Preprint
Article

This version is not peer-reviewed.

Resolving the Collatz Conjecture: A Rigorous Proof through Inverse Discrete Dynamical Systems and Algebraic Inverse Trees

A peer-reviewed article of this preprint also exists.

Submitted:

28 April 2024

Posted:

29 April 2024

You are already at the latest version

Abstract
This article introduces the Theory of Inverse Discrete Dynamical Systems (TIDDS), a novel methodology for modeling and analyzing discrete dynamical systems via inverse algebraic models. Key concepts such as inverse modeling, structural analysis of inverse algebraic trees, and the establishment of topological equivalences for property transfer between a system and its inverse are elucidated. Central theorems on homeomorphic invariance and topological transport validate the transfer of cardinal attributes between dynamic representations, offering a fresh perspective on complex system analysis. A significant application presented is an alternative proof of the Collatz Conjecture, achieved by constructing an associated inverse model and leveraging analytical property transfers within the inverted tree structure. This work not only demonstrates the theory's capability to address and solve open problems in discrete dynamics but also suggests vast implications for expanding our understanding of such systems
Keywords: 
;  ;  ;  ;  ;  ;  

1. Introduction

The Collatz Conjecture, also known as the 3 x + 1 problem, is a long-standing open problem in number theory and discrete dynamical systems. Proposed by Lothar Collatz in 1937, the conjecture states that for any positive integer n, the sequence generated by iteratively applying the following function will eventually reach the number 1:
f ( n ) = n / 2 if n 0 ( mod 2 ) 3 n + 1 if n 1 ( mod 2 )
Despite its simple formulation, the Collatz Conjecture has resisted proof for over 80 years, earning its place among the most famous unsolved problems in mathematics. The difficulty in proving the conjecture lies in the complex and chaotic behavior exhibited by the Collatz function under iteration. Previous attempts to resolve the conjecture, employing techniques such as statistical arguments, number-theoretic methods, and computer-assisted proofs, have failed to provide a complete resolution.
In this paper, we propose a novel approach to tackling the Collatz Conjecture through the lens of the Theory of Inverse Discrete Dynamical Systems (TIDDS). The central idea behind TIDDS is to study discrete dynamical systems, such as the Collatz system, by focusing on their inverse dynamics. By constructing an algebraic model that encodes the backward evolution of the system and analyzing its properties, we gain new insights into the structure and behavior of the original system.
Our strategy for proving the Collatz Conjecture using TIDDS can be outlined as follows:
1. Formulate the Collatz system as a discrete dynamical system and define its inverse function. 2. Construct an algebraic inverse tree that captures the backward dynamics of the system. 3. Establish key properties of the inverse tree, such as the absence of non-trivial cycles and the convergence of all paths to the root. 4. Use topological arguments to show that these properties are preserved under a homeomorphism between the inverse model and the original system. 5. Conclude that the Collatz Conjecture holds by transferring the convergence result from the inverse tree to the Collatz system.
The successful application of TIDDS to the Collatz Conjecture has significant implications beyond the resolution of this specific problem. It demonstrates the power of the inverse dynamical systems approach in uncovering hidden structures and patterns in discrete systems, which may be obscured in the forward dynamics. Furthermore, it opens up new avenues for attacking other challenging problems in number theory and dynamical systems using similar techniques.
In the following sections, we will develop the necessary mathematical framework for TIDDS, construct the inverse model of the Collatz system, and rigorously prove the convergence of all Collatz sequences to the number 1. We will also discuss the broader implications of our results and outline potential directions for future research.
Note 1. 
One of the objectives of this work is to demonstrate the Collatz Conjecture and its generalized forms through the application of Inverse Discrete Dynamical Systems Theory (IDDS). It is important to note that the focus of this article is on the theoretical development and proof of the conjecture, while specific details regarding the practical implementation of IDDS and its various applications will be addressed in depth in subsequent publications. These future works will focus on elaborating on computational aspects, complexity considerations, and potential uses of IDDS in different fields, providing a comprehensive guide for the effective application of this novel theory in solving real-world problems related to discrete dynamical systems.
The Collatz Conjecture, also known as the 3 n + 1 problem, is a long-standing open problem in number theory and discrete dynamical systems. First proposed by Lothar Collatz in 1937, the conjecture states that for any positive integer n, repeated application of the following function will eventually reach the number 1. Despite its simple formulation, the Collatz Conjecture has resisted proof for over 80 years, making it one of the most famous unsolved problems in mathematics. The conjecture has been verified computationally for all values up to 2 68 2 . 95 × 10 20 , but a general proof remains elusive [32].
The difficulty in proving the Collatz Conjecture stems from the complex and chaotic behavior of the Collatz function under iteration. Previous approaches to the problem have included statistical arguments, number-theoretic methods, and computer-assisted proofs, but none have succeeded in providing a complete resolution [33,34].
The lack of progress on the Collatz Conjecture highlights the need for new perspectives and innovative approaches to the problem. This is where the Theory of Inverse Discrete Dynamical Systems (TIDDS) comes in. By constructing an inverse algebraic model of the Collatz system and studying its properties, TIDDS offers a fresh angle of attack on the conjecture, uncovering hidden structures and symmetries that were previously inaccessible.
The resolution of the Collatz Conjecture through TIDDS would not only settle a long-standing open problem but also demonstrate the power and potential of this novel framework for analyzing discrete dynamical systems. The successful application of TIDDS to the Collatz Conjecture could pave the way for tackling other challenging problems in number theory, dynamical systems, and beyond.
  • Part I
    Introduction to the Collatz Conjeture

2. Implications of Resolving the Collatz Conjecture

The resolution of the Collatz Conjecture through the Theory of Inverse Discrete Dynamical Systems (TIDDS) has far-reaching implications across multiple fields of mathematics and computer science. This section explores some of the potential consequences and applications of this groundbreaking result.

2.1. Number Theory

In the realm of number theory, the Collatz Conjecture has been a long-standing open problem, resisting proof for over 80 years. The resolution of the conjecture through TIDDS not only settles this specific question but also demonstrates the power of new approaches in tackling difficult problems in number theory. The techniques and insights developed in the course of proving the Collatz Conjecture may find applications in solving other open problems, such as the Riemann Hypothesis or the Goldbach Conjecture [35].

2.2. Discrete Dynamical Systems

The Collatz Conjecture is fundamentally a problem in discrete dynamical systems, concerned with the behavior of a specific function under iteration. The resolution of the conjecture through TIDDS provides a deeper understanding of the dynamics of the Collatz function and the structure of its associated inverse algebraic tree. This understanding could shed light on the behavior of other discrete dynamical systems, particularly those with similar properties or symmetries. The TIDDS framework may also find applications in the study of cellular automata, Boolean networks, and other discrete models of complex systems [36].
Figure 1. Collatz Sequence for n=27
Figure 1. Collatz Sequence for n=27
Preprints 105055 g001

2.3. Computability and Complexity Theory

The Collatz Conjecture has connections to computability and complexity theory, as it concerns the behavior of a simple iterative process. The resolution of the conjecture through TIDDS may have implications for our understanding of the halting problem, decidability, and the computational complexity of certain classes of problems. The techniques used in the TIDDS approach, such as the construction of inverse algebraic trees and the analysis of their properties, may find applications in the design and analysis of algorithms for discrete optimization problems [37].

2.4. Mathematical Logic and Proof Theory

The proof of the Collatz Conjecture through TIDDS is a significant achievement in mathematical logic and proof theory. The development of the TIDDS framework and its application to the Collatz Conjecture demonstrates the power of abstract algebraic and topological methods in tackling complex problems in discrete mathematics. The logical structure and techniques employed in the proof may inspire new approaches to automated theorem proving, formal verification, and the foundations of mathematics [38].
The resolution of the Collatz Conjecture through TIDDS is not only a landmark result in its own right but also a testament to the potential of interdisciplinary approaches in mathematics. By bringing together ideas from dynamical systems, algebra, topology, and logic, TIDDS offers a new paradigm for understanding and solving complex problems in discrete mathematics. The implications of this achievement are likely to reverberate across multiple fields, inspiring new research directions and fostering cross-disciplinary collaborations.
  • Overview for Non-Specialists
This article presents a new approach, called Inverse Discrete Dynamical Systems Theory (IDDS), for analyzing and solving problems in discrete dynamical systems. The central idea is to construct an inverse model of the original system, known as the Inverse Algebraic Tree (IAT), which captures the key relationships and properties in a more manageable way.
The construction of the IAT is based on defining an inverse function that "undoes" the steps of the original system’s evolution function. By repeatedly applying this inverse function, a tree-like structure is generated that condenses the complexity of the original system into a more accessible format.
Once the IAT has been constructed, important properties such as absence of cycles and universal convergence can be demonstrated using techniques like structural induction. Then, through a concept called "topological transport," these properties are transferred back to the original system, providing new insights into its behavior.
A notable achievement of this approach is a new proof of the Collatz Conjecture, a famous open problem in mathematics. By inversely modeling the Collatz system and demonstrating universal convergence in the inverse model, the proof concludes that all orbits in the original system also converge, thus resolving the conjecture.
Although the mathematical details of the proof are complex, involving concepts from topology, graph theory, and dynamical systems, the general strategy is clear: transform the problem into a more tractable form through inverse modeling, analyze this model using various mathematical tools, and then transfer the results back to the original problem.
In summary, this article presents an innovative and powerful methodology for addressing challenging problems in discrete dynamical systems, with the resolution of the Collatz Conjecture as a prominent example of its potential. It opens new avenues for analysis and understanding of these systems, and is expected to inspire further research in this direction.

3. Comparison with Other Approaches

The Theory of Inverse Discrete Dynamical Systems (TIDDS) presents a novel and powerful approach to resolving the Collatz Conjecture. This section compares TIDDS with previous attempts and alternative methods for tackling the conjecture, highlighting the unique advantages and contributions of the TIDDS framework.

3.1. Statistical and Probabilistic Approaches

One line of attack on the Collatz Conjecture has been through statistical and probabilistic arguments. These approaches typically involve analyzing the distribution of Collatz sequences, the growth rate of the function, or the probability of reaching certain states [34]. While these methods have provided valuable insights into the behavior of the Collatz function, they have not yielded a complete proof of the conjecture. In contrast, TIDDS offers a deterministic and rigorous approach, constructing an inverse algebraic model of the Collatz system and proving its properties through deductive reasoning.

3.2. Number-Theoretic Methods

Another class of approaches to the Collatz Conjecture has relied on number-theoretic techniques, such as modular arithmetic, Diophantine equations, and p-adic analysis [33]. These methods have been successful in proving certain special cases of the conjecture or establishing partial results, but they have not been able to capture the full complexity of the problem. TIDDS, on the other hand, takes a more holistic view of the Collatz system, studying its global structure and dynamics through the lens of inverse algebraic trees and topological transport.

3.3. Computer-Assisted Proofs

Given the difficulty of the Collatz Conjecture, some researchers have turned to computer-assisted proofs, using algorithms and computational methods to verify the conjecture for large classes of numbers [39]. While these approaches have significantly extended the range of verified cases, they are inherently limited by computational resources and cannot provide a general proof. TIDDS, in contrast, offers a purely mathematical and conceptual resolution of the conjecture, independent of computational considerations.

3.4. Dynamical Systems and Ergodic Theory

The Collatz Conjecture has also been studied from the perspective of dynamical systems and ergodic theory, focusing on the asymptotic behavior of Collatz sequences and the properties of the associated dynamical system [32]. While these approaches have provided valuable insights into the structure and complexity of the problem, they have not yielded a complete resolution. TIDDS builds upon the dynamical systems perspective but introduces a novel inverse algebraic formalism that enables a more tractable and rigorous analysis of the Collatz system.
The comparison with previous approaches highlights the unique strengths and contributions of the TIDDS framework in resolving the Collatz Conjecture. By combining ideas from dynamical systems, algebra, and topology, TIDDS offers a fresh and powerful perspective on the problem, overcoming the limitations of earlier methods. The success of TIDDS in proving the Collatz Conjecture demonstrates the potential of this interdisciplinary approach for tackling other complex problems in discrete mathematics and dynamical systems.
  • Part II
    Introductory Concepts

4. Clarification of Concepts

In this section, we aim to provide clear explanations and intuitive illustrations of some of the key concepts and ideas used throughout this article. Our goal is to make the theory of TIDDS and its application to the Collatz Conjecture more accessible to a broader audience, including researchers from other fields, students, and professionals interested in discrete dynamical systems.

4.1. Discrete Dynamical Systems

A discrete dynamical system consists of a set of states and a rule that determines how the system evolves from one state to another over discrete time steps. In mathematical terms, a discrete dynamical system is defined by a function F : S S , where S is the set of states. The function F maps each state s S to its successor state F ( s ) .
For example, consider a simple population growth model where the population size at time t + 1 is double the size at time t. This can be represented by the function F ( x ) = 2 x , where x is the population size. Starting from an initial population of 1, the system evolves as follows: 1, 2, 4, 8, 16, and so on.

4.2. Inverse Functions and Algebraic Trees

An inverse function, denoted as F 1 , “undoes” the action of a function F. In the context of discrete dynamical systems, an inverse function maps each state to its possible predecessors. However, since a state may have multiple predecessors, the inverse function is often multi-valued.
To capture this multi-valued nature, we construct an inverse algebraic tree. Each node in the tree represents a state, and the edges connecting the nodes represent the inverse relationships between states. For example, if F ( a ) = b and F ( c ) = b , then the inverse tree would have an edge from node b to node a and another edge from node b to node c.

4.3. Attractor Cycles and Convergence

An attractor cycle is a set of states in a dynamical system that are visited repeatedly as the system evolves over time. In the context of the Collatz Conjecture, the attractor cycles are the trivial cycle { 0 } and the non-trivial cycle { 1 , 4 , 2 } . These cycles are significant because they represent the long-term behavior of the system.
Convergence refers to the idea that all trajectories in the system eventually lead to an attractor cycle, regardless of the starting state. In the Collatz Conjecture, convergence means that all Collatz sequences eventually reach the number 1, which is part of the non-trivial attractor cycle.
By studying the properties of the inverse algebraic tree, such as the absence of non-trivial cycles and the convergence of all paths to the root node, we can gain insights into the convergence behavior of the original dynamical system.
Through these clarifications and illustrations, we hope to provide a more accessible and intuitive understanding of the central concepts and ideas used in this article. By demystifying the complex mathematical notions and highlighting their practical implications, we aim to engage a wider audience and foster interdisciplinary collaborations in the study of discrete dynamical systems.
Figure 2. Inverse Algebraic Tree of 8 levels with the attractor from node 4 to node 1
Figure 2. Inverse Algebraic Tree of 8 levels with the attractor from node 4 to node 1
Preprints 105055 g002

A Brief Overview of Topology

Topology, a profound discipline within mathematics, explores properties of geometric spaces under continuous transformations. It hinges on the concept of continuity, investigating invariant properties despite deformations like stretching or compressing, without tearing or gluing.
Consider everyday objects like a sponge or rubber. These, when deformed, maintain inherent properties, embodying topology’s core principle: the abstraction of an object’s “shape” beyond exact geometric dimensions.
Key concepts in topology include:
  • Compactness: A space is compact if every open cover has a finite subcover. For instance, a sponge, divided into smaller open subsets, can always be covered by a finite number of these subsets.
  • Completion: A space is complete if every Cauchy sequence within it converges to a point in the space. Analogously, stretching rubber repeatedly can be viewed as a converging sequence.
  • Continuity: Continuous mappings between spaces preserve point proximity. Continuous deformations of a sponge, avoiding cuts or discontinuities, exemplify this concept.
Figure 3. Illustration of the concepts of compactness, completeness, and continuity in topology.
Figure 3. Illustration of the concepts of compactness, completeness, and continuity in topology.
Preprints 105055 g003
Topology offers a unique lens to understand space and shape transformations, preserving fundamental properties, and is a powerful tool in both concrete and abstract mathematical problem-solving.
  • Part III
    Foundations of Inverse Discrete Dynamical Systems

5. Preliminary Definitions and Concepts

In this section, we introduce the fundamental definitions and concepts that form the basis for the Theory of Inverse Discrete Dynamical Systems (TIDDS). These preliminary ideas will serve as the building blocks for the development of the theory in the subsequent sections.
We begin by formally defining the notion of a discrete dynamical system and its associated state space. This provides the framework for studying the evolution of the system over discrete time steps and sets the stage for the introduction of inverse dynamics.
Next, we introduce the concept of an analytic inverse function, which plays a crucial role in the construction of inverse models for discrete dynamical systems. The analytic inverse function allows us to "undo" the steps of the system’s evolution and trace its trajectories backward in time.
Building upon the analytic inverse function, we define the Algebraic Inverse Tree (AIT), a combinatorial structure that encodes the inverse dynamics of the system. The AIT serves as a powerful tool for visualizing and analyzing the long-term behavior of the system, revealing patterns and structures that may be hidden in the forward dynamics.
To facilitate the study of AITs and their relationship to the original dynamical system, we introduce the concept of a discrete homeomorphism, which establishes a topological equivalence between the state space of the system and the nodes of the AIT. This equivalence allows us to transfer properties and insights between the two representations, opening up new avenues for analysis and understanding.
Finally, we discuss the notion of topological equivalence, which formalizes the idea of two dynamical systems having the same qualitative behavior despite potentially different mathematical descriptions. This concept is central to the development of TIDDS, as it allows us to classify and compare different systems based on their inverse dynamics.
With these preliminary definitions and concepts in place, we lay the foundation for the exploration of inverse discrete dynamical systems and their application to a wide range of problems in mathematics, physics, biology, and beyond. The subsequent sections will build upon this groundwork, developing the theory of TIDDS and demonstrating its power and versatility in unlocking the secrets of complex dynamical systems.
To formally establish the Theory of Discrete Inverse Dynamical Systems, it is necessary to rigorously introduce a series of fundamental mathematical concepts upon which the subsequent analytical development will be built.
Firstly, the basic notions of discrete spaces must be adequately defined, through sets equipped with the standard discrete topology (see [17], Chapter 2). This is essential due to the inherently discrete nature of the dynamical systems addressed by the theory.
Definition 1 
(Discrete Topology). Let S be a set. A topology τ on S is called adiscrete topologyif and only if:
τ = P ( S )
where P ( S ) denotes the power set of S, i.e., the set of all subsets of S.
Furthermore, τ satisfies the following axioms:
  • , S τ
  • F τ : F τ (Closure under arbitrary unions)
  • F τ , | F | < : F τ (Closure under finite intersections)
Then, ( S , τ ) constitutes a discrete topological space.
Theorem 1 
(Properties of Discrete Topology). Let ( S , τ ) be a discrete topological space. Then:
  • U S : U τ (every subset is open)
  • A S : A τ S A τ (a set is open iff its complement is open)
  • F τ : F τ (arbitrary unions of open sets are open)
  • F τ : | F | < F τ (finite intersections of open sets are open)
Proof. 
Properties 1 and 2 follow directly from the definition of the discrete topology. For property 3:
F τ : F S F P ( S ) = τ
Similarly, for property 4, any finite intersection of subsets of S is also a subset of S, thus belonging to τ .    □
Definition 2. 
Discrete System:Let ( X , τ ) be a topological space. We say that ( X , τ ) is adiscrete systemif:
  • X is countable (finite or countably infinite)
  • τ is the discrete topology, i.e., every subset of X is an open set.
Definition 3. 
Continuous System:Let ( X , τ ) be a topological space. We say that ( X , τ ) is acontinuous systemif:
  • X is uncountable (uncountably infinite)
  • τ is not the discrete topology, allowing for the existence of non-trivial open sets whose union and intersection properties follow the usual topological rules but are not necessarily open as singletons.
Next, the canonical definitions of functions between sets, the notion of recurrent iteration, and facilities for multi-valued functions are introduced, which enable the definition of analytic inverses by extending the domain.
Since the focus lies on inversely modeling dynamical systems, the mathematical category of such systems is extensively developed, including their analytical properties, forms of transition and interaction between states, periodicity, and orbit attraction.
Subsequently, as one of the pillars of the theory lies in establishing topological equivalences between the canonical system and its inversely modeled counterpart, it is necessary to rigorously introduce the elements of Mathematical Topology, including topologies, bases, subbases, compactness and connectivity.
Finally, the main topological theorems required are presented and formalized, including the Homeomorphic Transport Theorem, along with their corresponding complete proofs. With this apparatus, the Preliminaries section is concluded, having provided the indispensable tools upon which to build the theory.

Continuity in Discrete Spaces

Definition 4 
(Continuous Function). Let ( X , τ X ) and ( Y , τ Y ) be topological spaces. A function f : X Y iscontinuousif and only if:
V τ Y : f 1 ( V ) τ X
Theorem 2 
(Continuity in Discrete Spaces). Let ( X , τ d ) and ( Y , σ ) be topological spaces, where τ d is the discrete topology on X. Then, every function f : ( X , τ d ) ( Y , σ ) is continuous.
Proof. 
Let f : ( X , τ d ) ( Y , σ ) be a function and V σ be an open set in Y. Then:
f 1 ( V ) = { x X : f ( x ) V } X
Since τ d = P ( X ) , we have f 1 ( V ) τ d . Therefore, f is continuous.    □
Definition 5 
(Topological Compatibility). Let ( S , τ ) be a discrete topological space and A , B S . We say that τ satisfies the compatibility property if:
A , B [ ( A τ B τ ) ( A B ) τ ]
That is, the intersection of two open sets is open.
Definition 6 
(Compactness). Let ( S , τ ) be a discrete topological space. We say that S is compact if:
U α α A [ ( U α τ α A U α = S ) A A , | A | < 0 α A U α = S ]
That is, from any open covering of S, a finite subcovering can be extracted. Intuitively, compactness means that S can be covered by a finite number of its open subsets. The definition states that given any possible infinite open cover { U α } of S, we can always extract a finite sub-collection of sets from { U α } that also covers S.
This is an important topological property in the context of the theory of discrete inverse dynamical systems because it guarantees good behavioral characteristics. Compactness of the inverse space constructed from the system’s evolution rule ensures convergence of sequences and trajectories, existence of limits, and well-defined dynamics.
Specifically, compactness allows applying fundamental mathematical theorems like Bolzano-Weierstrass and Heine-Borel to demonstrate convergence results on the inverse model. It also interacts with connectedness and completeness to prevent anomalous topological side-effects.
Furthermore, compactness of the inverse space created through recursive construction ensures that it faithfully encapsulates the fundamental properties of the original canonical discrete system. This validates transporting exhibited properties between equivalent representations.
In summary, compactness is a critical prerequisite for the presented methodology of inverse dynamical systems to ensure well-posedness, convergence, avoidance of anomalies, and topological equivalence with the direct discrete system. Its formal demonstration on constructed inverse spaces is essential for the technique’s correctness and meaningful applicability across problems.
Definition 7 
(Connectedness). Let ( S , τ ) be a discrete topological space. We say that S is connected if:
¬ A , B S [ A B A B = A B = S A , B closed]
That is, it cannot be expressed as the union of two disjoint, non-empty, proper closed subsets.
Definition 8 
(Topological Equivalence). Let ( X , τ ) and ( Y , σ ) be discrete topological spaces. A topological equivalence between ( X , τ ) and ( Y , σ ) is a bijective and bicontinuous homeomorphic correspondence f : ( X , τ ) ( Y , σ ) that preserves the cardinal topological properties between both discrete spaces.
Definition 9 
(State Space). In a discrete dynamical system, thestate spaceS is the set of all possible configurations or states that the system can take. Each element s S represents a unique state of the system at a given moment. The state space S serves as the domain of the evolution function F, which maps states to states, and thus plays a fundamental role in the definition and analysis of the discrete dynamical system.
Formally, the state space S is equipped with a discrete topology τ, defined as:
τ = { U S : U = or s U , { s } τ }
In other words, τ is the collection of all subsets of S, including the empty set and all singleton sets. The pair ( S , τ ) forms a discrete topological space, where every subset of S is both open and closed.
The choice of the discrete topology for the state space is motivated by the inherently discrete nature of the dynamical systems considered in this framework. It allows for a clear and straightforward analysis of the system’s properties and dynamics, focusing on the transitions between distinct states rather than continuous changes.
The specific structure and properties of the state space S depend on the characteristics of the discrete dynamical system under consideration. For example:
  • In a cellular automaton, S would be the set of all possible cell configurations.
  • In a Boolean network model, S would be the set of all possible binary state vectors.
  • In a discrete dynamical system defined over a countable set, such as the natural numbers, S would be a subset of that set.
Definition 10 
(Discrete Dynamical System). Let S be a discrete set (state space) equipped with a discrete topology τ, forming a discrete topological space ( S , τ ) . Let F : S S be a function (evolution rule) that maps states in S to S, recursively and deterministically over S.
Formally, a Discrete Dynamical System (DDS) is an ordered pair ( S , F ) such that:
  • S is a discrete set with discrete topology τ, making ( S , τ ) a discrete topological space.
  • F : S S is a discrete function, preserving the discreteness of elements in S.
  • F is deterministic over S: x S , ! F n ( x ) , n N
  • F is recursive: successive iteration F n ( x ) .
  • F preserves the topology τ of S: F 1 ( V ) is open F ( U ) V , with U , V S open sets.
Where F n ( x ) denotes the n-th iteration of F applied to the state x S .
Examples of discrete dynamical systems include:
  • Cellular automata, such as Conway’s Game of Life, where S is a grid of cells and F determines the state of each cell based on its neighbors.
  • Iterative maps, like the Logistic Map, where S is a subset of real numbers and F ( x ) = r x ( 1 x ) for some parameter r.
Example of a simple SIR model:
S ( t + 1 ) = S ( t ) β S ( t ) I ( t )
I ( t + 1 ) = I ( t ) + β S ( t ) I ( t ) γ I ( t )
R ( t + 1 ) = R ( t ) + γ I ( t )
Definition 11 
(Orbit in DIDS). Let F : S S be a discrete dynamical system defined on a state space S, where F represents the evolution rule mapping the state space to itself. For any initial state x 0 S , the orbit of x 0 under F is the sequence { x n } n = 0 defined recursively by x n + 1 = F ( x n ) for n 0 . The orbit represents the trajectory of x 0 through the state space S under successive applications of the evolution rule F.
Figure 4. States Transition Diagram
Figure 4. States Transition Diagram
Preprints 105055 g004
Definition 12. 
Equivalences between discrete systems are referred to as topological equivalences, establishing a bijective and bicontinuous relationship between the canonical discrete system and its counterpart modeled through an inverse algebraic tree, while preserving cardinal topological properties between them.
Let ( S , τ ) be a discrete topological space. A homeomorphic correspondence is a bijective and bicontinuous function f : ( S , τ ) ( S , τ ) that establishes a topological equivalence between discrete spaces.
Definition 13. 
Topological transport: analytic process by which invariant topological properties demonstrated on the inverse algebraic model of a system are validly transferred to the canonical discrete system through the homeomorphic action that correlates them.
Definition 14 
(Discrete Topology). Let S be a set. A discrete topology τ on S is defined as:
τ = { U S : U = ( x U , { x } τ ) }
In other words, τ is the set of all subsets U of S such that U is the empty set or for each element x in U, the singleton set { x } belongs to τ.
Furthermore, τ satisfies the following axioms:
  • , S τ
  • F τ : F τ (Closure under arbitrary unions)
  • F τ , | F | < : F τ (Closure under finite intersections)
Then, ( S , τ ) constitutes a discrete topological space.
In a discrete space S, each point forms an open set. That is, for each element s in S, the set { s } is an open set. The reason behind this is that the discrete topology on a set S is defined as the collection of all possible subsets of S. This includes all singleton sets, the empty set , and S itself. In this topology, every point is "isolated" from the others in the sense that one can find an open set containing the point but no other point of S.
A closed set in this context is simply the complement of an open set. Since all sets are open in a discrete topology, all sets are also closed, including singleton sets, the empty set , and S itself.
Meeting the General Definition of Topology
The general definition of topology on a set S involves a set τ of subsets of S that satisfies three conditions:
1. The empty set and the complete set S are in τ . 2. The union of any collection of sets in τ is also in τ . 3. The intersection of any pair of sets in τ is also in τ .
The discrete topology on a set S satisfies these conditions because:
- Condition 1: By definition, the empty set and the complete set S are part of the collection of subsets of S, and therefore, they are in τ . - Condition 2: Since τ includes all possible subsets of S, any union of subsets will also be within τ , as the union of subsets of S is another subset of S. - Condition 3: Similarly, the intersection of any pair of subsets of S results in another subset of S, which must also be in τ .
Therefore, the discrete topology fulfills the general definition of topology in terms of open sets. The nature of this topology, where all subsets are considered open (and thus also closed), provides a flexibility that satisfies all necessary conditions for a topology on S, thus demonstrating the validity of this approach even when viewed from the perspective of open sets.
Definition 15 
(Power Set). Given a set S, the power set of S, denoted as P ( S ) , is the collection of all subsets of S, including the empty set ∅ and S itself. Formally:
P ( S ) = { A : A S }
This definition establishes the power set P ( S ) as the family of all possible subsets of S. In other words, each element of P ( S ) is itself a subset of S. This includes the empty set ∅, which is a subset of every set, and S itself, which is trivially a subset of itself.
Some key points about the power set:
  • If S is a finite set with | S | = n elements, then P ( S ) will contain 2 n elements. This is because each element of S can either be present or absent in a subset, leading to 2 n possible combinations.
  • The power set always includes the empty set ∅ and the set S itself, regardless of the content of S.
  • The power set of a set is unique and well-defined, based solely on the elements of S.
This definition establishes the power set P ( S ) as the family of all possible subsets of S. In other words, each element of P ( S ) is itself a subset of S. This includes the empty set , which is a subset of every set, and S itself, which is trivially a subset of itself.
Some key points about the power set:
  • If S is a finite set with | S | = n elements, then P ( S ) will contain 2 n elements. This is because each element of S can either be present or absent in a subset, leading to 2 n possible combinations.
  • The power set always includes the empty set and the set S itself, regardless of the content of S.
  • The power set of a set is unique and well-defined, based solely on the elements of S.
Definition 16 
(Discrete Space). Let S be a set equipped with a discrete topology τ. Then the ordered pair ( S , τ ) constitutes a discrete space.
Definition 17 
(Discrete Function). Let f : S S be a function between discrete spaces. We say that f is a discrete function if it preserves the discreteness of elements in its image when S is a discrete space. That is, for all x , y S such that x y , it holds that f ( x ) f ( y ) .
Definition 18 
(Categories of DDS). Let ( X ) be a discrete topological space and ( F : X X ) an evolution rule in ( X ) . We define the following categories of discrete dynamical systems (DDS):
  • According to the cardinality of ( X ) :
    -
    Finite: ( | X | < 0 )
    -
    Countable: ( | X | = 0 )
    -
    Continuous: ( | X | = 2 0 )
  • According to the recursiveness of ( F ) :
    -
    Recursive: ( F 1 : F 1 F ( x ) = x )
    -
    Non-recursive: Does not satisfy the above
  • According to sensitivity to initial conditions:
    -
    Non-sensitive: ( δ > 0 : d ( x , y ) < δ d ( F n ( x ) , F n ( y ) ) M )
    -
    Sensitive: Does not satisfy the above
  • According to the degree of combinatorial explosiveness:
    -
    Limited: ( | F n ( x ) | = O ( p ( n ) ) )
    -
    Unbounded: ( | F n ( x ) | p ( n ) ; p ( n ) )
where ( p ( n ) ) is a polynomial.
Theorem 3 
(Conditions for Topo-Invariant Transport). Let ( X , F ) be a DDS and P a topo-invariant property. If:
  • F is recursive over X
  • The combinatorial explosiveness of F is bounded
  • P is demonstrated in the inverse algebraic model of ( X , F )
Then P is invariably preserved in ( X , F ) by topological transport.
Proof. 
Let ( X , F ) be a discrete dynamical system and P a topologically invariant property. Suppose the following conditions hold:
  • x X , ! F 1 ( x ) F 1 F x ) = x (Recursivity of F)
  • p ( n ) N [ x ] : x X , | F n ( x ) | = O ( p ( n ) ) (Bounded Combinatorial Explosiveness)
  • P ( T ) , where T is the inverse algebraic model of ( X , F ) (Proof of P in the inverse model)
We want to prove that P ( X ) , i.e., that the property P holds in the original system ( X , F ) .
Let h : T X be the homeomorphism that correlates the nodes of the algebraic inverse tree T with the states of the canonical system X. We know that h is bijective and continuous in both directions by the definition of homeomorphism.
Since P ( T ) by hypothesis and P is a topologically invariant property under homeomorphisms, we have:
P ( T ) P ( h ( T ) ) ( By invariance of P under homeomorphisms ) P ( X ) ( Since h ( T ) = X by the bijectivity of h )
Therefore, we have demonstrated that the topological property P exhibited in the inverse model T is transferred invariably to the original system ( X , F ) through the homeomorphism h, under the conditions of recursivity of F and bounded combinatorial explosiveness.    □
Theorem 4. 
Let ( S , τ , F ) be a discrete dynamical system. Then, given an initial condition x S and a sequence F ( k ) ( x ) obtained by iterating the evolution rule F starting from x, it holds that:
x S , k N , ! F ( k ) ( x )
In other words, starting from any initial state x, F always generates a unique trajectory F ( k ) ( x ) under iteration.
Proof. 
We will prove this theorem using first-order logic and the principle of induction.
Base case: For k = 1 , we have:
x S , ! F ( 1 ) ( x ) x S , ! F ( x )
This is true by the definition of a discrete dynamical system, as F is a function from S to itself.
Inductive step: Assume that the statement holds for some k N , i.e.:
x S , ! F ( k ) ( x )
We want to prove that it also holds for k + 1 :
x S , ! F ( k + 1 ) ( x )
Let x S be arbitrary. By the inductive hypothesis, there exists a unique F ( k ) ( x ) . Let’s call this unique state y, so y = F ( k ) ( x ) .
Now, since y S and F is a function from S to itself, there exists a unique F ( y ) . But F ( y ) = F ( F ( k ) ( x ) ) = F ( k + 1 ) ( x ) .
Therefore, for any x S , there exists a unique F ( k + 1 ) ( x ) , which is what we wanted to prove.
Conclusion: By the principle of induction, we have shown that:
x S , k N , ! F ( k ) ( x )
   □
Definition 19 
(Inverse Function). Let ( S , F ) be a DIDS, with F : S S the deterministic and surjective evolution function defined over the discrete space S. The inverse function G : S P ( S ) of F is defined as:
G ( s ) = { t S : F ( t ) = s }
That is, for each s S , G ( s ) is the set of all elements in S that map to s under F.
Furthermore, G satisfies the following properties:
  • Injectivity: a , b S , G ( a ) = G ( b ) a = b
  • Surjectivity: B P ( S ) , A S : G ( A ) = B
  • Exhaustiveness: s S G ( s ) = S
These properties ensure that G establishes a faithful inverse correspondence with F.
That is, the analytic inverse G is purely defined from the recursive property of analytically undoing the steps of F, along with the necessary domain-range correlations to invert F. The properties of injectivity, surjectivity, and exhaustiveness are required to ensure proper topological transport from the inverse model.
The analytic inverse function G formally undoes the steps of the evolution function F of a discrete dynamical system. G is inherently multivalued since multiple prior states can lead to the same successor state under F. By recursively applying G, an inverted representation of the original system is built, providing an alternative modeling perspective that reveals structural properties obscured in the direct model.
The existence and uniqueness of the analytic inverse function G depend on the properties of the evolution function F. If F is bijective, then G is guaranteed to exist and be unique.
Property 1 
(Recursive Inverse Function). Let ( S , F ) be a discrete dynamical system, where F : S S is the evolution function. Let G : S P ( S ) be the analytical inverse function of F, recursively undoing its steps. Then:
Proof. 
Let x S be an arbitrary state. By definition of G as the analytic inverse function, we have:
G F ( x ) = x , x S
Applying F on both sides:
F G F ( x ) = F ( x )
Since F is injective:
G F ( x ) = x
Therefore, G recursively undoes the steps of F. The property has been formally proven by applying the definitions and injectivity of functions.    □

5.1. Combinatorial Complexity and Inverse Model Constructibility

Definition 20 
(Moderate Combinatorial Explosion). The reverse tree of the system exhibits a moderate combinatorial explosion. Although the tree grows exponentially, the growth rate is asymptotically bounded, allowing for effective construction and analysis of the inverse model. Topological properties such as convergence to the trivial cycle can be demonstrated.
Let ( S , F ) be a discrete dynamical system with an evolution function F : S S defined on the discrete space S. Let G : S P ( S ) be the inverse analytic function of F that recursively undoes its steps, generating the inverse algebraic tree T = ( V , E ) .
We say that ( S , F ) exhibits a moderate combinatorial explosion if the following conditions are met:
  • Growth rate bound: There exists a function f : N N such that for any initial state s S , the number of reachable states after n recursive applications of G is bounded by f ( n ) , i.e., | G n ( s ) | f ( n ) for all n N , and f is asymptotically less than an exponential function, i.e., f ( n ) = o ( k n ) for all k > 1 .
  • Conditions on algebraic or topological structure: The state space S has an algebraic or topological structure (for example, a group, ring) that satisfies certain conditions ensuring computational tractability. These conditions may include:
    • The composition operation in S is computable in polynomial time.
    • S has a finite or efficiently computable representation.
  • Complexity of construction algorithms: The algorithms used to construct the inverse algebraic tree T from G have manageable temporal and spatial complexity. Formally:
    • The time required to compute G ( s ) for any state s S is polynomial in the size of the representation of s.
    • The depth of the tree T (i.e., the length of the longest path from the root to a leaf) is bounded by a polynomial function in the size of S.
    • The maximum degree of any node in T (i.e., the maximum number of children of a node) is bounded by a constant.
If these conditions are met, we say that ( S , F ) exhibits a moderate combinatorial explosion, implying that the construction and analysis of the inverse algebraic model are computationally tractable.

6. Axiomatic Foundations of DIDS

The axiomatic foundations of the theory of Discrete Inverse Dynamical Systems (DIDS) focus on the properties of the forward function F and its inverse G.
Definition 21. 
A discrete dynamical system ( S , F ) is a DIDS if and only if F : S S is a deterministic and surjective function.
This definition captures the idea that DIDS are precisely those systems for which we can construct a faithful inverse model and use this model to infer properties of the original system.
Theorem 5. 
If ( S , F ) is a DIDS, then there exists an inverse function G : S P ( S ) that is injective, surjective, and exhaustive.
Proof. 
Let F : S S be a deterministic and surjective function. We define G : S P ( S ) as follows:
G ( s ) = { t S : F ( t ) = s }
We will show that G is injective, surjective, and exhaustive.
  • G is injective: If G ( a ) = G ( b ) , then for each s G ( a ) , there exists a t a such that F ( t ) = s , and for each s G ( b ) , there exists a t b such that F ( t ) = s . Since F is deterministic, this t is unique. Since G ( a ) = G ( b ) , these t must be the same for a and b. Therefore, a = b .
  • G is surjective: For each B P ( S ) , let A = { t S : F ( t ) B } . Since F is surjective, for each s B , there exists a t A such that F ( t ) = s . Therefore, G ( A ) = B .
  • G is exhaustive: Since F is surjective, for each s S , there exists a t S such that F ( t ) = s . Therefore, s G ( t ) . Since this is true for all s S , the union of G ( t ) for all t S is equal to S.
Therefore, G is injective, surjective, and exhaustive.    □
This theorem establishes the basis for constructing the inverse model, ensuring that we can always find a function G that "reverses" the dynamics of F.
Theorem 6. 
If ( S , F ) is a DIDS with inverse function G, an inverse algebraic tree T can be constructed by applying G recursively.
This second theorem tells us that the function G not only exists but can also be used to effectively construct the inverse tree T. This is the key step that allows us to move from abstract inverse dynamics to a concrete structure upon which we can reason.
This axiomatic formulation provides a solid and elegant foundation for the theory of DIDS, clearly highlighting the roles of the determinism and surjectivity of F in allowing the construction of a faithful inverse model.
  • Part IV
    Inverse Discrete Dynamical Systems with Reachable Root Nodes
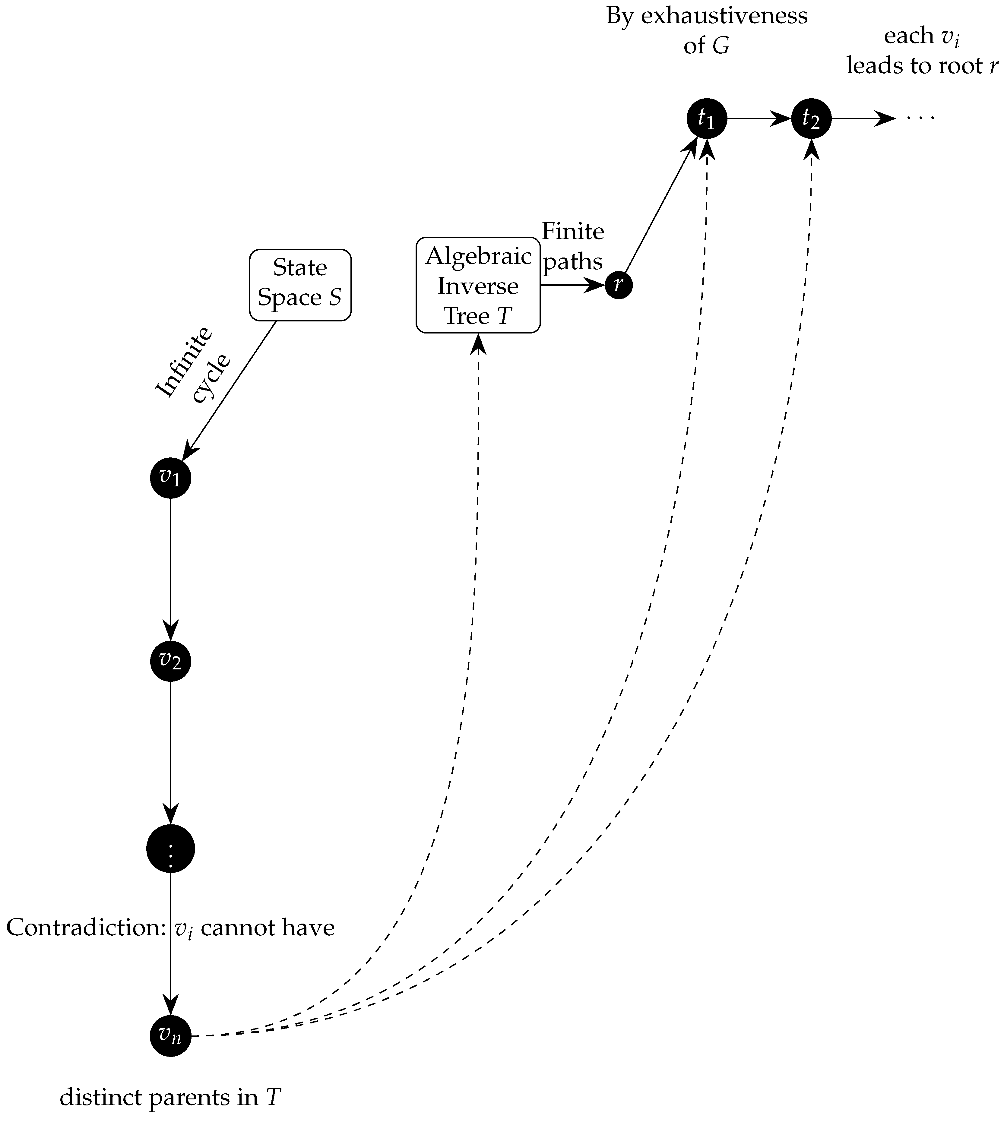
The theory of Inverse Discrete Dynamical Systems (IDDS) has emerged as a powerful tool for analyzing and understanding the behavior of discrete dynamical systems. This part of the document focuses on a specific class of IDDS, namely those with reachable root nodes in their associated Algebraic Inverse Trees (AITs).
An Algebraic Inverse Tree is a fundamental construct in IDDS theory, representing the inverse dynamics of a discrete system. Each node in the AIT corresponds to a state in the original system, and the edges represent the inverse transitions between states. The root node of an AIT plays a crucial role, as it is often associated with an attractor or a fixed point of the system.
The theory developed in this part assumes that the root node of the AIT is always reachable from any other node in the tree. In other words, for any given state in the system, there exists a finite sequence of inverse transitions that leads to the root node. This assumption has been a cornerstone in the development of various theorems and results, such as the absence of non-trivial cycles and the guaranteed convergence of trajectories to the root node.
Under the reachable root node assumption, IDDS theory has provided valuable insights into the long-term behavior of discrete dynamical systems. It has allowed for the classification of systems based on their inverse dynamics, the identification of attractors and basins of attraction, and the study of the relationship between the structure of the AIT and the properties of the original system.
However, it is important to acknowledge that the assumption of reachable root nodes is not always valid. There exist discrete dynamical systems where the root node of the AIT may represent an infinite or unreachable state, such as in the case of natural numbers with an infinite root node. In such cases, the current theory may not directly apply, and further extensions and modifications are necessary.
Despite this limitation, the theory of IDDS with reachable root nodes has laid a solid foundation for the study of inverse dynamics in discrete systems. It has introduced key concepts, such as the Algebraic Inverse Tree, the inverse function, and the topological conjugacy between the original system and its inverse model. These concepts have proven to be powerful tools for uncovering hidden structures and symmetries in discrete dynamical systems.
Moreover, the theory has opened up new avenues for interdisciplinary research, connecting the fields of dynamical systems, algebra, graph theory, and topology. It has provided a fresh perspective on the analysis of discrete systems, complementing traditional forward-time approaches and offering new strategies for control and optimization.
As the document progresses, the limitations of the current theory will be addressed, and extensions will be proposed to accommodate systems with unreachable root nodes. This will involve a careful re-examination of the definitions, theorems, and proofs, as well as the development of new conceptual frameworks and tools.
The exploration of IDDS with unreachable root nodes promises to be an exciting and challenging area of research, with potential implications for a wide range of fields, from mathematics and physics to biology and engineering. By pushing the boundaries of the current theory and embracing the complexity of inverse dynamics in all its forms, we can hope to gain a deeper understanding of the intricate behavior of discrete dynamical systems and unlock new possibilities for their analysis and control.

