Submitted:
13 October 2023
Posted:
16 October 2023
You are already at the latest version
Abstract
Keywords:
1. Introduction
2. Materials and Methods
Statistical Methods
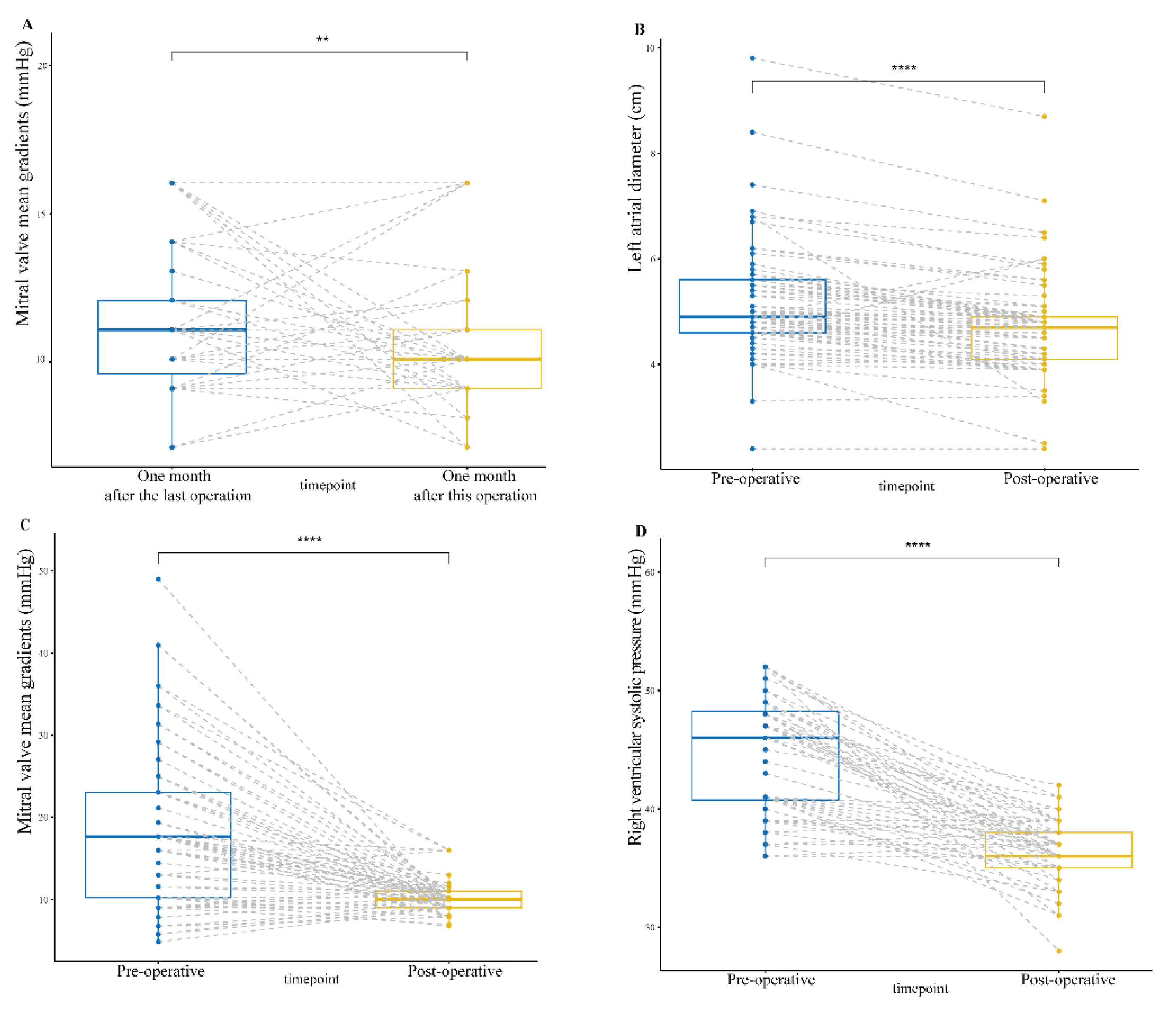
3. Results
3.1. Patients’ Characteristics
3.2. Procedural and In-Hospital Outcomes
3.2.1. Procedural Data
3.2.2. Periprocedural Outcomes
3.3. Follow-Up Outcomes
3.3.1. Clinical Outcomes
4. Discussion
5. Conclusions
6. Limitations
Supplementary Materials
Author Contributions
Funding
Institutional Review Board Statement
Informed Consent Statement
Acknowledgments
Conflicts of Interest
References
- Urena, M.; Vahanian, A.; Brochet, E.; Ducrocq, G.; Iung, B.; Himbert, D. Current Indications for Transcatheter Mitral Valve Replacement Using Transcatheter Aortic Valves: Valve-in-Valve, Valve-in-Ring, and Valve-in-Mitral Annulus Calcification. Circulation 2021, 143, 178–196. [Google Scholar] [CrossRef]
- Joury, A.; Duran, A.; Stewart, M.; Gilliland, Y.E.; Spindel, S.M.; Qamruddin, S. Prosthesis-patient mismatch following aortic and mitral valves replacement – A comprehensive review. Prog. Cardiovasc. Dis. 2022, 72, 84–92. [Google Scholar] [CrossRef] [PubMed]
- Redondo, A.; Lopez-Menendez, J.; Varela, L.; Muñoz, R.; Rodriguez-Roda, J. Overcoming a Surgical Challenge: Inverted Aortic Prosthetic Valves in Small Mitral Annulus. Ann. Thorac. Surg. 2018, 106, 637–638. [Google Scholar] [CrossRef] [PubMed]
- Cammack, P.L.; Edie, R.N.; Edmunds, L.H. Bar calcification of the mitral anulus. A risk factor in mitral valve operations. J Thorac Cardiovasc Surg 1987, 94, 399–404. [Google Scholar] [CrossRef] [PubMed]
- Barac, Y.D.; Zwischenberger, B.; Schroder, J.N.; Daneshmand, M.A.; Haney, J.C.; Gaca, J.G.; Wang, A.; Milano, C.A.; Glower, D.D. Using a Regent Aortic Valve in a Small Annulus Mitral Position Is a Viable Option. Ann. Thorac. Surg. 2018, 105, 1200–1204. [Google Scholar] [CrossRef] [PubMed]
- David, T.E.; Feindel, C.M.; Armstrong, S.; Sun, Z. Reconstruction of the mitral anulus: A ten-year experience. J. Thorac. Cardiovasc. Surg. 1995, 110, 1323–1332. [Google Scholar] [CrossRef] [PubMed]
