys. Lett. 2011, 98, 192901. [Google Scholar] [CrossRef]
- Yao, Y.B.; Zhang, B.; Chen, L.; Yang, Y.; Wang, Z.H.; Alshareef, H.N.; Zhang, X.X. Polarization-tuned diode behaviour in multiferroic BiFeO3 thin films. J. Phys. D: Appl. Phys. 2013, 46, 055304. [Google Scholar] [CrossRef]
- Chen, D.X.; Li, A.D.; Wu, D. Resistive switching inBiFeO3-based heterostructures due to ferroelectric modulation on interface Schottky barriers. J. Mater. Sci.: Mater. Electron. 2014, 25, 3251–3256. [Google Scholar]
- Choi, T.; Lee, S.; Choi, Y.J.; Kiryukhin, V.; Cheong, S.W. Switchable ferroelectric diode and photovoltaic effect in BiFeO3. Science 2009, 324, 63–66. [Google Scholar] [CrossRef]
- Yang, C.H.; Seidel, J.; Kim, S.Y.; Rossen, P.B.; Yu, P.; Gajek, M.; Chu, Y.H.; Martin, L.W.; Holcomb, M.B.; He, Q.; Maksymovych, P.; Balke, N.; Kalinin, S.V.; Baddorf, A.P.; Basu, S.R.; Scullin, M.L.; Ramesh, R. Electric modulation of conduction in multiferroic Ca-doped BiFeO3 films. Nat. Mater. 2009, 8, 485–493. [Google Scholar] [CrossRef] [PubMed]
- Müller, M.L.; Becker, M.T.; Strkalj, N.; MacManus-Driscoll, J.L. Schottky-to-Ohmic switching in ferroelectric memristors based on semiconducting Hf0.93Y0.07O2 thin films. Appl. Phys. Lett. 2022, 121, 093501. [Google Scholar] [CrossRef]
- Li, M.; Zhuge, F.; Zhu, X.J.; Yin, K.B.; Wang, J.Z.; Liu, Y.W.; He, C.L.; Chen, B.; Li, R.W. Nonvolatile resistive switching in metal/La-doped BiFeO3/Pt sandwiches. Nanotechnology 2010, 21, 425202. [Google Scholar] [CrossRef]
- Lee, D.; Baek, S.H.; Kim, T.H.; Yoon, J.G.; Folkman, C.M.; Eom, C.B.; Noh, T.W. Polarity control of carrier injection at ferroelectric/metal interfaces for electrically switchable diode and photovoltaic effects. Phys. Rev. B 2011, 84, 125305. [Google Scholar] [CrossRef]
- Cornelius, T.W.; Mocuta, C.; Escoubas, S.; Merabet, A.; Texier, M.; Lima, E.C.; Araujo, E.B.; Kholkin, A.L.; Thomas, O. Piezoelectric response and electrical properties of Pb(Zr1-xTix)O3 thin films: the role of imprint and composition. J Appl Phys. 2017, 122, 164104. [Google Scholar] [CrossRef]
- Gruverman, A.; Kholkin, A.; Kingon, A.; Tokumoto, H. Asymmetric nanoscale switching in ferroelectric thin films by scanning force microscopy. Appl Phys Lett. 2001, 78, 2751–2753. [Google Scholar] [CrossRef]
- Damjanovic, D. Ferroelectric, dielectric and piezoelectric properties of ferroelectric thin films and ceramics. Rep Prog Phys. 1998, 61, 1267–1324. [Google Scholar] [CrossRef]
- Pabst, G.W.; Martin, L.W.; Chu, Y.H.; Ramesh, R. Leakage mechanisms in BiFeO3 thin films. Appl. Phys. Lett. 2007, 90, 072902. [Google Scholar] [CrossRef]
- Scott, J.F. Ferroelectric memories; Springer: Berlin, Germany, 2000. [Google Scholar]
- Sze, S.M. Physics of semiconductor devices, 2nd ed.; Wiley: New York, NY, USA, 1981. [Google Scholar]
- Scott, J.F. Device physics of ferroelectric thin-film memories. Jpn. J. Appl. Phys. 1999, 38, 2272–2274. [Google Scholar] [CrossRef]
- Watanabe, Y. Electrical transport through Pb(Zr,Ti)O3 p-n and p-pheterostructures modulated by bound charges at a ferroelectric surface: Ferroelectric p-n diode. Phys. Rev. B 1999, 59, 11257–11266. [Google Scholar] [CrossRef]
- Meyer, R.; Waser, R. Hysteretic resistance concepts in ferroelectric thin films. J. Appl. Phys. 2006, 100, 051611. [Google Scholar] [CrossRef]
- Wang, L.; Jin, K.J.; Ge, C.; Wang, C.; Guo, H.Z.; Lu, H.B.; Yang, G.Z. Electro-photo double modulation on the resistive switching behavior and switchable photoelectric effect in BiFeO3 films. Appl. Phys. Lett. 2013, 102, 252907. [Google Scholar] [CrossRef]
- Wang, C; Jin, K. J.; Xu, Z.T.; Wang, L; Ge, C., Lu, H.B.; Guo, H.Z.; He, M.; Yang, G.Z. Switchable diode effect and ferroelectric resistive switching in epitaxial BiFeO3 thin films. Appl. Phys. Lett. 2011, 98, 192901. [Google Scholar] [CrossRef]
- Clark, S.J.; Robertson, J. Band gap and schottky barrier heights of multiferroic BiFeO3. Appl. Phys. Lett. 2007, 90, 132903. [Google Scholar] [CrossRef]
- Lee, J.H.; Jeon, J.H.; Yoon, C; Lee, S.; Kim, Y.S.; Oh, T.J.; Kim, Y.H.; Park, J.; Song, T.K.; Park, B.H. Intrinsic defect-mediated conduction and resistive switching in multiferroic BiFeO3 thin films epitaxially grown on SrRuO3 bottom electrodes. Appl. Phys. Lett. 2016, 108, 112902. [Google Scholar] [CrossRef]
- Jiang, A.Q.; Wang, C.; Jin, K.J.; Liu, X.B.; Scott, J.F.; Hwang, C.S.; Tang, T.A.; Lu, H.B.; Yang, G.Z. A Resistive Memory in Semiconducting BiFeO3 Thin-Film Capacitors. Adv. Mater. 2011, 23, 1277–1281. [Google Scholar] [CrossRef]







Disclaimer/Publisher’s Note: The statements, opinions and data contained in all publications are solely those of the individual author(s) and contributor(s) and not of MDPI and/or the editor(s). MDPI and/or the editor(s) disclaim responsibility for any injury to people or property resulting from any ideas, methods, instructions or products referred to in the content. |
© 2024 by the authors. Licensee MDPI, Basel, Switzerland. This article is an open access article distributed under the terms and conditions of the Creative Commons Attribution (CC BY) license (https://creativecommons.org/licenses/by/4.0/).