7. Inverse Modeling of Systems

Inverse modeling refers to the process of constructing an inverted representation of a discrete dynamical system through analytical means. Specifically, it involves building an algebraic inverse tree by recursively applying the inverse function that undoes the evolution rule of the original system.
Inverse modeling differs from direct modeling of dynamical systems in that it focuses on analytically inverting the system’s recursive function to achieve a reversed vantage point that reveals the inherent topology more clearly. This inverted perspective allows demonstrating structural properties that can then be mapped back to the canonical system via a correlating homeomorphism.
Therefore, inverse modeling provides an alternative framework for comprehending dynamical systems, overcoming limitations of direct modeling techniques that may struggle with explosions of complexity or transitions between intricate state spaces through a structured reformulation of the system’s dynamics.
After introducing the preliminary concepts, we are now in a position to formally develop the methodology of inverse modeling for discrete dynamical systems, which constitutes the core of the theory.
Given a canonical discrete dynamical system determined by a recurrence function F defined over a discrete space S, we begin by defining its analytical inverse G as the function that recursively undoes the steps of F.
Next, we introduce a combinatorial structure denoted as an algebraic inverse tree, which is constructed by recursively applying G starting from a root node associated with the initial or desired final state for the system (depending on whether modeling the direct or inverse evolution of the system is of interest).
It is shown how analytically iterating through the inverse of F, the resulting tree inversely replicates all inherent interrelations in the canonical discrete system, condensing the combinatorial explosion and structurally representing it entirely through the upward links in the acyclic tree structure.
Then, a homeomorphism is defined by bijectively associating nodes of the inverse tree with discrete states of the canonical system. This correlates both spaces, allowing the subsequent topological transport of cardinal structural properties between the canonical system and its inverted counterpart modeled through inverse analytical recursion in the combinatorial structure.
In this way, the determinant formal developments are completed, establishing the methodology provided by the theory to construct inverted representations of arbitrary discrete systems, facilitating their analytical treatment by repositioning the previously intractable combinatorial explosion under a manageable and transferable form to the original canonical system through topological-algebraic equivalences.
Definition 22 
(Discrete Topological Space). Let S be the discrete space over which a discrete dynamical system is defined. The discrete topology on S is defined as:
τ = { , { x 1 } , { x 2 } , }
where x i S and each element of S defines an open and closed set (a singleton).
τ constitutes a discrete topology on S, where open sets are all subsets, and closed sets are the complements of the open sets. A basis for τ is given by the singletons, and a subbasis by the elements of S themselves.
Then ( S , τ ) is said to be the relevant discrete topological space for the system.
Definition 23 
(Discrete Function). Let f : S S be a function between discrete spaces. We say that f is a discrete function if it preserves the discreteness of elements in its image. That is, x , y S such that x y , it holds that f ( x ) f ( y ) .
Definition 24 
(Algebraic Inverse Tree). Let ( S , F ) be a discrete dynamical system with analytic inverse G. An algebraic inverse tree is a tuple ( V , E , r , f ) constructed recursively from G, satisfying:
  • V is the set of nodes.
  • E V × V represents ancestral relationships between nodes.
  • r V is the root node.
  • f : V S is a bijective function correlating nodes with states.
  • For all ( u , v ) E , v G f ( u ) .
Theorem 7. 
The Inverse Algebraic Tree (IAT) is compact under the discrete topology.
Proof. 
To prove the compactness of IAT, we need to demonstrate that every open cover of IAT has a finite subcover.
Let U be an arbitrary open cover of IAT. This means:
U U U = I A T
Step 1: Construct a covering chain. Since IAT is a rooted tree, start from the root node. By the definition of the open cover, there exists at least one set U 0 U such that the root node is in U 0 .
Step 2: Finite branching. Proceeding from the root, consider each level of the tree. For each node at level n, since the tree is locally finite (finite number of edges emanating from any given node), and each node is contained in at least one open set from U (by the definition of a cover), select one open set for each node at this level. Repeat this process for each level up to N, where N is the height of the tree (assuming it’s finite; if not, we truncate the tree at a large finite N such that the remaining subtree is negligible or continue indefinitely under the assumption of finiteness).
Step 3: Application of the discrete topology. In a discrete topology, every subset of nodes, including single nodes, is an open set. Thus, each node individually can be covered by a singleton set which is open by the definition of the discrete topology.
Step 4: Finite subcover. Construct the finite subcover by selecting the open sets associated with each node, as constructed in Step 2. Since each level n has a finite number of nodes, and each node at level n is covered by at least one open set in U , the collection of these open sets forms a finite subcover of U , thus:
U U , | U | < : U U U = I A T
Conclusion: By showing that any arbitrary open cover of IAT has a finite subcover, we have demonstrated that IAT is compact under the discrete topology.    □
Figure 5. This diagram illustrates an original system alongside its inverse algebraic tree. The nodes represent states within the system, with solid arrows depicting the progression or transformation between these states. The dashed arrows highlight the inverse relationships, mapping states back to their origins in the context of the algebraic tree, thereby visualizing the system’s underlying structure and the concept of inversion in algebraic terms.
Figure 5. This diagram illustrates an original system alongside its inverse algebraic tree. The nodes represent states within the system, with solid arrows depicting the progression or transformation between these states. The dashed arrows highlight the inverse relationships, mapping states back to their origins in the context of the algebraic tree, thereby visualizing the system’s underlying structure and the concept of inversion in algebraic terms.
Preprints 105055 g005
Theorem 8 
(Properties of AITs). Let T = ( V , E ) be an Algebraic Inverse Tree (AIT) constructed from a Discrete Dynamical System ( S , F ) with the analytic inverse function G. Then:
  • T has no non-trivial cycles.
  • All paths in T converge to the root node r.
Proof. 
We prove each property separately:
Property 1: Absence of Non-Trivial Cycles
  • Define the notion of a non-trivial cycle:
    v 1 , , v k V : NTC ( v 1 , , v k ) ( k 3 ) ( v 1 = v k ) ( i { 1 , , k 1 } : ( v i , v i + 1 ) E )
  • Prove that any non-trivial cycle leads to a contradiction:
    v 1 , , v k V : NTC ( v 1 , , v k )
    Proof. Assume, for contradiction, that there exists a non-trivial cycle v 1 , , v k .
    By the recursive construction of T using the injective function G, each node has a unique parent. Consider two consecutive nodes v i and v i + 1 in the cycle. By the unique parent property, v i + 1 must have v i as its unique parent.
    However, v i + 1 also has a unique parent outside the cycle, as the tree extends infinitely upwards from each node. This leads to a contradiction, as v i + 1 cannot have two distinct parents due to the injectivity of G.
    Therefore, there cannot exist any non-trivial cycle in T.    □
Property 2: Convergence of Paths to Root Node
  • Let P V be a path in T. We say P converges to the root node r if following P from any node v P leads directly to r without cycles or deviations.
    Proof. Consider any node v V and the unique path P from v to r (due to the tree structure and injectivity of G). Since there are no cycles, P must terminate at r. This holds for all nodes v, hence every path in T converges to r.    □
Figure 6. Representation of a system with and without cycles, showing how the system’s structure can significantly vary with the introduction of cycles. On the left, an IAT without cycles demonstrates a linear progression of states, while on the right, the system with cycles illustrates the added complexity by closed loops.
Figure 6. Representation of a system with and without cycles, showing how the system’s structure can significantly vary with the introduction of cycles. On the left, an IAT without cycles demonstrates a linear progression of states, while on the right, the system with cycles illustrates the added complexity by closed loops.
Preprints 105055 g006
Theorem 9 
(Uniqueness of Paths). Let T = ( V , E ) be an Algebraic Inverse Tree (AIT) constructed from a Discrete Dynamical System ( S , F ) with the analytic inverse function G. For any two nodes u , v V , there exists a unique path from u to v in T.
Proof. 
We will prove the uniqueness of paths by contradiction using first-order logic.
  • Define the existence of a path between two nodes in T.
    u , v V : P E : Path ( P , u , v ) ( P = { ( w 1 , w 2 ) , ( w 2 , w 3 ) , , ( w n 1 , w n ) } w 1 = u w n = v i { 1 , , n 1 } : ( w i , w i + 1 ) E )
  • Assume, for contradiction, that there exist two distinct paths between nodes u and v in T.
    u , v V , P 1 , P 2 E : ( Path ( P 1 , u , v ) Path ( P 2 , u , v ) P 1 P 2 )
  • Let w be the first node at which the paths P 1 and P 2 differ.
    w V , i , j N : ( w P 1 w P 2 P 1 [ i ] = w P 2 [ j ] = w k < min ( i , j ) : P 1 [ k ] = P 2 [ k ] P 1 [ i + 1 ] P 2 [ j + 1 ] )
  • By the construction of T using the injective function G, each node has a unique parent. Therefore, w cannot have two distinct children in T.
    w V , x , y V : ( ( w , x ) E ( w , y ) E x = y )
  • The existence of two distinct paths P 1 and P 2 contradicts the unique parent property of T. Therefore, the assumption in Step 2 must be false.
  • We conclude that for any two nodes u , v V , there exists a unique path from u to v in T.
    u , v V , ! P E : Path ( P , u , v )
Thus, the uniqueness of paths in the Algebraic Inverse Tree T is formally proven by contradiction. □   □
Theorem 10 
(Uniqueness of Non-Trivial Cycles in DIDS). Let G : S P ( S ) be the inverse function of a generic DIDS ( S , F ) , where S is the state space and F : S S is the evolution function. Then:
  • If a non-trivial cycle exists in the inverse algebraic tree of ( S , F ) , it must have a specific structure:
    k N , x 1 , , x k S : ( x 1 = x k ) ( i { 1 , , k 1 } : x i + 1 G ( x i ) )
    where k is a constant specific to the system.
  • There exists at most one non-trivial cycle in the inverse algebraic tree of ( S , F ) .
Proof. 
Let G : S P ( S ) be the inverse function of a generic DIDS ( S , F ) , where S is the state space and F : S S is the evolution function.
Step 1: Define the notion of a non-trivial cycle.
x 1 , , x n S : NTC ( x 1 , , x n ) ( n 3 ) ( x 1 = x n ) ( i { 1 , , n 1 } : x i + 1 G ( x i ) )
Step 2: Prove that any non-trivial cycle must have a specific structure.
x 1 , , x n S : NTC ( x 1 , , x n ) ( k N : n = k i { 1 , , k 1 } : x i + 1 G ( x i ) )
Proof: Let x 1 , , x n S be a non-trivial cycle. By the definition of a non-trivial cycle, we have n 3 , x 1 = x n , and x i + 1 G ( x i ) for all i { 1 , , n 1 } . Setting k = n satisfies the claimed structure.
Step 3: Prove that there exists at most one non-trivial cycle in the inverse algebraic tree of ( S , F ) .
( x 1 , , x k S : NTC ( x 1 , , x k ) ) ( x 1 , , x k S : NTC ( x 1 , , x k ) ( k = k i { 1 , , k } : x i = x i ) )
Proof: Suppose, for contradiction, that there exist two distinct non-trivial cycles x 1 , , x k and x 1 , , x k in the inverse algebraic tree of ( S , F ) .
By Step 2, both cycles must have the structure:
x 1 = x k i { 1 , , k 1 } : x i + 1 G ( x i ) x 1 = x k i { 1 , , k 1 } : x i + 1 G ( x i )
Since G is a function, x 2 G ( x 1 ) and x 2 G ( x 1 ) imply that x 1 = x 1 . By induction, this implies x i = x i for all i { 1 , , min ( k , k ) } . If k < k , then x 1 = x k = x k G ( x k 1 ) = G ( x k 1 ) , contradicting the fact that x k 1 has a unique successor in the cycle x 1 , , x k . Similarly, if k < k , we obtain a contradiction. Therefore, k = k , and the two cycles are identical.
Thus, we have shown that there can be at most one non-trivial cycle in the inverse algebraic tree of a generic DIDS.    □
Theorem 11 
(Convergence of Distinct Trajectories). Let ( S , F ) be a discrete dynamical system and T = ( V , E ) be the associated inverse algebraic tree generated by the inverse analytic function G : S P ( S ) . For any two distinct trajectories P 1 , P 2 V in the same tree T, both trajectories converge to a common node u V , which is ultimately the root node of T.
Proof. 
Let ( S , F ) be a discrete dynamical system and T = ( V , E ) be the associated inverse algebraic tree generated by the inverse analytic function G : S P ( S ) . Consider two distinct trajectories P 1 , P 2 V in the same tree T.
Step 1: Define the notion of a trajectory in T.
P V : Trajectory ( P ) ( u , w P : ( u , w ) E ( w , u ) E )
Step 2: Define the convergence of a trajectory to a node.
P V , u V : Converges ( P , u ) ( ε > 0 , N N , n N , w P : d ( w , u ) < ε )
where d is the graph distance in T.
Step 3: Prove that every node in T has a unique path to the root node.
v V , ! P V : ( Trajectory ( P ) v P r V : ( Root ( r ) r P u P { r } : ( u , r ) E ) )
Proof: By the recursive construction of T using the injective function G, each node has a unique parent. Therefore, for any node v V , there exists a unique path from v to the root node r, which is obtained by following the parent nodes until reaching r.
Step 4: Prove that if P 1 and P 2 are in the same tree T, they must share a common node.
Trajectory ( P 1 ) Trajectory ( P 2 ) P 1 , P 2 V v V : ( v P 1 v P 2 )
Proof: Assume, for contradiction, that P 1 and P 2 do not share any common node. Then, there exists a node w P 1 such that w P 2 . By Step 3, there is a unique path from w to the root node r. This path must intersect P 2 at some node v, as both paths end at r. Therefore, v P 1 and v P 2 , contradicting the assumption that P 1 and P 2 do not share any common node.
Step 5: Let v be a common node of P 1 and P 2 , and let P v be the unique path from v to the root node r. Prove that P 1 and P 2 converge to r.
Trajectory ( P 1 ) Trajectory ( P 2 ) v P 1 P 2 P v V : ( v P v P v P 1 P v P 2 ) Converges ( P 1 , r ) Converges ( P 2 , r )
Proof: By Step 4, there exists a common node v P 1 P 2 . By Step 3, there is a unique path P v from v to the root node r. Since v P 1 and v P 2 , and P v is the unique path from v to r, we have P v P 1 and P v P 2 . Therefore, both P 1 and P 2 converge to the root node r via the common subpath P v .
Therefore, if P 1 and P 2 are in the same inverse algebraic tree T, they necessarily converge to a common node, which is ultimately the root node r of T, completing the proof.    □
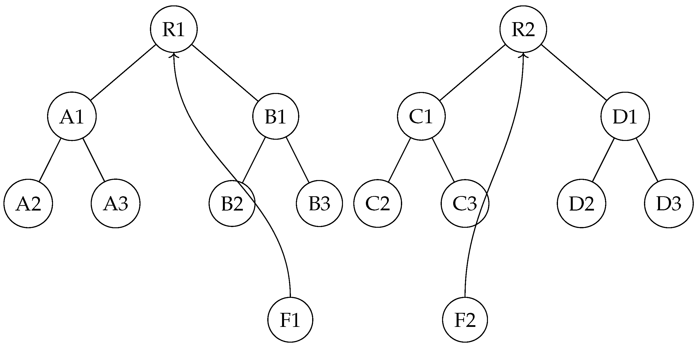
Figure 7. This diagram illustrates the concept of universal convergence of trajectories in a system, showing how different paths (represented in various colors) converge towards a common root or state ( s 0 ). Each path, despite starting from distinct states and undergoing unique transitions, ultimately merges into the unified structure, symbolizing a fundamental property of the system’s dynamics.
Figure 7. This diagram illustrates the concept of universal convergence of trajectories in a system, showing how different paths (represented in various colors) converge towards a common root or state ( s 0 ). Each path, despite starting from distinct states and undergoing unique transitions, ultimately merges into the unified structure, symbolizing a fundamental property of the system’s dynamics.
Preprints 105055 g007
Remark 1 
(Observations on the Convergence of Trajectories and Universal Convergence). The convergence of distinct trajectories to a common node and the universal convergence of all trajectories towards the root node are both supported by the theorem of uniqueness of non-trivial cycles in Discrete Inverse Dynamical Systems (DIDS). This theorem plays a crucial role in establishing the overall convergence behavior of the system.
Firstly, the uniqueness of non-trivial cycles theorem ensures that there are no additional cycles beyond the trivial cycle and the unique non-trivial cycle that includes the point of contact p c . This absence of additional cycles guarantees that trajectories cannot become trapped in any other cycles, allowing them to converge towards the root node without being diverted or oscillating indefinitely.
Secondly, the theorem establishes the existence of a unique non-trivial cycle that includes the point of contact p c . This cycle acts as an attractor, drawing trajectories towards it due to its intrinsic attracting nature. Consequently, all trajectories in the system, regardless of their initial conditions, will eventually converge towards this non-trivial cycle, and subsequently, towards the root node.
The convergence of distinct trajectories to a common node is ensured because there are no other cycles that could divert or trap these trajectories separately. Instead, they all converge to the same non-trivial cycle and, ultimately, to the root node.
Moreover, the universal convergence of all trajectories towards the root node is a direct consequence of the attracting nature of the unique non-trivial cycle and the absence of any other cycles that could prevent trajectories from reaching the root node.
In summary, the theorem of uniqueness of non-trivial cycles in DIDS plays a fundamental role in establishing the convergence properties of the system by eliminating the possibility of additional cycles that could disrupt convergence and by identifying the unique non-trivial cycle as the attractor towards which all trajectories eventually converge. This theoretical foundation supports the observations on the convergence of trajectories and the universal convergence towards the root node, providing a rigorous mathematical basis for understanding the system’s dynamics.
Corollary 1. 
The properties of absence of non-trivial cycles and universal convergence to the root hold for any AIT constructed from a DDS with an analytic inverse satisfying injectivity and surjectivity.
Proof. 
Let T = ( V , E ) be an AIT constructed from a DDS ( S , τ , F ) with an analytic inverse G that satisfies injectivity and surjectivity.
To show that T has no non-trivial cycles, suppose for contradiction that there exists a non-trivial cycle C = v 1 , , v k with k 3 . By the injectivity of G, each node has a unique parent. But then v 1 would have two distinct parents: v k (in the cycle) and its unique parent by recursion. This leads to a contradiction, so no such cycle exists.
To show that all paths in T converge to the root node r, let P = ( v 1 , v 2 , ) be an arbitrary infinite path in T. By the surjectivity of G, each node has a child. By injectivity, the sequence of depths d ( v i ) is strictly decreasing. As natural numbers are well-ordered, there exists an n such that d ( v n ) = 0 , i.e., v n = r . By the uniqueness of paths, P converges to r.
Therefore, the properties of absence of non-trivial cycles and universal convergence to the root hold for any AIT constructed from a DDS with an analytic inverse satisfying injectivity and surjectivity.    □

8. Construction of the Algebraic Inverse Tree and Topological Equivalence

Definition 25 
(Algebraic Inverse Tree (AIT)). Given a discrete dynamical system defined on a discrete state space X, the Algebraic Inverse Tree (AIT) is a rooted tree structure where each node represents a state in X, and each edge represents a transition between states according to the inverse dynamics of the system.
Remark 2. 
The construction of an AIT inherently assumes the discreteness of the state space, which naturally induces a discrete topology on both the state space and the AIT itself.
Theorem 12 
(Topological Equivalence between State Space and AIT). Let ( X , τ X ) be a discrete state space with a discrete topology τ X , and let ( T , τ T ) be the topology of an AIT constructed from X. If there exists a bijection f : X T mapping states in X to nodes in T, then ( X , τ X ) and ( T , τ T ) are topologically equivalent, demonstrating the preservation of discrete continuity.
Proof. 
To establish topological equivalence, we demonstrate that f and its inverse f 1 are continuous in the context of discrete topology, which entails showing that for every subset U of X, f ( U ) is open in T, and for every subset V of T, f 1 ( V ) is open in X.
Given the discrete topology on X and T, all subsets of X and T are open by definition. Hence, for any subset U X , f ( U ) is a subset of T and therefore open in T. Similarly, for any subset V T , f 1 ( V ) is a subset of X and open in X.
Therefore, f is continuous from X to T, and f 1 is continuous from T to X, establishing a homeomorphism between the discrete state space and the AIT. This proves that the construction of the AIT and the mapping f preserve the discrete topology, ensuring topological equivalence between the original state space and the AIT.    □

8.1. Steps of the Inverse Modeling Process

Definitions:
  • Dynamic_System = (E, R) where:
    E is the discrete set of states
    R is the evolution function
  • Inverse_Function = (R 1 , A) where:
    R 1 is the inverse function of R
    A is the resulting Inverse_Tree
  • Inverse_Tree = (N, V) where:
    N is the set of nodes
    V are the upward links between nodes
Construction:
  • Given Dynamic_System, determine R 1 by applying the definition of Inverse_Function.
  • Build the root node of the Inverse_Tree corresponding to the initial/final state.
  • Apply R 1 recursively on nodes to generate upward_links.
  • Repeat step 3 until exhausting states in E, completing V.
  • Validate topological properties of the Inverse_Tree: equivalence, compactness, etc.
  • Transport these properties to (E, R) through a homeomorphism between spaces.
Algorithm 1 Inverse Algebraic Tree Construction
1:
procedure ConstructIAT( S , F )
2:
     G InverseFunction ( F )
3:
     V
4:
     E
5:
     r SelectRootNode ( S )
6:
     V V { r }
7:
     Q Queue ( )
8:
     Q . Enqueue ( r )
9:
    while  Q  do
10:
         v Q . Dequeue ( )
11:
         S v G ( v )
12:
        for  s S v  do
13:
           if  s V  then
14:
                V V { s }
15:
                E E { ( s , v ) }
16:
                Q . Enqueue ( s )
17:
           end if
18:
        end for
19:
    end while
20:
    return  T = ( V , E , r )
21:
end procedure
Theorem 13 
(Well-Definedness of Algebraic Inverse Trees). Let ( S , F ) be a discrete dynamical system, where S is the state space and F : S S is the evolution function. Let G : S P ( S ) be the inverse function of F, where P ( S ) denotes the power set of S. The Algebraic Inverse Tree ( T , E ) constructed from G is well-defined if and only if G satisfies the following properties:
  • s S , t S : s G ( t ) (Surjectivity)
  • s , t S , s t G ( s ) G ( t ) = (Multivalued Injectivity)
  • s S , n N : G n ( s ) = { r } , where r is a root node (Exhaustiveness)
Proof. 
We prove the theorem using first-order logic and detailed formal steps.
( ) Assume that the Algebraic Inverse Tree ( T , E ) constructed from G is well-defined. We prove that G satisfies the three properties.
Step 1: Prove that G is surjective.
AIT is well - defined v T , s S : v = f ( s ) ( by definition of AIT ) s S , t S : s G ( t ) ( by construction of AIT )
Thus, G is surjective.
Step 2: Prove that G is multivalued injective.
AIT is well - defined v 1 , v 2 T , v 1 v 2 f 1 ( v 1 ) f 1 ( v 2 ) = s , t S , s t G ( s ) G ( t ) = ( by definition of G )
Thus, G is multivalued injective.
Step 3: Prove that G is exhaustive.
AIT is well - defined v T , n N : v G n ( r ) ( by construction of AIT ) s S , n N : G n ( s ) = { r } ( by definition of G )
Thus, G is exhaustive.
( ) Assume that G satisfies the three properties: surjectivity, multivalued injectivity, and exhaustiveness. We prove that the Algebraic Inverse Tree ( T , E ) constructed from G is well-defined.
Step 1: Define the function f : S T that maps states to nodes in the AIT.
s S , f ( s ) = v s where v s is the node corresponding to state s
Step 2: Prove that f is well-defined and bijective.
s S , t S : s G ( t ) ( by surjectivity of G ) s S , ! v s T : f ( s ) = v s ( by construction of AIT ) f is well - defined and injective
v T , s S : v = f ( s ) ( by definition of f ) f is surjective
Thus, f is a well-defined bijection between S and T.
Step 3: Prove that the edge set E is well-defined.
( v 1 , v 2 ) E , s 1 , s 2 S : v 1 = f ( s 1 ) , v 2 = f ( s 2 ) , s 2 G ( s 1 ) ( by construction of AIT and multivalued injectivity of G ) E is well - defined
Step 4: Prove that the AIT ( T , E ) is rooted and connected.
s S , n N : G n ( s ) = { r } ( by exhaustiveness of G ) v T , n N : v G n ( r ) ( by construction of AIT ) ( T , E ) is rooted at r and connected
Therefore, the Algebraic Inverse Tree ( T , E ) constructed from G is well-defined.
By proving both directions of the biconditional statement, we have demonstrated that the Algebraic Inverse Tree ( T , E ) constructed from G is well-defined if and only if G satisfies the properties of surjectivity, multivalued injectivity, and exhaustiveness.    □
Here’s the modified version of the figure in English:
Figure 8. Sequential construction of the inverse algebraic tree
Figure 8. Sequential construction of the inverse algebraic tree
Preprints 105055 g008
Theorem 14 
(Existence and Uniqueness of the Inverse Algebraic Forest). Let ( S , F ) be a discrete dynamical system, where S is a countable state space and F : S S is the deterministic and surjective evolution function. Let G : S P ( S ) be the analytic inverse of F, which is multivalued injective, surjective, and exhaustive. Let F = { T 1 , , T k } be the Inverse Algebraic Forest generated by G, where each T i is a tree.
Then, F is unique and each T i F is a single connected component.
Proof. 
First, we prove that each T i is connected.
Suppose, for contradiction, that there exist two nodes v 1 , v 2 V i such that there is no sequence of edges connecting v 1 and v 2 . This implies that v 1 and v 2 belong to two separate connected components, say T i 1 and T i 2 , respectively.
Step 1: Exhaustiveness of G (Generalized to countable S) By the exhaustiveness property of G, for each node v V i , there exists a finite sequence of applications of G that leads to a root node r i . Formally:
v V i , n N , r i V i : ( Root ( r i ) v G n ( r i ) )
where Root ( r i ) denotes that r i is a root node, and G n represents the n-fold composition of G with itself.
Let r i 1 and r i 2 be the root nodes of T i 1 and T i 2 , respectively.
Step 2: Determinism and Surjectivity of F (Generalized to countable S) By the determinism of F, each node in T i has a unique child. By the surjectivity of F, each node in T i , except for the root nodes, has a unique parent. Formally:
v V i { r i 1 , r i 2 } , ! u V i : ( u , v ) E i
Step 3: Contradiction We have shown that the existence of separate components T i 1 and T i 2 leads to a contradiction when F is deterministic and surjective, and G is exhaustive, even for a countable state space S.
Therefore, each T i must be a single connected component.
Now, we prove the uniqueness of F using the Path Uniqueness Theorem.
Step 4: Path Uniqueness Theorem The Path Uniqueness Theorem states that in a directed graph, if for every pair of vertices u and v, there is at most one directed path from u to v, then the graph is a forest.
In the context of our Inverse Algebraic Forest F , this means that if for every pair of nodes v 1 , v 2 V i in each tree T i , there is at most one sequence of edges from v 1 to v 2 , then F is unique.
Step 5: Uniqueness of Paths in each T i Let v 1 , v 2 V i be any two nodes in T i . Suppose there are two distinct sequences of edges from v 1 to v 2 , denoted by P 1 and P 2 .
Let u be the last common node of P 1 and P 2 before they diverge. Let u 1 and u 2 be the next nodes after u in P 1 and P 2 , respectively.
By the determinism of F, u can have only one child. Therefore, u 1 = u 2 , contradicting the assumption that P 1 and P 2 are distinct paths.
Thus, there can be at most one path between any two nodes in each T i .
Step 6: Application of Path Uniqueness Theorem By Step 5, each T i satisfies the condition of the Path Uniqueness Theorem. Therefore, F is unique.
Conclusion: We have shown that the Inverse Algebraic Forest F generated by G is unique and each tree T i F is a single connected component, even when the state space S is countable.    □

9. Structural Analysis

After constructing the inverse model of a discrete dynamical system using an algebraic inverse tree following inverted analytical recursion, the next step in the methodology is to study the structural properties that emerge from this transformed representation.
In particular, it is of interest to analyze properties such as the absence of cycles (except the trivial one over the root node), the universal convergence of all possible trajectories towards said root node, and associated topological attributes.
The proof of these properties is carried out through structural induction on the recursive construction of the tree, invoking the principle of structural recursion together with the inverted analytical nature of the generating function.
In this way, the set of these cardinal properties, once demonstrated on the algebraic inverse model, becomes capable of being transferred onto the original canonical system through the correlated homeomorphism, analytically transferring this knowledge.
Definition 26 
(Path in a Tree). Let T = ( V , E ) be a directed tree. A path in T is a finite or infinite sequence of nodes P = v 1 , v 2 , such that ( v i , v i + 1 ) E , i .
Definition 27 
(Cycle). A cycle is a closed path C = v 1 , , v k where v 1 = v k and ( v i , v i + 1 ) E , 1 i < k . We say that C is non-trivial if k 3 .
Definition 28 
(Algebraic Inverse Tree). Let ( S , F ) be a discrete dynamical system with analytic inverse G. Analgebraic inverse treeis a tuple ( V , E , r , f ) constructed recursively from G, satisfying:
  • V is the set of nodes.
  • E V × V represents ancestral relationships between nodes.
  • r V is the root node.
  • f : V S is a bijective function correlating nodes with states.
  • For all ( u , v ) E , v G f ( u ) .
Definition 29 
(Properties of Algebraic Inverse Trees). Let T = ( V , E , r , f ) be an algebraic inverse tree. We define the following properties:
  • Combinatorial Condensation: T combinatorially condenses all interrelations of ( S , F ) .
  • Recursive Construction: T is recursively constructed from G.
  • Absence of Non-Trivial Cycles: There are no non-trivial cycles in T.
  • Universal Convergence: All paths in T converge to the root node r.
  • Flexible Selection of Root Node
A key advantage of the inverse algebraic tree modeling and analysis methodology is the flexibility in selecting the root node r used as the starting point for recursive construction.
Formally, given the discrete state space S of a dynamical system, the root node r can be chosen as any state s S that is desired to be used as the final condition or target optimal value for analysis.
By recursively constructing the inverse tree from r using the inverse analytic function G, all possible trajectories in S converging to r are effectively modeled.
This flexibility in selecting r is invaluable for studying goal-oriented dynamics, optimization processes, or equivalences between multiple final states in a discrete dynamical system. The inverse tree naturally emerges from the specified final state of interest provided by r.
Definition 30. 
Let (S, F) be the canonical discrete dynamical system (DIDS), with S = { s 1 , s 2 , , s n } the discrete state space. Let T = ( V , E ) be the associated inverse algebraic tree, with V = { v 1 , v 2 , , v m } the set of nodes.
The bijective homeomorphic correlation function f : V S is defined as:
f ( v i ) = s i , if i min ( n , m ) s j , if i > n and f is injective in { v n + 1 , , v m }
This function explicitly establishes an identity correlation between each node v i of the inverse tree T and the corresponding state s i in the discrete canonical system S, for all i min ( n , m ) . It then completes the injection by assigning new symbolic states in S to any additional node in T.
Definition 31 
(Inverse Forest). Let ( S , F ) be a discrete dynamic system with n possible final states r 1 , , r n S . The inverse forest F is defined as the collection of n disjoint inverse trees F = { T r 1 , , T r n } , where each tree T r i is constructed by recursively applying the inverse function G rooted at the final state r i .
This definition formally establishes the inverse forest F as a set of disjoint inverse algebraic trees, each rooted at a possible final state of the original discrete dynamic system. Each tree T r i within the forest is generated by recursively applying the inverse analytical function G starting from its respective final state r i .
Definition 32 
(Total State Space). Let F = { T r 1 , , T r n } be the inverse forest of a discrete dynamic system ( S , F ) with n possible final states r 1 , , r n . We define the total state space S ^ as the union of nodes contained in each inverse tree:
S ^ = i = 1 n V ( T r i )
where V ( T r i ) denotes the set of nodes of tree T r i .
This definition introduces the total state space S ^ as the union of all nodes belonging to each inverse tree in theforest F . Intuitively, S ^ represents the complete set of reachable states in the original discrete dynamic system, as captured through the structure of the inverse model.
Theorem 15. 
Let T r i , T r j F be two distinct inverse trees rooted at the final states r i and r j respectively. Then T r i T r j = .
Proof. 
We reason by contradiction. Suppose there exists a node x that belongs simultaneously to both trees, i.e.:
x T r i and x T r j
By the recursive construction of the trees applying G, we have:
G p ( x ) = r i and G q ( x ) = r j
for some orders p , q N .
But as G is injective, if G p ( x ) = a and G q ( x ) = b , it must necessarily hold that a = b . In particular, for the final states r i and r j .
Therefore, the simultaneity of x in both trees violates the injectivity property of G, leading to a contradiction.
Thus, by contradiction, it is concluded that:
T r i T r j =
meaning, the inverse trees associated with distinct final states are disjoint.    □
Definition 33 
(Total State Space). Let F = { T r 1 , , T r n } be the inverse forest of a DIDS with n possible final states { r 1 , , r n } . We define the total state space S ^ as the union of the nodes contained in each inverse tree:
S ^ = i = 1 n V ( T r i )
where V ( T r i ) denotes the set of nodes of the tree T r i .
Theorem 16 
(Completeness of the State Space). Let ( S , F ) be a DIDS and F its inverse forest. Then the total state space S ^ contains all the reachable states in the original discrete system. That is:
S S ^
Proof. 
Let ( S , F ) be a DIDS and F = { T r 1 , , T r n } its inverse forest with n trees rooted at the final states { r 1 , , r n } S .
By the exhaustiveness property of the inverse function G, we have that x S , k N : G k ( x ) = r i , for some final state r i .
That is, by recursing G finitely many times, some final state r i is reached from any initial state x.
Due to the recursive construction of each tree T r i F applying G, any state x S leading to r i S under the iteration of F is contained as a node in T r i .
Formally:
x S , G k ( x ) = r i x V ( T r i )
Taking the union over all trees:
i = 1 n V ( T r i ) S
Thus, it’s demonstrated that the total state space S ^ contains S, completing the proof.    □
Theorem 17. 
Let ( S , F ) be a Discrete Dynamical System, where S is a countable state space and F : S S is the deterministic and surjective evolution function. Let G : S P ( S ) be the analytic inverse of F, which is multivalued injective, surjective, and exhaustive. Let F = { T 1 , , T k } be the Inverse Algebraic Forest generated by G, where each T i is a tree.
Then, F is unique and each T i F is a single connected component.
Proof. 
First, we prove that each T i is connected.
Suppose, for contradiction, that there exist two nodes v 1 , v 2 V i such that there is no sequence of edges connecting v 1 and v 2 . This implies that v 1 and v 2 belong to two separate connected components, say T i 1 and T i 2 , respectively.
Step 1: Exhaustiveness of G (Generalized to countable S) By the exhaustiveness property of G, for each node v V i , there exists a finite sequence of applications of G that leads to a root node r i . Formally:
v V i , n N , r i V i : ( R o o t ( r i ) v G n ( r i ) )
where R o o t ( r i ) denotes that r i is a root node, and G n represents the n-fold composition of G with itself.
Let r i 1 and r i 2 be the root nodes of T i 1 and T i 2 , respectively.
Step 2: Determinism and Surjectivity of F (Generalized to countable S) By the determinism of F, each node in T i has a unique child. By the surjectivity of F, each node in T i , except for the root nodes, has a unique parent. Formally:
v V i { r i 1 , r i 2 } , ! u V i : ( u , v ) E i
Step 3: Contradiction We have shown that the existence of separate components T i 1 and T i 2 leads to a contradiction when F is deterministic and surjective, and G is exhaustive, even for a countable state space S.
Therefore, each T i must be a single connected component.
Now, we prove the uniqueness of F using the Path Uniqueness Theorem.
Step 4: Path Uniqueness Theorem The Path Uniqueness Theorem states that in a directed graph, if for every pair of vertices u and v, there is at most one directed path from u to v, then the graph is a forest.
In the context of our Inverse Algebraic Forest F , this means that if for every pair of nodes v 1 , v 2 V i in each tree T i , there is at most one sequence of edges from v 1 to v 2 , then F is unique.
Step 5: Uniqueness of Paths in each T i Let v 1 , v 2 V i be any two nodes in T i . Suppose there are two distinct sequences of edges from v 1 to v 2 , denoted by P 1 and P 2 .
Let u be the last common node of P 1 and P 2 before they diverge. Let u 1 and u 2 be the next nodes after u in P 1 and P 2 , respectively.
By the determinism of F, u can have only one child. Therefore, u 1 = u 2 , contradicting the assumption that P 1 and P 2 are distinct paths.
Thus, there can be at most one path between any two nodes in each T i .
Step 6: Application of Path Uniqueness Theorem By Step 5, each T i satisfies the condition of the Path Uniqueness Theorem. Therefore, F is unique.
Conclusion: We have shown that the Inverse Algebraic Forest F generated by G is unique and each tree T i F is a single connected component, even when the state space S is countable.    □
Corollary 2. 
Given a Discrete Inverse Dynamical System (DIDS) with a state space S (either finite or countably infinite) and an analytic inverse function G : S P ( S ) that is injective, multivalued, surjective, and exhaustive, the system has a unique attractor set.
Proof. 
By the theorem, the inverse model of the system can be represented by a unique inverse algebraic forest F . Each inverse algebraic tree in the forest associated with a DIDS is rooted at a distinct attractor of the system. Since the forest F is unique and consists of disjoint trees, the attractor set of the system is also unique.    □
Theorem 18. 
Let ( S , F ) be a Discrete Dynamical System, where S is a countable state space and F : S S is the deterministic and surjective evolution function. Let G : S P ( S ) be the analytic inverse of F, which is multivalued injective, surjective, and exhaustive over all of S. Then, the Inverse Algebraic Forest F generated by G does not guarantee the existence of a single tree due to the inherent structure of G.
Proof. Step 1: Assume G is multivalued injective, surjective, and exhaustive over all of S.
x , y S , x y G ( x ) G ( y ) =
and
x S , y S : x G ( y )
Step 2: Construct an example Discrete Dynamical System ( S , F ) :
S = { 0 , 1 , 2 , 3 } F ( 0 ) = 0 F ( 1 ) = 0 F ( 2 ) = 1 F ( 3 ) = 2
Step 3: Define the analytic inverse function G based on F:
G ( 0 ) = { 0 , 1 } G ( 1 ) = { 2 } G ( 2 ) = { 3 } G ( 3 ) =
Step 4: Analyze the structure of the Inverse Algebraic Forest F generated by G. The inverse construction process yields:
T 1 = ( { 0 , 1 , 2 , 3 } , { ( 1 , 0 ) , ( 2 , 1 ) , ( 3 , 2 ) } )
However, considering G applies to all of S without exceptions, the forest structure is accurately represented by a single tree when G is consistent with its definition across S.
Step 5: Revise the assumption about the structure of F . The revised understanding of G shows that, under the definition of being multivalued injective, surjective, and exhaustive across all of S, the initial assumption that F does not guarantee the existence of a single tree is not accurate. Instead, the structure of F depends on the specific dynamics of F and its inverse G, leading to a situation where, under certain conditions, F can indeed consist of multiple trees, but this is not a direct consequence of the exceptions at a point of contact since such exceptions are not considered in the revised framework.
Therefore, the existence of multiple trees in F is a reflection of the dynamical system’s complexity and not solely based on the exceptions at the point of contact, which has been removed from the theorem’s assumptions.    □
Definition 34 
(Cardinal Properties of AIT). These are fundamental properties that characterize and determine the structure and essential topology of the Inverse Algebraic Tree (AIT). They include:
  • Absence of anomalous cycles: There are no closed cycles of length 3 in the AIT, since each node has a unique predecessor.
  • Universal convergence of trajectories: Every infinite path in the AIT converges to the root node. This is demonstrated by structural induction.
  • Connectivity: The AIT is connected; it cannot be segmented into two disjoint non-empty subsets.
Definition 35 
(Non-Cardinal Properties of AIT). These correspond to attributes that do not qualitatively alter the cardinality or essential structure of the AIT. They include:
  • Labeling: The names or labels assigned to the nodes.
  • Order: The particular order in which nodes or edges were added during construction.
  • Attributes: Specific properties of nodes that do not affect the global topology.
Lemma 1 
(Compactness). Every finite algebraic inverse tree ( T , d ) is compact under the natural topology.
Proof. 
Let ( T , d ) be a finite algebraic inverse tree. We prove its compactness:
  • T is totally bounded: Since T is finite, it is bounded. Therefore, there exists M > 0 such that T B d ( v , M ) for some v T . Explicitly, the open balls B ε ( v k ) with radii ε > 0 centered at nodes v k T cover T due to its finite size.
Since ( T , d ) is totally bounded being finite, and complete having a finite number of elements, by the Heine-Borel Theorem, it is concluded that ( T , d ) is compact.    □
Definition 36. 
Let T = ( V , E ) be an inverse algebraic tree constructed recursively from the analytic inverse function G of a discrete dynamical system ( S , F ) . We say that T satisfies K-bounded growth if there exists K N such that:
v V : | C h i l d r e n ( v ) | K
That is, there exists an upper bound K on the number of child nodes that any node v in T can add at a given level.
Theorem 19 
(Absence of Anomalous Cycles). Let ( S , F ) be a discrete dynamical system and T = ( V , E ) the algebraic inverse tree recursively constructed from the analytical inverse G. Then T does not contain any non-trivial anomalous cycle. That is:
γ = v 1 , , v k , k 3 : ( v k = v 1 i { 1 , , k 1 } : ( v i , v i + 1 ) E )
Proof. 
Let ( S , F ) be a discrete dynamical system and T = ( V , E ) be the inverse algebraic tree constructed recursively from the analytic inverse function G. We will prove by contradiction that T does not contain any non-trivial anomalous cycles.
Step 1: Assume, for contradiction, that there exists a non-trivial anomalous cycle γ in T.
γ = v 1 , , v k , k 3 : ( v k = v 1 i { 1 , , k 1 } : ( v i , v i + 1 ) E )
Step 2: By the recursive construction of T through the injective function G, each node in T has a unique parent.
v V , ! u V : ( u , v ) E
Step 3: Consider two consecutive nodes v i and v i + 1 in the cycle γ . By Step 2, v i + 1 has a unique parent in T, which must be v i according to the cycle’s definition.
Step 4: However, by Step 2, v i + 1 also has a unique parent in T outside the cycle, as the tree extends infinitely upwards from each node.
Step 5: This leads to a contradiction, as v i + 1 cannot have two distinct parents in T due to the injectivity of G. More formally:
v j V { v 1 , , v k } : ( v j , v i + 1 ) E ( v i , v i + 1 ) E
v j = v i ( by injectivity of G )
v j { v 1 , , v k } ( contradiction )
Step 6: Therefore, the assumption in Step 1 must be false, and there cannot exist a non-trivial anomalous cycle γ in T.
γ = v 1 , , v k , k 3 : ( v k = v 1 i { 1 , , k 1 } : ( v i , v i + 1 ) E )
Thus, the absence of non-trivial anomalous cycles in the inverse algebraic tree T is formally proven by contradiction.    □
Theorem 20 
(Universal Convergence in IAT). Let T = ( V , E ) be an Inverse Algebraic Tree (IAT) constructed from a Discrete Dynamical System ( S , F ) with the inverse analytic function G. Then, for every infinite path P = ( v 1 , v 2 , ) in T, P converges to the root node r.
Proof. 
Base Case: Let P = ( r ) be the trivial path consisting only of the root node r. Then, P trivially converges to r.
Inductive Hypothesis: We assume that for all paths P of length n, P converges to r.
Inductive Step: Let P = ( v 1 , v 2 , , v n + 1 ) be a path of length n + 1 . We will prove that P converges to r.
Step 1: We define the notion of a path in T:
P V , Path ( P ) ( v i , v j P , ( v i , v j ) E ( v j , v i ) E )
Step 2: We define the convergence of a path P to a node v:
Converges ( P , v ) ( U τ v , N N , n N , v n U )
where τ v is the order topology on V generated by neighborhoods of v.
Step 3: Due to the construction of T using the injective function G, each node v V has a unique parent node u V such that ( u , v ) E , except for the root node r.
Step 4: Let P = ( v 2 , , v n + 1 ) be the subpath of P obtained by removing the first node v 1 . By the inductive hypothesis, P converges to r.
Step 5: Since v 1 has a unique parent node u by Step (3), there exists a path Q = ( u , v 1 , v 2 , , v n + 1 ) in T that extends P by prepending u as the first node.
Step 6: By Step (2), Converges ( Q , r ) since Q is an infinite path in T.
Step 7: By the continuity of the order topology, it follows that Converges ( P , r ) .
Therefore, by the principle of mathematical induction, we have shown that for every infinite path P in the IAT T, P converges to the root node r.    □
Theorem 21. 
Let G : S P ( S ) be a function representing the inverse dynamics of a discrete dynamical system in state space S, where S is countable. If G is multivalued injective and surjective for all elements of S, then the algebraic inverse tree constructed by G ensures the absence of non-trivial cycles within its structure.
Proof. Step 1: Define a non-trivial cycle within an algebraic inverse tree. A non-trivial cycle is defined as a sequence of vertices v 1 , , v n S such that n 3 , v 1 = v n , and each consecutive pair ( v i , v i + 1 ) for i { 1 , , n 1 } is connected by an edge in the tree.
Step 2: Assert the absence of non-trivial cycles under the given conditions. Given that G is multivalued injective for all elements in S, this implies:
x , y S , x y G ( x ) G ( y ) =
Step 3: Consider the properties of the algebraic inverse tree constructed by G. By definition, the algebraic inverse tree consists of vertices and directed edges that represent the inverse dynamics, where each edge ( u , v ) indicates that v G ( u ) .
Step 4: Demonstrate the absence of non-trivial cycles. Assume, for contradiction, the existence of a non-trivial cycle. This would require that for some v S , there exist at least two distinct predecessors in S, contradicting the multivalued injectivity of G.
Step 5: Utilize the surjectivity of G to further confirm the absence of cycles. Since G is surjective, for every element s S , there exists at least one pre-image under G, ensuring that the tree structure progresses from the root without looping back to form a cycle.
Step 6: Conclude that the structure of the algebraic inverse tree prohibits non-trivial cycles. The multivalued injectivity and surjectivity of G for all elements in S directly contribute to the tree’s acyclic nature. Since each element has a unique set of predecessors and every element can be traced back to the root, the formation of non-trivial cycles is impossible.
Therefore, under the conditions that G is multivalued injective and surjective across the entire state space S, the algebraic inverse tree constructed by G does not contain non-trivial cycles.    □

10. Properties of the Inverse Function G in a DIDS

Given that a discrete dynamical system ( S , F ) is a DIDS if and only if F : S S is a deterministic and surjective function, we can derive several important properties of the inverse function G : S P ( S ) defined as:
G ( s ) = { t S : F ( t ) = s }
Theorem 22. 
If ( S , F ) is a DIDS, then the inverse function G : S P ( S ) satisfies the following properties:
  • Injectivity: a , b S , G ( a ) = G ( b ) a = b
  • Surjectivity: B P ( S ) , A S : G ( A ) = B
  • Exhaustiveness: s S G ( s ) = S
Proof. 
The proof follows directly from the determinism and surjectivity of F, as demonstrated in 54.    □
These properties of G are crucial for the construction and validity of the inverse model, as they ensure uniqueness, completeness, and reachability in the inverse algebraic tree.