- Atoui, R.; Lash, V.; Mohammadi, S.; Cecere, R. Intra-atrial implantation of a mitral valve prosthesis in a heavily calcified mitral annulus☆. Eur. J. Cardio-Thoracic Surg. 2009, 36, 776–778. [Google Scholar] [CrossRef] [PubMed]
- Polomsky, M.; Koulogiannis, K.P.; Kipperman, R.M.; Cohen, B.M.; Magovern, C.J.; Slater, J.P.; Xydas, S.; Marcoff, L.; Brown, J.M. Mitral Valve Replacement With Sapien 3 Transcatheter Valve in Severe Mitral Annular Calcification. Ann. Thorac. Surg. 2017, 103, e57–e59. [Google Scholar] [CrossRef]
- Roberts, W.C.; Morrow, A.G. Causes of early postoperative death following cardiac valve replacement. J. Thorac. Cardiovasc. Surg. 1967, 54, 422–437. [Google Scholar] [CrossRef]
- Abramowitz, Y.; Jilaihawi, H.; Chakravarty, T.; Mack, M.J.; Makkar, R.R. Mitral Annulus Calcification. J Am Coll Cardiol. 2015, 66, 1934–1941. [Google Scholar] [CrossRef] [PubMed]
- González Rocafort, Á.; Aroca, Á.; Polo, L.; Rey, J.; Villagrá, F. Chimney technique for mitral valve replacement in children. Ann Thorac Surg. 2013, 96, 1885–1887. [Google Scholar] [CrossRef]
- Song, L.; He, G.; Imin, E.; Tao, C.; Xu, M.; Wang, B.; Li, X.; Tao, L. ''Chimney'' Bentall Procedure in the Small Aortic Root After Prior Aortic Valve Operations. Ann Thorac Surg. 2020, 110, e241–e243. [Google Scholar] [CrossRef]
- Go, S.; Furukawa, T.; Yamada, K.; Hiraoka, T.; Mochizuki, S. A case of supra-annular mitral valve replacement using chimney technique for severe mitral stenosis with extensive mitral annular calcification. Gen. Thorac. Cardiovasc. Surg. 2019, 68, 1199–1202. [Google Scholar] [CrossRef] [PubMed]
- Ma, J.; Tan, T.; Li, X.; Li, J.; Zhang, Z.; Yuan, H. Mitral Valve Replacement Adopting Chimney Technique in Mitral Insufficiency And Extensive Mitral Annular Calcification: A Case Report. Hear. Surg. Forum 2022, 25, E718–E720. [Google Scholar] [CrossRef] [PubMed]





| Variables | n (%) or mean ± SD |
|---|---|
| Demographics | |
| Age (years) | 56.7±15.98 |
| Female | 48 (62.3) |
| Body surface area (m2) | 1.64 ± 0.23 |
| NYHA III or IV | 23 (29.9) |
| Non-cardiac comorbidities | |