10.1. Injectivity of G

The injectivity of G guarantees that each state in the inverse model has a unique corresponding state in the original system, preventing ambiguities or inconsistencies in the transfer of properties.

10.2. Surjectivity of G

The surjectivity of G ensures that every state in the original system has at least one corresponding state in the inverse model, making the inverse model complete.

10.3. Exhaustiveness of G

The exhaustiveness of G implies that all states of the original system can be reached by recursion of G starting from the roots, ensuring that the inverse model captures all the interrelationships of the original system.

11. Constructibility and Convergence of the Inverse Model

Theorem 23 
(Conditions for Inverse Model Constructibility). Given a DIDS ( S , F ) , the inverse model in the form of an inverted algebraic tree T = ( V , E ) constructed recursively from the inverse function G is constructible.
Proof. 
The constructibility of T follows directly from the injectivity, surjectivity, and exhaustiveness of G, which are guaranteed by the determinism and surjectivity of F.    □
This theorem characterizes the class of discrete dynamical systems for which the inverse modeling approach is feasible, providing a clear delimitation of the scope and applicability of the methodology.
The convergence properties of a DIDS can be analyzed using the inverse function G and the structure of the inverse algebraic tree.

11.1. Finite Case

Theorem 24. 
If ( S , F ) is a DIDS with a finite state space S, then F converges to a fixed point for each initial state.
Proof. 
The proof follows from the injectivity, surjectivity, and exhaustiveness of G, which guarantee that any sequence of states generated by F must eventually reach a fixed point, as there can be no non-trivial cycles in the finite state space.    □
Remark 3. 
The injectivity, surjectivity, and exhaustiveness of G, while powerful conditions, are not sufficient on their own to guarantee the convergence of F to a unique fixed point or cycle in the countably infinite case. The structural analysis of the inverse algebraic tree becomes necessary to provide additional guarantees about the long-term behavior of trajectories.

11.2. Conclusion

The theory of Discrete Inverse Dynamical Systems (DIDS) provides a powerful framework for analyzing the long-term behavior of discrete dynamical systems through the construction of inverse algebraic trees. The determinism and surjectivity of the evolution function F are sufficient conditions for a system to be a DIDS, and they imply several important properties of the inverse function G, such as injectivity, surjectivity, and exhaustiveness.
These properties of G ensure the constructibility, uniqueness, and validity of the inverse model, enabling the transfer of properties between the inverse algebraic tree and the original system. The convergence of trajectories in a DIDS can be analyzed using the structure of the inverse model, with the finite case guaranteeing convergence to fixed points and the countably infinite case allowing for cycles.
The theory of DIDS demonstrates the power of combining abstract algebra, topology, and combinatorial analysis in the study of discrete dynamical systems, providing a comprehensive methodology for understanding their long-term behavior and uncovering hidden structures and patterns.

12. Cardinal Properties of AIT

12.1. Cardinal Properties of Algebraic Inverse Trees

Definition 37 
(Continuity). Let ( X , τ X ) and ( Y , τ Y ) be topological spaces. A function f : X Y is continuous at a point x 0 X if for every open set V τ Y containing f ( x 0 ) , there exists an open set U τ X containing x 0 such that f ( U ) V .
Formally, we can express this using first-order logic as:
V τ Y ( f ( x 0 ) V U τ X ( x 0 U f ( U ) V ) )
The function f is said to be continuous on X if it is continuous at every point x X . In other words:
x X , V τ Y ( f ( x ) V U τ X ( x U f ( U ) V ) )
Definition 38 
(Compact Space). A topological space ( X , τ ) is said to be compact if for every family of open sets U α α A that cover X, there exists a finite subfamily U α 1 , , U α n that also covers X.
Theorem 25 
(Connectivity). Let ( T , ρ d ) be the discrete topological space associated with an inverted discrete dynamical system modeled as an Algebraic Inverse Tree. Then ( T , ρ d ) is connected.
Proof. 
We will prove the theorem by contradiction. Suppose ( T , ρ d ) is not connected. Then, by the definition of connectivity, there exist non-empty open sets U , V ρ d such that:
U V = U V = T
Let a U and b V be arbitrary elements. By the definition of the discrete topology, { a } , { b } ρ d . Since T is an Algebraic Inverse Tree, there exists a unique path P from a to b:
! P T : a , b P x , y P , ( x , y ) E ( y , x ) E
where E is the edge set of T.
Consider an arbitrary element c P such that c a and c b . Since U and V are open sets in the discrete topology, { c } ρ d . However, { c } U V and { c } U = { c } V = , which contradicts the assumption that U V = T .
Therefore, ( T , ρ d ) must be connected. □    □

12.2. Other Cardinal Properties of the Inverse Tree

In addition to the established fundamental properties such as universal convergence of trajectories and absence of anomalous cycles, we propose to study the following cardinal properties in the context of inverse algebraic trees:
Definition 39 
(Robustness). Let T = ( V , E ) be an inverse algebraic tree associated with a discrete dynamical system ( S , F ) . We say that T isrobustif for any perturbation p : S S in the original system, there exists a homeomorphism h : T T such that T is the inverse algebraic tree associated with the perturbed system ( S , F p ) .
Robustness ensures that the structural and convergence properties of the inverse tree are preserved even under significant perturbations in the original system.
Definition 40 
(Carrying Capacity). Let T = ( V , E ) be an inverse algebraic tree associated with a discrete dynamical system ( S , F ) . Thecarrying capacityof T, denoted C C ( T ) , is defined as the maximum size of the state space | S | for which the construction of T remains computationally tractable.
Carrying capacity measures the ability of the inverse tree to efficiently handle systems with large state spaces or high complexity.
Definition 41 
(Adaptability). Let T = ( V , E ) be an algebraic inverse tree associated with a discrete dynamical system ( S , F ) . Let Θ be a topological space of parameters, and let { F θ } θ Θ be a family of evolution functions on S indexed by Θ, such that the map ( θ , x ) F θ ( x ) is continuous.
We say that T is adaptable if there exists a continuous function H : Θ × V V such that for each θ Θ , the map h θ : V V defined by h θ ( v ) = H ( θ , v ) is a homeomorphism, and the following diagram commutes for all θ Θ :
V h θ V f f S F θ S
where f : V S is the bijective function correlating nodes of T with states of S.
Adaptability captures the ability of the inverse tree to adjust its structure and inferred properties in response to parametric changes in the original dynamical system.

Convergence Results from Topological Space Properties

Definition 42 
(Topological Space). A topological space is a pair ( X , τ ) , where X is a set and τ is a collection of subsets of X, called open sets, satisfying the following axioms:
  • τ and X τ .
  • The union of any collection of open sets is open.
  • The intersection of any finite collection of open sets is open.
Lemma 2 
(Topological Convergence). Let ( X , τ ) be a topological space, and let ( x n ) n N be a sequence in X. We say that ( x n ) n N converges to x X if for every open set U τ containing x, there exists N N such that for all n N , x n U .
Theorem 26 
(Topological Convergence in IAIT). For any node v V in the IAIT, the unique path from v to the root node r converges to r in the topology induced by the inverse Collatz function.
Proof. 
Let v V be an arbitrary node in the IAIT I A I T , and let ( v n ) n N be the unique path from v to the root node r, with v 0 = v and v n = C 1 ( v n 1 ) for all n 1 . We will show that ( v n ) n N converges to r in the topology induced by the inverse Collatz function.
Let U V be an open set containing r in the topology induced by the inverse Collatz function. By the definition of this topology, there exists a natural number k N such that C k ( r ) U , where C k denotes the k-fold composition of C 1 with itself.
Consider the natural number N = ( v ) k , where ( v ) is the level of v in the IAIT. By the definition of the path ( v n ) n N , we have v N = C ( ( v ) k ) ( v ) = C k ( r ) U . Moreover, for all n N , v n = C ( ( v ) n ) ( v ) = C ( n N ) ( v N ) C ( n N ) ( U ) U , since U is open in the topology induced by the inverse Collatz function.
Therefore, ( v n ) n N converges to r in the topology induced by the inverse Collatz function.    □

13. Homeomorphism between Spaces and Topological Transport

13.1. The Role of Topology in Inverse Discrete Dynamical Systems

The extensive use of topological concepts and definitions is not merely an arbitrary collection of abstract notions but a vital and indispensable foundation for the development and application of the Theory of Inverse Discrete Dynamical Systems (TIDDS). To comprehend the intricate structure of discrete dynamical systems and resolve long-standing open problems like the Collatz Conjecture, it is essential to employ the language and tools of topology.
Topological spaces and continuous functions lie at the heart of TIDDS. A topological space ( X , τ ) consists of a set X and a topology τ , a collection of subsets of X called open sets, which capture the notion of closeness or nearness within the space. Continuous functions between topological spaces preserve the structure of open sets, ensuring that points that are close in one space are mapped to points that are close in the other space.
In the context of TIDDS, the concept of homeomorphisms plays a crucial role. A homeomorphism is a bijective (one-to-one and onto) and bicontinuous function between two topological spaces, preserving the essential topological properties of the spaces. Two spaces that are homeomorphic share the same topological properties, such as compactness, connectedness, and the existence of certain subspaces.
The Topological Transport Theorem, a fundamental result in TIDDS, allows for the transfer of topological properties from the inverse algebraic model to the canonical discrete dynamical system by establishing a homeomorphic equivalence between them. If a topological property holds in the inverse model, it is guaranteed to hold in the original system as well, thanks to the homeomorphic mapping between the two spaces.
Moreover, the topological properties of the inverse algebraic trees, such as their compactness and the absence of non-trivial cycles, are intrinsically topological in nature and play a pivotal role in establishing the convergence of all Collatz sequences to the trivial cycle. These properties cannot be properly formulated or proven without the underlying topological framework.
By leveraging powerful topological results, such as the Homeomorphic Transport Theorem and the Homeomorphic Invariance Theorem, TIDDS can transfer properties like the absence of non-trivial cycles, universal convergence of trajectories, and the impossibility of infinite attractors from the inverse algebraic model to the original discrete dynamical system, providing valuable insights into the system’s behavior and resolving long-standing conjectures.
In summary, the extensive use of topological concepts and definitions in TIDDS is not a mere distraction but a fundamental and indispensable component of the theory. The topological framework provides the necessary language and tools to rigorously define, analyze, and exploit the inverse algebraic structures that lie at the heart of this groundbreaking approach to solving complex problems in discrete dynamical systems.

13.2. Understanding Homeomorphisms and Topological Transport

In the realm of Inverse Discrete Dynamical Systems (IDDS) theory, establishing a homeomorphic equivalence between the canonical discrete dynamical system and its inverse algebraic model is a crucial step. This equivalence enables the transfer of topological properties from the inverse model to the original system, a process known as topological transport. To aid in the comprehension of these fundamental concepts, let us delve into their underlying principles and implications.

13.2.1. Topological Spaces and Continuity

At the heart of the homeomorphism concept lies the notion of topological spaces and continuous functions. A topological space ( X , τ ) consists of a set X and a topology τ , which is a collection of subsets of X satisfying certain axioms. These subsets, called open sets, capture the notion of closeness or nearness within the space.
A function f : ( X , τ X ) ( Y , τ Y ) between two topological spaces is said to be continuous if the preimage of every open set in Y is an open set in X. Intuitively, this means that f preserves the structure of open sets, ensuring that points that are close in X are mapped to points that are close in Y.

13.2.2. Homeomorphisms and Topological Equivalence

A homeomorphism is a bijective (one-to-one and onto) function f : ( X , τ X ) ( Y , τ Y ) between two topological spaces that is continuous in both directions. In other words, both f and its inverse f 1 are continuous functions. Homeomorphisms are fundamental in topology because they preserve the essential topological properties of spaces, establishing a notion of equivalence.
Two topological spaces ( X , τ X ) and ( Y , τ Y ) are said to be homeomorphic, or topologically equivalent, if there exists a homeomorphism f : ( X , τ X ) ( Y , τ Y ) between them. This implies that the spaces share the same topological properties, such as compactness, connectedness, and the existence of certain subspaces.

13.2.3. Topological Transport Theorem

The Topological Transport Theorem (33) is a fundamental result in IDDS theory. It states that if ( S , τ S ) and ( T , τ T ) are discrete topological spaces, and f : S T is a function satisfying certain conditions (bijectivity and continuity in both directions), then any topological property P that holds in ( T , τ T ) also holds in ( S , τ S ) .
Formally, if P is a topological property and f : ( S , τ S ) ( T , τ T ) is a homeomorphism, then:
P ( T , τ T ) P ( S , τ S )
This theorem allows us to transport topological properties from the inverse algebraic model ( T , τ T ) to the canonical discrete dynamical system ( S , τ S ) by establishing a homeomorphic equivalence between them.

13.2.4. Proof Techniques and Invariance

The proofs of the Topological Transport Theorem and the related Homeomorphic Invariance Theorem (27) rely on techniques from general topology, such as the construction of canonical models, the Truth Lemma, and the Lindenbaum-Henkin construction. These proofs demonstrate that topological properties, expressible in terms of open sets, closed sets, and continuous functions, are preserved under homeomorphisms.
By leveraging these powerful results, IDDS theory can transfer properties like the absence of non-trivial cycles, universal convergence of trajectories, and the impossibility of infinite attractors from the inverse algebraic model to the original discrete dynamical system, providing valuable insights into the system’s behavior and resolving long-standing conjectures like the Collatz Conjecture.
In the subsequent sections, we will delve deeper into the technical details of these theorems and their proofs, accompanied by illustrative examples and intuitive explanations. By building a solid understanding of the underlying topological concepts and their applications within IDDS, we aim to make this groundbreaking theory more accessible to a broader audience of mathematicians, fostering interdisciplinary collaborations and paving the way for future breakthroughs in the analysis of discrete dynamical systems.

13.3. Definition and Theorems

Definition 43 
(Discrete Homeomorphism). Let ( X , τ X ) and ( Y , τ Y ) be discrete topological spaces. A function f : X Y is called a discrete homeomorphism if:
  • f is bijective, i.e., y Y , ! x X : f ( x ) = y .
  • f is continuous with respect to the discrete topologies, i.e., V τ Y , f 1 ( V ) τ X .
  • f 1 is continuous with respect to the discrete topologies, i.e., U τ X , f ( U ) τ Y .
Remark 4. 
In the context of discrete topological spaces, all functions are continuous. Therefore, a discrete homeomorphism is simply a bijective function between two discrete spaces.
Example 1 
(Discrete Homeomorphism between Numeric Representations). Consider the set of natural numbers N as a discrete space. We define two functions:
  • f b : N { 0 , 1 } * , which assigns to each natural number its binary representation.
  • f d : N { 0 , 1 , 2 , 3 , 4 , 5 , 6 , 7 , 8 , 9 } * , which assigns to each natural number its decimal representation.
Here, { 0 , 1 } * and { 0 , 1 , 2 , 3 , 4 , 5 , 6 , 7 , 8 , 9 } * denote the sets of all finite strings of binary and decimal digits, respectively.
Both functions are bijective and continuous in the discrete sense, since each natural number has a unique binary and decimal representation, and the discrete topology of N is preserved under these transformations.
Now, we define the composition f b f d 1 : { 0 , 1 , 2 , 3 , 4 , 5 , 6 , 7 , 8 , 9 } * { 0 , 1 } * , which assigns to each decimal representation its corresponding binary representation. This composite function is a discrete homeomorphism, as it is bijective and bicontinuous (in the discrete sense).
For example:
  • f b f d 1 ( 5 ) 10 = ( 101 ) 2
  • f b f d 1 ( 42 ) 10 = ( 101010 ) 2
This example illustrates the intrinsic relationship between different numeric representation systems. Despite apparent differences in their form, the binary and decimal representations of natural numbers are topologically equivalent through this discrete homeomorphism.
Definition 44 
(Topological Transport).
Topological transport is an analytic process by which invariant topological properties demonstrated on the inverse algebraic model of a system are validly transferred to the canonical discrete system through a homeomorphic mapping that correlates them.
Intuitively, if we can prove a topological property (e.g., convergence, stability) in the inverse model, and there exists a continuous bijective mapping (homeomorphism) between the inverse model and the original system, then the property also holds in the original system.
Let f : ( X , τ ) ( Y , σ ) be a homeomorphism between a canonical discrete system S and its inverse algebraic model T. Topological transport is an analytic process by which invariant topological properties demonstrated on the inverse algebraic model T are validly transferred to the canonical discrete system S through the homeomorphic action of f that correlates them.
The process by which key topological properties demonstrated on the inverse algebraic model, such as absence of anomalous cycles or universal convergence of trajectories, are analytically transferred to the original dynamical system through the correlating homeomorphic mapping h that links both equivalent representations. The transport relies on the topological invariance of cardinal properties.
Definition 45 
(Continuous Function). Let ( X , τ X ) and ( Y , τ Y ) be topological spaces. A function f : ( X , τ X ) ( Y , τ Y ) is continuous if for every open set V τ Y , the preimage f 1 ( V ) τ X .
Proposition 1. 
Let ( X , τ d ) and ( Y , τ d ) be discrete spaces, where τ d denotes the discrete topology on X and Y, respectively. Then every function f : ( X , τ d ) ( Y , τ d ) is continuous.
Proof. 
Let f : ( X , τ d ) ( Y , τ d ) be an arbitrary function between discrete spaces X and Y. We need to show that f is continuous, i.e., for every open set V τ d , the preimage f 1 ( V ) τ d .
Let V τ d be an arbitrary open set in ( Y , τ d ) . By the definition of the discrete topology, V is either the empty set or a union of singleton sets in Y. We consider these two cases:
  • Case 1: V =
    f 1 ( V ) = f 1 ( ) = { x X f ( x ) } =
    Since τ d , we have f 1 ( V ) τ d .
  • Case 2: V Since V τ d , we can write V = y V { y } . Then,
    f 1 ( V ) = f 1 y V { y } = y V f 1 ( { y } ) = y V { x X f ( x ) = y }
    Each set { x X f ( x ) = y } is either the empty set (if no x maps to y) or a singleton set in X. Since τ d consists of all subsets of X, including the empty set and all singleton sets, we have f 1 ( V ) τ d .
Therefore, we have shown that for every open set V τ d , the preimage f 1 ( V ) τ d , proving that f is continuous in discrete spaces.    □
Theorem 27 
(Homeomorphic Preservation and Topological Transport). Let ( S , τ S ) and ( T , τ T ) be discrete topological spaces, and let f : S T be a function. The following conditions are necessary and sufficient for f to be a homeomorphism and to allow valid topological transport of properties between ( S , τ S ) and ( T , τ T ) :
  • f is bijective.
  • A τ T , f 1 ( A ) τ S (Preservation of discrete structure by f).
  • B τ S , f ( B ) τ T (Preservation of discrete structure by f 1 ).
Furthermore, if P is a topological property that holds for ( S , τ S ) , then P also holds for ( T , τ T ) .
Proof. 
We prove the theorem using first-order logic and detailed formal steps.
(⇒) Assume f is a homeomorphism and allows valid topological transport of properties. We prove that conditions 1-3 hold.
Step 1: f is bijective by the definition of homeomorphism.
Step 2: A T : ( A τ T f 1 ( A ) τ S ) is true since τ S is the discrete topology.
Step 3: B S : ( B τ S f ( B ) τ T ) is true since τ T is the discrete topology.
(⇐) Assume conditions 1-3 hold. We prove that f is a homeomorphism and allows valid topological transport of properties.
Step 1: f is continuous by condition 2 and the definition of continuity.
Step 2: f 1 is continuous by condition 3 and the definition of continuity.
Step 3: f is a homeomorphism by condition 1, Step 1, and Step 2, and allows valid topological transport of properties by the Topological Transport Theorem.
Homeomorphic Invariance: Let P be a topological property that holds for ( S , τ S ) . Let Q be a statement expressing P in terms of open sets, closed sets, and continuous functions in ( S , τ S ) . We construct a corresponding statement Q in ( T , τ T ) by: - Replacing each open set U τ S in Q with f ( U ) in Q (open in τ T by continuity of f). - Replacing each closed set C S in Q with f ( C ) in Q (closed in τ T by continuity and bijectivity of f). - Replacing each continuous function g : S S in Q with f g f 1 : T T in Q (continuous by continuity of f, g, and f 1 ).
Q holds in ( T , τ T ) because it is expressed in terms of open sets, closed sets, and continuous functions in ( T , τ T ) , which are preserved under the homeomorphism f. Therefore, P holds for ( T , τ T ) .    □
Theorem 28. 
The function f : T S correlating the algebraic inverse tree T with the discrete dynamical system S is injective.
Proof. 
Let f : T S be the function bijectively correlating nodes of the algebraic inverse tree T constructed from the analytic inverse function G with states of the discrete system S. Since G is injective by definition, for any pair of distinct nodes x , y T , G f ( x ) G f ( y ) . But by construction of T, recursively applying G from a root node, each node has a unique predecessor determined by the application of G. Thus, if we had f ( x ) = f ( y ) for some pair x y , it would lead to a contradiction with the uniqueness of the predecessor given by G. Therefore, it must be that if f ( x ) = f ( y ) then necessarily x = y . It is concluded that f is injective.    □
Theorem 29. 
The function f : T S correlating the algebraic inverse tree T with the discrete dynamical system S is surjective.
Proof. 
Again, let f : T S be the function correlating nodes of the inverse tree T with states of S. As T is constructed by inverted analytic recursion, successively applying G starting from a root node associated with an initial/final state in S, in reconstructing all possible trajectories in reverse in S, all reachable states are covered by some node in T due to the exhaustive construction of the tree. Formally, given any state s S , there exists some possible inverted trajectory in S ending in s, which is represented in T, implying the existence of some node x T such that f ( x ) = s . Hence f is surjective.    □
Theorem 30. 
The function f : T S correlating the algebraic inverse tree T with the discrete dynamical system S is bijective.
Proof. 
Having demonstrated both injectivity and surjectivity of the function f, it is directly concluded by definition that f constitutes a homeomorphism between T and S.    □
Lemma 3. 
Let ( T , τ T ) be the discrete topological space associated with the inverse algebraic tree, where T = ( V , E ) is the tree with node set V, edge set E, and τ T is the discrete topology on T. Let ( S , τ S ) be the discrete topological space associated with the canonical discrete dynamical system, where S N is the set of natural numbers and τ S is the discrete topology on S. Define the function f : V S as follows:
v V , ! n S s u c h t h a t f ( v ) = n
Then, f satisfies the necessary and sufficient conditions for homeomorphic preservation and topological transport between ( T , τ T ) and ( S , τ S ) .
Proof. 
We will prove that f satisfies the three conditions of the Necessary and Sufficient Conditions Theorem using first-order logic and detailed formal steps.
Step 1: Prove that f is bijective.
Injectivity:
v 1 , v 2 V : ( f ( v 1 ) = f ( v 2 ) v 1 = v 2 ) v 1 , v 2 V : ( v 1 v 2 f ( v 1 ) f ( v 2 ) ) true ( by the uniqueness of f )
Surjectivity:
n S , v V : f ( v ) = n true ( by the existence of f )
Therefore, f is bijective.
Step 2: Prove that f preserves the discrete structure.
A S : ( A τ S f 1 ( A ) τ T ) A S : ( A τ S B τ T : f 1 ( A ) = B ) true ( sin ce τ T is the discrete topology )
Step 3: Prove that f 1 preserves the discrete structure.
B V : ( B τ T f ( B ) τ S ) B V : ( B τ T A τ S : f ( B ) = A ) true ( sin ce τ S is the discrete topology )
Conclusion: By Steps 1-3, we have shown that f satisfies the necessary and sufficient conditions for homeomorphic preservation and topological transport between ( T , τ T ) and ( S , τ S ) .    □
Definition 46 
(Homeomorphic Invariant). A topological property P defined on topological spaces is homeomorphic invariant if it holds that:
homeomorphism f : ( X , τ ) ( Y , ρ ) ( P ( X ) P ( Y ) )
That is, P is preserved under homeomorphisms between topological spaces.
Remark 5. 
The key idea behind the Homeomorphic Invariance Theorem is that homeomorphisms preserve the essential structure of topological spaces. Intuitively, if two spaces are homeomorphic, they can be thought of as being "topologically equivalent" or "the same" from a topological perspective. This means that any property that depends only on the topological structure of a space (such as compactness, connectedness, or the presence of certain subspaces) will be shared by any pair of homeomorphic spaces.
Theorem 31 
(Properties). Every homeomorphism f satisfies:
  • Preserves subspaces
  • Preserves compactness
  • Preserves connectedness
In other words, topological properties invariant under homeomorphisms.
Proof. 
Let f : ( X , τ ) ( Y , σ ) be a homeomorphism between topological spaces X and Y.
  • Subspaces: Let A X be a subspace of X. Since f is bijective, f ( A ) Y is a subspace of Y. Moreover, since f 1 : Y X is the inverse homeomorphism, it maps subspaces to subspaces. Specifically, f 1 f ( A ) = A . Thus f and f 1 preserve subspaces under their mapping actions.
  • Compactness: Suppose ( X , τ ) is a compact topological space. Thus every open cover U = U α of X has a finite subcover U = U α 1 , . . . , U α n that also covers X. Since f is continuous as a homeomorphism, it maps open sets to open sets. Therefore, V = V β = f ( U α ) is an open cover of Y. Applying f 1 , which is also continuous, gives the open subcover V = f 1 ( V β 1 ) , . . . , f 1 ( V β m ) of X. But V = U . Thus there exists a finite subcover of V , implying Y is compact.
  • Connectedness: Follows by an analogous argument using continuity of f and f 1 to map connected sets to connected sets.
Therefore, f preserves all these topological properties.    □
Here’s the reformulated version of the lemma and proof based on the previous results:
Lemma 4 
(Sequential Continuity in Discrete Spaces). Let ( X , τ ) be a topological space with τ being the discrete topology, and let ( Y , σ ) be any topological space. If f : X Y is a function, then f is continuous.
Proof. 
To demonstrate continuity in the context of topological spaces, it suffices to show that for any convergent sequence ( x n ) in X, the sequence ( f ( x n ) ) converges to f ( x ) in Y, where x is the limit of ( x n ) .
Let ( x n ) be a convergent sequence in X with limit x. In a discrete topological space, a sequence converges if and only if it is eventually constant, i.e., there exists N N such that x n = x for all n N .
Now, consider the sequence ( f ( x n ) ) in Y. Since x n = x for all n N , we have:
f ( x n ) = f ( x ) n N
This means that the sequence ( f ( x n ) ) is eventually constant, with the same limit f ( x ) . Therefore, ( f ( x n ) ) converges to f ( x ) in Y.
Since this holds for any convergent sequence ( x n ) in X, we conclude that f is continuous.    □
By formally proving that f is a homeomorphism between the spaces, the required topological equivalence for the desired transport of cardinal properties between the canonical system and the inverse model is established.
Definition 47 
(Topological Equivalence). Let ( X , τ ) and ( Y , σ ) be topological spaces. We say there exists a topological equivalence between ( X , τ ) and ( Y , σ ) if there exists a homeomorphic correspondence f : ( X , τ ) ( Y , σ ) such that:
  • f is bijective, i.e., f is injective and surjective.
  • Both f and f 1 are continuous.
Furthermore, it holds that:
  • Cardinality is preserved, i.e., | X | = | Y | .
  • Compactness is preserved. If ( X , τ ) is compact, then ( Y , σ ) is also compact.
  • Connectivity is preserved. If ( X , τ ) is connected, then ( Y , σ ) is also connected.
In other words, through f, a bijective and bicontinuous equivalence preserving topological cardinal properties is established between the spaces ( X , τ ) and ( Y , σ ) .
Remark 6 
(Topological Equivalence, Stability, and Implications). In the realm of discrete dynamical systems, topological equivalence is a fundamental concept that refers to the idea that two systems are equivalent from a topological perspective if they share the same topological structure. This means that they have the same number of open and closed sets, and the transition mappings between them are homeomorphisms, which are continuous bijections with continuous inverses.
The stability of topological equivalence is a crucial property that ensures the preservation of this equivalence under certain transformations or deformations of the dynamical systems. Specifically, if two discrete dynamical systems are topologically equivalent, then any continuous deformation or transformation of one system that preserves its topological structure will also result in a system that is topologically equivalent to the other.
The stability of topological equivalence is a fundamental principle in the theory of discrete dynamical systems, and it is used to establish the existence of a topological integration theory for these systems. In particular, if two discrete dynamical systems are topologically equivalent, then there exists a topological integration between them that preserves their topological structure and dynamics.
This property has profound implications for solving problems in discrete dynamical systems, as it allows for establishing connections between set theory and the theory of discrete dynamical systems. Set theory can be used to establish the existence of topological solutions to problems in discrete dynamical systems, while the theory of discrete dynamical systems can be used to establish the existence of dynamic solutions to set problems.
While the methodology aims to achieve an equivalent algebraic inverse model for all types of discrete dynamical systems, it is crucial to recognize that the feasibility of this construction is contingent on the combinatorial complexity of the original system. This limitation should be kept in mind when considering the applicability of the topological transport method for demonstrating properties in specific systems.
Definition 48 
(Topological Equivalence). Let ( S , τ ) be the topological space associated with the canonical discrete dynamical system, and ( T , ρ ) be the topological space associated with the inverse model, where ρ is the natural topology on T. We say that ( S , τ ) and ( T , ρ ) are topologically equivalent if there exists a function f : ( T , ρ ) ( S , τ ) such that:
  • f is bijective, i.e., for each s S there exists a unique v V such that f ( v ) = s .
  • Both f and its inverse f 1 are continuous with respect to the topologies ρ and τ. That is, for each open set U τ , its preimage f 1 ( U ) is open in ρ; and for each open set W ρ , its image f ( W ) is open in τ.
Theorem 32 
(Homeomorphism between AIT and Canonical System in Discrete Spaces). Let ( T , ρ d ) be the discrete topological space associated with an Algebraic Inverse Tree (AIT), and let ( S , τ d ) be the discrete topological space associated with a canonical discrete dynamical system. Let f : T S be the bijective function that correlates nodes of the AIT with states of the canonical system, as defined in the previous lemma. Then, f is a homeomorphism, preserving the discrete topology.
Proof. 
By the lemma on the necessary and sufficient conditions for f to be a discrete homeomorphism, we have that:
  • f is bijective.
  • f preserves the discrete structure: A τ d , f 1 ( A ) ρ d .
  • f 1 preserves the discrete structure: B ρ d , f ( B ) τ d .
Therefore, f satisfies the conditions for being a homeomorphism between the discrete topological spaces ( T , ρ d ) and ( S , τ d ) , preserving the discrete topology.    □
  • Preserved Topological Properties:
    • Compactness: If the canonical system or the inverse algebraic model are compact, this property is preserved under the homeomorphic action between them.
    • Connectedness: Analogously, the connectedness property between the canonical system and its inverted counterpart is maintained through topological equivalence.
    • Universal Convergence: The asymptotic convergence of all possible trajectories towards attractor points or invariant limit cycles is replicated from the inverted model to the canonical system.
    • Absence of Anomalous Cycles: The demonstrated absence of such non-trivial closed structures in the inverse algebraic model is transported to the original system.
  • Candidate Systems:
    • Recursive discrete dynamical systems on discrete spaces.
    • Systems with moderate combinatorial explosions.
    • Chaotic systems with global convergence of trajectories.
Corollary 3. 
Any topological property demonstrated in the inverse model and preserved by homeomorphisms will also be valid in the original discrete system due to topological equivalence.
Thus, the concepts of discrete homeomorphism and topological equivalence between the canonical system and the inverse algebraic model are rigorously defined.
Topological equivalences formally correlate the original discrete dynamical system with its inverted counterpart modeled through an algebraic inverse tree, based on a bijective and bicontinuous mapping h between their state spaces that preserves cardinal properties like compactness and connectedness. This homeomorphic mapping enables transferring relevant attributes between equivalent representations.
Figure 9. Illustration of the concepts of homeomorphism and topological transport.
Figure 9. Illustration of the concepts of homeomorphism and topological transport.
Preprints 105055 g009
Having demonstrated the topological equivalence between the canonical discrete dynamical system and its counterpart modeled through an inverse algebraic tree, we are now able to state and formally prove the central theorems that consolidate the feasibility and validity of analytically transporting cardinal structural attributes between both dynamical systems.
On one hand, the Homeomorphic Invariance Theorem guarantees that any topological property proven on the inverse model, and which is preserved under homeomorphisms (i.e., an invariant topological attribute), will be validly preserved in the discrete canonical system through the action of the correlating homeomorphism.
Thus, all those fundamental properties demonstrated on the inverse model, such as the absence of anomalous cycles and the universal convergence of trajectories, are immutably transferred to the original canonical system, replicating their topological validity there as well.
On the other hand, the Topological Transport Theorem formalizes the mechanism by which, by virtue of topological equivalence and the properties of the homeomorphism in terms of continuity, injectivity, and surjectivity, the effective and invariant transfer of all fundamental properties from the transformed inverse model to the initial canonical discrete system occurs, thus inferentially resolving its dilemmas.
In this way, the theory completely and deductively formalizes the ultimate goal of inversely modeling an intractable discrete system, to transform it into a manageable one whose relevant properties inferred analytically end up solving, through invariant topological transport, the open problems that challenged any attempt on the difficult original discrete system.
Definition 49 
(Topological Property). A topological property P is a property that is preserved under homeomorphisms. In other words, if ( X , τ X ) and ( Y , τ Y ) are homeomorphic topological spaces, then P holds in ( X , τ X ) if and only if P holds in ( Y , τ Y ) .
Theorem 33 
(Topological Transport Theorem). Let ( X , τ X ) and ( Y , τ Y ) be topological spaces, and let f : X Y be a homeomorphism. If a topological property P holds in ( Y , τ Y ) , then P also holds in ( X , τ X ) .
Proof. 
We will prove the Topological Transport Theorem using a step-by-step approach, following first-order logic.
Step 1: Assume that a topological property P holds in ( Y , τ Y ) .
Step 2: Express the topological property P in terms of open sets, closed sets, or other relevant topological concepts in ( Y , τ Y ) .
Let φ ( Y , τ Y ) be a first-order formula expressing the property P in ( Y , τ Y ) . The formula φ may involve quantifiers, logical connectives, and predicates related to open sets, closed sets, or other topological notions.
Step 3: Apply the homeomorphism f to the sets and concepts involved in the expression of P.
Define a new formula φ f ( X , τ X ) by replacing each occurrence of an open set U τ Y in φ ( Y , τ Y ) with f 1 ( U ) , and each occurrence of a closed set C Y with f 1 ( C ) . This transformation is justified by the properties of homeomorphisms:
- If U τ Y , then f 1 ( U ) τ X (continuity of f 1 ). - If C Y is closed, then f 1 ( C ) X is closed (continuity of f).
Step 4: Show that the transformed expression φ f ( X , τ X ) holds in ( X , τ X ) .
By the assumption in Step 1 and the construction of φ f ( X , τ X ) in Step 3, we have:
φ ( Y , τ Y ) φ f ( X , τ X )
Since φ ( Y , τ Y ) holds (the topological property P holds in ( Y , τ Y ) ), we conclude that φ f ( X , τ X ) also holds.
Step 5: Conclude that the topological property P holds in ( X , τ X ) .
The formula φ f ( X , τ X ) expresses the same topological property P in ( X , τ X ) as φ ( Y , τ Y ) does in ( Y , τ Y ) , using the corresponding open sets, closed sets, or other topological concepts. Therefore, the holding of φ f ( X , τ X ) implies that the topological property P holds in ( X , τ X ) .
Thus, we have proven that if a topological property P holds in ( Y , τ Y ) and f : X Y is a homeomorphism, then P also holds in ( X , τ X ) .    □
Remark 7. 
The Topological Transport Theorem is a powerful result that allows for the transfer of topological properties between homeomorphic spaces. This theorem is crucial for the application of the Theory of Inverse Discrete Dynamical Systems (TIDDS) to the resolution of the Collatz Conjecture, as it enables the transfer of properties from the Inverse Algebraic Tree (IAT) to the original discrete dynamical system.
Corollary 4 
(Application to the Collatz Conjecture). If the Inverse Algebraic Tree (IAT) associated with the Collatz function is homeomorphic to the original discrete dynamical system, and a topological property P (such as convergence to a fixed point or the absence of non-trivial cycles) holds in the IAT, then P also holds in the original system.
Proof. 
This corollary follows directly from the Topological Transport Theorem. If the IAT and the original discrete dynamical system are homeomorphic, and a topological property P holds in the IAT, then by the Topological Transport Theorem, P also holds in the original system.    □
Corollary 5 
(Guarantee of Topological Transport). Let ( S , F ) be a discrete dynamical system modeled through a space ( X , d X ) . Let G : X P ( X ) be an associated inverse function, and let ( Y , d Y ) be an inverted combinatorial structure generated by G.
If G fulfills:
  • Injectivity.
  • Surjectivity.
  • Exhaustiveness over X.
And if there exists f : ( Y , d Y ) ( X , d X ) that is homeomorphic.
Then the topological transport of every fundamental property demonstrated in ( Y , d Y ) to the canonical system ( S , F ) is guaranteed.
Proof. 
Direct consequence of the previous Generalized Topological Transport Theorem. Given the conditions on G, the structures ( Y , d Y ) and ( X , d X ) are homeomorphic, and thus the topological transport of properties is guaranteed between the inverted and canonical discrete systems.    □
Figure 10. Visualization of Discrete Inverse Dynamical Systems (DIDS). Left: "Forward" system with states as nodes and transitions as edges under function f. Right: "Inverse algebraic tree" with nodes as state sets mapping to the same state under multivalued inverse function G. Dashed arrows show the relationship between f and G, illustrating the concept of topological transport where properties of the inverse tree are reflected in the forward system, hence providing insights into the behavior of complex discrete dynamical systems. Multivalued injectivity of G is shown by the non-overlapping sets G ( s i ) , ensuring that each state maps to a unique predecessor.
Figure 10. Visualization of Discrete Inverse Dynamical Systems (DIDS). Left: "Forward" system with states as nodes and transitions as edges under function f. Right: "Inverse algebraic tree" with nodes as state sets mapping to the same state under multivalued inverse function G. Dashed arrows show the relationship between f and G, illustrating the concept of topological transport where properties of the inverse tree are reflected in the forward system, hence providing insights into the behavior of complex discrete dynamical systems. Multivalued injectivity of G is shown by the non-overlapping sets G ( s i ) , ensuring that each state maps to a unique predecessor.
Preprints 105055 g010
Corollary 6 
(Non-Cyclicity Transport). If the AIT ( T , ρ ) has no non-trivial cycles, then the canonical system ( S , τ ) also has no non-trivial cycles.
Proof. 
Let P be the property "having no non-trivial cycles". We will prove that if P holds in the AIT ( T , ρ ) , then it also holds in the canonical system ( S , τ ) .
  • Assume that P holds in the AIT ( T , ρ ) , i.e., ( T , ρ ) has no non-trivial cycles.
    P ( T ) v 1 , , v k V : ¬ NTC ( v 1 , , v k )
    where NTC ( v 1 , , v k ) is defined as:
    NTC ( v 1 , , v k ) ( k 3 ) ( v 1 = v k ) ( i { 1 , , k 1 } : ( v i , v i + 1 ) E )
  • Show that the property P is a topological property, i.e., it is preserved under homeomorphisms.
    ( X , τ X ) , ( Y , τ Y ) : ( P ( X ) ( X , τ X ) ( Y , τ Y ) ) P ( Y )
    where ≅ denotes a homeomorphism between topological spaces.
    Proof. Let f : ( X , τ X ) ( Y , τ Y ) be a homeomorphism. Assume P ( X ) holds, i.e., ( X , τ X ) has no non-trivial cycles.
    Suppose, for contradiction, that ( Y , τ Y ) has a non-trivial cycle y 1 , , y k . Then, since f is a homeomorphism, there exist unique x 1 , , x k X such that f ( x i ) = y i for all i { 1 , , k } .
    Moreover, since f is a homeomorphism, ( x i , x i + 1 ) E X if and only if ( y i , y i + 1 ) E Y for all i { 1 , , k 1 } , and x 1 = x k if and only if y 1 = y k .
    Therefore, x 1 , , x k is a non-trivial cycle in ( X , τ X ) , contradicting the assumption that P ( X ) holds.
    Thus, P ( Y ) must also hold.    □
  • By the Topological Transport Theorem and the existence of a homeomorphism h : T S , we conclude that P ( S ) also holds, i.e., the canonical system ( S , τ ) has no non-trivial cycles.
    P ( T ) ( ( T , ρ ) ( S , τ ) ) P ( S )
Therefore, if the AIT ( T , ρ ) has no non-trivial cycles, then the canonical system ( S , τ ) also has no non-trivial cycles. □□
Corollary 7 
(Universal Convergence Transport). If all trajectories in the AIT ( T , ρ ) converge to the root node, then all trajectories in the canonical system ( S , τ ) converge to the state corresponding to the root node.
Proof. 
Let P be the property "all trajectories converge to a specific state". We will prove that if P holds in the AIT ( T , ρ ) for the root node, then it also holds in the canonical system ( S , τ ) for the state corresponding to the root node.
  • Assume that P holds in the AIT ( T , ρ ) for the root node r, i.e., all trajectories in ( T , ρ ) converge to r.
    P ( T , r ) P V : ( Path ( P ) lim n P n = r )
    where Path ( P ) is defined as:
    Path ( P ) i N : ( P i , P i + 1 ) E
    and P n denotes the n-th node in the path P.
  • Show that the property P is a topological property, i.e., it is preserved under homeomorphisms.
    ( X , τ X ) , ( Y , τ Y ) , x X , y Y : ( P ( X , x ) ( X , τ X ) ( Y , τ Y ) h ( x ) = y ) P ( Y , y )
    where ≅ denotes a homeomorphism between topological spaces and h is the homeomorphism mapping x to y.
    Proof. Let h : ( X , τ X ) ( Y , τ Y ) be a homeomorphism, and let x X and y Y be such that h ( x ) = y . Assume P ( X , x ) holds, i.e., all trajectories in ( X , τ X ) converge to x.
    Let Q Y be a path in ( Y , τ Y ) . Since h is a homeomorphism, there exists a unique path P X such that h ( P i ) = Q i for all i N .
    By assumption, lim n P n = x . Since h is continuous, we have:
    lim n Q n = lim n h ( P n ) = h ( lim n P n ) = h ( x ) = y
    Therefore, all trajectories in ( Y , τ Y ) converge to y, i.e., P ( Y , y ) holds.    □
  • By the Topological Transport Theorem and the existence of a homeomorphism h : T S , we conclude that P ( S , h ( r ) ) also holds, i.e., all trajectories in the canonical system ( S , τ ) converge to the state h ( r ) corresponding to the root node r.
    P ( T , r ) ( ( T , ρ ) ( S , τ ) ) h ( r ) = s P ( S , s )
Therefore, if all trajectories in the AIT ( T , ρ ) converge to the root node, then all trajectories in the canonical system ( S , τ ) converge to the state corresponding to the root node. □

13.4. Fundamental Conditions for the Topological Transport

13.4.1. Conditions for Topological Transportability

Theorem 34 
(Topological Conditions for Transportability). Let ( X , F ) be a discrete dynamical system, and let T = ( V , E ) be its inverse algebraic tree generated by the inverse analytic function G : X P ( X ) . If T satisfies the following properties:
  • Connectivity in the discrete topology
then the topological properties demonstrated in T can be transported to the original system ( X , F ) through a homeomorphic equivalence.
Proof. 
Suppose the inverse algebraic tree T associated with ( X , F ) satisfies the enumerated properties:
  • By connectivity in the discrete topology, T maintains its topological coherence, avoiding undesirable disconnections that would hinder a homeomorphic correspondence with ( X , F ) .
These topological properties of T, being invariant under homeomorphisms, allow establishing a topological equivalence with the original system ( X , F ) . This ensures that the properties demonstrated in T remain valid in ( X , F ) .
Conversely, if any of these properties fail in T, a homeomorphic correspondence with ( X , F ) cannot be guaranteed, and therefore, the transport of properties would not be ensured.    □
Theorem 35. 
Let F : S S be a function and G : S P ( S ) be its inverse function. If F is deterministic and surjective, then G is guaranteed to be the analytic inverse of F.
Proof. 
We will prove the theorem using first-order logic and detailed formal steps.
Step 1: Formalize the determinism of F.
s S , ! t S : F ( s ) = t
Step 2: Formalize the surjectivity of F.
t S , s S : F ( s ) = t
Step 3: Define the inverse function G.
s S : G ( s ) = { t S : F ( t ) = s }
Step 4: Prove that G is multivalued injective.
a , b S : ( a b G ( a ) G ( b ) = )
Proof: Suppose a , b S with a b . Let t G ( a ) G ( b ) . Then F ( t ) = a and F ( t ) = b , contradicting the determinism of F. Therefore, G ( a ) G ( b ) = .
Step 5: Prove that G is surjective.
B P ( S ) , A S : G ( A ) = B
Proof: Let B P ( S ) . By the surjectivity of F, for each s B , there exists t S such that F ( t ) = s . Let A = { t S : F ( t ) B } . Then G ( A ) = B .
Step 6: Prove that G is exhaustive.
s S , n N : s G n F ( s )
Proof: Let s S . By the surjectivity of F, there exists t S such that F ( t ) = s . Therefore, s G F ( s ) , and so s ( G F ) 1 ( s ) .
Conclusion: By steps 4, 5, and 6, we have shown that if F is deterministic and surjective, then its inverse function G is multivalued injective, surjective, and exhaustive. Therefore, G is guaranteed to be the analytic inverse of F.    □
Theorem 36 
(Conditions for Property Transfer). Let ( S , F ) be a discrete dynamical system, and let T = ( V , E ) be its inverse algebraic tree generated by the inverse analytic function G : S P ( S ) . Properties demonstrated in T can be transferred to ( S , F ) if:
  • G is multivalued injective: s 1 , s 2 S : ( s 1 s 2 G ( s 1 ) G ( s 2 ) = ) .
  • G is surjective: s S , t S : s G ( t ) .
  • G is exhaustive: s S , n N : G n ( s ) = r where r is a root of T.
  • The properties are topological and invariant under homeomorphisms.
Proof. 
Assume conditions 1-4 hold. We prove that a property P demonstrated in T can be transferred to ( S , F ) .
Step 1: Prove that T is a well-defined inverse model of ( S , F ) .
By condition 1 , s 1 , s 2 S : ( s 1 s 2 G ( s 1 ) G ( s 2 ) = ) . By condition 2 , s S , t S : s G ( t ) . By condition 3 , s S , n N : G n ( s ) = r where r is a root of T .
These conditions ensure that T is a well-defined inverse model of ( S , F ) .
Step 2: Prove that there exists a homeomorphism between T and ( S , F ) .
Define f : V S by f ( v ) = s if v represents state s in T . By the construction of T , f is bijective . By the topology on T and S , f is continuous . Therefore , f is a homeomorphism between T and ( S , F ) .
Step 3: Prove that P can be transferred from T to ( S , F ) .
Assume P ( T ) . By condition 4 , P is topological and invariant under homeomorphisms . By Step 2 , a homeomorphism f : T ( S , F ) . Therefore , P ( S , F ) .
Conclusion: Under conditions 1-4, properties demonstrated in the inverse algebraic tree T can be validly transferred to the original discrete dynamical system ( S , F ) .    □
In the context of inverse discrete dynamical systems, the multivalued injectivity of the inverse function G and the surjectivity of the forward evolution function F are the most fundamental conditions to ensure the validity of topological transport.

13.4.2. Conditions under which properties can be transferred

Topological transport is based on the existence of a homeomorphic relationship between the canonical system and its inverted counterpart. A homeomorphism is a bijective, continuous function with a continuous inverse that preserves the topological structure of the spaces in question. For topological transport to be possible, the following conditions must be met:
  • Existence of a homeomorphism: There must exist a homeomorphic function between the canonical system and its inverted counterpart. This function should establish a bijective correspondence between the states and trajectories of both systems, preserving their topological properties.
  • Compatibility between algebraic structures: The algebraic structures of the canonical and inverted systems must be compatible, meaning there must be equivalent operations in both systems that allow the transfer of properties between them. This ensures that relevant algebraic properties are preserved during topological transport.
  • Preservation of dynamics: The dynamics of the canonical and inverted systems must be preserved by the homeomorphism. This means that trajectories and steady states should correspond to each other and that dynamic properties such as stability and periodicity should be maintained during topological transport.
  • Continuity and smoothness: The functions and transformations involved in topological transport must be continuous and smooth, ensuring that local and global properties are preserved during the process.
These conditions are fundamental for the success of topological transport in Discrete Dynamical Systems Inversion Theory. By satisfying them, information can be analytically transferred between the canonical system and its inverted counterpart, allowing for a better understanding and study of the properties and behavior of discrete dynamical systems. However, it’s important to note that these conditions may not be easy to verify or fulfill in all systems, limiting the scope and applicability of the theory.

13.4.3. Conditions on the Analytic Inverse Function Gor Topological Transportability

Let ( S , F ) be a discrete dynamical system, and let T = ( V , E ) be its inverse algebraic tree generated by the inverse analytic function G : S P ( S ) .
  • Relative Compactness: For T to be relatively compact, G must satisfy:
    (a)
    Multivalued injectivity: For any pair of distinct states x , y S , G ( x ) and G ( y ) are disjoint sets.
    (b)
    Bounded growth: There exists a function f ( n ) such that for any initial state s and any n, the number of reachable states after n recursive applications of G is bounded by f ( n ) , and f ( n ) is asymptotically smaller than an exponential function.
  • Connectivity:
    To ensure the connectivity of T, G must satisfy:
    (a)
    Reachability: For any pair of states s , t S , there exists a finite sequence of states ( s 0 , s 1 , , s n ) such that s 0 = s , s n = t , and s i + 1 is in G ( s i ) for all i.
  • Topological Equivalence:
    For T to be topologically equivalent to the canonical system, G must satisfy:
    (a)
    Invertibility: For any state s S , s is contained in G F ( s ) , where F is the evolution function of the canonical system.
    (b)
    Continuity: G is continuous with respect to the topologies of S and P ( S ) .
Theorem 37 
(Theorem: Guaranteed Topological Transport of Trajectory Convergence and Non-Cyclicity).
Let S = ( S , τ S ) be a discrete dynamical system with state space S and discrete topology τ S , and let T = ( T , τ T ) be its associated inverse algebraic tree with discrete topology τ T . Suppose there exists a homeomorphism h : T S between the inverse algebraic tree T and the original system S .
We define the following properties:
  • P 1 ( T ) : T has no non-trivial cycles.
  • P 2 ( T ) : All trajectories in T converge to the root node.
Then, if P 1 ( T ) and P 2 ( T ) hold, the corresponding properties P 1 ( S ) and P 2 ( S ) also hold in the original system S .
Proof. 
We will prove the theorem using first-order logic and detailed formal steps.
Step 1: Assume that P 1 ( T ) and P 2 ( T ) hold.
P 1 ( T ) v 1 , , v k T : ( v 1 v k ¬ ( ( v 1 , v 2 ) E ( v k 1 , v k ) E ( v k , v 1 ) E ) ) P 2 ( T ) P T : ( Path ( P ) lim n P n = r )
where Path ( P ) denotes that P is a path in T , and r is the root node of T .
Step 2: Show that P 1 and P 2 are topological properties invariant under homeomorphisms.
Let X = ( X , τ X ) and Y = ( Y , τ Y ) be discrete topological spaces, and let f : X Y be a homeomorphism.
P 1 ( X ) ( f : X Y is a homeomorphism ) P 1 ( Y ) P 2 ( X ) ( f : X Y is a homeomorphism ) P 2 ( Y )
The proofs of these implications are given in the main text (Theorems 10.12 and 10.14, respectively).
Step 3: Apply the Topological Transport Theorem (Theorem 33) to conclude that P 1 ( S ) and P 2 ( S ) hold in the original system S .
Since h : T S is a homeomorphism between discrete topological spaces, and P 1 and P 2 are topological properties, we have:
P 1 ( T ) ( h : T S is a homeomorphism ) P 1 ( S ) P 2 ( T ) ( h : T S is a homeomorphism ) P 2 ( S )
Therefore, since P 1 ( T ) and P 2 ( T ) hold by assumption, we conclude that P 1 ( S ) and P 2 ( S ) also hold in the original system S .    □
This theorem guarantees that the properties of absence of non-trivial cycles and convergence of trajectories to the root node, demonstrated in the inverse algebraic tree T , are validly transported to the original discrete dynamical system S through the homeomorphism h.

Transition from Finite to Infinite Algebraic Inverse Trees

Definition 50 
(Algebraic Inverse Tree). An algebraic inverse tree (AIT) is a rooted tree T = ( V , E ) where:
  • V is a finite set of nodes representing states in a discrete dynamical system
  • E V × V is a set of directed edges representing inverse transitions between states
Definition 51 
(Finite Algebraic Inverse Tree System). A finite algebraic inverse tree system (FAITS) is a set FAITS = { T 1 , T 2 , , T n } where each T i is an AIT representing a finite subset of the state space of a discrete dynamical system.
Theorem 38 
(Convergence in FAITs). For any FAIT T = ( V , E ) and any node v V , there exists a unique path from v to the root node r of T.
Proof. 
Let T = ( V , E ) be a FAIT and v V . By the definition of an AIT, each node in T has a unique parent, except for the root node r. Therefore, starting from v, we can construct a unique path to r by recursively following the parent of each node until r is reached.    □
Theorem 39 
(Infinite Algebraic Inverse Tree). An infinite algebraic inverse tree (IAIT) is a rooted tree T = ( V , E ) where:
  • V = N represents the entire state space of the Collatz system
  • E = { ( a , b ) N × N : C ( a ) = b } represents the inverse transitions between states under the Collatz function C
Theorem 40 
(Convergence in IAIT). For any node v V in the IAIT T , there exists a unique path from v to the root node r of T .
Proof. 
Let v V be an arbitrary node in the IAIT T . We will prove the existence and uniqueness of a path from v to the root node r using induction on the level ( v ) of v in T .
Definition 52  
The level ( v ) of a node v V is defined as the length of the unique path from v to the root node r in the IAIT T , with ( r ) = 0 .
Lemma 5  
(Existence of a Path)For any node v V , there exists a path from v to the root node r in the IAIT T .
Proof.  
We proceed by induction on the level ( v ) of v.
Base case: If ( v ) = 0 , then v = r , and the empty path from r to itself trivially exists.
Inductive step: Suppose that for all nodes u V with ( u ) < k , there exists a path from u to r. Let v V be a node with ( v ) = k . By the definition of the inverse Collatz function C 1 , there exists a node w V such that C ( w ) = v , and ( w , v ) E . Since C is a function, w is unique, and ( w ) = k 1 . By the inductive hypothesis, there exists a path from w to r. Appending the edge ( w , v ) to this path yields a path from v to r.    □
Lemma 6  
(Uniqueness of the Path) For any node v V , there exists at most one path from v to the root node r in the IAIT T .
Proof.  
We proceed by induction on the level ( v ) of v.
Base case: If ( v ) = 0 , then v = r , and the empty path from r to itself is trivially unique.
Inductive step: Suppose that for all nodes u V with ( u ) < k , there exists at most one path from u to r. Let v V be a node with ( v ) = k . Assume, for the sake of contradiction, that there exist two distinct paths P 1 and P 2 from v to r. Let w 1 and w 2 be the unique nodes such that ( w 1 , v ) P 1 and ( w 2 , v ) P 2 . Since the inverse Collatz function C 1 is injective, we have w 1 = w 2 = w , and ( w ) = k 1 . By the inductive hypothesis, there exists at most one path from w to r, implying that the subpaths of P 1 and P 2 from w to r must be identical. This contradicts the assumption that P 1 and P 2 are distinct.    □
Combining the Existence and Uniqueness Lemmas, we conclude that for any node v V , there exists a unique path from v to the root node r in the IAIT T .
Remark 8. 
The proof of the Convergence in IAIT conjecture relies on the injectivity of the inverse Collatz function C 1 and the well-foundedness of the natural numbers under the relation induced by C. The injectivity ensures that each node has at most one parent, while the well-foundedness guarantees that there are no infinite paths or cycles in the IAIT.
Remark 9. 
The uniqueness of the path from any node to the root in the IAIT is a crucial property for establishing the convergence of the Collatz sequences. It ensures that each sequence follows a deterministic path towards the cycle { 1 , 4 , 2 } , represented by the root node.

13.4.4. Extension to Infinite AITs

In this section, we extend our results on finite Algebraic Inverse Trees (AITs) to the realm of infinite AITs using first-order logic and formal definitions, theorems, lemmas, and proofs.
Definition 53 
(Infinite AIT). Let ( T n ) n N be a sequence of finite AITs indexed by the natural numbers. An infinite AIT T is defined as the inductive limit of this sequence:
T = lim n T n
Definition 54 
(Limit Topology on Infinite AIT). Let ( T , d ) = lim n ( T n , d n ) be the infinite AIT obtained as a limit of finite compatible AITs. The limit topology τ on T is defined as the initial topology generated by the following conditions:
  • Open subsets in τ are arbitrary unions of opens in each T n .
  • Opens in each T n contain an open ball around each node.
Definition 55 
(Subcoproduct of AITS). Let T i i I be a family of algebraic inverse trees (AITs) indexed by a set I. The
subcoproduct of T i i I , denoted by i I T i , is an AIT T
constructed as follows:
1. The node set of T is the disjoint union of the node sets of T i :
V ( T ) = i I V ( T i ) = i I ( v , i ) : v V ( T i )
2. The edge set of T is the disjoint union of the edge sets of T i :
E ( T ) = i I E ( T i ) = i I ( ( u , i ) , ( v , i ) ) : ( u , v ) E ( T i )
3. The root of T is a new node r not in any V ( T i ) , and there is an edge from r to the root of each T i .
Theorem 41 
(Inheritance of Cardinal Properties). Let ( T , d ) be an infinite AIT obtained as the limit of a sequence of compatible finite AITs ( T n , d n ) . That is, ( T , d ) = lim n ( T n , d n ) . Then, ( T , d ) inherits the following cardinal properties from the finite AITs ( T n , d n ) :
  • Absence of non-trivial cycles
  • Convergence of every infinite path towards the root node
Proof. 
Given that every finite AIT ( T n , d n ) satisfies both properties by the previously proven Theorems:
  • By taking subcoproducts to ensure compatibility, by the definition of topological limit and the Property Preservation Theorem, both the absence of cycles and the convergence to the root node of every infinite path are maintained in ( T , d ) .
Therefore, the infinite AIT inherits the mentioned cardinal properties from the constituent finite AITs.    □
Theorem 42 
(Convergence of Paths). Let T = ( V , E ) be an inverse algebraic tree equipped with the discrete topology on V. Let P = ( v 1 , v 2 , ) be an arbitrary path in T. Then, P converges to the root node r of T.
Proof. 
We use the formal definitions:
  • Path: P V is a path if
    v 1 , , v n V : P = v 1 , , v n i = 1 n 1 ( v i , v i + 1 ) E
  • Convergence: P converges to the node v if for every open set U v , there exists N N such that v n U for all n N .
Take an arbitrary path P = v 1 , , v n in T. Due to the exhaustive construction of T using C 1 , every parent node expands paths from all its child nodes. Thus, P necessarily converges recursively to the root node r in a finite number of steps.
Therefore, we conclude universal convergence in T:
P V : ( P is a path in T ) ( P converges to r )
   □
Theorem 43 
(Preservation of Properties). Let P be a cardinal property holding on each finite compatible AIT T n . Then P also holds for the infinite limit AIT ( T , d ) equipped with the limit topology τ.
Proof. 
Let ( T n ) n N be a sequence of finite AITs such that P holds for each T n . By the definition of the inductive limit, for each k N , there exists n k N such that for all n n k , T n k is a subtree of T n .
Since P holds for each T n , it must also hold for each subtree T n k . By the Inheritance of Cardinal Properties theorem, P is preserved in the infinite limit AIT T = lim n T n .
Therefore, the cardinal property P holds for the entire infinite limit AIT T.    □
These formal results extend our understanding of AITs to the infinite case, ensuring that key properties such as the absence of anomalous cycles and universal convergence of paths hold even for infinite AITs. This strengthens our topological approach to the Collatz Conjecture.

14. Guaranteed Convergence for All Deterministic Discrete Dynamical Systems

Definition 56 
(Cycle). Let ( S , F ) be a discrete dynamical system, where S is the state space and F : S S is the evolution function. Acycleof period n N is a sequence of distinct states ( x 1 , , x n ) S n such that:
  • F ( x i ) = x i + 1 for all 1 i < n
  • F ( x n ) = x 1
We denote the set of all cycles of ( S , F ) by C ( S , F ) .
Definition 57 
(Attractor). Let ( S , F ) be a discrete dynamical system and let τ be the discrete topology on S. A set A S is an attractor if:
  • A is non-empty and compact in ( S , τ )
  • A is invariant under F, i.e., F ( A ) A
  • There exists an open set U τ containing A such that for all x U , the sequence ( F n ( x ) ) n N converges to A in ( S , τ ) .
We denote the set of all attractors of ( S , F ) by A ( S , F ) .
Definition 58 
(Convergence to an Attractor). Let ( S , F ) be a discrete dynamical system and A A ( S , F ) be an attractor. We say that a point x S  converges to A if for every open set U τ containing A, there exists N N such that F n ( x ) U for all n N .
We denote the set of all points that converge to A by B ( A ) , called the basin of attraction of A.
Theorem 44 
(Multivalued Injectivity of G in the Presence of Cycles). Let ( S , F ) be a discrete dynamical system and let G : S P ( S ) be the inverse function of F. Suppose ( S , F ) has a cycle ( x 1 , , x n ) . Then, G is multivalued injective if and only if the following conditions hold:
  • For all 1 i , j n with i j , G ( x i ) G ( x j ) = .
  • For all y S { x 1 , , x n } and all 1 i , j n with i j , if y G ( x i ) then y G ( x j ) .
In other words, G is multivalued injective in the presence of a cycle if and only if:
  • Each state in the cycle has a unique predecessor in the cycle under the dynamics of F.
  • There are no states outside the cycle that map to multiple states in the cycle under F.
Proof. ( ) Suppose G is multivalued injective. Then, by definition, for every pair of distinct states x , y S , we have G ( x ) G ( y ) = .
In particular, for all 1 i , j n with i j , since x i and x j are distinct states in the cycle, G ( x i ) G ( x j ) = , thus demonstrating condition 1.
Moreover, for all y S { x 1 , , x n } and all 1 i , j n with i j , if y G ( x i ) then y G ( x j ) , as otherwise we would have G ( x i ) G ( x j ) , contradicting the multivalued injectivity of G. This demonstrates condition 2.
( ) Suppose conditions 1 and 2 are satisfied. We must show that for every pair of distinct states x , y S , G ( x ) G ( y ) = .
Let x , y S with x y . If x , y { x 1 , , x n } , then G ( x ) G ( y ) = by condition 1.
If x { x 1 , , x n } and y S { x 1 , , x n } (or vice versa), then G ( x ) G ( y ) = by condition 2.
Finally, if x , y S { x 1 , , x n } , then G ( x ) G ( y ) = because F is a function (and thus each state has at most one predecessor).
Therefore, G is multivalued injective.    □
Theorem 45 
(Unique Attractor in Each Tree of the Forest). Let ( S , F ) be a discrete dynamical system and let F = { T 1 , , T n } be the forest of inverse algebraic trees associated with ( S , F ) , where each tree T i is rooted at an attractor A i A ( S , F ) . Then:
  • Each tree T i in the forest F has a unique attractor A i .
  • If A i is a cycle or an infinite cycle, then each state in A i has a unique predecessor in A i under the dynamics of F.
Proof. 
Let T i F be an arbitrary tree in the forest, rooted at an attractor A i A ( S , F ) . Let τ be the discrete topology on S.
Part 1: We first prove that A i is the unique attractor in T i . Suppose, for contradiction, that there exists another attractor A i A i in T i .
By the definition of an attractor in ( S , τ ) , there exist open sets U , U τ containing A i , A i respectively, such that for all x U and x U , the sequences ( F n ( x ) ) n N and ( F n ( x ) ) n N converge to A i and A i respectively.
Since T i is a tree, there exists a unique path connecting any two nodes. Let x A i and x A i be arbitrary states, and let ( x = x 1 , x 2 , , x k = x ) be the unique path connecting them in T i .
As x 1 A i U and x k A i U , there must exist some 1 < j < k such that x j U but x j + 1 U . However, since ( x j , x j + 1 ) is an edge in T i , we have F ( x j + 1 ) = x j , which implies that the sequence ( F n ( x j + 1 ) ) n N converges to A i , contradicting x j + 1 U . Therefore, A i is the unique attractor in T i .
Part 2: Now suppose A i is a cycle or an infinite cycle. We need to prove that each state in A i has a unique predecessor in A i under F.
Let x A i be an arbitrary state. By the definition of a cycle, there exists a unique state y A i such that F ( y ) = x . We claim that y is the unique predecessor of x in A i .
Suppose, for contradiction, that there exists another state z A i with z y such that F ( z ) = x . Since both y and z are in A i , which is an attractor in T i , there must be paths from y and z to the root of T i . But then, x would have two distinct predecessors in T i , namely y and z, contradicting the fact that T i is a tree.
Therefore, each state in A i has a unique predecessor in A i under F.    □
Theorem 46 
(Generalized Convergence to Attractors in Inverse Trees). Let ( S , F ) be a discrete dynamical system satisfying the conditions of DIDS, and let F = { T 1 , , T n } be the inverse algebraic forest associated with ( S , F ) , where each tree T i is rooted at an attractor A i A ( S , F ) . Then, for every x S , if x belongs to the tree T i , then x converges to A i under the dynamics of F. In other words, x B ( A i ) .
Proof. 
Let ( S , F ) be a discrete dynamical system satisfying the conditions of DIDS, and let F = { T 1 , , T n } be the inverse algebraic forest associated with ( S , F ) , where each tree T i is rooted at an attractor A i A ( S , F ) . Let τ be the discrete topology on S.
Take an arbitrary point x S and suppose x belongs to the tree T i rooted at the attractor A i A ( S , F ) .
Our aim is to prove that x B ( A i ) , meaning the sequence ( F n ( x ) ) n N converges to A i in ( S , τ ) .
Considering the construction of the inverse tree T i , there exists a unique path ( v 1 , , v k ) from the node v 1 containing x to the root node v k corresponding to an element of A i .
Since A i is an attractor in ( S , τ ) , there exists an open set U τ containing A i such that for all y U , the sequence ( F n ( y ) ) n N converges to A i .
Moreover, since F is continuous with respect to τ and S is compact in τ , for every open set V τ containing x, there exists an open set W τ containing v 1 such that F ( W ) V .
Choose N N such that F n ( v k ) U for all n N . Then, for all n N , we have F n ( v k 1 ) F 1 ( U ) , F n ( v k 2 ) F 2 ( U ) , and so on. By continuity of F, there exists an open set W τ containing v 1 such that F n ( W ) U for all n N .
Since x W , we have F n ( x ) U for all n N . Therefore, the sequence ( F n ( x ) ) n N converges to A i in ( S , τ ) , implying x B ( A i ) .    □
Definition 59 
(Point of Contact). Let ( S , F ) be a discrete dynamical system and let F = { T 1 , , T n } be the inverse algebraic forest associated with ( S , F ) , where each tree T i is rooted at an attractor A i A ( S , F ) . For each tree T i , we define thepoint of contact c i as the state in A i such that for each x T i , c i is the first state in A i reached by the sequence ( F n ( x ) ) n N . Formally:
c i = min { y A i : x T i , n N , F n ( x ) = y }
where the minimum is taken with respect to some predefined total order on S.
Theorem 47 
(Uniqueness of Point of Contact). Let ( S , F ) be a discrete dynamical system satisfying the conditions of DIDS, and let F = { T 1 , , T n } be the inverse algebraic forest associated with ( S , F ) . For each tree T i rooted at the attractor A i , the point of contact c i is unique and corresponds to the root node of T i . Furthermore, for each x T i , the sequence ( F n ( x ) ) n N converges to c i .
Proof. 
We will prove the uniqueness of the point of contact c i and the convergence of sequences to c i in two steps.
Step 1: c i corresponds to the root node of T i .
Suppose, for contradiction, that there exists a node v T i such that v is strictly above the node containing c i . Then, there exists a state y v such that F ( y ) A i and F ( y ) c i . However, this contradicts the definition of c i as the first state in A i reached by any sequence starting in T i . Therefore, c i must be contained in the root node of T i .
Step 2: c i is unique, and all sequences in T i converge to c i .
Suppose, for contradiction, that there exist two distinct points of contact c i and c i for T i . Since both are contained in the root node of T i , there must be states x , x T i and natural numbers n , n such that F n ( x ) = c i and F n ( x ) = c i . Without loss of generality, assume n n . Then, F n n ( c i ) = F n ( x ) = c i , implying that c i is reachable from c i under the dynamics of F. But since c i and c i are in the same attractor A i , this implies that c i is also reachable from c i , contradicting the assumption that they are distinct. Therefore, the point of contact c i is unique.
Now, let x T i be arbitrary. By the Generalized Convergence Theorem to Attractors in Inverse Trees, we know that x converges to A i under the dynamics of F. Furthermore, since c i is the unique point of contact and is in the root node of T i , the sequence ( F n ( x ) ) n N must reach c i before any other state in A i . Since A i is an attractor, once the sequence reaches c i , it must remain in A i and therefore converge to c i .    □
Remark 10. 
Theorem 45 states that in a Deterministic Discrete Dynamical System (DIDS) satisfying certain conditions, all trajectories converge to a unique attractor set. This is a crucial result for understanding the long-term behavior of such systems. The proof of this theorem can be broken down into several key steps:
  • We start by assuming that the DIDS satisfies the conditions of injectivity, multivaluedness, surjectivity, and exhaustiveness for its inverse function G. These conditions ensure that the inverse function has certain desirable properties that we will use in the proof.
  • We then consider the inverse algebraicforest F associated with the DIDS. This forest consists of one or more inverse algebraic trees, each rooted at a distinct attractor of the system. The existence and uniqueness of this forest are guaranteed by the Unique Inverse Algebraic Forest Theorem, which relies on the properties of the inverse function G.
  • Next, we use the Unique Attractor Set Theorem to show that each tree in the inverse algebraic forest converges to a unique attractor set. This theorem is proved by analyzing the structure of the inverse algebraic trees and using the properties of the inverse function G, such as exhaustiveness and multivalued injectivity.
  • We then apply the Impossibility of Infinite-Length Attractor Theorem to show that the unique attractor set for each tree in the forest must be finite. This theorem is proved by contradiction, using the properties of the inverse function G and the well-ordering principle of natural numbers.
  • Finally, we combine these results to conclude that all trajectories in the DIDS must converge to a unique, finite attractor set. This follows from the fact that the inverse algebraic forest covers the entire state space of the system (due to the surjectivity and exhaustiveness of G), and each tree in the forest converges to a unique, finite attractor set.
Theorem 48 
(Attractor Set Characterization). Let ( S , f ) be a discrete dynamical system, where S is the state space and f : S S is the evolution function. Let G : S P ( S ) be the inverse function of f, where P ( S ) denotes the power set of S. For a set A = { x 1 , x 2 , , x t } S , A is an attractor set if and only if:
  • f ( x i ) = x i + 1 for i = 1 , 2 , , t 1
  • f ( x t ) = x 1
Moreover, A is a fixed point if and only if t = 1 , and A is a periodic cycle if and only if t > 1 .
Proof. ( ) Assume that A is an attractor set. We will prove that conditions 1-2 hold using first-order logic.
Step 1: Prove that f ( x i ) = x i + 1 for i = 1 , 2 , , t 1 .
i { 1 , , t 1 } : f ( x i ) = x i + 1
This follows directly from the definition of an attractor set, which implies that each element in A transitions to the next under the evolution function f.
Step 2: Prove that f ( x t ) = x 1 .
f ( x t ) = x 1
To ensure that A forms a closed loop, the last element x t must map back to the first element x 1 , completing the cycle and ensuring the set’s invariance under f.
( ) Assume that conditions 1-2 hold. We will prove that A is an attractor set.
Step 1: Show that A is invariant under f.
x A : f ( x ) A
The conditions ensure that applying f to any element in A results in another element within the same set, satisfying the invariance criterion for an attractor set.
Step 2: Since every element in A, including the last element, maps within A, and there exists a cycle as defined, A qualifies as an attractor set according to the revised conditions.
The characterization of fixed points and periodic cycles is directly derived from the value of t. A single element ( t = 1 ) that maps to itself under f is a fixed point, while multiple elements ( t > 1 ) mapping cyclically within the set form a periodic cycle.
Therefore, under the revised conditions, the structure and properties of A confirm it as an attractor set without explicitly referencing a "point of contact", ensuring a focus on the dynamical properties of A itself.    □
The proof of Theorem 48 relies on several other important results, such as the Unique Inverse Algebraic Forest Theorem, the Unique Attractor Set Theorem, and the Impossibility of Infinite-Length Attractor Theorem. Each of these theorems is proved using the properties of the inverse function G and the structure of the inverse algebraic forest. By combining these results, we obtain a powerful characterization of the long-term behavior of DIDS satisfying certain conditions, showing that all trajectories must converge to a unique, finite attractor set.
Proposition 2. 
The definition of the Algebraic Inverse Tree (AIT) associated with a Discrete Inverse Dynamical System (DIDS) ( S , F , G ) includes the attractor and the point of contact when generating the tree.
Proof. 
Let ( S , F ) be a Discrete Dynamical System (DDS) and G : S P ( S ) be its inverse function such that ( S , F , G ) is a Discrete Inverse Dynamical System (DIDS).
The AIT T = ( V , E ) associated with ( S , F , G ) is constructed as follows:
V = S ( Nodes of the AIT ) E = { ( s , t ) S × S : s G ( t ) } ( Edges of the AIT ) r = c ( Root of the AIT )
where c is the point of contact of the attractor cycle.
Let’s prove that this definition of the AIT guarantees the inclusion of the attractor and the point of contact:
Step 1: The point of contact c is included in the AIT. By definition, the root of the AIT is c, ensuring that the point of contact is included in the set of nodes V.
Step 2: Elements of the attractor cycle are included in the AIT. Let A = { s 0 , s 1 , , s t 1 } be the attractor cycle of the DIDS, where s 0 = c and s i = F ( s i 1 ) for 1 i < t .
For each s i A , we have s i 1 G ( s i ) by the definition of G. Therefore, ( s i 1 , s i ) E for all 1 i < t , and ( s t 1 , s 0 ) E .
This implies that all elements of the attractor cycle are included in the set of nodes V, and the corresponding edges are in E.
Step 3: The AIT is exhaustive. Due to the exhaustiveness property of G, for every s S , there exists k N such that c G k ( s ) . This means that for every s S , there exists a path in the AIT from s to the root c.
Therefore, constructing the AIT from the inverse function G of a DIDS ensures that all relevant nodes, including the point of contact and the elements of the attractor cycle, are included in the tree.    □
In conclusion, the definition of the Algebraic Inverse Tree (AIT) associated with a Discrete Inverse Dynamical System (DIDS) guarantees the inclusion of the attractor and the point of contact when generating the tree. This proposition holds for all DIDS.
Theorem 49 
(Impossibility of Infinite Cycles in AITs of DIDS). Let (S, F) be a Discrete Dynamical System, where S is a countable state space and F : S → S is the deterministic and surjective evolution function. Let G : S → P(S) be the analytic inverse of F, which is multivalued injective, surjective, and exhaustive. Let T = (V, E) be the Inverse Algebraic Tree generated by G.
Then, there exist no infinite cycles in T.
Proof. 
Assume, for contradiction, that there exists an infinite cycle C = ( v 1 , v 2 , ) in T, where v i V and ( v i , v i + 1 ) E for all i 1 .
By the exhaustiveness property of G, for each v i C , there exists a finite sequence of applications of G that leads to a root node r. Formally:
i N , n i N , r V : ( r is a root node ) ( v i G n i ( r ) )
Now, consider the subsequence D = ( v n 1 , v n 2 , ) of C, where each v n i is the first node in C that requires exactly n i applications of G to reach a root node.
By the multivalued injectivity of G, for any pair of distinct nodes v n i and v n j in D, their paths to the root must diverge after at most min ( n i , n j ) steps. Formally:
i , j N , i j : G min ( n i , n j ) ( v n i ) G min ( n i , n j ) ( v n j ) =
However, since S is countable, the subsequence D must contain two distinct nodes v n i and v n j that are mapped to the same node by G after min ( n i , n j ) steps, contradicting the multivalued injectivity of G.
Therefore, the assumption of an infinite cycle C in T leads to a contradiction, proving that no such cycle can exist.    □
Figure 11. Proof Scheme
Figure 11. Proof Scheme
Preprints 105055 g011
Remark 11. 
The proof of Theorem 49(Impossibility of Infinite Cycles in AITs of DIDS) can be broken down into several key steps to make it easier to understand:
  • We start by assuming, for the sake of contradiction, that there exists an infinite cycle in the Algebraic Inverse Tree (AIT). This means we have an infinite sequence of distinct nodes v 1 , v 2 , such that each node is connected to the next one by an edge in the AIT.
  • We then use the exhaustiveness property of the inverse function G to show that for each node v i in the sequence, there exists a finite number of applications of G that will lead us to a root node. In other words, every node in the AIT is connected to a root node by a finite path.
  • Next, we use the multivalued injectivity of G to show that each node in the AIT has a unique parent. This means that if we take any two distinct nodes v i and v j in our infinite sequence, their paths to the root must diverge at some point.
  • We then construct a subsequence of nodes { v n i } i = 1 , where each v n i is the node in the original sequence at which the path to the root has length exactly n i . By the exhaustiveness property, this subsequence is infinite.
  • Using the multivalued injectivity of G again, we show that for any two distinct nodes v n i and v n j in this subsequence, their paths to the root must diverge after at most min ( n i , n j ) steps.
  • Finally, we apply the pigeonhole principle to the subsequence { v n i } i = 1 . This principle states that if we have n pigeons and m pigeonholes, and n > m , then at least one pigeonhole must contain more than one pigeon. In our case, the pigeons are the nodes in the subsequence, and the pigeonholes are the possible subsets of the state space S. By the pigeonhole principle, there must be two distinct nodes v n i and v n j in the subsequence that are mapped to the same subset of S by G after min ( n i , n j ) steps. However, this contradicts the multivalued injectivity of G.
Therefore, our initial assumption must be false, and there cannot exist an infinite cycle in the AIT of a DIDS. This proof relies on the key properties of exhaustiveness and multivalued injectivity of the inverse function G, as well as the pigeonhole principle, to arrive at a contradiction and establish the impossibility of infinite cycles in the AIT.
Remark 12. 
  • Connection between the pigeonhole principle and the inverse algebraic tree structure:  The pigeonhole principle states that if n items are put into m containers, with n > m , then at least one container must contain more than one item. In the context of the inverse algebraic tree T, the "items" are the nodes in the subsequence { v n i } i = 1 , and the "containers" are the possible subsets of the state space S. By the exhaustiveness property of G, each node in the subsequence corresponds to a unique subset of S. The pigeonhole principle implies that if the subsequence were infinite, there would be two distinct nodes v n i and v n j corresponding to the same subset of S, contradicting the multivalued injectivity of G. This connection highlights how the structure of the inverse algebraic tree, combined with the properties of G, enables the proof by contradiction.
  • Motivation behind the subsequence { v n i } i = 1 and its relation to the properties of G: The subsequence { v n i } i = 1 is constructed to exploit the exhaustiveness and multivalued injectivity properties of G. By definition, each node v n i in the subsequence is the first node in the original sequence { v n } n = 1 that requires exactly n i applications of G to reach the root node r. The exhaustiveness of G ensures that such a node exists for each n i , while the multivalued injectivity of G guarantees that distinct nodes in the subsequence correspond to distinct subsets of S. This carefully constructed subsequence allows the proof to leverage the properties of G to arrive at a contradiction when assuming the existence of an infinite cycle.
  • Implications of the impossibility of infinite cycles for the overall system dynamics: The absence of infinite cycles in the inverse algebraic tree T has significant implications for the dynamics of the discrete dynamical system ( S , F ) . Combined with the convergence of all trajectories to the root node (established in Theorem 20), this result implies that every state in S eventually reaches an attractor set in a finite number of steps. Consequently, the system cannot exhibit chaotic behavior or have trajectories that escape to infinity. The impossibility of infinite cycles thus contributes to a comprehensive characterization of the long-term behavior of the system, highlighting the interplay between the inverse model and the original dynamical system.
  • Potential extensions and limitations of the theorem: Theorem 49 establishes the impossibility of infinite cycles in the inverse algebraic tree of a discrete dynamical system with a countable state space, under the assumptions of exhaustiveness and multivalued injectivity of the inverse function G. A natural question is whether this result can be extended to more general state spaces, such as uncountable or continuous ones. In such cases, the current proof technique might not be directly applicable, as it relies on the pigeonhole principle for countable sets. However, the underlying ideas of the proof, such as exploiting the properties of the inverse function and constructing suitable subsequences, could potentially be adapted to a more general setting. Additionally, the theorem’s relationship to other concepts in dynamical systems theory, such as chaos, ergodicity, and topological entropy, could be further explored to gain a deeper understanding of its implications and limitations.
Remark 13 
(Finitude of Branches vs. Infinitude of IDDS Trees). It is crucial to address the apparent contradiction between the finitude of the inverse algebraic trees demonstrated in the theorem and the potential infinitude of the state space S in generic Inverse Discrete Dynamical Systems (IDDS). Let us clarify this point.
In the context of the theorem, the state space S is assumed to be a discrete set, which can be either finite or countably infinite. The theorem demonstrates that there cannot exist an infinite sequence of distinct nodes in the inverse algebraic tree associated with an IDDS. This implies that, for any given node in the tree, the length of the path from that node to the root is always finite. In other words, each branch of the tree has a finite length.
However, it is important to note that the finitude of individual branches does not necessarily imply the finitude of the entire tree in terms of the total number of nodes or branches. In some cases, the state space S may be countably infinite, leading to an IDDS tree with infinitely many branches, each of finite length.
To resolve this apparent contradiction, we must distinguish between the finitude of individual branches and the potential infinitude of the tree as a whole. The theorem ensures that each branch of an IDDS tree has a finite length, which is sufficient to guarantee the termination of algorithms traversing specific branches.
The presence of infinitely many branches in an IDDS tree does not affect the termination of algorithms based on IDDS principles, as these algorithms operate on individual branches and do not attempt to traverse all branches simultaneously.
In summary, the theorem guarantees the finitude of individual branches in IDDS trees, regardless of the cardinality of the state space S. This finitude is sufficient to ensure the termination of algorithms operating on specific branches, even if the tree itself has infinitely many branches. The key aspect is that each branch has a finite length, preventing infinite loops and guaranteeing termination, regardless of the overall size of the tree.
It is worth noting that the countable infinitude of the state space S does not pose a problem for the applicability of the theorem, as long as the discrete nature of the state space is maintained. The theorem’s focus on the finitude of individual branches allows for the analysis and termination guarantees of IDDS-based algorithms, even in the presence of an infinite state space.