| Hypertension | 18 (23.4) |
| Diabetes | 11 (14.3) |
| COPD | 5 (6.5) |
| CKD | 5 (6.5) |
| Stroke | 10 (13.0) |
| Cardiac comorbidities | |
| Prior myocardial infarction | 2 (2.6) |
| CAD | 4 (5.2) |
| Atrial fibrillation | 58 (75.3) |
| Infective endocarditis | 2 (2.6) |
| Hypertrophic cardiomyopathy | 4 (5.2) |
| Prior cardiac surgery | 77 (100.0) |
| Mitral valve replacement | 62 (80.5) |
| Mitral valve repair | 7 (9.1) |
| DVR | 8 (10.4) |
| One month after the last operation | |
| Mitral valve MG (mmHg) | 11.15 ± 2.26 |
| The last valve surgery period elapsed | |
| < 2 years | 17 (22.1) |
| 2-5 years | 52 (67.5) |
| > 5 years | 8 (10.4) |
| Mitral valve prosthesis | n = 70 |
| St. Jude-25# | 48 (62.3) |
| Med. Han-25# | 29 (37.7) |
| Preoperative echocardiogram | |
| Mitral stenosis | 74 (96.1) |
| Mitral regurgitation | 23 (29.9) |
| Mitral valve MG (mmHg) | 18.07 ± 9.40 |
| Mitral valve PG (mmHg) | 22.43 ± 4.69 |
| Mitral valve annulus diameter (mm) | 24.5 ± 0.42 |
| Mitral valve EOAI (cm2/m2) | 0.95 ± 0.27 |
| LAD (cm) | 5.14 ± 1.06 |
| RVSP (mmHg) | 47.14 ± 9.92 |
| Ejection fraction (%) | 52.57 ± 0.63 |
| Variables | n (%) or mean ± SD |
|---|---|
| Total CPB (min) | 179.40 ± 68.56 |
| Total aortic cross clamp (min) | 112.90 ± 42.70 |
| Combined cardiac procedure | |
| AVR | 12 (15.6) |
| CABG | 9 (11.7) |
| Tricuspid valve repair | 11 (14.3) |
| Modified Morrow procedure | 4 (5.2) |
| Cox Maze IV | 21 (27.3) |
| Left atrial thrombectomy | 3 (3.9) |
| Left atrial appendage closure | 3 (3.9) |
| Variables | n (%) or mean ± SD |
|---|---|
| Hospital death | 2 (2.6) |
| Reoperation for bleeding | 1 (1.3) |
| AKI requiring dialysis | 5 (6.5) |
| Prolonged ventilation > 24 h | 3 (3.9) |
| Stroke | 1 (1.3) |
| Temporary neurological impairment | 5 (6.5) |
| AF postoperatively | 21 (27.3) |
| Tracheostomy postoperatively | 4 (5.2) |
| IABP | 1 (1.3) |
| Hospital length of stay (days) | 20.54 ± 5.09 |
| ICU length of stay (days) | 5.78 ± 2.35 |
| Echocardiography | |
| Mitral valve prosthesis size (mm) | 28.51 ± 1.22 |
| Mitral valve PG (mm Hg) | 11.73 ± 3.42 |