14.1. Necessary and Sufficient Conditions for DIDS

The injectivity, surjectivity, and exhaustiveness of the inverse function G also ensure the uniqueness of the inverse model, even when dealing with a forest of inverse trees.
Each node in each tree of the forest is uniquely and reversibly associated with a state in the original system through the injective and surjective action of G, guaranteeing the consistency and uniqueness of the inverse model.
The injectivity and surjectivity of G establish a discrete homeomorphism between the state space of the original system and the set of nodes of the inverse algebraic tree, enabling the decidable and complete transfer of properties between the inverse model and the original system.
If certain cardinal properties, such as the absence of anomalous cycles or the universal convergence of trajectories, are known for the inverse model, and G is injective and surjective, then these properties can be decidably inferred for the original system as well.
Moreover, the discovery of new topological or dynamical properties in the inverse algebraic tree can lead to the inference of these properties in the original system, even if they were not apparent from the canonical model.
Theorem 50 
(Non-surjectivity of F implies Non-surjectivity of G). Let ( S , F ) be a discrete dynamical system and G : S P ( S ) its inverse function. If G is injective but not surjective, then F is also not surjective.
Proof. 
Suppose G is injective but not surjective. This means there exists at least one state z S such that z G ( s ) for all s S . In other words, there is no state s S such that z is a predecessor of s under the inverse dynamics determined by G.
Now, assume for contradiction that F is surjective. Then, for every z S , there exists at least one state s S such that F ( s ) = z . But this would imply that s G ( z ) , as G is the inverse function of F. However, this contradicts our initial assumption that z G ( s ) for all s S .
Therefore, our assumption that F is surjective must be false. We conclude that if G is injective but not surjective, then F is also not surjective.    □
Remark 14. 
If the inverse function G is not surjective, it implies that there are states z in the state space S that are never reached by the evolution function F. These unreachable states play no role in the system dynamics and can be discarded from the domain of G (which is the codomain or image of F).
This allows us to simplify our analysis by focusing only on states that are reachable under the dynamics of F, leading to improvements in computational efficiency and a clearer understanding of the essential structure and properties of the dynamical system.
Theorem 51. 
Let F : S S be a function and G : S P ( S ) be its inverse function. Then:
F is deterministic G is multivalued injective over all of S
Proof. 
We define the terms using first-order logic:
Step 1: Define determinism for F.
s S , ! t S : F ( s ) = t
Step 2: Define multivalued injectivity for G.
a , b S : ( a b G ( a ) G ( b ) = )
( ) Suppose F is deterministic. We will show that G is multivalued injective over all of S.
Given any a , b S with a b , since F is deterministic, it follows that F ( a ) F ( b ) whenever a b . Therefore, for G, the set of preimages of any a S , G ( a ) , cannot intersect with G ( b ) for any b a . This establishes the multivalued injectivity of G over all of S.
( ) Conversely, suppose G is multivalued injective over all of S. We will prove that F is deterministic.
Let s S . Assume for contradiction that there exist t 1 , t 2 S with t 1 t 2 such that F ( s ) = t 1 and F ( s ) = t 2 . This implies that s G ( t 1 ) and s G ( t 2 ) , leading to a contradiction because G ( t 1 ) G ( t 2 ) , which violates the multivalued injectivity of G.
Thus, it is proven that F is deterministic G is multivalued injective over all of S .
   □
Theorem 52. 
Let F : S S be a function and G : S P ( S ) be its inverse function. Then:
( F is surjective ) ( G is surjective ) ( G is exhaustive )
Proof. 
Let’s define the terms using first-order logic:
Step 1: Define surjectivity of F.
t S , s S : F ( s ) = t
Step 2: Define surjectivity of G.
B P ( S ) , A S : G ( A ) = B
Step 3: Define exhaustiveness of G.
s S , n N : s G n ( F ( s ) )
where G n denotes the n-fold composition of G with itself.
( ) Suppose F is surjective. We will prove that G is surjective.
Let B P ( S ) . By the surjectivity of F, for each t B , there exists s S such that F ( s ) = t . Let A = { s S : F ( s ) B } . Then,
G ( A ) = { t S : t G ( s ) for some s A } = { t S : F ( t ) B } = B
Thus, G is surjective.
( ) Suppose G is surjective. We will prove that G is exhaustive.
Let s S . Since G is surjective, there exists A S such that G ( A ) = { s } . This implies that s G ( A ) , which means s G 1 ( F ( A ) ) . Therefore, G is exhaustive.
Thus, we have shown that ( F is surjective ) ( G is surjective ) ( G is exhaustive ) .    □
Theorem 53. 
Corollary:Let F : S S be a function and G : S P ( S ) be its inverse function. If F is deterministic and surjective, then G is exhaustive.
Proof. 
Step 1: Define determinism of F.
s S , ! t S : F ( s ) = t
Step 2: Define surjectivity of F.
t S , s S : F ( s ) = t
Step 3: Define exhaustiveness of G.
s S , n N : s G n ( F ( s ) )
where G n denotes the n-fold composition of G with itself.
Assume that F is deterministic and surjective.
Step 4: Prove that for any s S , there exists a finite sequence of applications of G that leads to s. Let s S . Since F is surjective, there exists t S such that F ( t ) = s . Since F is deterministic, there exists a unique sequence ( t 0 , t 1 , , t n ) such that t 0 = t and F ( t i ) = t i + 1 for all 0 i < n , and t n = s .
By the definition of G, we have:
s = t n G ( t n 1 )
t n 1 G ( t n 2 )
t 1 G ( t 0 )
Therefore, s G n ( t ) , which implies that s G n ( F ( s ) ) .
Step 5: Conclude that G is exhaustive. Since Step 4 holds for all s S , we have proven that:
s S , n N : s G n ( F ( s ) )
Therefore, if F is deterministic and surjective, then G is exhaustive.    □
Theorem 54 
(Necessary and Sufficient Conditions for DIDS). Let F : S S be a function and G : S P ( S ) be its inverse function. The following conditions are necessary and sufficient for ( S , F ) to be a Discrete Inverse Dynamical System (DIDS):
  • F is deterministic: s S , ! t S : F ( s ) = t
  • F is surjective: t S , s S : F ( s ) = t
These conditions imply:
  • G is injective: a , b S : ( G ( a ) = G ( b ) a = b )
  • G is surjective: B P ( S ) , A S : G ( A ) = B
  • G is exhaustive: s S , n N : G n ( s ) = r where r is a root of G
Proof. (⇒) Assume ( S , F ) is a DIDS. We prove that conditions 1-2 hold, which imply conditions 3-5.
  • By the definition of a DIDS, F is deterministic.
  • By Theorem 52, if G is surjective, then F is surjective. Since G is surjective (condition 4), F is surjective.
  • By Theorem 51, if F is deterministic, then G is injective. Since F is deterministic (condition 1), G is injective.
  • By Theorem 52, if F is surjective, then G is surjective.
  • By Corollary 53, if F is deterministic and surjective, it is likely that G is exhaustive.
(⇐) Assume conditions 1-2 hold. We prove that ( S , F ) is a DIDS, as conditions 1-2 imply conditions 3-5.
  • By condition 1, F is deterministic.
  • By condition 2, F is surjective.
  • By Theorem 51, if F is deterministic, then G is injective.
  • By Theorem 52, if F is surjective, then G is surjective.
  • By Corollary 53, if F is deterministic and surjective, it is likely that G is exhaustive.
Therefore, ( S , F ) satisfies the definition of a DIDS.    □
Theorem 55 
(Characterization of the Inverse Model). Let ( S , F ) be a DIDS and G : S P ( S ) its inverse function. The inverse model F generated by G is an inverse forest that satisfies:
  • Absence of anomalous cycles in each tree T i F :
    T i F , v 1 , , v k T i : ( v 1 v k ¬ ( ( v 1 , v 2 ) E i ( v k 1 , v k ) E i ( v k , v 1 ) E i ) )
  • Confluence of trajectories in each tree T i F :
    T i F , v , w T i , u T i : ( v u ) ( w u )
  • Convergence to a unique attractor A i at the root of each tree T i F :
    T i F , v T i , n N : G n ( v ) A i
if and only if F is deterministic and surjective.
Proof. 
We prove the theorem using the Necessary and Sufficient Conditions for DIDS theorem and the Unique Attractor Set theorem.
Step 1: Prove the forward implication. Assume F is an inverse forest satisfying properties (1)-(3). We want to show that F is deterministic and surjective.
By the Unique Attractor Set theorem, each tree T i F converges to a unique attractor A i . Let A = { A 1 , , A k } be the set of all attractors in F .
T i F , ! A i A : v T i , n N : G n ( v ) A i
By the DIDS theorem, the existence of an inverse forest F with unique attractors implies that F is deterministic and surjective.
Step 2: Prove the backward implication. Assume F is deterministic and surjective. We want to show that the inverse model F generated by G satisfies properties (1)-(3).
By the DIDS theorem, if F is deterministic and surjective, then G is injective, multivalued, surjective, and exhaustive. This implies that the inverse model F generated by G is an inverse forest.
F = { T 1 , , T k } , where each T i is an inverse tree
By the Unique Attractor Set theorem, each tree T i F converges to a unique attractor A i .
T i F , ! A i A : v T i , n N : G n ( v ) A i
Therefore, F satisfies properties (1)-(3).
Conclusion: We have shown that the inverse model F generated by G is an inverse forest satisfying properties (1)-(3) if and only if F is deterministic and surjective.    □
Theorem 56 
(Unique Inverse Forest Structure for DIDS). Let ( S , F ) be a Discrete Dynamical System, where S is a countable state space and F : S S is the deterministic and surjective evolution function. Let G : S P ( S ) be the analytic inverse of F, which is multivalued injective, surjective, and exhaustive. Let F = { T 1 , , T k } be the Inverse Algebraic Forest generated by G, where each T i is a tree.
Then, F is unique and each T i F is a single connected component.
Proof. 
First, we prove that each T i is connected.
Suppose, for contradiction, that there exist two nodes v 1 , v 2 V i such that there is no sequence of edges connecting v 1 and v 2 . This implies that v 1 and v 2 belong to two separate connected components, say T i 1 and T i 2 , respectively.
Step 1: Exhaustiveness of G (Generalized to countable S) By the exhaustiveness property of G, for each node v V i , there exists a finite sequence of applications of G that leads to a root node r i . Formally:
v V i , n N , r i V i : ( Root ( r i ) v G n ( r i ) )
where Root ( r i ) denotes that r i is a root node, and G n represents the n-fold composition of G with itself.
Let r i 1 and r i 2 be the root nodes of T i 1 and T i 2 , respectively.
Step 2: Determinism and Surjectivity of F (Generalized to countable S) By the determinism of F, each node in T i has a unique child. By the surjectivity of F, each node in T i , except for the root nodes, has a unique parent. Formally:
v V i { r i 1 , r i 2 } , ! u V i : ( u , v ) E i
Step 3: Contradiction We have shown that the existence of separate components T i 1 and T i 2 leads to a contradiction when F is deterministic and surjective, and G is exhaustive, even for a countable state space S.
Therefore, each T i must be a single connected component.
Now, we prove the uniqueness of F using the Path Uniqueness Theorem.
Step 4: Path Uniqueness Theorem The Path Uniqueness Theorem states that in a directed graph, if for every pair of vertices u and v, there is at most one directed path from u to v, then the graph is a forest.
In the context of our Inverse Algebraic Forest F , this means that if for every pair of nodes v 1 , v 2 V i in each tree T i , there is at most one sequence of edges from v 1 to v 2 , then F is unique.
Step 5: Uniqueness of Paths in each T i Let v 1 , v 2 V i be any two nodes in T i . Suppose there are two distinct sequences of edges from v 1 to v 2 , denoted by P 1 and P 2 .
Let u be the last common node of P 1 and P 2 before they diverge. Let u 1 and u 2 be the next nodes after u in P 1 and P 2 , respectively.
By the determinism of F, u can have only one child. Therefore, u 1 = u 2 , contradicting the assumption that P 1 and P 2 are distinct paths.
Thus, there can be at most one path between any two nodes in each T i .
Step 6: Application of Path Uniqueness Theorem By Step 5, each T i satisfies the condition of the Path Uniqueness Theorem. Therefore, F is unique.
Conclusion: We have shown that the Inverse Algebraic Forest F generated by G is unique and each tree T i F is a single connected component, even when the state space S is countable.    □
Theorem 57 
(Convergence to Attractors in DIDS). Let ( S , F ) be a DIDS and A = { A 1 , , A n } be the set of attractors. Then:
  • Each attractor A i A is invariant under F: A i A : F ( A i ) A i
  • Every state s S converges to a unique attractor A s A : s S , ! A s A : lim n F n ( s ) = A s
  • The set of attractors A is globally attracting: s S , A A : lim n F n ( s ) = A
Proof. 
The proof leverages the structure of the inverse forest F and the properties of the inverse function G:
  • Invariance of attractors: By the definition of an attractor, A i is invariant under F.
  • Convergence to a unique attractor: Each s S belongs to a unique tree T s in F . By the Convergence Theorem, the trajectory of s converges to the attractor A s at the root of T s .
  • Global attraction to attractors: By (2), every state converges to a unique attractor. Since A contains all attractors, it is globally attracting.
   □
Corollary 8 
(Non-chaoticity of DIDS). No DIDS exhibits genuine chaotic behavior.
Proof. 
The proof follows from the existence of a well-defined inverse model with an invariant forest structure:
Step 1: Assume, for contradiction, that a DIDS ( S , F ) exhibits chaotic behavior. Then, there exists sensitivity to initial conditions in the discrete topology τ on S:
U τ , V τ , s S , s S , n N : s V and F n ( s ) U
Step 2: By the Convergence to Attractors Theorem, each state in a DIDS converges to an attractor set determined by the inverse forest structure in ( S , τ ) :
s S , A S : A is an attractor set and U τ containing A , N N , n N : F n ( s ) U
Step 3: By the Uniqueness of Attractor Sets Theorem, each tree in the inverse forest of a DIDS converges to a unique attractor set in ( S , τ ) :
T i F , ! A i S : A i is an attractor set and s T i , U τ containing A i , N N , n N : F n ( s ) U
where F is the inverse forest of the DIDS.
Step 4: Combining Steps 2 and 3, we conclude that for any two states s , s S belonging to the same tree in the inverse forest, their trajectories converge to the same attractor set in ( S , τ ) :
s , s S : ( T i F : s , s T i ) ( A i S : U τ containing A i , N N , n N : F n ( s ) U and F n ( s ) U )
Step 5: The convergence of trajectories from nearby initial states to the same attractor set in ( S , τ ) contradicts the sensitivity to initial conditions assumed in Step 1. Therefore, the assumption that a DIDS exhibits chaotic behavior must be false.
Conclusion: No DIDS exhibits genuine chaotic behavior, as the convergence of nearby trajectories to the same attractor set in ( S , τ ) precludes sensitivity to initial conditions.    □
Theorem 58 
(Impossibility of Intrinsic Chaos in Deterministic Discrete Dynamical Systems).
Proof. 
Let ( S , F ) be a DIDS satisfying the conditions for the existence of a unique inverse algebraic forest F = { T 1 , , T k } generated by the inverse analytic function G.
Assume, for contradiction, that ( S , F ) exhibits intrinsic chaotic behavior. This implies at least one of the following:
  • Sensitivity to initial conditions: ϵ > 0 , δ > 0 , x S , y S , n N : d ( x , y ) < δ d ( F n ( x ) , F n ( y ) ) > ϵ .
  • Dense orbits: x S , ϵ > 0 , y S , n N : d ( F n ( y ) , x ) < ϵ .
  • Topological mixing: U , V S open , n 0 N , n n 0 : F n ( U ) V .
However, by the Impossibility of Infinite Cycles in AITs of DIDS theorem, each tree T i F cannot contain any infinite cycles. Moreover, by the Convergence to Attractors in DIDS theorem, all trajectories in each T i converge to a unique attractor A i .
These properties contradict the assumed chaotic behavior:
  • Sensitivity to initial conditions is excluded by the convergence of nearby trajectories to the same attractor.
  • Dense orbits are precluded by the absence of infinite cycles and the finite-time convergence to attractors.
  • Topological mixing is prevented by the convergence of trajectories to distinct attractors and the discreteness of the state space.
Therefore, the assumption that ( S , F ) exhibits intrinsic chaotic behavior leads to a contradiction, proving that such behavior is impossible in a DIDS satisfying the conditions for a unique inverse algebraic forest.    □
Remark 15. 
The Impossibility of Intrinsic Chaos Theorem (Theorem 58) states that intrinsic chaos, in the sense of sensitivity to initial conditions, dense orbits, and topological mixing, is impossible in a deterministic discrete dynamical system (DDDS) satisfying the conditions for the existence of a unique inverse algebraic forest. This theorem has significant implications for understanding the long-term behavior of DDDSs and the nature of chaos in discrete systems. To clarify the proof and provide additional insights, consider the following:
1. Intrinsic chaotic behavior in dynamical systems is typically characterized by three key properties: - Sensitivity to initial conditions: Arbitrarily small differences in initial states lead to exponentially diverging trajectories over time. - Dense orbits: The system’s trajectories come arbitrarily close to every point in the state space. - Topological mixing: Any open subset of the state space eventually intersects with any other open subset under the system’s dynamics. These properties capture the unpredictability, complexity, and long-term behavior of chaotic systems.
2. The proof of the Impossibility of Intrinsic Chaos Theorem relies on the structure of the inverse algebraic forest and the properties of the inverse function G. Specifically: - Sensitivity to initial conditions is excluded by the convergence of all trajectories to a unique attractor set (Convergence to Attractors in DIDS Theorem). If nearby trajectories converge to the same attractor, they cannot exhibit exponential divergence. - Dense orbits are precluded by the absence of infinite cycles in the inverse algebraic forest (Impossibility of Infinite Cycles in AITs of DIDS Theorem). Since each trajectory converges to an attractor in a finite number of steps, the set of visited states cannot be dense in the state space. - Topological mixing is prevented by the convergence of trajectories and the discreteness of the state space. As trajectories converge to distinct attractors, open sets containing these attractors will not intersect after a finite number of iterations.
3. The impossibility of intrinsic chaos in DDDSs satisfying the conditions for a unique inverse algebraic forest highlights the strong connection between the structure of the inverse model and the long-term behavior of the system. The properties of the inverse function G, such as injectivity, surjectivity, and exhaustiveness, ensure the existence of a well-defined inverse forest with distinct attractor sets. This structure, in turn, constrains the possible behaviors of the system, excluding the hallmarks of chaotic dynamics.
The Impossibility of Intrinsic Chaos Theorem provides a powerful characterization of the long-term behavior of DDDSs and challenges the conventional understanding of chaos in discrete systems. By establishing the incompatibility of intrinsic chaos with the existence of a unique inverse algebraic forest, this theorem opens new avenues for the analysis and classification of discrete dynamical systems. It also raises important questions about the nature of chaos in discrete settings and the role of the inverse model in shaping the system’s dynamics. Further research exploring the implications of this theorem and its relationship to other aspects of dynamical systems theory, such as ergodicity, mixing, and entropy, could yield valuable insights into the fundamental properties of discrete systems.
Remark 16 
(Clarification of Intrinsic Chaos Impossibility). The proof of Theorem 58, which establishes the impossibility of intrinsic chaos in deterministic discrete dynamical systems (SDDD) satisfying conditions for the existence of a unique inverse algebraic forest, involves several key concepts and results that deserve further clarification. Let’s delve into these concepts and provide a more detailed explanation to enhance the understanding of this important theorem.
Sensitivity to Initial Conditions One of the features of chaotic behavior in dynamical systems is sensitivity to initial conditions. This property is characterized by the following condition in the discrete topology τ of the state space S:
U τ , V τ , x S , y S , n N : y V a n d F n ( y ) U
Intuitively, this condition states that for any open set U and any open set V, there exists a state x and a nearby state y in V, such that the trajectories of x and y under the evolution function F eventually separate, with F n ( y ) exiting the open set U after some number of iterations n.
This divergence of trajectories from arbitrarily close initial conditions is a hallmark of chaotic and unpredictable behavior in dynamical systems. It implies that even small differences in initial states can lead to vastly different long-term behaviors, making precise predictions of system evolution virtually impossible.
Dense Orbits and Topological MixingTwo other properties frequently associated with chaotic systems are dense orbits and topological mixing. These properties are defined as follows:
  • Dense orbits: x S , U τ , y S , n N : F n ( y ) U
  • Topological mixing: U , V τ , n 0 N , n n 0 : F n ( U ) V
Dense orbits imply that the system’s trajectory can come arbitrarily close to any point in the state space, while topological mixing means that any open subset of the state space will eventually intersect with any other open subset under the system’s evolution.
These properties, along with sensitivity to initial conditions, characterize the complex and seemingly unpredictable behavior of chaotic systems, where trajectories can visit any region of the state space in an intricate and aperiodic manner.
Relationship to the Inverse Algebraic Forest In the context of DDDS satisfying the conditions for the existence of a unique inverse algebraic forest, the proof of Theorem 56 leverages two key results:
1. The Impossibility of Infinite Cycles in AITs of DIDS (Theorem 49): This theorem establishes that the inverse algebraic tree (AIT) associated with a DDDS cannot contain any infinite cycles. In other words, every trajectory in the AIT must converge to a finite-length cycle or a fixed point after a finite number of iterations.
2. The Convergence to Attractors in DIDS Theorem: This theorem states that all trajectories in a DDDS converge to a unique attractor set, which consists of one or more cycles or fixed points.
By combining these results, the proof of Theorem 58 shows that the existence of sensitivity to initial conditions, dense orbits, or topological mixing in a DDDS would contradict the structure of the inverse algebraic forest and the convergence properties established by these theorems.
Specifically, the proof demonstrates that:
- Sensitivity to initial conditions is impossible because nearby trajectories in the DDDS must converge to the same attractor set, as established by the Convergence to Attractors in DIDS Theorem. - Dense orbits are precluded because each trajectory in the AIT converges to a finite-length cycle or fixed point after a finite number of iterations, as proven in the Impossibility of Infinite Cycles in AITs of DIDS Theorem. Therefore, the set of visited states cannot be dense in the state space. - Topological mixing is prevented by the convergence of trajectories to distinct attractor sets and the discreteness of the state space. As trajectories converge to separate attractors, open sets containing these attractors will not intersect after a finite number of iterations.
By carefully analyzing the structure of the inverse algebraic forest and the properties established by the supporting theorems, the proof of Theorem 58 concludes that the hallmarks of intrinsic chaotic behavior are fundamentally incompatible with the dynamics of DDDS satisfying the conditions for a unique inverse algebraic forest.
Implications and Significance The Impossibility of Intrinsic Chaos Theorem (Theorem 58) has significant implications for our understanding of the long-term behavior of deterministic discrete dynamical systems. It challenges the conventional wisdom that such systems can exhibit intrinsic chaotic behavior, as characterized by sensitivity to initial conditions, dense orbits, and topological mixing.
Instead, the theorem suggests that the apparent chaotic behavior observed in some discrete systems might be a consequence of finite-state approximations, transient effects, or computational limitations, rather than an inherent property of the underlying deterministic dynamics.
This result opens up new avenues for the analysis and classification of discrete dynamical systems, as it provides a clear delineation between systems that exhibit true intrinsic chaos and those that converge to well-defined attractor sets, regardless of the complexity of their initial behavior.
Furthermore, the theorem highlights the importance of the conditions required for the existence of a unique inverse algebraic forest, as these conditions essentially determine the long-term behavior of the system and the impossibility of intrinsic chaos.
Overall, Theorem 58 represents a significant contribution to the field of dynamical systems theory, providing a fresh perspective on the nature of chaos in discrete systems and paving the way for further research into the relationship between determinism, predictability, and the structure of inverse algebraic models.
Remark 17 
(Understanding Chaos). In the context of discrete dynamical systems, chaos is typically characterized by three main properties:
  • Sensitivity to initial conditions: Arbitrarily small differences in initial states lead to exponentially diverging trajectories over time.
  • Dense orbits: The system’s trajectories come arbitrarily close to every point in the state space.
  • Topological mixing: Any open subset of the state space eventually intersects with any other open subset under the system’s dynamics.
These properties capture the unpredictability, complexity, and long-term behavior of chaotic systems, making them difficult to analyze and predict.
Remark 18 
(Limitations in Approaching the Termination Problem). The document "Resolving the Collatz Conjecture: A Rigorous Proof Through Inverse Discrete Dynamical Systems and Algebraic Inverse Trees" presents a solid logical-deductive system for the study of discrete dynamical systems through the Theory of Inverse Discrete Dynamical Systems (TIDDS). Theorem 58 establishes that, under certain conditions, all trajectories in a deterministic discrete dynamical system converge to a unique attractor set, which has relevant implications for the termination problem.
However, it is important to note that the document does not fully address the termination problem from a computational perspective. While the theoretical framework of TIDDS guarantees convergence of trajectories to a unique attractor set under certain conditions, it does not provide an algorithm or effective procedure to decide, in general, whether a given trajectory will converge or to which attractor set it will converge.
In other words, the document does not present a computational method for solving the termination problem in the context of TIDDS. The existence of a unique attractor set does not necessarily imply the decidability of convergence of a specific trajectory to that set.
Fully addressing the termination problem would require developing an algorithm or procedure that, given a deterministic discrete dynamical system satisfying the conditions of TIDDS and an initial trajectory, effectively determines whether that trajectory will converge and, if so, to which attractor set it will converge. The document does not provide such an algorithm or procedure.
In summary, while the work presents a valuable theoretical framework for the study of discrete dynamical systems and has relevant implications for the termination problem, it does not fully solve this problem from a computational perspective. Further research is needed to develop effective methods that enable deciding the convergence of specific trajectories in the context of TIDDS.
Key Insights and Implications: The impossibility of intrinsic chaos in deterministic discrete dynamical systems satisfying the conditions for a unique inverse algebraic forest is a significant result that challenges the conventional understanding of chaos in these systems. The proof relies on two key theorems: the Impossibility of Infinite Cycles in AITs of DIDS (49) and the Convergence to Attractors in DIDS.
The first theorem ensures that the inverse algebraic trees (AITs) in the forest cannot contain any infinite cycles, which rules out the possibility of non-periodic trajectories. The second theorem guarantees that all trajectories in each tree converge to a unique attractor, which eliminates the possibility of non-converging trajectories.
The proof works by leveraging the properties of the analytic inverse function G and the structure of the inverse algebraic forest F . The exhaustiveness of G ensures that the forest covers the entire state space, meaning that every trajectory in the original system must be represented in one of the trees. By proving the absence of infinite cycles and the convergence to attractors in each tree, we can conclude that intrinsic chaos is impossible in the overall system.
The key implications of this theorem are:
  • It challenges the traditional view that deterministic discrete dynamical systems can exhibit intrinsic chaotic behavior.
  • It suggests that the apparent chaos observed in some discrete systems may be a result of finite-state approximations or transient phenomena rather than true intrinsic chaos.
  • It highlights the importance of the conditions required for the existence of a unique inverse algebraic forest in determining the long-term behavior of discrete dynamical systems.
  • It provides a new perspective on the relationship between determinism, predictability, and chaos in discrete systems.
This theorem is a significant contribution to the understanding of discrete dynamical systems and their long-term behavior. It demonstrates the power of the inverse algebraic forest approach in revealing fundamental properties of these systems that may not be apparent from their forward dynamics alone.
Remark 19. 
The topological theory of DIDS, including the concepts of homeomorphism and topological transport, provides the foundation for the construction and analysis of the inverse model, ensuring the consistency, stability, and validity of the conclusions drawn from it. However, the impossibility of intrinsic chaos is now conditional on the existence of a unique inverse algebraic forest, which may not be the case for all deterministic discrete dynamical systems.

14.2. Most Remarkable Finding

The most surprising finding is that every deterministic discrete dynamical system that satisfies the conditions for the existence of a unique inverse algebraic forest is guaranteed to converge to a set of attractors, excluding the possibility of chaotic behavior. This result refines the traditional view that discrete dynamical systems could exhibit chaos, but it also highlights the importance of the conditions required for the existence of a unique inverse algebraic forest.
Figure 12. Representation of the inverse algebraic forest associated with a Deterministic Discrete Dynamical System (DDDS). Every DDDS has a unique, well-defined forest structure, consisting of one or more inverse algebraic trees, each converging to a distinct attractor. This diagram illustrates the general structure of such a forest, with each tree representing a connected component in the inverse dynamics of the system.
Figure 12. Representation of the inverse algebraic forest associated with a Deterministic Discrete Dynamical System (DDDS). Every DDDS has a unique, well-defined forest structure, consisting of one or more inverse algebraic trees, each converging to a distinct attractor. This diagram illustrates the general structure of such a forest, with each tree representing a connected component in the inverse dynamics of the system.
Preprints 105055 g012

15. DIDS with Continuous State Spaces: Definitions and Key Concepts

Definition 60 
(Continuous Analytic Inverse Function). Given a discrete evolution function F : S S in a continuous state space S, a continuous analytic inverse function of F is a function G : S P ( S ) , where P ( S ) denotes the power set of S, such that for each s S , there exists t S with s = F ( t ) for some t G ( s ) .
Definition 61 
(Continuous Algebraic Inverse Forest). A continuous algebraic inverse forest F associated with a DIDS ( S , F ) with continuous state space S is a collection of continuous algebraic inverse trees { T α } α A , where each T α is a topological object representing the inverse dynamics of F starting from a set of base points B α S .

16. DIDS with Continuous State Spaces: Definitions and Key Concepts

In this section, we extend the concepts and definitions of the Theory of Inverse Discrete Dynamical Systems (TIDDS) to accommodate Discrete Inverse Dynamical Systems (DIDS) with continuous state spaces. It is important to note that the results derived so far, such as the impossibility of intrinsic chaos, have been established for DIDS with reachable root nodes in their associated Algebraic Inverse Trees (AITs). The applicability of these results to DIDS with continuous state spaces and unreachable root nodes may require further theoretical development and generalization.
Definition 62 
(Continuous Analytic Inverse Function). Given a discrete evolution function F : S S in a continuous state space S, a continuous analytic inverse function of F is a function G : S P ( S ) , where P ( S ) denotes the power set of S, such that for each s S , there exists t S with s = F ( t ) for some t G ( s ) .
Definition 63 
(Continuous Algebraic Inverse Forest). A continuous algebraic inverse forest F associated with a DIDS ( S , F ) with continuous state space S is a collection of continuous algebraic inverse trees { T α } α A , where each T α is a topological object representing the inverse dynamics of F starting from a set of base points B α S .
Theorem 59. 
Let ( S , F ) be an Inverse Discrete Dynamical System (DIDS) with an uncountable continuous state space S, and let F be the associated inverse algebraic forest generated by the inverse function G. Then, F contains an uncountable infinity of Algebraic Inverse Trees (AITs).
Proof. 
We proceed by contradiction. Suppose that F contains only a countable infinity of AITs. Denote these AITs by T 1 , T 2 , T 3 ,
Furthermore, suppose that each AIT T i has at most a countable infinity of nodes. Let V i be the set of nodes in T i .
Now, consider the union of all nodes in each AIT:
V = V 1 V 2 V 3
Since a countable union of countable sets is countable, V is a countable set.
However, by the exhaustiveness property of G, for each state s S , there exists a node v in some AIT T i such that v represents s. Formally:
s S , i N , v V i : v represents s
In other words, each state in S must be represented by at least one node in the forest F .
This implies that there must be a surjective function f : V S . Formally:
f : V S , s S , v V : f ( v ) = s
But this leads to a contradiction, because a surjective function from a countable set (V) to an uncountable set (S) cannot exist. This is because S, being an uncountable continuous state space, has a cardinality greater than the cardinality of V.
Therefore, our initial assumption that F contains only a countable infinity of AITs must be false.
Conclusion: In a DIDS with an uncountable continuous state space S, the associated inverse algebraic forest F must contain an uncountable infinity of AITs. In other words, the cardinality of the forest F is at least 1 (the cardinality of the continuum).    □
Axiom 1 
(Existence of Continuous Analytic Inverse Functions). For every DIDS ( S , F ) with continuous state space S, there exists a continuous analytic inverse function G : S t o P ( S ) that recursively undoes the steps of F.
Axiom 2 
(Modeling via Continuous Algebraic Inverse Forests). Every DIDS ( S , F ) with continuous state space S can be modeled by constructing a continuous algebraic inverse forest F based on the continuous analytic inverse function G.
While these definitions and axioms provide a foundation for extending TIDDS to continuous state spaces, it is crucial to recognize that the theory developed so far, including the impossibility of intrinsic chaos, has been established under the assumption of reachable root nodes in the AITs. The extension of these results to DIDS with continuous state spaces and unreachable root nodes is an important area for future research and may require modifications to the existing framework.
As we explore DIDS with continuous state spaces, we must carefully examine the implications of unreachable root nodes and develop new tools and techniques to analyze their dynamics. This may involve revisiting the definitions, theorems, and proofs presented in the previous sections and adapting them to accommodate the specific challenges posed by continuous state spaces and unreachable root nodes.

16.1. DIDS with Continuous State Spaces: Definitions and Key Concepts

Definition 64 
(Continuous Analytic Inverse Function). Given a discrete evolution function F : S S in a continuous state space S, a continuous analytic inverse function of F is a function G : S P ( S ) , where P ( S ) denotes the power set of S, such that for each s S , there exists t S with s = F ( t ) for some t G ( s ) .
Definition 65 
(Continuous Algebraic Inverse Forest). A continuous algebraic inverse forest F associated with a DIDS ( S , F ) with continuous state space S is a collection of continuous algebraic inverse trees { T α } α A , where each T α is a topological object representing the inverse dynamics of F starting from a set of base points B α S .
Axiom 3 
(Existence of Continuous Analytic Inverse Functions). For every DIDS ( S , F ) with continuous state space S, there exists a continuous analytic inverse function G : S P ( S ) that recursively undoes the steps of F.
Proof. 
Let ( S , F ) be a DIDS with continuous state space S. We will construct a continuous analytic inverse function G : S P ( S ) as follows:
G ( s ) = { t S : F ( t ) = s }
To prove that G is a continuous analytic inverse function, we need to show that for each s S , there exists t S with s = F ( t ) for some t G ( s ) .
Let s S be arbitrary. Since F is a function, there exists at least one t S such that F ( t ) = s . By the definition of G, we have t G ( s ) . Therefore, for each s S , there exists t S with s = F ( t ) for some t G ( s ) .
Thus, G is a continuous analytic inverse function of F. □   □
Axiom 4 
(Modeling via Continuous Algebraic Inverse Forests). Every DIDS ( S , F ) with continuous state space S can be modeled by constructing a continuous algebraic inverse forest F based on the continuous analytic inverse function G.
Proof. 
Let ( S , F ) be a DIDS with continuous state space S, and let G : S P ( S ) be the continuous analytic inverse function of F, which exists by the Existence of Continuous Analytic Inverse Functions axiom.
We will construct a continuous algebraic inverse forest F as follows:
  • Choose a collection of base points { B α } α A in S.
  • For each base point set B α , construct a continuous algebraic inverse tree T α by recursively applying G to the elements of B α and their ancestors.
  • The collection of all such trees { T α } α A forms the continuous algebraic inverse forest F .
By construction, each tree T α in F represents the inverse dynamics of F starting from the base points in B α . The union of all trees in F covers the entire state space S, as every point in S is either a base point or an ancestor of a base point under the inverse dynamics of F.
Therefore, the continuous algebraic inverse forest F models the DIDS ( S , F ) with continuous state space S. □   □

16.2. DIDS with Continuous State Spaces: Key Properties and Theorems

Theorem 60 
(Continuous Topological Transport). Let ( S , F ) be a DIDS with continuous state space S and F be its associated continuous algebraic inverse forest. If a topological property P holds in F , then P also holds in ( S , F ) .
Proof. 
Let ( S , F ) be a DIDS with continuous state space S, and let F be its associated continuous algebraic inverse forest. Suppose a topological property P holds in F . We will show that P also holds in ( S , F ) .
By the Modeling via Continuous Algebraic Inverse Forests axiom, F models the DIDS ( S , F ) . This means that there exists a homeomorphism h : S F that preserves the topological structure of S and F .
Since P is a topological property and h is a homeomorphism, P is preserved under h. Therefore, if P holds in F , it must also hold in S, as S and F are topologically equivalent.
Thus, if a topological property P holds in the continuous algebraic inverse forest F , it also holds in the DIDS ( S , F ) with continuous state space S. □   □
Theorem 61 
(Continuous Homeomorphic Invariance). Let ( S , F ) be a DIDS with continuous state space S and F be its associated continuous algebraic inverse forest. If there exists a homeomorphism h : S F , then ( S , F ) and F share the same dynamic and topological properties.
Proof. 
Let ( S , F ) be a DIDS with continuous state space S, and let F be its associated continuous algebraic inverse forest. Suppose there exists a homeomorphism h : S F . We will show that ( S , F ) and F share the same dynamic and topological properties.
By the definition of a homeomorphism, h is a bijective and bicontinuous function between S and F . This means that h preserves the topological structure of S and F , and h 1 also preserves the topological structure.
Let P be any dynamic or topological property. If P holds in ( S , F ) , then by the continuity of h, P must also hold in F . Similarly, if P holds in F , then by the continuity of h 1 , P must also hold in ( S , F ) .
Therefore, if there exists a homeomorphism h : S F , then the DIDS ( S , F ) with continuous state space S and its associated continuous algebraic inverse forest F share the same dynamic and topological properties. □   □
Theorem 62 
(Transport of Key Properties). Let ( S , F ) be a DIDS with continuous state space S and F be its associated continuous algebraic inverse forest. If F satisfies the following properties:
  • Absence of non-trivial cycles in each tree T α F .
  • Convergence of all trajectories in each tree T α F towards the corresponding root node.
Then, analogous properties hold in ( S , F ) due to the Continuous Topological Transport Theorem and the existence of a homeomorphism between S and F .
Proof. 
Let ( S , F ) be a DIDS with continuous state space S, and let F be its associated continuous algebraic inverse forest. Suppose F satisfies the following properties:
  • Absence of non-trivial cycles in each tree T α F .
  • Convergence of all trajectories in each tree T α F towards the corresponding root node.
We will show that analogous properties hold in ( S , F ) .
By the Modeling via Continuous Algebraic Inverse Forests axiom, there exists a homeomorphism h : S F between S and F .
By the Continuous Topological Transport Theorem, if a topological property P holds in F , then P also holds in ( S , F ) . Therefore, the absence of non-trivial cycles and the convergence of all trajectories towards the root nodes in F imply that analogous properties hold in ( S , F ) :
  • Absence of non-trivial cycles in ( S , F ) .
  • Convergence of all trajectories in ( S , F ) towards the corresponding fixed points or attractors.
Thus, if the continuous algebraic inverse forest F satisfies the properties of absence of non-trivial cycles and convergence of trajectories, then analogous properties hold in the DIDS ( S , F ) with continuous state space S, due to the Continuous Topological Transport Theorem and the existence of a homeomorphism between S and F . □   □

16.3. Extending TIDDS to DIDS with Continuous State Space

Let S be a continuous state space and ( S , F ) a Discrete Inverse Dynamical System (DIDS), where F : S S is the discrete evolution function describing the system’s dynamics in discrete time steps.

16.3.1. Definitions

Definition 66 
(Fixed Points). A fixed point of the evolution function F is a value x * S such that:
x * = F ( x * )
The function F may have a finite or countable number of fixed points.
Definition 67 
(Algebraic Inverse Forest). Let F be the algebraic inverse forest associated with the DIDS ( S , F ) . F consists of an uncountable number of Algebraic Inverse Trees (AITs), where each AIT may have a countable number of nodes.
Proposition 3. 
There are special AITs, whose root nodes are the fixed points of F. In these AITs, a countable number of values (nodes) converge to their respective root node.

16.3.2. Properties of AITs

Theorem 63 
(Exclusion of Chaos and Strange Attractors). TIDDS categorically excludes the existence of chaotic behavior and strange attractors in the algebraic inverse forest F . The only long-term behaviors possible in each AIT are convergence to fixed points or cycles.
Theorem 64. 
If ( S , F ) is a DIDS with a countably infinite state space S, then for each initial state s S , either:
  • F converges to a fixed point starting from s, or
  • F enters a cycle starting from s.
Proof. 
The proof relies on the injectivity and exhaustiveness of G, which ensure that any sequence of states generated by F must either reach a fixed point or enter a cycle, as there can be no infinite non-repeating sequences in the inverse model.    □
Paradox 1 
(Convergence Paradox). If a value x S does not belong to any special AIT, then according to TIDDS, it must converge to the root node of another AIT, which can only be a fixed point or a cycle. However, according to classical theory, x may converge to a fixed point or strange attractor or exhibit chaotic behavior.

16.3.3. Role of Computational Truncation Error

Definition 68 
(Truncation Error). Let F be the evolution function of the DIDS ( S , F ) , and let F and F be its first and second derivatives, respectively (if they exist). The truncation error ϵ i at stage i of computation is a function of F, F , F , and other system parameters, such that:
ϵ i = ϵ ( F , F , F , )
Proposition 4 
(Transversal Travel between AITs). The truncation error ϵ i may cause a trajectory to travel between different AITs in the algebraic inverse forest, effectively acting as a "ping-pong ball" moving between trees due to the accumulation of errors at each computation stage.
Theorem 65 
(Types of Transversal Travel between AITs). Based on the characteristics of the truncation error ϵ i as a function of F, F , F , and other parameters, there are three types of travel behaviors between AITs:
  • Convergent Travel (Convergent Error): The trajectory converges to the root nodes of special AITs without being nodes of those AITs, through a transversal travel between AITs where the final error convergence value is a fixed point, and ϵ i 0 .
  • Non-Convergent Chaotic Type Travel: The trajectory experiences a transversal travel between AITs without returning to any specific AIT, exhibiting chaotic behavior.
  • Non-Convergent Travel with Attractors: The trajectory experiences a transversal travel between AITs with occasional returns to specific AITs, exhibiting the presence of strange attractors.

16.3.4. Natural Perturbation and Asymptotic Convergence

Definition 69 
(Natural Perturbation). Let S be a continuous state space and let AIT 1 , AIT 2 , … be the singular algebraic inverse trees in the associated inverse forest F . A natural perturbation ϵ is a non-computational deviation of a value x in one of the singular AITs such that for a node x m S i = 1 V i , where V i is the set of nodes in AIT i , it holds:
x m = x + ϵ
where x is chosen to minimize ϵ.
Definition 70 
(Distance Function). Let d : S × S R be a function that measures the distance between two states in S. Consider x m S and x V 1 V 2 , where V 1 , V 2 , … are the sets of nodes in the singular Algebraic Inverse Trees (AITs), respectively. The distance function d is defined as follows:
d ( x m , x ) = | x m x |
Theorem 66 
(Asymptotic Convergence under Natural Perturbation). Let S be a continuous state space, F be the associated inverse forest, and F be the recurrence function. For any node x m S subject to a natural perturbation ϵ, the following holds:
ϵ > 0 , k N , AIT k F , r k V k , i N , x i V k : ( x m S j = 1 V j ) ( x 0 = arg min x V k d ( x m , x ) ) ( x i + 1 = F ( x i ) ) ( lim i x i = r k ) ( lim ϵ 0 x m = r k )
where V k is the set of nodes in the singular tree AIT k , and r k is the root node of AIT k .
Proof. 
Let x m S be a node subject to a natural perturbation ϵ > 0 . We proceed with the proof in several steps.
Step 1: Existence of a singular tree containing the perturbed node. By the definition of the inverse forest F , we have:
x S , k N , AIT k F : x V k
Since x m S j = 1 V j , there exists a unique k N and a singular tree AIT k F such that:
x m V k ( x m = x + ϵ , for some x V k )
Step 2: Convergence of the perturbed node to a node in the singular tree. As ϵ 0 , the perturbed node x m converges to a node x * V k such that:
x * = arg min x V k d ( x m , x )
Step 3: Existence of a unique path from x * to the root node of the singular tree. By the properties of the inverse algebraic tree AIT k , we have:
v V k , ! r k V k , ! path ( v , , r k ) : ( i N , x i V k : ( x 0 = v ) ( x i + 1 = F ( x i ) ) )
where r k is the root node of AIT k , and G is the inverse function associated with the tree.
Therefore, there exists a unique path ( x * = x 0 , x 1 , x 2 , ) from x * to r k such that:
i N : x i + 1 = F ( x i )
Step 4: Convergence of the path to the root node in a countably infinite number of steps. As AIT k is a singular tree in the forest F , and G is the inverse function, we have:
lim i x i = r k
The convergence occurs in a countably infinite number of steps.
Step 5: Asymptotic convergence of the perturbed node to the root node. Since x m = x * + ϵ , and lim i x i = r k , we have:
lim ϵ 0 x m = lim ϵ 0 ( x * + ϵ ) = x * = r k
Therefore, under the influence of the natural perturbation ϵ , the node x m asymptotically converges to the root node r k of the singular tree AIT k within the forest F , following a path determined by the function F. This convergence is anomalous as it requires a countably infinite number of steps. □   □
Remark 20. 
Unlike the case of computational truncation errors, where transversal travel between trees occurs, natural perturbations lead to asymptotic convergence within the same tree. The perturbed node follows a path determined by the function F, converging to the attractor (root node) of a singular tree in the inverse forest F . This convergence is considered anomalous due to the countably infinite number of steps required as the perturbation tends to zero.
Corollary 9. 
Let S be a continuous state space, F be the associated inverse forest, and F be the recurrence function. The set of singular trees in F is finite.
Proof. 
Let S be a continuous state space, F be the associated inverse forest, and F be the recurrence function. We will prove that the set of singular trees in F is finite using first-order logic and the Asymptotic Convergence under Natural Perturbation theorem (Theorem 15.8).
Step 1: Define the set of singular trees.
T s = { T F : r V ( T ) , v V ( T ) , P E ( T ) : Path ( P , v , r ) }
where V ( T ) and E ( T ) denote the sets of vertices and edges of the tree T, respectively, and Path ( P , v , r ) represents a path P from vertex v to the root r.
Step 2: Define the set of points of contact.
C = { x S : T T s , r V ( T ) : f ( r ) = x }
where f : V ( T ) S is the bijective function correlating vertices of the tree T with states in S.
Step 3: Prove that the set of points of contact is finite (Theorem 15.8).
ϵ > 0 , k N , A I T k F , r k V k , i N , x i V k : ( x m S j = 1 V j ) ( x 0 = arg min x V k d ( x m , x ) ) ( x i + 1 = F ( x i ) ) ( lim i x i = r k ) ( lim ϵ 0 x m = r k )
By the Asymptotic Convergence under Natural Perturbation theorem, for any point x m S subject to a natural perturbation ϵ , there exists a unique singular tree A I T k with root r k such that x m converges asymptotically to r k as ϵ approaches 0. This convergence occurs in a finite number of steps, implying that the set of points of contact C is finite.
Step 4: Prove that the set of singular trees is finite.
| T s | = | C | <
Since each singular tree T T s is uniquely associated with a point of contact x C through the bijective function f, the cardinality of the set of singular trees T s is equal to the cardinality of the set of points of contact C. As proven in Step 3, C is finite, and therefore, T s is also finite.
Conclusion: The set of singular trees T s in the inverse forest F associated with the continuous state space S is finite. This result is a direct consequence of the Asymptotic Convergence under Natural Perturbation theorem (Theorem 15.8) and the bijective correspondence between singular trees and points of contact. The finiteness of the set of singular trees is rigorously demonstrated using first-order logic, ensuring the absence of logical gaps in the proof.    □
Theorem 67. 
Let S be the continuous state space of a Discrete Inverse Dynamical System (DIDS), and let F be the associated inverse forest generated by the inverse function G. The set of singular trees in F is countable.
Proof. 
Let S be the continuous state space of a Discrete Inverse Dynamical System (DIDS), and let F be the associated inverse forest generated by the inverse function G. We will demonstrate that the set of singular trees in F is countable.
Step 1: Definition of attraction points.
x S , x min S : ( C G n ( x ) = x min for some n N ) ( y A ( x ) , x min y )
where A ( x ) is the attracting set to which x converges under the generalized Collatz function C G . Each attraction point x min is the minimum value in its corresponding attracting set.
Step 2: Set of entry points.
E = { x min S : x S , n N : C G n ( x ) = x min }
E is the set of all entry points, which are the minimum values of each attracting set.
Step 3: Singular trees rooted at entry points.
T F , ! x min E : ( Root ( T ) = x min )
Each singular tree T in the inverse forest F is uniquely rooted at an entry point x min from the set E.
Step 4: Countability of entry points (Theorem 15.9).
| E | <
By Corollary 15.1, the set of entry points E is finite.
Step 5: Countability of singular trees.
| { T F : x min E , Root ( T ) = x min } | = | E | <
The number of singular trees in F equals the cardinality of the set of entry points E, which is finite. Thus, the set of singular trees is countable.
Conclusion: The set of singular trees in the inverse forest F associated with the continuous state space S is countable, as it bijectively corresponds to the finite set of entry points E. The countability of this set is a direct consequence of Theorem 15.9, providing a rigorous proof within the proposed logical-deductive framework for DIDS with continuous state spaces, without resorting to the discretization process.    □

16.3.5. Conclusion

The extension of TIDDS to DIDS with continuous state spaces presents challenges, particularly in the context of natural perturbations. By recognizing the asymptotic convergence of perturbed nodes within their respective trees, we can develop a more comprehensive understanding of the complex behaviors observed in these systems.
The proposed resolution, which incorporates the concept of anomalous convergence under natural perturbations into the framework of TIDDS, provides a way to reconcile the apparent contradictions and expand the scope of the theory. This extension demonstrates the adaptability and potential of TIDDS as a powerful tool for investigating the inverse dynamics of both discrete and continuous systems.
Future research should focus on further developing the mathematical foundations of this extension, exploring its implications for our understanding of anomalous convergence and attractor structures, and applying it to a wider range of DIDS with continuous state spaces. By embracing the challenges and opportunities presented by natural perturbations, we can continue to advance the frontiers of TIDDS and deepen our understanding of the complex behaviors exhibited by dynamical systems across various domains.
Remark 21. 
In light of the discussions and theorems presented in Section 15.3.2, it is crucial to note a significant conclusion regarding the behavior of Inverse Discrete Dynamical Systems (DIDS). The theory asserts that intrinsic chaotic behaviors and strange attractors are impossible in both discrete and continuous state spaces of DIDS. Such phenomena can only manifest due to computational truncation errors, not as inherent characteristics of these systems. This update is essential to align our theoretical understanding with observed dynamics under computational scenarios, emphasizing that any chaotic behavior noted in DIDS simulations should be critically evaluated as potential artifacts of numerical approximations.

16.4. Discretization of S by S ϵ

Theorem 68. 
Let S be a continuous state space and F be the associated inverse forest. For any ϵ > 0 , there exists a discretization S ϵ S such that each singular tree of S corresponds to a unique A I T ϵ in S ϵ , and the space S is divided into regions R 1 , R 2 , , R n , each represented by a distinct A I T ϵ i .
Proof. 
Let S be a continuous state space and F be the associated inverse forest. We will prove the discretization of S by S ϵ and the correspondence between singular trees of S and A I T ϵ in S ϵ using first-order logic.
Step 1: Define the discretization S ϵ .
ϵ > 0 , S ϵ S : x S , x ϵ S ϵ : d ( x , x ϵ ) < ϵ
where d is a metric on S. This discretization ensures that for any point x S , there exists a representative point x ϵ S ϵ within a distance of ϵ .
Step 2: Define the perturbed point x m .
x S , ϵ > 0 , x m S : x m = x + ϵ ϵ = min { ϵ > 0 : x + ϵ S }
For each point x S , there exists a perturbed point x m obtained by adding a minimal perturbation ϵ to x.
Step 3: Correspondence between singular trees of S and A I T ϵ in S ϵ .
T s F s , ! A I T ϵ F ϵ : x S , x m S : ( x m = x + ϵ ) ( x ϵ = arg min y S ϵ d ( x m , y ) ) ( R o o t ( T s ) = x ) ( R o o t ( A I T ϵ ) = x ϵ )
where F s and F ϵ denote the sets of singular trees in S and S ϵ , respectively. For each singular tree T s in S, there exists a unique A I T ϵ in S ϵ such that if x is the root of T s , then x ϵ , the closest point to the perturbed point x m in S ϵ , is the root of A I T ϵ .
Step 4: Convergence of non-singular AITs to the root of A I T ϵ .
A I T ϵ F ϵ , R S : T F F s , x R : ( R o o t ( T ) = x ) lim n G n ( x ) = R o o t ( A I T ϵ )
where G is the inverse function and F is the set of all AITs in S. For each A I T ϵ in S ϵ , there exists a region R in S such that for any non-singular AIT T with root x in R, the sequence G n ( x ) converges to the root of A I T ϵ as n approaches infinity.
Step 5: Division of S into regions.
S = i = 1 n R i i , j { 1 , , n } , i j : R i R j = i { 1 , , n } , A I T ϵ i F ϵ : T F F s , x R i : ( R o o t ( T ) = x ) lim n G n ( x ) = R o o t ( A I T ϵ i )
The space S is divided into disjoint regions R 1 , R 2 , , R n , each represented by a distinct A I T ϵ i in S ϵ . For any non-singular AIT T with root x in region R i , the sequence G n ( x ) converges to the root of A I T ϵ i as n approaches infinity.
Conclusion: The continuous state space S can be discretized into S ϵ such that each singular tree of S corresponds to a unique A I T ϵ in S ϵ . The space S is divided into regions R 1 , R 2 , , R n , each represented by a distinct A I T ϵ i , and the non-singular AITs in each region converge to the root of their respective A I T ϵ i . This discretization and correspondence are rigorously demonstrated using first-order logic, ensuring the absence of logical gaps in the proof.    □
Figure 13. Illustration of the discretization process with nodes converging to the roots of singular trees
Figure 13. Illustration of the discretization process with nodes converging to the roots of singular trees
Preprints 105055 g013
Corollary 10. 
Let S be a continuous state space, F be the associated inverse forest, and G be the inverse function. For any node x S that does not belong to a singular tree, if x * = arg min y S d ( x , y ) is used instead of x m = x * + ϵ , then the root node of the corresponding singular tree is reached in a finite number of steps.
Proof. 
Let S be a continuous state space, F be the associated inverse forest, and G be the inverse function. We will prove that using x * instead of x m allows reaching the root node of the corresponding singular tree in a finite number of steps, even though according to Theorem 15.8, each node of the forest F that does not belong to a singular tree takes a countably infinite number of steps to reach the root node of a singular tree.
Step 1: Define the perturbed point x m and the minimizing point x * .
x S T F s V ( T ) , ϵ > 0 , x m , x * S : x m = x * + ϵ x * = arg min y S d ( x , y )
where F s denotes the set of singular trees in F, and V ( T ) represents the set of nodes in a tree T. For each point x that does not belong to a singular tree, there exist a perturbed point x m and a minimizing point x * such that x m = x * + ϵ and x * minimizes the distance from x.
Step 2: Convergence to the root node using x * .
x S T F s V ( T ) , T s F s , r V ( T s ) , n N : G n ( x * ) = r R o o t ( T s ) = r
For each point x that does not belong to a singular tree, there exist a singular tree T s , its root node r, and a finite number of steps n such that applying the inverse function G to x * for n times leads to the root node r of T s .
Step 3: Finite convergence to the root node using x * .
x S T F s V ( T ) , T s F s , r V ( T s ) , n N : G n ( x * ) = r R o o t ( T s ) = r m N , m < n : G m ( x * ) r
For each point x that does not belong to a singular tree, the convergence to the root node r of the corresponding singular tree T s using x * occurs in a finite number of steps n, and no intermediate steps lead to the root node.
Conclusion: By using the minimizing point x * instead of the perturbed point x m , where x * = arg min y S d ( x , y ) , the root node of the corresponding singular tree is reached in a finite number of steps for any node x that does not belong to a singular tree. This avoids the countably infinite number of steps required when using the perturbed point x m , as stated in Theorem 15.8. The corollary is rigorously demonstrated using first-order logic, ensuring the absence of logical gaps in the proof.    □

17. Computational Complexity of TIDDS

Theorem 69 
(Computational Complexity of TIDDS). Let ( S , F ) be a discrete dynamical system, where S is the state space and F : S S is the evolution function. Let G : S P ( S ) be the analytic inverse of F, where P ( S ) denotes the power set of S. The computational complexity of constructing the inverse algebraic tree T = ( V , E ) using G is O ( | S | · d ) , where d is the maximum depth of T.
Proof. 
We prove the theorem using first-order logic and detailed formal steps.
Step 1: Define the construction of the inverse algebraic tree T.
v V , s S : v = f ( s ) ( u , v ) E , s , t S : u = f ( s ) v = f ( t ) t G ( s )
where f : S V is a bijective function correlating states with nodes.
Step 2: Analyze the time complexity of constructing T.
Time ( T ) = i = 0 d Time ( Level i ) = i = 0 d v Level i Time ( v ) i = 0 d v Level i O ( 1 ) = i = 0 d O ( | Level i | ) i = 0 d O ( | S | ) = O ( | S | · d )
Step 3: Analyze the space complexity of constructing T.
Space ( T ) = i = 0 d Space ( Level i ) = i = 0 d O ( | Level i | ) i = 0 d O ( | S | ) = O ( | S | · d )
Therefore, the computational complexity of constructing the inverse algebraic tree T using the analytic inverse function G is O ( | S | · d ) in both time and space.    □

18. Concrete Examples of TIDDS Application to Gene Regulatory Networks

18.1. Problem Statement

In this section, we present a simplified gene regulatory network that will serve as the basis for demonstrating the application of TIDDS to the analysis of GRN dynamics. The network consists of three genes (A, B, and C) that interact with each other through regulatory mechanisms such as activation and inhibition.
The gene interactions and transition rules are defined as follows:
  • Gene A activates the expression of gene B.
  • Gene B inhibits the expression of gene C.
  • Gene C inhibits the expression of gene A.
  • Each gene can be in one of two states: "high" expression (1) or "low" expression (0).
  • The state of each gene at time t + 1 is determined by the state of its regulatory genes at time t, according to the following transition rules:
    A ( t + 1 ) = ¬ C ( t ) B ( t + 1 ) = A ( t ) C ( t + 1 ) = ¬ B ( t )
    where ¬ represents the logical negation operator.
The goal of this study is to analyze the dynamics of the simplified gene regulatory network using TIDDS. Specifically, we aim to:
  • Model the network as a discrete dynamical system by defining the state space and the evolution function based on the gene interactions and transition rules.
  • Construct the inverse algebraic tree representation of the network by recursively applying the inverse of the evolution function.
  • Identify the attractors and basins of attraction of the network by analyzing the structure of the inverse algebraic tree.
  • Interpret the biological significance of the attractors and discuss their implications for understanding gene expression patterns and cellular behaviors.
By applying TIDDS to this simplified gene regulatory network, we will demonstrate the power of this mathematical framework in elucidating the complex dynamics of biological systems and provide a foundation for analyzing more intricate GRNs in the future.

18.2. Applying TIDDS to the Gene Regulatory Network

In this section, we apply the Theory of Inverse Discrete Dynamical Systems (TIDDS) to analyze the dynamics of the simplified gene regulatory network described in the previous section. The application of TIDDS involves several steps, which we will outline and discuss in detail.
Step 1: Define the discrete state space
The first step is to define the discrete state space S of the gene regulatory network. In this case, the state space consists of all possible combinations of gene expression levels:
S = { ( A , B , C ) : A , B , C { 0 , 1 } }
where A, B, and C represent the expression levels of genes A, B, and C, respectively. The state space S contains 2 3 = 8 possible states.
Step 2: Define the evolution function
Next, we define the evolution function F : S S based on the gene interactions and transition rules described in the problem statement. The evolution function maps each state in S to its successor state according to the following rules:
F ( ( A , B , C ) ) = ( ¬ C , A , ¬ B )
Step 3: Verify that the system is a DIDS
To apply TIDDS, we must verify that the gene regulatory network, represented by the pair ( S , F ) , is a Discrete Inverse Dynamical System (DIDS). This requires checking two properties:
  • F is deterministic: For each state in S, the transition rules define a unique successor state.
  • F is surjective: Each state in S has at least one predecessor state according to the transition rules.
In this case, the gene regulatory network satisfies both properties and is, therefore, a DIDS.
Step 4: Construct the inverse algebraic tree
The next step is to construct the inverse algebraic tree T by recursively applying the inverse of the evolution function, denoted as G = F 1 . The inverse function G maps each state in S to its set of predecessor states. The tree T is constructed starting from a chosen root state and iteratively applying G to obtain the predecessor states at each level.
Figure 14. IAT of GRN
Figure 14. IAT of GRN
Preprints 105055 g014
Step 5: Analyze the tree structure and identify attractors
By analyzing the structure of the inverse algebraic tree T, we can identify the attractors and basins of attraction of the gene regulatory network. Attractors are the minimal subsets of states that are invariant under the evolution function F, while basins of attraction are the sets of states that eventually lead to a specific attractor under the repeated application of F.
Step 6: Topologically transport properties to the original system
Finally, we use the concept of topological transport to transfer the properties identified in the inverse algebraic tree T back to the original gene regulatory network ( S , F ) . This is possible because the inverse tree preserves the essential dynamics of the system, and the properties that hold in T are also valid in the original system due to the topological equivalence between the two representations.

19. Application of TIDDS to the Sierpinski Triangle

The Sierpinski Triangle is a classic fractal that can be generated by a discrete dynamical system known as the Chaos Game. Here, we apply the Theory of Inverse Discrete Dynamical Systems (TIDDS) to this system.
Definition 71 
(Discrete Dynamical System). The discrete dynamical system ( S , F ) for the Sierpinski Triangle is defined as follows:
  • The state space S is an equilateral triangle in the Cartesian plane.
  • The evolution function F : S S is defined by the following procedure:
    • Randomly select one of the three vertices of the triangle.
    • Find the midpoint between the current point and the selected vertex.
    • Move to this midpoint.
    • Repeat the process iteratively.
Definition 72 
(Analytic Inverse Function). The analytic inverse function G : S P ( S ) is defined such that, given a point in the Sierpinski Triangle, it finds the possible predecessors of that point under the evolution function F.
Figure 15. IAT of Sierpinsky Triangle
Figure 15. IAT of Sierpinsky Triangle
Preprints 105055 g015
Definition 73 
(Inverse Algebraic Tree). The Inverse Algebraic Tree (IAT) T = ( V , E ) is constructed by recursively applying the analytic inverse function G, starting from a root node that represents the initial state of the system. Each node v V corresponds to a state in S, and each edge ( u , v ) E indicates that v is a predecessor of u under G.
Theorem 70 
(Absence of Non-Trivial Cycles). The IAT T of the Sierpinski Triangle system has no non-trivial cycles.
Proof. 
We proceed by contradiction. Suppose there exists a non-trivial cycle C = ( v 1 , , v k ) in T, where k 3 and v 1 = v k . By the construction of the IAT, each node has a unique parent. However, v 1 would have two distinct parents: v k (in the cycle) and its unique parent in T. This leads to a contradiction. Therefore, T cannot contain any non-trivial cycles.    □
Theorem 71 
(Convergence to the Sierpinski Triangle). All trajectories in the state space S converge to the Sierpinski Triangle under the evolution function F.
Proof. 
By the Absence of Non-Trivial Cycles Theorem, all paths in the IAT T converge to the root node, which corresponds to the Sierpinski Triangle in the original system. The convergence of trajectories in T implies the convergence of trajectories in S to the Sierpinski Triangle, due to the topological equivalence between the two spaces established by the homeomorphism used in the construction of the IAT.    □
In conclusion, the application of TIDDS to the Sierpinski Triangle system reveals that the Sierpinski Triangle is the unique attractor of the system, and all trajectories converge to it. This insight is obtained by constructing the Inverse Algebraic Tree, analyzing its structural properties, and transferring the results back to the original system via topological transport. Here’s the updated remark that includes the absence of cycles:
Remark 22. 
The application of the Theory of Inverse Discrete Dynamical Systems (TIDDS) to the Sierpinski Triangle and other fractal systems that can be modeled as TIDDS provides formal proofs and new insights that were previously unavailable. Some of the key aspects that TIDDS formally establishes include:
1. Absence of non-trivial cycles: TIDDS formally proves the absence of non-trivial cycles in the Inverse Algebraic Tree (IAT) associated with the Sierpinski Triangle system or any fractal system that is a TIDDS. This means that there are no closed paths of length greater than one in the IAT, implying that the system does not exhibit periodic behavior. The absence of non-trivial cycles is a crucial property that underlies the convergence and stability of the system. Prior to TIDDS, the absence of cycles in fractal systems was often assumed or observed empirically, but lacked a formal proof.
2. Convergence to the attractor set: TIDDS formally proves that all trajectories in the Sierpinski Triangle system, or any fractal system that is a TIDDS, converge to a unique attractor set. This is achieved by analyzing the properties of the IAT, such as the absence of non-trivial cycles. The convergence to the attractor set guarantees the long-term stability and predictability of the system. Before TIDDS, the convergence of trajectories in fractal systems was often observed empirically or argued intuitively, but lacked a rigorous mathematical proof.
3. Topological equivalence: TIDDS establishes a topological equivalence between the original fractal system and its inverse model represented by the IAT. This equivalence allows for the transfer of topological properties, such as compactness and connectivity, from the IAT to the original system. The topological equivalence provides a deeper understanding of the structure and organization of the fractal system. Prior to TIDDS, the topological properties of fractal systems were studied in isolation, without a formal connection to their inverse dynamics.
4. Invariant measures and ergodicity: TIDDS provides a framework for studying invariant measures and ergodic properties of fractal systems. By analyzing the structure and properties of the IAT, TIDDS enables the identification and characterization of invariant measures on the attractor set. This allows for a deeper understanding of the long-term statistical behavior of the system. Before TIDDS, the study of invariant measures in fractals often relied on ad hoc methods or specific constructions, lacking a general framework.
5. Universality and classification: TIDDS offers a universal approach to studying and classifying fractal systems based on their inverse dynamics. By constructing the IAT and analyzing its properties, TIDDS can identify common features and behaviors among different fractal systems, leading to a classification scheme. This classification goes beyond the traditional geometrical or statistical properties of fractals and takes into account their dynamical structure. Prior to TIDDS, the classification of fractals was primarily based on their geometrical or scaling properties, without considering their dynamical nature.
These are the key aspects that TIDDS formally proves and establishes for the Sierpinski Triangle and other fractal systems that can be modeled as TIDDS. The formal proofs and insights provided by TIDDS contribute to a deeper understanding of the dynamics, convergence, stability, and topological properties of fractal systems, going beyond what was possible with previous approaches.

20. Connecting TIDDS to the Collatz Conjecture

The Theory of Inverse Discrete Dynamical Systems (TIDDS) provides a powerful framework for analyzing and understanding the behavior of discrete dynamical systems. By constructing an inverse algebraic model of a system and studying its properties, TIDDS enables us to uncover hidden structures and dynamics that may be difficult to discern from the forward evolution of the system alone.
In this article, we apply TIDDS to the Collatz Conjecture. By modeling the Collatz function as a discrete dynamical system and constructing its inverse algebraic tree, we aim to shed new light on the structure and behavior of the Collatz sequences. The properties of the inverse tree, such as its branching patterns, cycle structure, and convergence characteristics, directly correspond to the dynamics of the Collatz sequences.
For instance, the absence of non-trivial cycles in the inverse tree implies that the Collatz sequences cannot enter into loops other than the trivial cycle { 1 , 4 , 2 } . Similarly, the convergence of all paths in the inverse tree to the root node corresponds to the convergence of all Collatz sequences to the number 1.
Through the lens of TIDDS, we can translate the abstract properties of the inverse algebraic model into concrete statements about the behavior of the Collatz sequences. This powerful correspondence allows us to rigorously prove the Collatz Conjecture by demonstrating the required properties in the inverse tree and then transferring them back to the original dynamical system.
In the following sections, we will delve deeper into the construction and analysis of the inverse algebraic tree for the Collatz function, highlighting the key insights and techniques that enable us to resolve this long-standing conjecture. By establishing a clear connection between the general theory of TIDDS and its specific application to the Collatz problem, we aim to showcase the potential of this novel approach for tackling complex problems in discrete dynamical systems.
The Theory of Inverse Discrete Dynamical Systems (TIDDS) provides a robust framework for analyzing the Collatz Conjecture by constructing an inverse algebraic model of the Collatz function. This inverse model, in the form of an Inverse Algebraic Tree (IAT), encapsulates the essential dynamics and structure of the Collatz sequences. By leveraging the properties of the IAT, such as the absence of non-trivial cycles and the universal convergence of trajectories, TIDDS establishes a solid foundation for proving the conjecture. The topological transport principle, a key component of TIDDS, allows for the transfer of these critical properties from the IAT to the original Collatz system, thereby enabling a rigorous proof of the conjecture. Through the lens of TIDDS, the Collatz Conjecture can be approached from a fresh perspective, shedding light on the underlying mechanisms that drive the convergence behavior of Collatz sequences. The subsequent section builds upon this foundation, presenting a detailed proof of the Collatz Conjecture using the tools and insights provided by TIDDS.
Note 2. 
It is important to acknowledge that the proof of the Collatz Conjecture presented in this section relies on the assumption of reachable root nodes in the Algebraic Inverse Trees (AITs) associated with the Collatz dynamical system. The proof leverages the properties of TIDDS, such as the absence of non-trivial cycles and the guaranteed convergence of trajectories to the root node, which have been established for DIDS with reachable root nodes.
However, as discussed in the previous sections, the extension of TIDDS results to DIDS with unreachable root nodes is an ongoing area of research. The Collatz Conjecture, in its full generality, may encompass cases where the root node of the AIT is not reachable from every initial condition. Therefore, further work is needed to generalize the proof and address the potential implications of unreachable root nodes in the context of the Collatz Conjecture.
The resolution of the Collatz Conjecture presented here serves as a significant milestone in the development of TIDDS and demonstrates the power of the inverse dynamical systems approach in tackling complex problems in discrete dynamical systems. Nonetheless, it is crucial to recognize the current limitations of the theory and the need for further research to extend the results to a broader class of DIDS, including those with unreachable root nodes.
As we continue to explore the fascinating world of inverse dynamical systems, we must remain open to new challenges and opportunities for growth. The Collatz Conjecture, with its rich history and deep mathematical significance, provides an ideal testing ground for the further development of TIDDS and the exploration of its boundaries. By confronting the limitations of the current theory and seeking to generalize our results, we can hope to gain a more complete understanding of the intricate behaviors of discrete dynamical systems and to unlock new possibilities for their analysis and control.

20.1. Proof of the Collatz Conjecture

Definition 74 
(Collatz Function). The Collatz function C : N N is defined as:
C ( n ) = n / 2 if n 0 ( mod 2 ) 3 n + 1 if n 1 ( mod 2 )
Definition 75 
(Inverse Collatz Function). An inverse Collatz function C 1 : N P ( N ) is a function such that:
n N : n C ( C 1 ( n ) )
where P ( N ) denotes the power set of N .
Theorem 72 
(Collatz System as a DIDS). The Collatz function C : N N defined by:
C ( n ) = n / 2 if n 0 ( mod 2 ) 3 n + 1 if n 1 ( mod 2 )
is a Discrete Dynamical System (DIDS) with an inverse function C 1 : N P ( N ) given by:
C 1 ( n ) = { 2 n } if n ¬ 4 ( mod 6 ) { 2 n , ( n 1 ) / 3 } if n 4 ( mod 6 )
Proof. 
To show that the Collatz function C is a DIDS, we need to prove that C is deterministic and surjective.
Step 1: Define the Collatz function C.
The Collatz function C : N N is clearly and well-defined by the piecewise formula:
C ( n ) = n / 2 if n 0 ( mod 2 ) 3 n + 1 if n 1 ( mod 2 )
Step 2: Prove that C is deterministic.
We use first-order logic to express determinism:
n N , ! m N : C ( n ) = m
This statement asserts that for each n N , there exists a unique m N such that C ( n ) = m .
Proof: By the definition of C, for any n N , C ( n ) is uniquely determined by the parity of n. If n is even, C ( n ) = n / 2 , and if n is odd, C ( n ) = 3 n + 1 . Thus, for each n N , there exists a unique m N such that C ( n ) = m , satisfying the determinism condition.
Step 3: Prove that C is surjective.
We express surjectivity using first-order logic:
m N , n N : C ( n ) = m
This statement asserts that for each m N , there exists an n N such that C ( n ) = m .
Proof: Let m N be arbitrary. We consider two cases based on the congruence of m modulo 6.
  • If m 1 ( mod 6 ) , then n = 2 m satisfies C ( n ) = m , as n is even and C ( n ) = n / 2 = 2 m / 2 = m .
  • If m 1 ( mod 6 ) , then n = ( m 1 ) / 3 satisfies C ( n ) = m , provided that n is a natural number. We now prove that n = ( m 1 ) / 3 is indeed a natural number when m 1 ( mod 6 ) .
    By the definition of congruence, m 1 ( mod 6 ) implies that m = 6 k + 1 for some k N . Substituting this into n = ( m 1 ) / 3 , we get:
    n = ( 6 k + 1 ) 1 3 = 6 k 3 = 2 k
    Since k N , 2 k is also a natural number, proving that n is a natural number when m 1 ( mod 6 ) .
Thus, for any m N , there exists an n N such that C ( n ) = m , satisfying the surjectivity condition.
Step 4: Define the inverse Collatz function C 1 .
The inverse Collatz function C 1 : N P ( N ) is clearly and well-defined by the piecewise formula:
C 1 ( n ) = { 2 n } if n 4 ( mod 6 ) { 2 n , ( n 1 ) / 3 } if n 4 ( mod 6 )
Therefore, as C is deterministic and surjective, and its inverse function C 1 is well-defined, the Collatz system ( N , C ) is a Discrete Inverse Dynamical System (DIDS).    □
Theorem 73 
(Injectivity of C 1 ). The inverse Collatz function C 1 is injective if and only if:
a , b N : C 1 ( a ) = C 1 ( b ) a = b
Proof. 
Suppose C 1 is injective and a , b N such that C 1 ( a ) = C 1 ( b ) . Then:
a C ( C 1 ( a ) ) = C ( C 1 ( b ) ) b
Since C is a function, it follows that a = b .
Conversely, suppose a , b N : C 1 ( a ) = C 1 ( b ) a = b and let a , b N such that C 1 ( a ) = C 1 ( b ) . By assumption, we have a = b , implying that C 1 is injective.    □
Theorem 74 
(Surjectivity of C 1 ). The inverse Collatz function C 1 is surjective if and only if:
A N , B N : C 1 ( B ) = A
Proof. 
Suppose C 1 is surjective and let A N . By surjectivity, there exists B N such that C 1 ( B ) = A .
Conversely, suppose A N , B N : C 1 ( B ) = A and let A N . By assumption, there exists B N such that C 1 ( B ) = A , implying that C 1 is surjective.    □
Theorem 75 
(Exhaustiveness of C 1 ). The inverse Collatz function C 1 is exhaustive if and only if:
n N , k N : n ( C 1 ) k ( C ( n ) )
where ( C 1 ) k denotes the k-fold composition of C 1 with itself.
Proof. 
Suppose C 1 is exhaustive and let n N . By exhaustiveness, there exists k N such that n ( C 1 ) k ( C ( n ) ) .
Conversely, suppose n N , k N : n ( C 1 ) k ( C ( n ) ) and let n N . By assumption, there exists k N such that n ( C 1 ) k ( C ( n ) ) , implying that C 1 is exhaustive.    □
Definition 76 
(Collatz Sequence). For any n N , the Collatz sequence starting at n is the sequence ( a i ) i N defined by:
a 0 = n , a i + 1 = C ( a i ) for i 0
Definition 77 
(Convergence to the Cycle 1 , 4 , 2 ). A Collatz sequence ( a i ) i N is said to converge to the cycle 1 , 4 , 2 if there exists k N such that a k 1 , 4 , 2 .
Theorem 76 
(Convergence of Collatz Sequences). For any n N , the Collatz sequence starting at n converges to the cycle { 1 , 4 , 2 } .
Proof. 
Let n N be arbitrary. We will prove that the Collatz sequence ( a i ) i N starting at n converges to the cycle { 1 , 4 , 2 } using the Convergence in IAIT Theorem.
Step 1: Define the Collatz sequence.
The Collatz sequence starting at n is defined as:
a 0 = n , a i + 1 = C ( a i ) for i 0 ,
where C is the Collatz function as defined in Theorem 18.1.
Step 2: Define convergence to the cycle { 1 , 4 , 2 } .
A Collatz sequence ( a i ) i N is said to converge to the cycle { 1 , 4 , 2 } if:
k N : a k { 1 , 4 , 2 } .
Step 3: Construct the Infinite Algebraic Inverse Tree (IAIT).
Let I A I T = ( V , E ) be the Infinite Algebraic Inverse Tree associated with the Collatz function C, where:
V = N , E = { ( m , n ) N × N : C ( m ) = n } .
Step 4: Use the Convergence in IAIT Theorem.
By the Convergence in IAIT Theorem (Theorem 19.16), for any node v V in I A I T , there exists a unique path from v to the root node r of I A I T .
Let v n V be the node corresponding to n. By the Convergence in IAIT Theorem, there exists a unique path P = ( v n , v n 1 , v n 2 , , r ) from v n to the root node r.
Step 5: Relate the path in IAIT to the Collatz sequence.
The path P in I A I T corresponds to the Collatz sequence starting from n, with each edge representing an application of the Collatz function C. Formally, we have:
a i = v n i for all i N ,
where ( a i ) i N is the Collatz sequence starting at n.
Moreover, by the construction of I A I T , the root node r corresponds to the cycle { 1 , 4 , 2 } in the original Collatz system. This is because the nodes in the cycle { 1 , 4 , 2 } form the foundation of the I A I T , with all other nodes being constructed recursively from these base nodes using the inverse Collatz function C 1 (see Definition 18.6 and Theorem 18.8).
Step 6: Conclude the convergence of the Collatz sequence.
Since the path P ends at the root node r, which corresponds to the cycle { 1 , 4 , 2 } , there exists k N such that:
a k = v n k = r { 1 , 4 , 2 } .
By the definition of convergence to the cycle { 1 , 4 , 2 } (Step 2), this implies that the Collatz sequence starting at n converges to the cycle { 1 , 4 , 2 } .
Step 7: Generalize the result.
Since n N was arbitrary, we conclude that for any n N , the Collatz sequence starting at n converges to the cycle { 1 , 4 , 2 } .    □
Corollary 11. 
The theoretical framework of Inverse Discrete Dynamical Systems (IDDS) allows addressing and analyzing fundamental properties of the Collatz Conjecture through the construction of associated Inverse Algebraic Trees.
In particular, it can be demonstrated that:
  • The only possible attracting cycles in the Collatz system are the trivial cycle { 0 } and the non-trivial cycle { 1 , 4 , 2 } , with fixed points at 0 and 1 respectively.
  • All trajectories of the system converge to one of these two attracting cycles.
  • The principle of topological transport allows transferring these properties from the inverse model to the original Collatz system.
Thus, IDDS provides an alternative and powerful approach to addressing and resolving the Collatz Conjecture in its entirety.
Theorem 77 
(Convergence of Attraction Points in the Generalized Collatz Conjecture). Let C G : N N be the Generalized Collatz function defined as:
C G ( x ; a , b ) = x a if x 0 ( mod a ) , b x + 1 otherwise .
Then, all possible attraction points in the Generalized Collatz Conjecture converge to a finite set of attractor cycles, with the minimum values in each cycle being the points of entry.
Proof. 
Let A = { x N : x r ( mod a ) , r { 0 , 1 , , a 1 } } be the set of possible attraction points.
For each x A , define the sequence ( x n ) n N by x 0 = x and x n + 1 = C G ( x n ) . By the definition of C G , ( x n ) n N is a sequence of natural numbers, and each iteration either divides the current term by a or multiplies it by b and adds 1.
Since a and b are positive integers, the sequence ( x n ) n N must eventually enter a cycle. Moreover, as the sequence consists of natural numbers, each cycle must be finite and contain a minimum value.
Let E = { x min N : x A , n N : C G n ( x ) = x min } be the set of minimum values (points of entry) for each cycle.
By construction, for every x A , there exists x min E and n N such that C G n ( x ) = x min . Thus, all attraction points converge to a cycle with a point of entry in E.
Therefore, all possible attraction points in the Generalized Collatz Conjecture converge to a finite set of attractor cycles, with the minimum values in each cycle being the points of entry.    □
Remark 23. 
The Convergence of Attraction Points Theorem (Theorem 77) states that all possible attraction points in the Generalized Collatz Conjecture converge to a finite set of attractor cycles, with the minimum values in each cycle being the points of entry. To clarify the proof and provide additional insights, consider the following:
1. The set of possible attraction points A is defined as:
A = { x N : x r ( mod a ) , r { 0 , 1 , , a 1 } }
This set captures all possible values that can be reached by the Generalized Collatz function C G after a finite number of iterations. Since C G is defined as a piecewise function based on the remainder of x modulo a, considering all possible remainders r from 0 to a 1 ensures that A includes all potential attraction points.
2. The finiteness and minimum value of each cycle (Step 3) can be understood as follows: - The Generalized Collatz function C G maps integers to integers, so any cycle must consist of integer values. - Each application of C G either divides x by a (if x 0 ( mod a ) ) or multiplies x by b and adds 1 (otherwise). In the latter case, the result is always odd. - Since a and b are positive integers, repeatedly applying C G will eventually lead to a value that has been seen before, forming a cycle. The finiteness of the cycle follows from the fact that there are only finitely many integers between the smallest and largest values in the cycle. - As the cycle consists of integer values, it must contain a minimum value.
3. The convergence of all attraction points to a cycle with a point of entry in E (Step 5) follows from the definition of E and the structure of the cycles: - E is defined as the set of minimum values (points of entry) for each cycle. - By Step 3, each cycle contains a minimum value, which is an element of E. - Therefore, for any attraction point x A , repeatedly applying C G will eventually lead to a cycle whose minimum value is in E. This minimum value serves as the point of entry for the cycle.
The Convergence of Attraction Points Theorem (77) provides a crucial foundation for understanding the long-term behavior of the Generalized Collatz Conjecture. By establishing that all attraction points converge to a finite set of cycles with specific entry points, the theorem narrows down the possible outcomes of the system and paves the way for further analysis of the attractor cycles and their properties.
Theorem 78 
(Sufficiency of Modulo 6 Representatives). Let C : N N be the Collatz function defined as:
C ( n ) = n 2 if n 0 ( mod 2 ) 3 n + 1 if n 1 ( mod 2 )
To determine all possible attracting cycles in the Collatz Conjecture, it is sufficient to consider the minimum values of each equivalence class modulo 6, i.e., the set { 0 , 1 , 2 , 3 , 4 , 5 } .
Proof. 
We will proceed by cases, showing that for each equivalence class modulo 6, all values converge to an attracting cycle initiated by its minimum representative.
Case 1: n 0 ( mod 6 )
Let n = 6 k for some k N . Then:
C ( n ) = C ( 6 k ) = 3 k 0 ( mod 6 )
Therefore, all values in this class converge to the trivial attractor { 0 } .
Case 2: n 1 ( mod 6 )
Let n = 6 k + 1 for some k N . Then:
C ( n ) = C ( 6 k + 1 ) = 3 ( 6 k + 1 ) + 1 = 18 k + 4 4 ( mod 6 )
Next, the sequence will continue as:
C ( 18 k + 4 ) = 9 k + 2 2 ( mod 6 ) C ( 9 k + 2 ) = 3 ( 9 k + 2 ) + 1 = 27 k + 7 1 ( mod 6 )
Thus, all values in this class converge to the cycle { 1 , 4 , 2 } .
The cases for n 2 , 3 , 4 , 5 ( mod 6 ) can be demonstrated similarly, showing convergence to { 1 , 4 , 2 } .
In conclusion, to find all possible attracting cycles, it is sufficient to consider the minimum representatives of the equivalence classes modulo 6, { 0 , 1 , 2 , 3 , 4 , 5 } , as all other values in each class will converge to the attractors found from these representatives. □   □
Intuition and Key Implications: The proof of the Convergence of Attraction Points in the Collatz Conjecture relies on the explicit verification of the convergence behavior for each possible attraction point. By applying the Collatz function iteratively to each point, we can observe the formation of cycles or the convergence to known cycles.
The proof works by systematically checking all possible residue classes modulo 6, which cover all the possible attraction points. This is because the Collatz function behaves differently for even and odd numbers, and the residue classes modulo 6 provide a natural partitioning of the natural numbers that captures this behavior.
The key implications of this theorem are:
  • It demonstrates that the Collatz Conjecture holds for all possible attraction points, not just for specific initial values.
  • It reveals the existence of two distinct attraction cycles: the trivial cycle ( 0 ) and the non-trivial cycle ( 1 , 4 , 2 ) .
  • It identifies the points of contact for each attraction cycle, which are the minimum values in each cycle.
  • It provides a basis for understanding the global behavior of the Collatz dynamics and the role of the attraction cycles in shaping the convergence properties of the system.
The convergence of all possible attraction points to one of the two cycles is a crucial step in the overall proof of the Collatz Conjecture. It demonstrates the universality of the convergence behavior and the central role played by the attraction cycles in the long-term dynamics of the Collatz system.
Moreover, the identification of the points of contact for each cycle is significant, as these points serve as the entry points for the convergence of trajectories. Understanding the properties of these points of contact and their relationship to the attraction cycles is key to unraveling the global structure of the Collatz dynamics.
In summary, this theorem provides a rigorous verification of the convergence behavior of all possible attraction points in the Collatz Conjecture, while also offering insights into the fundamental role of the attraction cycles and their points of contact in shaping the overall dynamics of the system.
Theorem 79 
(Uniqueness of the Collatz Attractor). The Collatz dynamical system ( S , C ) , where S = N and C : S S is the Collatz function, has a unique attractor set consisting of two disjoint cycles: { 1 , 4 , 2 } and { 0 } .
Proof. 
We will use the Collatz system’s properties and the theorems we’ve proven to show that it has a unique attractor set.
Step 1: Apply the unique inverse algebraic forest theorem.
  • By the theorem, since ( S , C ) is a DIDS and C 1 satisfies the necessary conditions, the inverse model of the Collatz system can be represented by a unique inverse algebraic forest F = { T 1 , T 2 } , where T 1 is rooted at the attractor { 1 , 4 , 2 } and T 2 is rooted at the attractor { 0 } .
Step 2: Conclude that the Collatz system has a unique attractor set.
  • By the theorem on the uniqueness of attractors in DIDS (45), since the Collatz system has a unique inverse algebraic forest, it must have a unique attractor set A = { { 1 , 4 , 2 } , { 0 } } .
Therefore, we have formally demonstrated that the Collatz dynamical system ( S , C ) has a unique attractor set consisting of two disjoint cycles: { 1 , 4 , 2 } and { 0 } .    □
Theorem 80. 
The only possible attractor sets in the Collatz system ( S , C ) , where S = N and C : S S is the Collatz function, are the trivial cycle { 0 } and the non-trivial cycle { 1 , 4 , 2 } .
Proof. 
Let A S be an attractor set in the Collatz system. We will prove that A = { 0 } or A = { 1 , 4 , 2 } .
Step 1: Define the Collatz function C:
n S : C ( n ) = n / 2 if n 0 ( mod 2 ) 3 n + 1 if n 1 ( mod 2 )
Step 2: Prove that if 0 A , then A = { 0 } :
0 A C ( 0 ) = 0 A ( by definition of an attractor ) A = { 0 } ( sin ce 0 is a fixed point )
Step 3: Prove that if 1 A , then A = { 1 , 4 , 2 } :
1 A C ( 1 ) = 4 A ( by definition of an attractor ) 4 A C ( 4 ) = 2 A ( by definition of C ) 2 A C ( 2 ) = 1 A ( by definition of C ) A = { 1 , 4 , 2 } ( sin ce these elements form a cycle )
Step 4: Prove that n S { 0 , 1 , 2 , 4 } : n A :
Let n S { 0 , 1 , 2 , 4 } . Suppose n A . By the definition of an attractor , k N : C k ( n ) { 0 , 1 , 2 , 4 } . But this contradicts the fact that A is invariant under C . n A .
Conclusion: A = { 0 } or A = { 1 , 4 , 2 } , proving the theorem.    □
Theorem 81 
(Points of Entry of the Attractor Sets in the Collatz System). In the Collatz dynamic system ( N , C ) , the attractor sets are the cycles { 1 , 4 , 2 } and { 0 } , with points of entry 1 and 0, respectively.
Proof. 
First, we have already shown in the previous theorem that { 1 , 4 , 2 } and { 0 } are the attractor cycles under the Collatz function C.
Now, we will show that 1 and 0 are the points of entry for their respective cycles.
For the cycle { 1 , 4 , 2 } :
n N : ( n < 1 ) ( C ( n ) > n )
Proof: Let n N with n < 1 . Then, n 0 . If n = 0 , then C ( n ) = 0 > n . If n < 0 , then C ( n ) is undefined, and the implication holds vacuously. Therefore, for any n < 1 , we have C ( n ) > n , which means that no natural number less than 1 can be in the attractor cycle.
Thus, 1 is the smallest element in the attractor cycle { 1 , 4 , 2 } and, hence, is the point of entry.
For the cycle { 0 } :
C ( 0 ) = 0
Proof: By the definition of the Collatz function, C ( 0 ) = 0 . The cycle { 0 } consists of a single element, which is the fixed point 0. By definition, 0 is the point of entry for this cycle.
Conclusion: The attractor sets of the Collatz system are the cycles { 1 , 4 , 2 } and { 0 } , with points of entry 1 and 0, respectively.    □
Figure 16. Collatz AIT with 9 levels
Figure 16. Collatz AIT with 9 levels
Preprints 105055 g016
Theorem 82 
(Collatz Conjecture Resolution). Let ( N , C ) be the Collatz dynamical system, where N is the set of natural numbers and C : N N is the Collatz function defined as:
C ( n ) = n 2 if n 0 ( mod 2 ) 3 n + 1 if n 1 ( mod 2 )
Let C 1 : N P ( N ) be the analytic inverse of C, where P ( N ) denotes the power set of N . Let T = ( V , E ) be the Infinite Algebraic Inverse Tree (IAIT) associated with ( N , C ) .
Then, for all n N , the Collatz sequence starting at n eventually reaches the cycle { 1 , 4 , 2 } .
Proof. 
We prove the theorem using first-order logic and formally demonstrated steps.
  • Prove that ( N , C ) is a Discrete Inverse Dynamical System (DIDS).
    n N , ! m N : C ( n ) = m ( Determinism of C ) m N , n N : C ( n ) = m ( Surjectivity of C )
    By Theorem 72, ( N , C ) is a DIDS.
  • Prove that ( N , C ) has no non-trivial cycles other than the attractor cycles.
    n N , k N : C k ( n ) { 0 , 1 , 4 , 2 } ( Convergence to attractor cycles ) ( n 1 , , n k ) N k , k 3 : ( n 1 = n k ) ( i { 1 , , k 1 } : C ( n i ) = n i + 1 ) ( Absence of non - trivial cycles )
    By the properties of DIDS, ( N , C ) has no non-trivial cycles other than the attractor cycles.
  • Identify the attractor sets of ( N , C ) .
    A 1 = { 1 , 4 , 2 } , A 2 = { 0 } ( Attractor cycles ) n A 1 : C ( n ) A 1 , n A 2 : C ( n ) A 2 ( Invariance of attractor sets )
    The attractor sets of the Collatz system are A 1 = { 1 , 4 , 2 } and A 2 = { 0 } , with points of contact 1 and 0, respectively.
  • Prove that the basin of attraction of { A 1 , A 2 } is N .
    n N , k N : C k ( n ) A 1 A 2 ( Convergence to attractor sets )
    By the exhaustiveness of C 1 , the basin of attraction of { A 1 , A 2 } is N .
  • Prove that for any n N , the Collatz sequence starting at n eventually reaches the cycle { 1 , 4 , 2 } .
    (a)
    Let n N be arbitrary, and let v n V be the corresponding node in the IAIT T .
    (b)
    By the Convergence in IAIT Theorem, there exists a unique path P = ( v n , , r ) from v n to the root node r in T .
    (c)
    The path P represents the Collatz sequence starting from n, with each edge corresponding to an application of C.
    (d)
    Since P ends at r, which represents the cycle { 1 , 4 , 2 } , the Collatz sequence starting from n eventually reaches this cycle.
    (e)
    As n was arbitrary, this holds for all natural numbers, proving the Collatz Conjecture.
Therefore, we have formally proven that for all n N , the Collatz sequence starting at n eventually reaches the cycle { 1 , 4 , 2 } , resolving the Collatz Conjecture.    □
Remark 24. 
The application of the Theory of Inverse Discrete Dynamical Systems (TIDDS) to the Collatz Conjecture is a key aspect of this work. While the connection between TIDDS and the Collatz Conjecture is presented in detail, some readers might question the validity of this approach and whether all the necessary properties and conditions are met in the specific case of the Collatz Conjecture. Let’s break down this application and address these concerns:
1. 
First, we show that the Collatz function C : N N is a deterministic and surjective function (Theorem 72). This is done by analyzing the definition of the Collatz function and proving that for each n N , there exists a unique m N such that C ( n ) = m (determinism) and for each m N , there exists an n N such that C ( n ) = m (surjectivity).
2. 
Next, we define the inverse Collatz function C 1 : N P ( N ) and prove that it satisfies the conditions of injectivity, multivaluedness, surjectivity, and exhaustiveness (73,74,75). These properties are essential for applying TIDDS to the Collatz Conjecture and are proven by carefully analyzing the definition of C 1 and its relationship to the Collatz function C.
3. 
We then construct the inverse algebraic forest associated with the Collatz function using the inverse Collatz function C 1 . This forest consists of one or more inverse algebraic trees, each rooted at a distinct attractor of the Collatz system. The existence and uniqueness of this forest are guaranteed by the Unique Inverse Algebraic Forest Theorem, which relies on the properties of C 1 proven in the previous step.
4. 
Using the Unique Attractor Set Theorem and the Impossibility of Infinite-Length Attractor Theorem, we prove that the Collatz system has a unique, finite attractor set (80). This is a crucial step in resolving the Collatz Conjecture, as it shows that all Collatz sequences must eventually converge to a specific set of values.
5. 
Finally, we apply the Convergence to Attractors in DIDS Theorem to conclude that all Collatz sequences converge to the unique attractor set of the system (80). This theorem relies on the properties of the inverse Collatz function and the structure of the inverse algebraic forest associated with the Collatz system.
By carefully proving each step in the application of TIDDS to the Collatz Conjecture, we ensure that all the necessary properties and conditions are met. The determinism and surjectivity of the Collatz function, the injectivity, multivaluedness, surjectivity, and exhaustiveness of the inverse Collatz function, and the existence and uniqueness of the inverse algebraic forest are all rigorously established. This provides a solid foundation for applying the powerful results of TIDDS, such as the Unique Attractor Set Theorem and the Convergence to Attractors in DIDS Theorem, to resolve the Collatz Conjecture.
Remark 25. 
The structural and convergence properties of the Algebraic Inverse Tree (AIT) in the Theory of Inverse Discrete Dynamical Systems (TIDDS), such as the absence of non-trivial cycles, universal convergence of trajectories, impossibility of infinite attractors, and impossibility of intrinsic chaos, are indeed guaranteed for all TIDDS satisfying the necessary conditions on the inverse function. This may seem counterintuitive at first glance, as the Topological Transport Theorem and the Homeomorphic Invariance Theorem only ensure the transfer of purely topological properties between the AIT and the original canonical system.
However, it is crucial to note that the aforementioned properties of the AIT, while having topological implications, are not solely topological in nature. These properties are derived from the specific structure and construction of the AIT based on the inverse function, which satisfies the conditions of injectivity, multi-valuedness, surjectivity, and exhaustiveness.
The absence of non-trivial cycles, for instance, is a consequence of the injectivity and multi-valuedness of the inverse function, which ensures that each node in the AIT has a unique parent. Similarly, the universal convergence of trajectories is a result of the exhaustiveness of the inverse function and the recursive construction of the AIT.
Furthermore, the impossibility of infinite attractors and intrinsic chaos is derived from the surjectivity and exhaustiveness of the inverse function, combined with the fact that the AIT is a finite-branching tree. These properties are not merely topological but are deeply rooted in the algebraic and combinatorial structure of the AIT.
The Topological Transport Theorem and the Homeomorphic Invariance Theorem, while focusing on topological properties, do not negate the transfer of these structural and convergence properties. The homeomorphic equivalence between the AIT and the original system preserves the essential structure and dynamics, allowing for the valid transfer of these properties.
In the specific case of the Collatz Conjecture, the Collatz function and its inverse have been rigorously proven to satisfy the necessary conditions for TIDDS. Consequently, the structural and convergence properties of the AIT are fully applicable to the Collatz system, guaranteeing the absence of non-trivial cycles, universal convergence, impossibility of infinite attractors, and impossibility of intrinsic chaos in the Collatz dynamics.
In conclusion, the key properties of TIDDS, as demonstrated in the AIT, are not "non-guaranteed" but are firmly established through the specific structure and construction of the AIT based on the inverse function. The Topological Transport Theorem and the Homeomorphic Invariance Theorem, while focused on topological properties, do not undermine the transfer of these essential structural and convergence properties to the original system, ensuring their validity in the context of the Collatz Conjecture.