| Mitral valve MG (mm Hg) | 10.34 ± 2.12 |
| LAD (cm) | 4.68 ± 0.92 |
| RVSP (mmHg) | 36.30 ± 2.42 |
| LV dysfunction | |
| None | 60 (77.9) |
| Mild | 13 (16.9) |
| Moderate | 3 (3.9) |
| Severe | 1 (1.3) |
| Periprosthetic leakage | 0 |
| Ejection fraction (%) | 49.55 ± 5.29 |
| Variables | n/N (%) or mean ± SD | |||
|---|---|---|---|---|
| Patients discharged | 75/77 (97.4) | |||
| Death after discharge | 8/75 (10.7) | |||
| Patients followed up at 1-year visit | 69/75 (92.0) | |||
| Patients followed up at 2-year visit | 62/75 (82.7) | |||
| Patients followed up at 3-year visit | 58/75 (77.3) | |||
| Patient follow-up beyond 4 years | 30/75 (40.0) | |||
| Mean follow-up (days) | 1160 ± 420.4 | |||
| Echocardiographic data | 1-month | 1-year | 2-year | 3-year |
| during follow-up | follow-up | follow-up | follow-up | follow-up |
| Mitral valve MG (mm Hg) | 10.11 ± 1.99 | 10.51 ± 1.97 | 10.03 ± 1.61 | 10.36 ± 1.70 |
| LAD (cm) | 4.64 ± 0.75 | 4.76 ± 0.67 | 4.70 ± 0.59 | 4.69 ± 0.61 |
| RVSP (mmHg) | 36.60 ± 2.25 | 36.48 ± 1.99 | 36.48 ± 2.04 | 35.76 ± 2.03 |
| LV dysfunction | ||||
| None | 56 (74.7) | 59 (85.5) | 53 (85.5) | 53 (91.4) |
| Mild | 16 (21.3) | 6 (8.7) | 8 (12.9) | 4 (6.9) |
| Moderate | 2 (2.7) | 4 (5.8) | 1 (1.6) | 0 |
| Severe | 1 (1.3) | 0 | 0 | 1 (1.7) |
| Ejection fraction (%) | 51.29 ± 4.68 | 52.43 ± 2.99 | 52.56 ± 2.28 | 52.52 ± 2.30 |
| Thrombosis | 0 | 0 | 0 | 0 |
| Periprosthetic leakage | 0 | 0 | 0 | 0 |
| NYHA | Ⅱ | Ⅰ | Ⅰ | Ⅰ |
Disclaimer/Publisher’s Note: The statements, opinions and data contained in all publications are solely those of the individual author(s) and contributor(s) and not of MDPI and/or the editor(s). MDPI and/or the editor(s) disclaim responsibility for any injury to people or property resulting from any ideas, methods, instructions or products referred to in the content. |
© 2023 by the authors. Licensee MDPI, Basel, Switzerland. This article is an open access article distributed under the terms and conditions of the Creative Commons Attribution (CC BY) license (http://creativecommons.org/licenses/by/4.0/).