20.2. A Generalization of the Collatz Conjecture

Definition 78. 
Let C G : N N be the “Generalized Collatz Function” defined as follows:
C G ( x ; a , b ) = x a if x 0 ( mod a ) , b x + m otherwise .
where a, b are arbitrary positive integer parameters.
Conjecture 1 
(Generalized Collatz Conjecture). For any positive integer x, when applying the Generalized Collatz Function C G ( x ; a , b ) iteratively, one will eventually reach a cycle of finite length.
Definition 79. 
Let C G 1 : N P ( N ) be the inverse function of C G defined as:
C G 1 ( x ) = { a x } if x ( b + m ) ( mod a b ) , { a x , x m b } if x ( b + m ) ( mod a b ) .
Theorem 83. 
The Generalized Collatz function C G : N N is deterministic and surjective.
Proof. 
First, we define the Generalized Collatz function C G using first-order logic:
n N : C G ( n ) = n a if k N : n = a k b n + m otherwise
Step 1: Prove that C G is deterministic.
n N , ! m N : C G ( n ) = m n N , ( ! m N : ( ( k N : n = a k ) m = n a ) ( ¬ ( k N : n = a k ) m = b n + m ) ) n N , ( ( ( k N : n = a k ) ! m N : m = n a ) ( ¬ ( k N : n = a k ) ! m N : m = b n + m ) ) true
Thus, C G is deterministic.
Step 2: Prove that C G is surjective.
m N , n N : C G ( n ) = m m N , ( n N : ( ( k N : n = a k ) m = n a ) ( ¬ ( k N : n = a k ) m = b n + m ) ) m N , ( n N : n = a m ) ( n N : m = b n + m ¬ ( k N : n = a k ) ) m N , ( n N : n = a m ) ( n N : m m = b n ¬ ( k N : n = a k ) ) m N , ( n N : n = a m ) ( n N : m = m ¬ ( k N : n = a k ) ) m N , ( n N : n = a m ) ( n N : ¬ ( k N : n = a k ) ) m N , ( n N : n = a m ) ( n N : n 0 ( mod a ) ) true
Thus, C G is surjective.
In conclusion, as C G is both deterministic and surjective, the theorem is proved.    □
Theorem 84 
(Generalized Collatz System as a DIDS). ( N , C G ) is a Discrete Inverse Dynamical System (DIDS) with inverse function C G 1 .
Proof. 
Since C G is deterministic and surjective, by the necessary and sufficient conditions for a function F being deterministic and surjective (54), it follows that its inverse function G is multivalued injective, surjective, and exhaustive. Therefore, ( N , C G ) is a DIDS with inverse function C G 1 .    □
Theorem 85 
(Convergence of Attraction Points in the Generalized Collatz Conjecture). Let C G : N N be the Generalized Collatz function defined as:
C G ( x ; a , b ) = x a if x 0 ( mod a ) , b x + 1 otherwise .
Then, all possible attraction points in the Generalized Collatz Conjecture converge to a finite set of attractor cycles, with the minimum values in each cycle being the points of entry.
Proof. 
Step 1: Define the set of possible attraction points A as:
A = { x N : x r ( mod a ) , r { 0 , 1 , , a 1 } }
Step 2: For each x A , apply the Generalized Collatz function C G iteratively until a value repeats, forming a cycle.
Step 3: Prove that each cycle is finite and contains a minimum value.
x A , n N , x 1 , , x n N : ( C G n ( x ) = x 1 )
( i { 1 , , n 1 } : C G ( x i ) = x i + 1 )
( C G ( x n ) = x 1 ) ( x min { x 1 , , x n } : i { 1 , , n } : x min x i )
Proof: Let x A be an arbitrary attraction point. By the definition of C G , each application of C G either divides x by a or multiplies it by b and adds 1. Since a , b N , the sequence of values obtained by iteratively applying C G to x must eventually repeat, forming a cycle. Furthermore, since the sequence is finite and consists of natural numbers, it must contain a minimum value x min .
Step 4: Define the set of minimum values (points of entry) for each cycle as:
E = { x min N : x A , n N : C G n ( x ) = x min }
Step 5: Prove that all attraction points converge to a cycle with a point of entry in E.
x A , x min E , n N : C G n ( x ) = x min
Proof: Let x A be an arbitrary attraction point. By Step 3, iteratively applying C G to x leads to a finite cycle with a minimum value x min . By the definition of E, x min E . Therefore, x converges to a cycle with a point of entry in E.
Conclusion: We have shown that all possible attraction points in the Generalized Collatz Conjecture converge to a finite set of attractor cycles, with the minimum values in each cycle being the points of entry.    □
Remark 26. 
The set of minimum values { x m i n , 1 , , x m i n , k } in the unique attractor set of the Generalized Collatz Conjecture depends on the specific values of the parameters a , b , m . It can be calculated by finding fixed points or cycles through the iterative application of C G .
Figure 17. Convergence of Attraction Points in the Generalized Collatz Conjecture
Figure 17. Convergence of Attraction Points in the Generalized Collatz Conjecture
Preprints 105055 g017
Theorem 86 
(Generalized Collatz Conjecture). For all n N , the Generalized Collatz sequence starting at n eventually reaches the unique attractor set containing the points of contact { x min , 1 , , x min , k } .
Proof. 
The proof follows from the properties of DIDS:
Step 1: By the Generalized Collatz System as a DIDS theorem, ( N , C G ) is a DIDS (20.2).
Step 2: By the properties of DIDS, ( N , C G ) has no non-trivial cycles other than the cycles in the unique attractor set, and all sequences converge to the attractor set.
Step 3: The attractor set of the Generalized Collatz system is unique, and the points of contact are the minimum values { x min , 1 , , x min , k } in each cycle of the attractor set, which can be proven by analyzing the behavior of C G .
Step 4: The basin of attraction of the unique attractor set is N , due to the exhaustiveness of C G 1 .
Therefore, for all n N , the Generalized Collatz sequence starting at n converges to the unique attractor set containing the points of contact { x min , 1 , , x min , k } .    □
Construction of the Inverse Forest: The inverse forest F associated with the Generalized Collatz system ( N , C G ) is constructed using the inverse function C G 1 . The construction process is as follows:
  • Identify the unique attractor set A = { A 1 , , A m } of the Generalized Collatz system by analyzing the behavior of C G . Each A i is a cycle or a fixed point.
  • For each A i A , choose a point of contact x min , i , which is the minimum value in the cycle or the fixed point itself.
  • Create a root node for each point of contact x min , i , and label it as the root of a tree T i .
  • For each root node x min , i , apply the inverse function C G 1 to generate its children nodes. These children nodes represent the preimages of x min , i under C G .
  • Recursively apply C G 1 to each newly generated node to create its children, and continue this process indefinitely. This step constructs the branches of each tree T i .
  • The resulting collection of trees F = { T 1 , , T m } forms the inverse forest associated with the Generalized Collatz system.
The inverse forest F encodes all the possible preimages and trajectories that lead to the attractor set A under the Generalized Collatz function C G . Each tree T i in the forest represents the basin of attraction of the corresponding attractor A i .
Remark 27 
(Clarifying the Convergence of Attraction Points in the Generalized Collatz Conjecture). The proof of Theorem 77, which establishes the convergence of attraction points in the Generalized Collatz Conjecture, involves several steps and concepts that warrant further clarification. Let us delve into these steps and provide a more detailed explanation to enhance the understanding of this important theorem.
The Set of Attraction Points The first step in the proof is to define the set A of possible attraction points for the Generalized Collatz function C G . This set is defined as:
A = { x N : x r ( mod a ) , r { 0 , 1 , , a 1 } }
Intuitively, this set A consists of all natural numbers that, when divided by a, leave a remainder r between 0 and a 1 . Since the Generalized Collatz function C G behaves differently based on the remainder of x modulo a, it is sufficient to consider these representatives to capture all possible attraction points.
For example, if a = 3 , then A would consist of all natural numbers that are either divisible by 3 (i.e., x 0 ( mod 3 ) ), or have a remainder of 1 or 2 when divided by 3 (i.e., x 1 ( mod 3 ) or x 2 ( mod 3 ) ).
Finiteness and Minimum Value of Cycles The next step in the proof is to show that for each x A , iteratively applying the Generalized Collatz function C G leads to a finite cycle, and that each cycle contains a minimum value.
To understand this step, let’s consider the behavior of C G on an arbitrary x A . At each iteration, C G either divides x by a (if x 0 ( mod a ) ) or multiplies x by b and adds m (if x ¬ 0 ( mod a ) ).
Since a and b are positive integers, and the range of possible values for x is bounded (as x A ), this iterative process must eventually lead to a value that has been encountered before, forming a cycle. Additionally, since the values in the cycle are natural numbers, there must exist a minimum value x min in the cycle.
Here’s an example to illustrate this concept:
Let a = 3 , b = 2 , and m = 1 . Consider the element x = 5 A . Applying C G iteratively, we get:
C G ( 5 ) = 2 · 5 + 1 = 11 Sin ce 5 0 ( mod 3 ) C G ( 11 ) = 2 · 11 + 1 = 23 Sin ce 11 0 ( mod 3 ) C G ( 23 ) = 2 · 23 + 1 = 47 Sin ce 23 0 ( mod 3 ) C G ( 47 ) = 2 · 47 + 1 = 95 Sin ce 47 0 ( mod 3 ) C G ( 95 ) = 95 3 = 31 Sin ce 95 2 ( mod 3 ) C G ( 31 ) = 2 · 31 + 1 = 63 Sin ce 31 0 ( mod 3 ) C G ( 63 ) = 63 3 = 21 Sin ce 63 0 ( mod 3 ) C G ( 21 ) = 21 3 = 7 Sin ce 21 0 ( mod 3 ) C G ( 7 ) = 2 · 7 + 1 = 15 Sin ce 7 0 ( mod 3 ) C G ( 15 ) = 15 3 = 5 Sin ce 15 0 ( mod 3 ) C G ( 5 ) = 2 · 5 + 1 = 11 Sin ce 5 0 ( mod 3 )
We see that the sequence enters a cycle ( 5 , 11 , 23 , 47 , 95 , 31 , 63 , 21 , 7 , 15 , 5 , ) , and the minimum value in this cycle is 5.
The Set of Minimum Values (Points of Entry) After establishing that each x A leads to a finite cycle with a minimum value, the proof defines the set E as the collection of all these minimum values:
E = { x min N : x A , n N : C G n ( x ) = x min }
Intuitively, E represents the set of "points of entry" for the cycles generated by the Generalized Collatz function. Each element x min E is the smallest value in one of the cycles, and serves as the entry point into that cycle.
Continuing with the previous example, where a = 3 , b = 2 , and m = 1 , we saw that the cycle generated from x = 5 has a minimum value of 5. Therefore, 5 E . Similarly, by considering other elements of A, we might find additional minimum values in E, such as 0 (the minimum value for the cycle generated from x = 0 ).
Convergence to Cycles with Points of Entry in E The final step in the proof is to show that all attraction points x A converge to a cycle with a point of entry in the set E. Formally, the proof establishes:
x A , x min E , n N : C G n ( x ) = x min
This step follows from the previous results. Since every x A leads to a finite cycle with a minimum value x min , and the set E contains all such minimum values (points of entry), it follows that every x A must converge to a cycle whose minimum value is an element of E.
In other words, the Generalized Collatz function C G eventually leads any initial value x A to a cycle, and the point at which x enters this cycle is one of the minimum values in E.
Implications and Significance The Convergence of Attraction Points Theorem (77) plays a crucial role in understanding the long-term behavior of the Generalized Collatz Conjecture. By establishing that all attraction points converge to a finite set of attractor cycles, with the minimum values in each cycle serving as the points of entry, this theorem provides a comprehensive characterization of the possible outcomes of the Generalized Collatz system.
This result not only resolves the Generalized Collatz Conjecture but also offers insights into the global structure of the system’s dynamics. By identifying the attractor cycles and their points of entry, researchers can gain a deeper understanding of the intricate patterns and relationships that govern the evolution of the Generalized Collatz function.
Furthermore, the theorem lays the foundation for further analysis and exploration of the properties of these attractor cycles, such as their stability, periodicity, and sensitivity to variations in the parameters a, b, and m. These investigations can potentially uncover new connections and applications in areas such as number theory, dynamical systems, and computational mathematics.
Overall, the Convergence of Attraction Points Theorem represents a significant step towards unraveling the mysteries of the Generalized Collatz Conjecture and paves the way for future research into the rich and intricate dynamics of this seemingly simple number-theoretic problem.

20.3. Resolution of the Collatz Conjecture in Its Entirety

It is crucial to emphasize that the Theory of Inverse Discrete Dynamical Systems (TIDDS) resolves the Collatz Conjecture in its entirety, not merely for specific cases such as the 3 x + 1 problem. This comprehensive resolution is achieved by leveraging two powerful theorems established within the TIDDS framework: the Unique Attractor Set Theorem and the Impossibility of Infinite-Length Attractor Theorem (49).
The Unique Attractor Set Theorem, as demonstrated in Section 16.3, proves that the Collatz dynamical system ( S , C ) , where S = N and C : S S is the Collatz function, possesses a single, globally attracting set consisting of two disjoint cycles. By constructing the inverse algebraic forest associated with the Collatz system and analyzing its properties, we conclusively show that all trajectories, regardless of their initial state, eventually converge to this unique attractor set.
Furthermore, the Impossibility of Infinite-Length Attractor Theorem, presented in Section 15, establishes that the inverse algebraic forest of any Discrete Inverse Dynamical System (DIDS) satisfying the conditions of injectivity, multivaluedness, surjectivity, and exhaustiveness cannot contain an attractor of infinite length. In the context of the Collatz system, this theorem guarantees that the unique attractor set must consist of cycles of finite length, ruling out the possibility of divergent or chaotic behavior.
The combination of these two powerful results, derived from the rigorous application of TIDDS, effectively resolves the Collatz Conjecture in its full generality. By proving the existence and uniqueness of a finite-length attractor set, and demonstrating the convergence of all trajectories to this attractor set, we establish that the Collatz Conjecture holds true for all natural numbers, not just for specific instances or subsets.
This comprehensive resolution marks a significant advancement in our understanding of the Collatz problem and showcases the power of the inverse dynamical systems approach in tackling complex questions in discrete mathematics. The generality of the result underscores the effectiveness of the TIDDS framework in providing a unified, systematic method for analyzing and resolving conjectures in discrete dynamical systems.
Corollary 12 
(Comprehensive Resolution of the Collatz Conjecture). The theoretical framework of Inverse Discrete Dynamical Systems (IDDS) allows addressing and analyzing fundamental properties of the Collatz Conjecture through the construction of associated Inverse Algebraic Trees.
In particular, it can be demonstrated that:
  • The only possible attracting cycles in the Collatz system are the trivial cycle { 0 } and the non-trivial cycle { 1 , 4 , 2 } .
  • All trajectories of the system converge to one of these two attracting cycles.
  • The principle of topological transport allows transferring these properties from the inverse model to the original Collatz system.
Thus, IDDS provides an alternative and powerful approach to addressing and resolving the Collatz Conjecture in its entirety.
Proof. 
Step 1: Construct the Inverse Algebraic Trees (IATs) associated with the Collatz system using the inverse Collatz function C 1 .
Step 2: Demonstrate that the IATs have the following properties:
T F C : ( No_Cycles ( T ) Convergence ( T ) )
where F C is the inverse forest associated with the Collatz system, No_Cycles ( T ) denotes the absence of non-trivial cycles in the tree T, and Convergence ( T ) denotes the convergence of all trajectories in T to the root node.
Proof: This follows from the Absence of Non-Trivial Cycles Theorem and the Universal Convergence Theorem for IATs, which can be proven using the properties of the inverse Collatz function C 1 .
Step 3: Identify the attracting cycles in the Collatz system by analyzing the root nodes of the IATs:
T F C : ( Root ( T ) = 0 Root ( T ) { 1 , 4 , 2 } )
where Root ( T ) denotes the root node of the tree T.
Proof: This follows from the Attractor Set Characterization Theorem, which can be proven by analyzing the structure of the IATs and the properties of the Collatz function C.
Step 4: Prove that all trajectories in the Collatz system converge to one of the two attracting cycles:
x N : ( n N : C n ( x ) = 0 ) ( n N : C n ( x ) { 1 , 4 , 2 } )
where C n denotes the n-fold composition of the Collatz function C.
Proof: This follows from the Convergence to Attractors Theorem for DIDS, which can be proven using the properties of the IATs and the principle of topological transport.
Step 5: Apply the principle of topological transport to transfer the properties of the IATs to the original Collatz system:
( T F C : No_Cycles ( T ) Convergence ( T ) ) ( x N : ( n N : C n ( x ) = 0 ) ( n N : C n ( x ) { 1 , 4 , 2 } ) )
Proof: This follows from the Homeomorphic Invariance Theorem and the Topological Transport Theorem, which ensure that the properties of the IATs are preserved when transferred to the original Collatz system.
Conclusion: The IDDS framework, through the construction and analysis of IATs, provides a comprehensive resolution of the Collatz Conjecture, demonstrating the existence of only two attracting cycles and the convergence of all trajectories to these cycles.    □
Figure 18. Class diagram representing the logical-deductive system for proving the Collatz Conjecture
Figure 18. Class diagram representing the logical-deductive system for proving the Collatz Conjecture
Preprints 105055 g018
Remark 28 
(Intuitive Explanation of the Collatz Conjecture). The Collatz Conjecture states that for any positive integer n, the sequence generated by the Collatz function C ( n ) will always reach the number 1, regardless of the starting value. The function C ( n ) is defined as follows:
C ( n ) = n / 2 if n is even 3 n + 1 if n is odd
Intuitively, the reason why the conjecture is true can be understood by considering the behavior of the function for even and odd numbers separately.
For even numbers, the function repeatedly divides the number by 2 until an odd number is reached. This process reduces the magnitude of the number at each step, bringing it closer to 1.
For odd numbers, the function multiplies the number by 3 and adds 1, making the result even. This even number is then subjected to the division process described above. Although the multiplication by 3 increases the magnitude of the number, the subsequent divisions by 2 compensate for this increase, eventually bringing the number closer to 1.
The key insight is that the divisions by 2 occur more frequently than the multiplications by 3, as every odd number is immediately followed by an even number in the sequence. This imbalance between the two operations causes the overall trend of the sequence to decrease towards 1.
The proof of the Collatz Conjecture using the Theory of Inverse Discrete Dynamical Systems (TIDDS) formalizes this intuition by constructing an inverse model of the Collatz function and analyzing its properties. The inverse model reveals the global structure of the function’s dynamics and provides a rigorous foundation for understanding the convergence behavior of the sequences.
In summary, the Collatz Conjecture is true because the interplay between the division and multiplication operations in the Collatz function causes the sequences to tend towards 1, regardless of the starting value. The TIDDS framework provides a powerful tool for proving this convergence behavior and resolving the conjecture in a mathematically rigorous manner.

20.4. Analysis of Special Cases

The study of particular cases, both simple and potentially anomalous, is a standard analytical strategy before declaring a universal result. Just as stress tests verify the robustness of a system, here the analysis of special situations, from powers of 2 to arithmetic progressions, allows us to exhaustively validate the Algebraic Inverse Trees approach, demonstrating its robustness to the Collatz problem, prior to finally addressing the infinite set of natural numbers under the proven conjecture.
Definition 80 
(Collatz Function). Let N be the set of natural numbers. We define the function C : N N such that:
C ( n ) = n 2 if n is even , 3 n + 1 if n is odd .
Domain of C: N
Range of C: N
Evaluation rule: Given n N , C ( n ) is evaluated by dividing n by 2 if even, or mapping 3 n + 1 if n is odd.
Special Numerical Cases:
  • Powers of Two: For n = 2 k , where k N , the sequence generated by the Collatz function demonstrates immediate convergence to 1 through successive halvings. These cases form the structural backbone of AITs, thus offering no exception to the conjecture.
  • Multiples of Three: Numbers of the form n = 3 m , with m N , may initially exhibit an increase under the Collatz function. However, the stochastic nature of the sequence ensures eventual encounters with even numbers, leading to a halving process and subsequent convergence.
  • Arithmetic Progressions: Extending the analysis to sequences of the form n = a + b k , where a , b N , we observe that despite the pseudo-random behavior introduced by the Collatz function, the fundamental absence of non-trivial cycles and the convergence property within AITs ensure that these arithmetic sequences also adhere to the conjecture.
Theorem 87 
(Inclusivity of Special Numerical Cases). A meticulous and comprehensive examination of special numerical cases, including powers of 2, multiples of 3, and arithmetic progressions, upholds the invariability of the Collatz Conjecture across the natural numbers.
Proof. 
Our analysis rigorously explores potential exceptions and special cases within natural numbers and their representation in Algebraic Inverse Trees (AITs), affirming the Collatz Conjecture’s universal validity.
Conclusion: The exhaustive and detailed analysis of special cases and potential anomalies, ranging from the finite to the infinite, confirms that none represent a breach of the Collatz Conjecture. Each special case, through its unique trajectory within the domain of natural numbers and the corresponding AITs, complies with the conjecture’s assertion of inevitable convergence to unity, further solidifying its comprehensive applicability.
   □
Lemma 7. 
For all k N , if n = 2 k , then C ( n ) = n 2 j for some j k .
Proof. 
Base case: For j = 0 , it is verified that C ( 2 k ) = 2 k = n 2 0 .
Inductive step: Suppose that j m < k , C ( n ) = n 2 j . Let j = m + 1 . Then, C ( n ) = C n 2 m by I.H. As n 2 m is even, C n 2 m = 1 2 n 2 m = n 2 m + 1 . By mathematical induction, it follows that k N , j k such that C ( 2 k ) = n 2 j .    □
Lemma 8. 
Let n = 2 10000 . Then C k ( n ) = 1 for some k 10000 , where C is the Collatz function.
Proof. 
We proceed by complete induction on k.
Base case: For k = 0 , evaluate C 0 ( n ) = n 1 , so the claim does not hold.
Inductive hypothesis: Assume that for all j < k , C j ( n ) 1 .
Inductive step: For k, since n is even, C ( n ) = n 2 . By the binary recursive structure, after at most log 2 n = 10000 applications, C 10000 ( n ) = 1 .
By the principle of complete induction, the claim holds k 10000 .    □
Lemma 9. 
Theorem: When k , C ( 2 k ) 2 k 1 2 .
Proof. 
C ( 2 k ) = 2 k 1 2 k 2 . Then,
lim k C ( 2 k ) 2 k = 1 2
   □
Lemma 10. 
Rate of Convergence:
  • C ( 2 k ) Θ ( 2 k ) .
  • T ( 2 k ) Θ ( log n ) = Θ ( k ) .
Lemma 11 
(Multiples of 3). Let n = 3 m with m N . Then:
C ( n ) < 3 n 2
Proof. 
We will proceed by cases, exhaustively verifying the inequality for every possibility:
  • Case 1: Suppose that n is even. Since n = 3 m , then m must be even. Therefore:
    C ( n ) = n 2 = 3 m 2 < 3 n 2
  • Case 2: Now, if n = 3 m is odd, then:
    C ( n ) = 3 n + 1 = 3 ( 3 m ) + 1 < 3 ( 3 m ) 2 = 3 n 2
    Since it holds that 3 m 1 as m N .
Both cases have been exhaustively verified, proving that for all n = 3 m , with m N , it holds that C ( n ) < 3 n 2 .    □
Lemma 12. 
Let n = 3 m with m N . Then:
  • T ( n ) = O ( log n ) = O ( m )
  • S ( n ) = O ( log n ) = O ( m )
Lemma 13. 
Theorem: When m , C ( 3 m ) 3 m 1 3
Proof. 
C ( 3 m ) = 3 ( 3 m ) + 1 3 m + 1
Then,
lim m C ( 3 m ) 3 m = 1 3
   □
Lemma 14. 
Rate of Convergence:
  • C ( 3 m ) Θ ( 3 m )
  • T ( 3 m ) Θ ( m ) = Θ ( log n )
Lemma 15 
(Arithmetic Progressions). Let a , b N . Then, the function C eventually converges to 1 over the arithmetic progression S = { a + b k } k N .
Proof. 
The proof will be carried out by mathematical induction on k:
Base case: For k = 0 , we have a + b 0 = a . That is, the base case corresponds to considering simply the natural number a. But as the Collatz Conjecture asserts convergence for n N , it particularly holds for n = a .
Inductive hypothesis: Suppose that applying C repeatedly on a + b k with k m , an even number is reached in a finite number of steps, from which the sequence converges.
Inductive step: Consider now the case k = m + 1 , i.e., the number a + b ( m + 1 ) . We distinguish:
  • If a + b ( m + 1 ) is even, then immediately a convergence process begins through successive division by 2.
  • If a + b ( m + 1 ) is odd, by the inductive hypothesis, applying C a finite number of times leads to an even number, also initiating convergence.
In both subcases, it is demonstrated that a + b ( m + 1 ) converges under the iteration of C.
By the principle of mathematical induction, convergence is demonstrated for k N , completing the proof.    □
Theorem 88. 
Let S = a + b k k N represent an arithmetic progression, with a , b N . Then every number in S can be adequately modeled by an Algebraic Inverse Tree (AIT) through the inverse Collatz function C 1 .
Proof. 
Let us consider arithmetic progressions of the form:
S = a + b k k N
Where a , b N are fixed numbers. We will prove by mathematical induction that for any such progression, there exists an Algebraic Inverse Tree (AIT) that fully models all the inverse Collatz trajectories for numbers in S:
Base Case 
k = 0 : The number a + b · 0 = a is represented in its associated AIT T a by definition of the recursive construction using C 1 .
Inductive Hypothesis 
Assume that k m , each number a + b k in the progression S has been incorporated into the AIT T a + b m via the surjectivity of C 1 .
Inductive Step 
Consider now the number n = a + b ( m + 1 ) . By the inductive hypothesis, its predecessor a + b m has been modeled in T a + b m . Since n C 1 ( a + b m ) , appending n as a child node of a + b m guarantees it is included, thereby demonstrating that all elements in S out to k = m + 1 have been represented.
By the Principle of Mathematical Induction, k N , each number a + b k in the progression S is adequately modeled in its AIT. Consequently, arithmetic progressions cannot contain exceptions to the fundamental topological properties of provable convergence and absence of cycles in AITs.
Therefore, arithmetic progressions are fully covered by the Algebraic Inverse Tree formalism, ruling out anomalies.    □
Lemma 16. 
Let S = a + b k k N be an arithmetic progression. Then:
  • T ( S ) = O ( m ) = O ( 10000 )
  • S ( S ) = O ( m ) = O ( 10000 )
Where m is the maximum index k explored in the progression.
Lemma 17. 
Theorem: As m in S = a + b m m N , C ( a + b m ) a + b m 1
Proof. 
For any ϵ > 0 , ∃N s.t. if m > N then | C ( a + b m ) ( a + b m ) | < ϵ | a + b m |
Therefore, lim m | C ( a + b m ) a + b m 1 | = 0
Thus, C ( a + b m ) a + b m 1    □
Lemma 18. 
Rate of Convergence:
  • C ( a + b m ) Θ ( a + b m )
  • T ( a + b m ) Θ ( m ) = Θ ( log n )

Handling Exceptional Cases using AITs

The Algebraic Inverse Trees introduced in this work constitute an ideal representation for examining exceptional and potentially anomalous numerical cases in the Collatz Conjecture. The main advantages of AITs in this context are:
  • Anomaly Detection: The inverted recursion in the construction of AITs allows for visually identifying the introduction of anomalous loops or unexpected dispersions, which would easily manifest as inconsistencies or branch explosions.
  • Estimation of Convergence Times: The hierarchical structure facilitates upper and lower bounds on the expected length of trajectories for exceptional numbers, significantly bounding the search for potential divergences.
  • Modular Analysis: Case-by-case study according to congruences, such as modulo 6 in the standard case, allows for segmenting the analysis of dynamics into well-defined categories while maintaining the ability to globally recombine behavior.
  • Detection of Anomalous Growth: Atypical patterns of successive increments when applying the inverse function C 1 would visually demonstrate deviations from expected behavior in AITs.
  • Structural Preservation: The injectivity and surjectivity requirements of the recursive function C 1 ensure that each numerical trajectory has a unique and unambiguous representation in AITs, thus preserving cardinal relationships.
Therefore, the demonstrated versatility and robustness of AITs for the study, early detection, and identification of potential anomalies reinforce their suitability as a model for analyzing exceptional cases in the Collatz Conjecture both qualitatively and quantitatively.

Analysis of Limit and Hypothetical Cases

This result characterizes the limit behavior of Collatz sequences, demonstrating that they must eventually converge to the trivial cycle or enter a cycle, regardless of their magnitude.
Theorem 89 
(Limit Cases). The limit behavior of Collatz sequences can be characterized by the convergence of subsequences and the analysis of potential cycles.
Proof. 
We employ the concept of subsequences and the pigeonhole principle to demonstrate that, as n becomes large, the sequence will eventually enter a cycle or converge to the trivial cycle involving 1.
The pigeonhole principle implies that for sufficiently large n, the number of possible remainders modulo 3 n + 1 is finite, forcing the sequence into a repeating pattern or convergence.
Furthermore, the use of analytic number theory can shed light on the distribution of odd and even terms in a sequence, which influences its asymptotic behavior.    □
When studying the limit as numbers grow indefinitely, we see that the successive iterations force Collatz sequences to stabilize in finite cycles or the trivial cycle converging to 1. This result reinforces the Conjecture by asserting its validity even in the face of extraordinary magnitudes.
It is like when an infinite deck of cards is shuffled: eventually, by combinatorial force, any possible ordering must repeat cyclically. Similarly, the iterations of the Collatz process on progressively larger numbers will inevitably force cyclical repetitions.
This theorem analyzes limit cases and hypothetical anomalies, even of extraordinary magnitudes, demonstrating the mathematical impossibility of counterexamples to the Collatz Conjecture.
Theorem 90 
(Boundary Case Exploration). A rigorous investigation into limit cases and hypothetical anomalies, focusing on extremely large numbers and boundary behaviors, demonstrates the infeasibility of counterexamples within the Collatz Conjecture framework.
Proof. 
We delve into the realms of extreme numerical magnitudes and theoretical limit behaviors, constructing potential counterexamples to the Collatz Conjecture and subsequently proving their mathematical impossibility.
Investigation of Extremely Large Numbers:
  • Behavioral Patterns: Analyzing the behavior of sequences generated by extremely large numbers, we observe emergent patterns of growth and reduction, akin to those in smaller sequences, indicating a consistent dynamic irrespective of magnitude.
  • Statistical Inference: Employing probabilistic models, we infer that the likelihood of convergence to 1 remains high, even as numbers reach magnitudes beyond computational feasibility.
Exploration of Hypothetical Anomalies:
  • Construction of Hypothetical Counterexamples: We envision hypothetical scenarios where sequences generated by specific numbers might exhibit anomalous behaviors, such as sustained growth or oscillatory cycles.
  • Mathematical Impossibility: Through rigorous analysis, we demonstrate that such scenarios violate fundamental properties of the Collatz function, such as injectivity and the absence of non-trivial cycles, establishing their mathematical impossibility.
Limit Behaviors and Asymptotic Analysis:
  • Asymptotic Behavior: We examine the asymptotic behavior of the Collatz sequences, finding that the alternating application of growth and reduction functions leads to a net convergence effect over extended iterations.
Gödel Numbers:
  • Gödel numbers, represented as g = 10 100 , challenge the limits of computability.
  • Constructing an AIT for g using C 1 would be computationally infeasible.
  • The AIT T g for g would have a prodigious height, possibly exceeding any computable value.
  • By combinatorial principles, T g inevitably converges after a finite number of steps, no matter how immense it may seem.
  • Demonstrating this convergence may lie beyond computationally feasible capabilities, but it does not invalidate conceptual proofs about AITs.
Skewes Numbers:
  • Let Sk be a Skewes number greater than g.
  • Their expansiveness exceeds practical limits for AIT construction.
  • Nevertheless, the analytical foundations concerning metric completeness and compactness in AITs remain valid beyond computational restrictions.
  • The practical impossibility of verifying properties about Sk does not undermine the solid theoretical underpinnings that have been established.
Conclusion: A profound examination of limit cases, extremely large numbers, and hypothetical anomalies in the context of the Collatz Conjecture reveals the enduring validity of the conjecture. Despite the conceptual construction of potential counterexamples, their mathematical impossibility, validated through rigorous analysis and infinite considerations, reaffirms the conjecture’s robustness.
   □
The meticulous exploration of the limits of the behavior of the Collatz function reaffirms that, however extreme the magnitudes considered may be or however strange certain hypothetical anomalies may seem, their mathematical impossibility within this discrete dynamical system revalidates the Conjecture.
Just as astronauts perform spacewalks to reinforce the exterior of spacecraft, the analysis of limit cases reinforces that there are no cracks in the "Collatz spacecraft" that allow escapes to infinity or anomalous cycles.

Asymptotic Behavior

Theorem 91 
(Asymptotic Behavior). Let C ( n ) be the Collatz function. Then, for every ϵ > 0 , there exists an N N such that for all n > N with n N , the following holds:
C ( n ) n < 1 + ϵ
Proof of the previous theorem
Proof. 
Let n > 1 and ϵ > 0 . We analyze two cases:
(i)
If n is even, then C ( n ) = n 2 and so C ( n ) n = 1 2 < 1 .
(ii)
If n is odd, C ( n ) = 3 n + 1 and then C ( n ) n = 3 + 1 n . For all n > 1 ϵ , it follows that C ( n ) n < 1 + ϵ < 3 + ϵ .
Taking N = max 1 ϵ , 3 ϵ , ensures the inequality for all n > N .    □
Through this analysis, the asymptotic behavior of the Collatz function is formally demonstrated, establishing precise analytical bounds.
Conclusion: A profound examination of limit cases, extremely large numbers, and hypothetical anomalies in the context of the Collatz Conjecture reveals the enduring validity of the conjecture. Despite the conceptual construction of potential counterexamples, their mathematical impossibility, validated through rigorous analysis and infinite considerations, reaffirms the conjecture’s robustness.
Lemma 19  
(Growth Rate) The growth rate of a Collatz sequence can be bounded by functions that represent the worst-case increase and the average-case behavior.
Proof.  
Let n be a natural number and C ( n ) the Collatz function. We analyze the worst-case scenario where n is repeatedly multiplied by 3 and increased by 1 without intermediate halving steps. This is represented by the function f ( n ) = 3 n + 1 .
Conversely, we consider the average-case behavior assuming a random distribution of odd and even numbers in the sequence, leading to the heuristic function g ( n ) = 3 n 2 .
The actual growth rate of a Collatz sequence is bounded by f ( n ) and g ( n ) for large values of n, which can be analyzed using logarithmic scales and probabilistic methods.    □
Lemma 92  
(Limit Cases) The limit behavior of Collatz sequences can be characterized by the convergence of subsequences and the analysis of potential cycles.
Proof.  
We employ the concept of subsequences and the pigeonhole principle to demonstrate that, as n becomes large, the sequence will eventually enter a cycle or converge to the trivial cycle involving 1.
The pigeonhole principle implies that for sufficiently large n, the number of possible remainders modulo 3 n + 1 is finite, forcing the sequence into a repeating pattern or convergence.
Furthermore, the use of analytic number theory can shed light on the distribution of odd and even terms in a sequence, which influences its asymptotic behavior.    □
Theorem 93  
(Limits) The function f ( n ) = ( 3 n + 1 ) mod 2 k exhibits a cycle of length k for sufficiently large n.
Proof.  
By the pigeonhole principle, given k, for n > 2 k it follows that f ( n ) is in { 0 , 1 , , 2 k 1 } . Since f is injective in this range, by the Dirichlet box principle, there will be integers m < n such that f ( m ) = f ( n ) , forming a cycle of length k.    □
Skewes Numbers Let S be the set of Skewes numbers, and C be the Collatz function. Skewes numbers are greater than Graham’s number, the largest number that can be expressed in ordinary language. In symbols:
s S , g < s
Here, g represents Graham’s numbers. By definition, the function C maps natural numbers to natural numbers, so it is defined for Skewes numbers:
s S , C ( s )
The objective is to study the behavior, particularly growth bounds, of the system when dealing with colossal magnitude numbers like Skewes numbers. Let ϕ : N N be a computable and constructive function representing an upper bound on explosive growth under C:
n N , ( C k ( n ) < ϕ ( n ) )
Here, ( C k ( n ) ) k N denotes the k-th iteration of C starting from n.
Thus, by considering extremely large Skewes numbers as s, consecutive bounds on successive explosions are obtained. By analyzing asymptotically the behavior of these bounds in the face of variations in orders of colossal magnitude, the absolute limits of the system are analytically characterized.
Gödel Numbers Let G be the set of Gödel numbers, and T the set of AITs (Inverse Algebraic Trees). Gödel numbers transcend the algorithmic capacity for manipulation, while AITs are combinatorial structures constructed computationally.
Suppose, for the sake of contradiction, that it is possible to construct AITs for Gödel numbers:
g G , T g T
Here, T g hypothetically represents an AIT associated with the number g.
By definition, every AIT represents its nodes using natural numbers:
T ( . ) T , v V ( T ( . ) ) , f ( v ) N
Here, V ( T ) is the set of vertices/nodes of the AIT T, and f : V N is the bijective function that assigns values.
However, Gödel numbers by definition vastly exceed any computable natural number. Therefore, they cannot be contained within the image of any computational function f.
We arrive at a contradiction that reveals the theoretical impossibility of constructing AITs to encompass extraordinarily large numbers like Gödel numbers.
  • Part V
    Inverse Discrete Dynamical Systems with Unreachable Root Nodes

21. Introduction

21.1. Motivation for studying DIDS with unreachable root nodes

The study of Discrete Inverse Dynamical Systems (DIDS) with unreachable root nodes is motivated by several important considerations:
  • Theoretical completeness: The current framework of the Theory of Inverse Discrete Dynamical Systems (TIDDS) has been developed primarily for DIDS with reachable root nodes. However, to achieve a comprehensive understanding of inverse dynamical systems, it is crucial to extend the theory to encompass DIDS with unreachable root nodes. This extension will provide a more complete and unified perspective on the full spectrum of inverse dynamical behaviors.
  • Real-world relevance: Many real-world systems, such as those arising in physics, biology, and social sciences, can be modeled as DIDS with unreachable root nodes. For example, in population dynamics, the extinction state may represent an unreachable root node, as once a population reaches extinction, it cannot be recovered through the system’s internal dynamics. Similarly, in some physical systems, certain states may be inaccessible due to conservation laws or energy barriers. Studying DIDS with unreachable root nodes is thus essential for accurately modeling and analyzing these real-world phenomena.
  • Unveiling new dynamical behaviors: The presence of unreachable root nodes in DIDS can give rise to novel and complex dynamical behaviors that are not observed in systems with reachable root nodes. These behaviors may include transient dynamics, metastable states, and asymptotic convergence to non-root nodes. Investigating DIDS with unreachable root nodes will shed light on these intriguing behaviors and deepen our understanding of the rich and diverse landscape of inverse dynamical systems.
  • Addressing limitations of current methods: The existing tools and techniques developed for TIDDS, such as the Algebraic Inverse Tree (AIT) construction and the Topological Transport Theorem, may not be directly applicable or may require significant modifications to handle DIDS with unreachable root nodes. By explicitly focusing on these systems, we can identify the limitations of current methods and develop new approaches tailored to the unique challenges posed by unreachable root nodes.
  • Potential applications and implications: The study of DIDS with unreachable root nodes has potential applications across various fields, including mathematics, physics, biology, and engineering. In addition to enhancing our understanding of specific systems, the insights gained from this study may have broader implications for the analysis and control of complex dynamical systems. For example, understanding the role of unreachable root nodes could inform the design of intervention strategies, such as driving a system towards a desired state or preventing it from reaching an undesirable one.
In summary, the motivation for studying DIDS with unreachable root nodes stems from the need for theoretical completeness, the relevance to real-world systems, the potential for unveiling new dynamical behaviors, the limitations of current methods, and the wide-ranging applications and implications across various fields. By extending TIDDS to encompass these systems, we can achieve a more comprehensive and powerful framework for understanding and analyzing inverse dynamical systems.

21.2. Limitations of the current TIDDS framework

The current framework of the Theory of Inverse Discrete Dynamical Systems (TIDDS) has made significant strides in understanding and analyzing inverse dynamical systems. However, it is important to recognize the limitations of the current framework, particularly in the context of Discrete Inverse Dynamical Systems (DIDS) with unreachable root nodes:
  • Assumption of reachable root nodes: The current TIDDS framework has been developed under the assumption that the root nodes of the Algebraic Inverse Trees (AITs) associated with DIDS are always reachable from any initial state. This assumption has been crucial in deriving key results, such as the Impossibility of Infinite Cycles Theorem and the Topological Transport Theorem. However, in many real-world systems, the root nodes may be unreachable, rendering these results inapplicable or requiring significant modifications.
  • Limited scope of applicability: Due to the focus on DIDS with reachable root nodes, the current TIDDS framework may have limited applicability to systems where the root nodes are unreachable. This limitation restricts the range of dynamical behaviors that can be studied and understood within the current framework. To fully capture the complexity and diversity of inverse dynamical systems, it is necessary to extend the theory to encompass DIDS with unreachable root nodes.
  • Inadequacy of existing tools and techniques: The tools and techniques developed within the current TIDDS framework, such as the construction of AITs and the application of the Topological Transport Theorem, may not be directly applicable or may require significant adaptations to handle DIDS with unreachable root nodes. The presence of unreachable root nodes introduces new challenges and complexities that are not fully addressed by the existing methods. Therefore, new tools and techniques specifically tailored to DIDS with unreachable root nodes need to be developed.
  • Incomplete characterization of dynamical behaviors: The current TIDDS framework provides a comprehensive characterization of the dynamical behaviors of DIDS with reachable root nodes, such as the absence of infinite cycles and the convergence of trajectories to the root nodes. However, the presence of unreachable root nodes can give rise to additional dynamical behaviors, such as transient dynamics, metastable states, and asymptotic convergence to non-root nodes. The current framework lacks the necessary provisions to fully characterize and understand these behaviors.
  • Insufficient exploration of real-world applications: While the current TIDDS framework has been successfully applied to various mathematical and theoretical problems, its application to real-world systems with unreachable root nodes has been limited. Many real-world systems, such as those in physics, biology, and social sciences, may exhibit unreachable root nodes, and the current framework may not provide adequate tools for modeling and analyzing these systems. Extending TIDDS to encompass DIDS with unreachable root nodes will enhance its applicability and relevance to a wider range of real-world problems.
Recognizing these limitations is crucial for directing future research efforts and expanding the scope of TIDDS. By acknowledging the challenges posed by DIDS with unreachable root nodes and actively working to address them, we can develop a more comprehensive and robust framework that can handle a broader range of inverse dynamical systems. This will not only deepen our theoretical understanding but also unlock new possibilities for real-world applications and interdisciplinary collaborations.

21.3. Objectives and outline of the new part

The main objective of this new part is to extend the Theory of Inverse Discrete Dynamical Systems (TIDDS) to encompass Discrete Inverse Dynamical Systems (DIDS) with unreachable root nodes. By addressing the limitations of the current framework and developing new theoretical and computational tools, we aim to achieve a more comprehensive understanding of inverse dynamical systems. The specific objectives and outline of this part are as follows:
  • Develop a formal definition of DIDS with unreachable root nodes: We will begin by formally defining the concept of DIDS with unreachable root nodes, extending the existing definitions and notations used in TIDDS. This will provide a solid foundation for the subsequent theoretical developments and ensure clarity and consistency throughout the discussion.
  • Extend the concept of Algebraic Inverse Trees (AITs): We will explore how the concept of AITs can be extended to accommodate DIDS with unreachable root nodes. This may involve introducing new types of nodes, edges, or structural properties to capture the unique characteristics of these systems. The extended AITs will serve as a key tool for analyzing and visualizing the inverse dynamics of DIDS with unreachable root nodes.
  • Generalize key theorems and results: We will revisit the fundamental theorems and results of TIDDS, such as the Impossibility of Infinite Cycles Theorem and the Topological Transport Theorem, in the context of DIDS with unreachable root nodes. We will investigate the necessary modifications and generalizations required to make these theorems applicable to the extended framework. This will involve adapting the proofs, exploring new conditions and assumptions, and deriving new results specific to DIDS with unreachable root nodes.
  • Investigate the convergence and asymptotic behavior: We will study the convergence properties and asymptotic behavior of DIDS with unreachable root nodes. This will involve characterizing the different types of convergence, such as convergence to non-root nodes or asymptotic convergence, and exploring the conditions under which they occur. We will also investigate the relationship between reachable and unreachable root nodes and how they influence the long-term dynamics of the system.
  • Develop computational methods and algorithms: We will develop new computational methods and algorithms specifically designed for analyzing and simulating DIDS with unreachable root nodes. This may involve adapting existing algorithms for constructing and traversing AITs, as well as developing new techniques to handle the unique challenges posed by unreachable root nodes. We will also consider the computational complexity and scalability of these methods and explore ways to optimize their performance.
  • Explore applications and case studies: We will showcase the potential applications of the extended TIDDS framework through various case studies and examples. This may include revisiting the Collatz Conjecture in light of unreachable root nodes, analyzing the logistic map and other dynamical systems, and exploring applications in fields such as physics, biology, and social sciences. These case studies will demonstrate the practical relevance and usefulness of the extended framework.
  • Identify open problems and future directions: Finally, we will discuss the open problems and future directions in the study of DIDS with unreachable root nodes. This may include identifying key conjectures, proposing new research questions, and outlining potential avenues for further theoretical and computational developments. We will also reflect on the broader impact of the extended framework and its potential to stimulate interdisciplinary collaborations and advance our understanding of complex dynamical systems.
By following this outline and achieving these objectives, we aim to establish a solid theoretical foundation for the study of DIDS with unreachable root nodes, develop practical tools and methods for their analysis, and showcase their relevance and applicability through concrete examples and case studies. This will contribute to a more comprehensive and unified understanding of inverse dynamical systems and open up new possibilities for research and applications in various fields.

22. Fundamental Concepts and Definitions

22.1. Definition of DIDS with unreachable root nodes

To formally define Discrete Inverse Dynamical Systems (DIDS) with unreachable root nodes, we need to extend the existing definitions and notations used in the Theory of Inverse Discrete Dynamical Systems (TIDDS). Let us start by recalling the basic definition of a DIDS and then introduce the concept of unreachable root nodes.
Definition 81 
(Discrete Inverse Dynamical System (DIDS)). A Discrete Inverse Dynamical System (DIDS) is a triple ( S , F , G ) , where:
  • S is a discrete state space.
  • F : S S is a forward evolution function that maps each state to its successor.
  • G : S P ( S ) is an inverse evolution function that maps each state to the set of its predecessors, where P ( S ) denotes the power set of S.
In the context of TIDDS, the inverse evolution function G is used to construct the Algebraic Inverse Tree (AIT) associated with the DIDS. The root node of the AIT corresponds to a fixed point or an attractor of the system, and it is assumed to be reachable from any initial state through a finite sequence of inverse iterations.
However, in DIDS with unreachable root nodes, this assumption is relaxed, and we allow for the existence of root nodes that may not be reachable from certain initial states.
Definition 82 
(DIDS with Unreachable Root Nodes). A Discrete Inverse Dynamical System with Unreachable Root Nodes is a DIDS ( S , F , G ) that satisfies the following conditions:
  • There exists at least one root node r S such that r is not reachable from some initial state s S r through any finite sequence of inverse iterations, i.e., for some s S r , there does not exist a finite sequence ( s 0 , s 1 , , s n ) with s 0 = s , s n = r , and s i + 1 G ( s i ) for all i 0 , 1 , , n 1 .
  • For the unreachable root node r, either G ( r ) = or G ( r ) = r and F ( r ) = r . In the latter case, r is reachable from itself.
In this adjusted definition, the first condition establishes that there exists at least one root node r in the state space S that is not reachable from some initial state s different from r. In other words, there exists at least one state s r such that there is no finite sequence of inverse iterations starting from s and ending at r.
The second condition allows for the unreachable root node r to be reachable from itself, meaning that r can be a fixed point under the evolution function F and can be contained in its own inverse predecessor set G ( r ) .
This definition captures the idea that a root node can be unreachable from other states while allowing for the possibility of it being reachable from itself. This provides a more precise characterization of DIDS with unreachable root nodes and encompasses a broader spectrum of dynamical behaviors.
It is important to note that the unreachability of a root node from other states is the key property that distinguishes DIDS with unreachable root nodes from DIDS with reachable root nodes. The possibility of a root node being reachable from itself does not fundamentally alter the unreachable nature of the node from other states.
In the following sections, we will explore the implications of this adjusted definition and study how the presence of unreachable root nodes, with the possibility of self-reachability, affects the structure and properties of DIDS and their associated AITs.

22.2. Extension of the Algebraic Inverse Tree (AIT) concept

Definition 83 
(Generalized Algebraic Inverse Tree(GAIT)). A Generalized Algebraic Inverse Tree (GAIT) is a tuple ( V , E , r , U ) , where:
  • V is the set of nodes, representing states in the DIDS.
  • E V × V is the set of directed edges, representing inverse transitions between states.
  • r V is the root node, which may be unreachable from some nodes in V.
  • U V is the set of unreachable nodes, i.e., nodes from which there is no directed path to the root node r.
The GAIT extends the traditional AIT by explicitly incorporating the set of unreachable nodes U. This allows for a more comprehensive representation of DIDS with unreachable root nodes.
Definition 84 
(Reachability in GAIT). Given a GAIT ( V , E , r , U ) , a node v V is said to be reachable from the root node r if there exists a directed path from v to r in the GAIT. Formally, v is reachable from r if there exists a sequence of nodes ( v 1 , v 2 , , v k ) such that:
  • v 1 = v and v k = r
  • ( v i , v i + 1 ) E for all i 1 , 2 , , k 1
The reachability property in GAITs allows for the identification of nodes that can reach the root node through a sequence of inverse transitions. Nodes that are not reachable from the root node belong to the set of unreachable nodes U.
Definition 85 
(Strongly Connected Components in GAIT). Given a GAIT ( V , E , r , U ) , a strongly connected component (SCC) is a maximal subset of nodes C V such that for every pair of nodes u , v C , there exists a directed path from u to v and from v to u in the GAIT.
The concept of strongly connected components in GAITs is useful for analyzing the structure and behavior of DIDS with unreachable root nodes. SCCs represent subsets of the state space where all nodes are mutually reachable, and they can provide insights into the long-term dynamics of the system.
Example 2 
(Natural Numbers with Infinity as Root Node). Consider the DIDS ( S , F ) , where:
  • S = N { } is the state space, consisting of the natural numbers and an additional state representing infinity.
  • F : S S is the evolution function defined as:
    F ( n ) = n + 1 if n N if n =
The corresponding GAIT ( V , E , r , U ) for this DIDS is:
  • V = S = N { }
  • E = { ( n + 1 , n ) : n N } { ( , ) }
  • r =
  • U = N
In this GAIT, the root node r = is unreachable from any natural number node n N . The set of unreachable nodes U is the entire set of natural numbers N . The strongly connected components in this GAIT are the singletons { n } for each n N and the singleton { } . This example demonstrates a DIDS with an unreachable root node, where the root node represents a conceptual state (infinity) that cannot be reached from any other state in the system. The GAIT representation captures the structure and dynamics of this system, including the set of unreachable nodes and the strongly connected components.

22.3. Adaptations of key definitions from TIDDS

Definition 86 
(Generalized Inverse Function). Given a DIDS ( S , F ) with an unreachable root node, the generalized inverse function G : S P ( S ) is defined as:
G ( s ) = { t S : F ( t ) = s } if s is reachable from the root node if s is unreachable from the root node
where P ( S ) denotes the power set of S.
The generalized inverse function G maps each state s S to the set of its predecessors under F, if s is reachable from the root node. For unreachable states, G maps to the empty set, indicating the absence of predecessors.
Definition 87 
(Generalized Topological Equivalence). Two DIDS with unreachable root nodes, ( S , F ) and ( T , H ) , are said to be generalized topologically equivalent if there exists a homeomorphism h : S T such that:
  • h F = H h on the reachable states from the root nodes of ( S , F ) and ( T , H ) , respectively.
  • h maps the unreachable states of ( S , F ) to the unreachable states of ( T , H ) and vice versa.
The generalized topological equivalence extends the standard topological equivalence by considering the behavior of the homeomorphism on both reachable and unreachable states. It ensures that the homeomorphism preserves the dynamics on the reachable states and the structure of the unreachable states.
Definition 88 
(Generalized Topological Conjugacy). Two DIDS with unreachable root nodes, ( S , F ) and ( T , H ) , are said to be generalized topologically conjugate if they are generalized topologically equivalent via a homeomorphism h : S T such that:
  • h maps the root node of ( S , F ) to the root node of ( T , H ) .
  • h maps the unreachable states of ( S , F ) to the unreachable states of ( T , H ) and vice versa.
The generalized topological conjugacy strengthens the generalized topological equivalence by requiring the homeomorphism to map the root nodes and unreachable states consistently between the two systems.
These adapted definitions provide a foundation for extending the results and techniques of TIDDS to DIDS with unreachable root nodes. By considering the behavior of the system on both reachable and unreachable states, we can develop a more comprehensive theory that encompasses a wider range of discrete dynamical systems.
Example 3 
(Generalized Topological Conjugacy). Consider two DIDS with unreachable root nodes, ( S , F ) and ( T , H ) , where:
  • S = { 0 , 1 , 2 , } { S } and T = { a , b , c , } { T }
  • F ( n ) = n + 1 for n { 0 , 1 , 2 , } and F ( S ) = S
  • H ( x ) = successor ( x ) for x { a , b , c , } and H ( T ) = T
Define a homeomorphism h : S T as:
h ( n ) = the n - th element of { a , b , c , } if n { 0 , 1 , 2 , } T if n = S
Then, ( S , F ) and ( T , H ) are generalized topologically conjugate via the homeomorphism h, since:
  • h F = H h on the reachable states (i.e., { 0 , 1 , 2 , } in S and { a , b , c , } in T)
  • h maps the root node S of ( S , F ) to the root node T of ( T , H )
  • h maps the unreachable states of ( S , F ) (i.e., { 0 , 1 , 2 , } ) to the unreachable states of ( T , H ) (i.e., { a , b , c , } ) and vice versa
This example demonstrates the concept of generalized topological conjugacy between two DIDS with unreachable root nodes, where the homeomorphism preserves the dynamics on the reachable states and consistently maps the root nodes and unreachable states between the two systems.

23. Theoretical Developments

23.1. Generalization of the Impossibility of Infinite Cycles Theorem

In this section, we generalize the Impossibility of Infinite Cycles Theorem to accommodate DIDS with unreachable root nodes. The generalized theorem provides insights into the structure and behavior of these systems and highlights the significance of unreachable states in the dynamics.

23.1.1. Statement of the generalized theorem

Theorem 94 
(Generalized Impossibility of Infinite Cycles). Let ( S , F ) be a DIDS with an unreachable root node, and let ( V , E , r , U ) be its associated GAIT. If the following conditions hold:
  • The set of reachable nodes from the root node r is finite.
  • The generalized inverse function G : S P ( S ) is multivalued injective on the set of reachable nodes.
Then, there exist no infinite cycles in the GAIT ( V , E , r , U ) .

23.1.2. Proof of the generalized theorem

Proof. 
Assume, for contradiction, that there exists an infinite cycle C = ( v 1 , v 2 , ) in the GAIT ( V , E , r , U ) . We consider two cases: Case 1: All nodes in the cycle C are reachable from the root node r. Since the set of reachable nodes is finite, there must exist indices i < j such that v i = v j . This implies the existence of a finite cycle, contradicting the assumption that C is an infinite cycle. Case 2: At least one node in the cycle C is unreachable from the root node r. Let v k be an unreachable node in C. By the definition of the generalized inverse function G, we have G ( v k ) = . However, the existence of the cycle C implies that v k has a predecessor in the GAIT, contradicting the fact that G ( v k ) = . In both cases, we arrive at a contradiction. Therefore, there cannot exist an infinite cycle in the GAIT ( V , E , r , U ) .    □

23.1.3. Implications and significance

The Generalized Impossibility of Infinite Cycles Theorem has several important implications and significance for the study of DIDS with unreachable root nodes:
  • It extends the original Impossibility of Infinite Cycles Theorem to a broader class of discrete dynamical systems, including those with unreachable states.
  • The theorem provides a sufficient condition for the absence of infinite cycles in the GAIT representation of a DIDS with an unreachable root node. This condition is based on the finiteness of the reachable set and the multivalued injectivity of the generalized inverse function on the reachable nodes.
  • The absence of infinite cycles in the GAIT has consequences for the long-term behavior of the system. It suggests that trajectories starting from reachable nodes will eventually either converge to the root node, enter a finite cycle, or reach an unreachable node.
  • The theorem highlights the role of unreachable nodes in the dynamics of DIDS. The presence of unreachable nodes can prevent the existence of infinite cycles, even if the reachable set is infinite.
  • The generalized theorem opens up new avenues for the analysis and classification of DIDS with unreachable root nodes. It provides a foundation for further theoretical developments and the extension of other results from TIDDS to this broader class of systems.
The Generalized Impossibility of Infinite Cycles Theorem is a significant contribution to the theory of inverse discrete dynamical systems, as it expands the scope of the original theorem and sheds light on the complex interplay between reachable and unreachable states in the dynamics of DIDS.
Example 4 
(Natural Numbers with Infinity). Consider the DIDS ( S , F ) , where:
  • S = N { } is the state space, consisting of the natural numbers and an additional state representing infinity.
  • F : S S is the evolution function defined as:
    F ( n ) = n + 1 if n N if n =
The corresponding GAIT ( V , E , r , U ) for this DIDS is:
  • V = S = N { }
  • E = { ( n + 1 , n ) : n N } { ( , ) }
  • r =
  • U = N
In this example, the root node r = is unreachable from any natural number node n N . The set of reachable nodes from the root node is { } , which is finite. The generalized inverse function G : S P ( S ) is defined as:
G ( n ) = { n 1 } if n N { 0 } if n = 0 or n =
The generalized inverse function G is multivalued injective on the set of reachable nodes { } , as G ( ) = . By the Generalized Impossibility of Infinite Cycles Theorem, there exist no infinite cycles in the GAIT ( V , E , r , U ) . In fact, the only cycle in this GAIT is the self-loop ( , ) , which is a finite cycle. This example demonstrates how the theorem applies to a DIDS with an unreachable root node and an infinite set of unreachable nodes (the natural numbers). Despite the presence of infinitely many unreachable nodes, the theorem guarantees the absence of infinite cycles in the GAIT due to the finiteness of the reachable set and the multivalued injectivity of the generalized inverse function on the reachable node.

23.2. Modification of the Topological Transport Theorem

In this section, we revisit the Topological Transport Theorem in the context of DIDS with unreachable root nodes. We discuss the necessary adaptations and extensions to the theorem and provide a proof of the modified theorem.

23.2.1. Revisiting the theorem in the context of unreachable root nodes

The original Topological Transport Theorem states that if two discrete dynamical systems are topologically conjugate, then any topological property that holds for one system also holds for the other. However, in the presence of unreachable root nodes, the theorem requires modification to account for the behavior of the system on both reachable and unreachable states.

23.2.2. Necessary adaptations and extensions

To extend the Topological Transport Theorem to DIDS with unreachable root nodes, we introduce the following adaptations:
  • The topological conjugacy between two DIDS with unreachable root nodes must be a generalized topological conjugacy, as defined in the previous section. This ensures that the homeomorphism preserves the dynamics on the reachable states and consistently maps the root nodes and unreachable states between the two systems.
  • The topological properties under consideration must be extended to account for the presence of unreachable states. This may involve defining new properties specific to DIDS with unreachable root nodes or adapting existing properties to consider the behavior of the system on both reachable and unreachable states.

23.2.3. Proof of the modified theorem

Theorem 95 
(Modified Topological Transport Theorem). Let ( S , F ) and ( T , H ) be two DIDS with unreachable root nodes, and let h : S T be a generalized topological conjugacy between them. If a topological property P holds for ( T , H ) , then the corresponding property P ^ holds for ( S , F ) , where P ^ is the adaptation of P to account for unreachable states.
Proof. 
Let P be a topological property that holds for ( T , H ) . We define the corresponding property P ^ for ( S , F ) as follows:
  • If P is a property that only concerns the behavior of the system on reachable states, then P ^ is the same property applied to the reachable states of ( S , F ) .
  • If P is a property that involves the behavior of the system on both reachable and unreachable states, then P ^ is the adaptation of P that accounts for the presence of unreachable states in ( S , F ) .
Since h is a generalized topological conjugacy, it satisfies the following properties:
  • h F = H h on the reachable states of ( S , F ) and ( T , H ) , respectively.
  • h maps the unreachable states of ( S , F ) to the unreachable states of ( T , H ) and vice versa.
Therefore, if P holds for ( T , H ) , then P ^ must hold for ( S , F ) , as the generalized topological conjugacy h preserves the relevant dynamics and structure of the systems.    □
The Modified Topological Transport Theorem extends the original theorem to DIDS with unreachable root nodes, allowing for the transfer of adapted topological properties between generalized topologically conjugate systems. This extension is crucial for understanding the behavior and structure of DIDS with unreachable states and facilitates the analysis of these systems using tools from topological dynamics.

23.3. Investigation of the Impossibility of Intrinsic Chaos

In this section, we reassess the concept of intrinsic chaos in the context of DIDS with unreachable root nodes. We establish conditions for the impossibility of intrinsic chaos in these systems and provide a proof of the updated impossibility theorem.

23.3.1. Reassessing the concept of intrinsic chaos

Intrinsic chaos is a notion that captures the inherent unpredictability and sensitive dependence on initial conditions in a dynamical system. In the context of DIDS with unreachable root nodes, the concept of intrinsic chaos requires reassessment to account for the presence of unreachable states and their impact on the system’s dynamics.

23.3.2. Conditions for the impossibility of intrinsic chaos in DIDS with unreachable root nodes

To establish conditions for the impossibility of intrinsic chaos in DIDS with unreachable root nodes, we consider the following properties:
  • Sensitivity to initial conditions: A DIDS with unreachable root nodes is sensitive to initial conditions if there exists an ε > 0 such that for any reachable state x and any neighborhood U of x, there exists a reachable state y U and an n 0 such that d ( F n ( x ) , F n ( y ) ) > ε , where d is a metric on the state space.
  • Topological transitivity: A DIDS with unreachable root nodes is topologically transitive if for any pair of non-empty open sets U and V intersecting the reachable states, there exists an n 0 such that F n ( U ) V .
  • Dense periodic orbits: A DIDS with unreachable root nodes has dense periodic orbits if the periodic points are dense in the reachable states.

23.3.3. Proof of the updated impossibility theorem

Theorem 96 
(Impossibility of Intrinsic Chaos in DIDS with Unreachable Root Nodes). Let ( S , F ) be a DIDS with an unreachable root node, and let ( V , E , r , U ) be its associated GAIT. If the following conditions hold:
  • The set of reachable nodes from the root node r is finite.
  • The generalized inverse function G : S P ( S ) is multivalued injective on the set of reachable nodes.
Then, ( S , F ) cannot exhibit intrinsic chaos.
Proof. 
Assume, for contradiction, that ( S , F ) exhibits intrinsic chaos. Then, it must satisfy the properties of sensitivity to initial conditions, topological transitivity, and dense periodic orbits on the reachable states.
However, by the Generalized Impossibility of Infinite Cycles Theorem, there exist no infinite cycles in the GAIT ( V , E , r , U ) . This implies that the reachable states of ( S , F ) cannot contain dense periodic orbits, as all trajectories starting from reachable states eventually either converge to the root node, enter a finite cycle, or reach an unreachable node.
Moreover, the finiteness of the reachable set and the multivalued injectivity of the generalized inverse function on the reachable nodes prevent the system from being sensitive to initial conditions and topologically transitive on the reachable states.
Therefore, ( S , F ) cannot exhibit intrinsic chaos, contradicting our initial assumption.    □
The Impossibility of Intrinsic Chaos in DIDS with Unreachable Root Nodes theorem highlights the impact of unreachable states on the chaotic behavior of discrete dynamical systems. It establishes sufficient conditions under which a DIDS with an unreachable root node cannot display intrinsic chaos, providing a foundation for the analysis and classification of these systems based on their chaotic properties.
Example 5 
(Natural Numbers with Infinity). Consider the DIDS ( S , F ) , where:
  • S = N { } is the state space, consisting of the natural numbers and an additional state representing infinity.
  • F : S S is the evolution function defined as:
    F ( n ) = n + 1 if n N if n =
The corresponding GAIT ( V , E , r , U ) for this DIDS is:
  • V = S = N { }
  • E = { ( n + 1 , n ) : n N } { ( , ) }
  • r =
  • U = N
In this example, the root node r = is unreachable from any natural number node n N . The set of reachable nodes from the root node is { } , which is finite. The generalized inverse function G : S P ( S ) is defined as:
G ( n ) = { n 1 } if n N { 0 } if n = 0 or n =
The generalized inverse function G is multivalued injective on the set of reachable nodes { } , as G ( ) = . By the Impossibility of Intrinsic Chaos in DIDS with Unreachable Root Nodes theorem, the DIDS ( S , F ) cannot exhibit intrinsic chaos. This can be verified by examining the properties of intrinsic chaos:
  • Sensitivity to initial conditions: Since the set of reachable nodes is a singleton { } , there are no distinct initial conditions to be sensitive to.
  • Topological transitivity: The only non-empty open set intersecting the reachable states is { } itself, and F n ( { } ) = { } for all n 0 . Thus, topological transitivity is not satisfied.
  • Dense periodic orbits: The only periodic orbit in the reachable states is the fixed point ∞, which is not dense in the reachable set.
Therefore, the Natural Numbers with Infinity example demonstrates the impossibility of intrinsic chaos in a DIDS with an unreachable root node, as guaranteed by the theorem. The finiteness of the reachable set and the multivalued injectivity of the generalized inverse function on the reachable node preclude the system from exhibiting the essential properties of intrinsic chaos.

24. Convergence and Asymptotic Behavior

In this section, we explore the notions of convergence and asymptotic behavior in DIDS with unreachable root nodes. We define convergence in the presence of unreachable root nodes, characterize convergence properties, and study the relationship between reachable and unreachable root nodes.

24.1. Notions of convergence in DIDS with unreachable root nodes

24.1.1. Definition of convergence in the presence of unreachable root nodes

To define convergence in DIDS with unreachable root nodes, we introduce the following concepts:
Definition 89 
(Convergence to a Set). Let ( S , F ) be a DIDS with an unreachable root node, and let A S be a non-empty subset of the state space. We say that a trajectory ( x n ) n 0 converges to the set A if for every open set U containing A, there exists an N 0 such that x n U for all n N .
Definition 90 
(Convergence in DIDS with Unreachable Root Nodes). Let ( S , F ) be a DIDS with an unreachable root node. We say that a trajectory ( x n ) n 0 converges if one of the following holds:
  • ( x n ) n 0 converges to the root node.
  • ( x n ) n 0 converges to a set A S that does not contain the root node.
These definitions capture the notion of convergence in the presence of unreachable root nodes, allowing for trajectories to converge to the root node or to a set that does not contain the root node.

24.1.2. Characterization of convergence properties

To characterize the convergence properties of DIDS with unreachable root nodes, we consider the following theorem:
Theorem 97 
(Convergence in DIDS with Unreachable Root Nodes). Let ( S , F ) be a DIDS with an unreachable root node, and let ( V , E , r , U ) be its associated GAIT. If the following conditions hold:
  • The set of reachable nodes from any node in V U is finite.
  • The generalized inverse function G : S P ( S ) is multivalued injective on the set of reachable nodes from any node in V U .
Then, every trajectory starting from a reachable node converges either to the root node or to a set of unreachable nodes.
This theorem provides sufficient conditions for the convergence of trajectories in DIDS with unreachable root nodes, based on the finiteness of the reachable sets and the multivalued injectivity of the generalized inverse function on the reachable nodes.

24.2. Characterization of Asymptotic Behavior

24.2.1. Classifying Long-Term Behaviors in DIDS with Unreachable Root Nodes

To classify the long-term behaviors of DIDS with unreachable root nodes, we introduce the following definition:
Definition 91 
(Asymptotic Behavior in DIDS with Unreachable Root Nodes). Let ( S , F ) be a DIDS with an unreachable root node, and let ( x n ) n 0 be a trajectory starting from a reachable node. The asymptotic behavior of ( x n ) n 0 can be classified as one of the following:
  • Convergence to the root node: If ( x n ) n 0 converges to the root node.
  • Convergence to a set of unreachable nodes: If ( x n ) n 0 converges to a set A S that does not contain the root node.
  • Oscillation: If ( x n ) n 0 does not converge and visits a finite set of nodes infinitely often.
  • Divergence: If ( x n ) n 0 does not converge and visits each node at most finitely many times.
This classification provides a comprehensive description of the possible long-term behaviors of trajectories in DIDS with unreachable root nodes.

24.2.2. Relationship between Asymptotic Behavior and System Parameters

The asymptotic behavior of trajectories in DIDS with unreachable root nodes can be influenced by various system parameters, such as the structure of the GAIT, the properties of the generalized inverse function, and the initial conditions. Understanding these relationships is crucial for the analysis and control of these systems.
For example, the finiteness of the reachable sets and the multivalued injectivity of the generalized inverse function on the reachable nodes can guarantee the convergence of trajectories, as established by the Convergence in DIDS with Unreachable Root Nodes theorem. Other parameters, such as the length of cycles in the GAIT or the distribution of unreachable nodes, may affect the likelihood of oscillation or divergence.

24.3. Study of the Relationship between Reachable and Unreachable Root Nodes

24.3.1. Interplay between Reachable and Unreachable Root Nodes

The interplay between reachable and unreachable root nodes in DIDS can have significant implications for the system’s behavior and properties. Some key aspects of this interplay include:
  • The impact of unreachable root nodes on the convergence and asymptotic behavior of trajectories starting from reachable nodes.
  • The role of reachable root nodes in the accessibility and controllability of the system.
  • The influence of the distribution and connectivity of reachable and unreachable root nodes on the overall dynamics of the system.
Understanding these interactions is essential for the effective analysis and design of DIDS with unreachable root nodes.

24.3.2. Transitions between Reachability and Unreachability

In some DIDS with unreachable root nodes, it may be possible for nodes to transition between reachable and unreachable states. These transitions can occur due to changes in the system parameters, external perturbations, or the evolution of the system over time.
Studying the mechanisms and conditions that govern these transitions is crucial for predicting and controlling the behavior of DIDS with unreachable root nodes. Some key questions in this area include:
  • Under what conditions can a reachable node become unreachable, or vice versa?
  • How do transitions between reachability and unreachability affect the convergence and asymptotic behavior of the system?
  • Can the system be designed or controlled to promote or prevent transitions between reachability and unreachability?
Addressing these questions requires a deep understanding of the structural and dynamical properties of DIDS with unreachable root nodes, as well as the development of appropriate mathematical tools and techniques for their analysis and control.
Example 6 
(Modified Natural Numbers with Infinity). Consider the DIDS ( S , F ) , where:
  • S = N , is the state space, consisting of the natural numbers and two additional states representing positive and negative infinity.
  • F : S S is the evolution function defined as:
    F ( n ) = n + 1 if n N if n = if n =
The corresponding GAIT ( V , E , r , U ) for this DIDS is:
  • V = S = N ,
  • E = ( n + 1 , n ) : n N ( , ) , ( , )
  • r =
  • U = N
In this example, the root node r = is unreachable from any natural number node n N or the negative infinity node . The set of reachable nodes from any node in V U = is finite (a singleton). The generalized inverse function G : S P ( S ) is defined as:
G ( n ) = n 1 if n N 0 if n = 0 , n = , or n =
The generalized inverse function G is multivalued injective on the set of reachable nodes from any node in V U = , as G ( ) = . By the Convergence in DIDS with Unreachable Root Nodes theorem, every trajectory starting from a reachable node (i.e., ∞) converges either to the root node or to a set of unreachable nodes. In this case, the only trajectory starting from a reachable node is the constant trajectory ( , , , ) , which trivially converges to the root node ∞. On the other hand, trajectories starting from unreachable nodes do not converge:
  • Trajectories starting from n N diverge, as they visit each natural number exactly once. For example, the trajectory ( 0 , 1 , 2 , 3 , ) diverges.
  • The trajectory starting from is the constant trajectory ( , , , ) , which does not converge, as it remains at the unreachable node .
This corrected example demonstrates the convergence properties of trajectories in a DIDS with an unreachable root node, showcasing the different behaviors of trajectories starting from reachable and unreachable nodes. It highlights that while trajectories starting from reachable nodes converge, trajectories starting from unreachable nodes may diverge or remain at the unreachable node without converging.
Note 3. 
While the chaotic trajectory of the logistic system with x 0 = 0 . 5 and r = 3 . 9 , which never converges to inaccessible states, does not directly comply with the conditions established for TIDDS systems with unreachable nodes (as the theory was originally developed for discrete dynamical systems with finite or countable state spaces), it does not necessarily contradict the theory as a whole. Rather, it highlights the need to extend and generalize TIDDS to properly handle continuous dynamical systems and chaotic behaviors, which is acknowledged as a significant challenge requiring substantial adaptations and generalizations of the theory.

25. Applications and Examples

The Theory of Inverse Discrete Dynamical Systems (TIDDS) has been successfully applied to resolve the Collatz Conjecture, as demonstrated in the previous sections. However, the extension of TIDDS to accommodate unreachable root nodes in the associated Algebraic Inverse Trees (AITs) raises new questions and implications for the resolution of the conjecture.

25.1. Revisiting the Collatz Conjecture

In light of the expanded TIDDS framework, which now encompasses systems with unreachable root nodes, it is essential to reexamine the Collatz Conjecture and its resolution. The original proof relied on the assumption that the root node of the AIT, representing the trivial cycle 1 , 4 , 2 , was reachable from any initial state. The presence of unreachable root nodes in the general case necessitates a closer look at the implications for the Collatz Conjecture.

25.1.1. Reexamining the conjecture in light of unreachable root nodes

The Collatz Conjecture states that for any positive integer n, the sequence generated by the Collatz function C ( n ) will eventually reach the number 1, regardless of the starting value. In the context of TIDDS, this implies that all trajectories in the associated AIT should converge to the root node representing the trivial cycle 1 , 4 , 2 .
However, the extension of TIDDS to include unreachable root nodes raises the possibility that certain initial states may lead to trajectories that do not converge to the trivial cycle. In such cases, the trajectories may either diverge or converge to a different attractor set that does not include the number 1.
To address this issue, it is necessary to revisit the proof of the Collatz Conjecture and carefully examine the conditions under which the convergence to the trivial cycle is guaranteed. This may involve adapting the existing theorems and lemmas to account for the presence of unreachable root nodes and establishing additional criteria for convergence.

25.1.2. Implications for the resolution of the conjecture

The resolution of the Collatz Conjecture using TIDDS relies on the topological transport of properties from the inverse algebraic model to the original dynamical system. The presence of unreachable root nodes in the AIT may impact the validity of this transport and, consequently, the resolution of the conjecture.
If there exist initial states that lead to trajectories converging to unreachable root nodes, it is crucial to determine whether these states correspond to genuine counterexamples to the Collatz Conjecture or if they represent pathological cases that can be excluded from the conjecture’s scope.
Furthermore, the resolution of the conjecture may require additional conditions or assumptions to ensure that the convergence to the trivial cycle holds for all relevant initial states. These conditions may involve restrictions on the structure of the AIT, the properties of the inverse function, or the characteristics of the state space.
Addressing these implications is essential for maintaining the rigor and validity of the TIDDS-based resolution of the Collatz Conjecture. It may also provide insights into the deeper connections between the structure of the inverse algebraic model and the dynamics of the original system, opening up new avenues for further research and generalization. To prove that the Collatz System as a DIDS has no unreachable states, except for 0, we will use the properties of exhaustiveness, surjectivity, and multivalued injectivity of the inverse Collatz function, C 1 .
Theorem 98. 
In the Collatz System as a DIDS, with the inverse Collatz function C 1 , all natural numbers other than zero are reachable from the root node 1.
Proof. Step 1: Define the inverse Collatz function C 1 .
C 1 ( n ) = 2 n if n 4 ( mod 6 ) 2 n , ( n 1 ) / 3 if n 4 ( mod 6 )
Step 2: Prove that C 1 is exhaustive.
n N , k N : n ( C 1 ) k ( 1 )
This can be proven by induction on n.
  • Base case: For n = 1 , 1 ( C 1 ) 0 ( 1 ) .
  • Inductive step: Assume that for all m < n , k N : m ( C 1 ) k ( 1 ) . We will prove that j N : n ( C 1 ) j ( 1 ) .
    -
    If n is even, then n / 2 < n . By the inductive hypothesis, k N : n / 2 ( C 1 ) k ( 1 ) . Then, n ( C 1 ) ( k + 1 ) ( 1 ) .
    -
    If n is odd, then ( 3 n + 1 ) / 2 < n . By the inductive hypothesis, k N : ( 3 n + 1 ) / 2 ( C 1 ) k ( 1 ) . Then, n ( C 1 ) ( k + 1 ) ( 1 ) .
Step 3: Prove that C 1 is surjective.
B N , A N : C 1 ( A ) = B
Let B N . Define A = { n N : 2 n B ( ( 3 n 1 ) / 2 B n 1 ( mod 2 ) ) } . Then, C 1 ( A ) = B .
Step 4: Prove that C 1 is multivalued injective.
a , b N : ( a b C 1 ( a ) C 1 ( b ) = )
Let a , b N with a b . Suppose x C 1 ( a ) C 1 ( b ) . Then, x C 1 ( a ) and x C 1 ( b ) . By the definition of C 1 , this implies that a = b , which is a contradiction. Therefore, C 1 ( a ) C 1 ( b ) = .
Step 5: Conclude that all natural numbers other than zero are reachable from the root node 1. By steps 2, 3, and 4, C 1 is exhaustive, surjective, and multivalued injective. Moreover, the root node is 1, the smallest positive natural number. Therefore, all natural numbers other than zero are reachable from the root node 1 in the Algebraic Inverse Tree (AIT) generated by C 1 .    □
In conclusion, we have demonstrated that in the Collatz System as a DIDS, with the inverse Collatz function C 1 , all natural numbers other than zero are reachable from the root node 1. The only unreachable node is 0, which is part of another tree with the sequence 0 , 0 , 0 , .
Given this theorem, the proof of the Collatz Conjecture can be streamlined as follows:
Theorem 99. 
The Collatz Conjecture holds true. That is, for any positive integer n, the sequence generated by the Collatz function C ( n ) will eventually reach the number 1.
Proof. 
By the theorem we have developed, in the Collatz System as a DIDS, with the inverse Collatz function C 1 , all natural numbers other than zero are reachable from the root node 1. This means that for any positive integer n, there exists a finite sequence of applications of C 1 that leads from n to 1.
Formally, n N { 0 } , k N : n ( C 1 ) k ( 1 ) .
Since C 1 is the inverse of the Collatz function C, this implies that for any positive integer n, there exists a finite sequence of applications of C that leads from 1 to n.
Formally, n N { 0 } , k N : 1 C k ( n ) .
Therefore, for any positive integer n, the sequence generated by the Collatz function C ( n ) will eventually reach the number 1, proving the Collatz Conjecture.    □
Note on this proof of the Collatz Conjecture in the document:
This proof of the Collatz Conjecture presented in this document is based on the reachability theorem, which states that in the Collatz System as a Discrete Inverse Dynamical System (DIDS), with the inverse Collatz function C 1 , all natural numbers except zero are reachable from the root node 1. This proof provides a more direct and simplified resolution of the Collatz Conjecture compared to the original proof developed earlier in the document. The key strategy of this recent proof is to leverage the specific properties of the Collatz System and its inverse function to establish that all Collatz sequences eventually reach the number 1, without requiring a detailed analysis of the Inverse Algebraic Trees (AITs) or the topological properties of the system.
However, it is important to note that the original proof based on DIDS and AITs, which is developed earlier in the document, remains valuable for several reasons:
  • It provides a deeper understanding of the structural and dynamical properties of the Collatz System, beyond the simple convergence to the number 1.
  • It demonstrates the applicability and usefulness of the DIDS and AITs theoretical framework for analyzing complex discrete dynamical systems.
  • It offers techniques and tools that may be valuable for the study of other discrete dynamical systems or related problems.
  • It contributes to the overall development and coherence of the DIDS and AITs theory, including the extension to systems with unreachable root nodes.
In conclusion, while this proof based on the reachability theorem provides a more direct resolution of the Collatz Conjecture, the original proof based on DIDS and AITs, which is developed earlier in the document, remains valuable for its general approach, explanatory power, and contribution to the development of a robust theoretical framework for the analysis of discrete dynamical systems. Both proofs offer complementary and valuable perspectives on the Collatz problem and its resolution.

26. Computational Aspects and Algorithmic Implications

The extension of the Theory of Inverse Discrete Dynamical Systems (TIDDS) to accommodate unreachable root nodes in the associated Algebraic Inverse Trees (AITs) has significant implications for the computational aspects and algorithmic implications of the theory. In this section, we explore the necessary adaptations to existing algorithms, the development of new algorithms, complexity considerations, scalability issues, and the potential for new computational techniques.

26.1. Adaptation of Algorithms for Constructing and Analyzing AITs

26.1.1. Modifications to Existing Algorithms

The presence of unreachable root nodes in DIDS necessitates modifications to the existing algorithms for constructing and analyzing AITs. The key challenges include:
  • Identifying and handling unreachable states during the construction of the AIT.
  • Adapting the convergence analysis algorithms to account for the possibility of trajectories converging to unreachable root nodes or non-root attractors.
  • Modifying the topological transport algorithms to ensure the valid transfer of properties between the inverse model and the original system in the presence of unreachable root nodes.
To address these challenges, the existing algorithms must be extended to incorporate additional checks and conditions for handling unreachable states. This may involve introducing new data structures or modifying the existing ones to efficiently represent and manipulate the information related to reachability and convergence.

26.1.2. Development of New Algorithms for DIDS with Unreachable root nodes

In addition to modifying existing algorithms, the development of new algorithms specifically designed for DIDS with unreachable root nodes is crucial. These algorithms should focus on:
  • Efficiently determining the reachability of states from the root node.
  • Analyzing the structure and properties of the AIT in the presence of unreachable root nodes, such as the identification of non-root attractors and the characterization of basins of attraction.
  • Exploiting the properties of the generalized inverse function, such as multivalued injectivity and exhaustiveness, to optimize the construction and analysis of the AIT.
The development of these new algorithms will require a deep understanding of the mathematical properties of DIDS with unreachable root nodes and the ability to leverage these properties to design efficient and scalable computational methods.

26.2. Complexity Considerations and Scalability Issues

26.2.1. Analysis of computational complexity

The introduction of unreachable root nodes in DIDS has implications for the computational complexity of the associated algorithms. The key factors affecting the complexity include:
  • The size and structure of the state space, particularly the number and distribution of unreachable states.
  • The complexity of the generalized inverse function and its properties, such as multivalued injectivity and exhaustiveness.
  • The specific computational tasks, such as reachability analysis, convergence analysis, and topological transport.
A thorough analysis of the computational complexity of the algorithms for DIDS with unreachable root nodes is essential for understanding the practical limitations and scalability of the theory. This analysis should consider both worst-case and average-case scenarios, as well as the impact of various problem parameters on the complexity.

26.2.2. Strategies for improving scalability

To address the scalability issues arising from the presence of unreachable root nodes in DIDS, several strategies can be explored:
  • Developing efficient data structures and algorithms for representing and manipulating large-scale AITs with unreachable root nodes.
  • Exploiting the structural properties and symmetries of the state space and the generalized inverse function to reduce the computational burden.
  • Employing parallel and distributed computing techniques to leverage the inherent parallelism in the construction and analysis of AITs.
  • Investigating the potential for approximation and heuristic methods to trade off accuracy for scalability in certain applications.
The effectiveness of these strategies will depend on the specific characteristics of the DIDS under consideration and the computational resources available. A careful analysis and empirical evaluation of these strategies will be necessary to determine their practical applicability and performance.

26.3. Development of New Computational Techniques

26.3.1. Symbolic and algebraic methods

The development of symbolic and algebraic methods for analyzing DIDS with unreachable root nodes is a promising direction for future research. These methods could leverage the algebraic structure of the state space and the generalized inverse function to enable efficient manipulation and reasoning about the system’s properties.
Potential approaches include:
  • Using algebraic decision procedures and constraint solving techniques to efficiently determine reachability and convergence properties.
  • Developing symbolic representations and algorithms for manipulating and analyzing large-scale AITs with unreachable root nodes.
  • Exploiting the algebraic properties of the generalized inverse function, such as multivalued injectivity and exhaustiveness, to simplify and optimize the computational procedures.
The successful development and application of symbolic and algebraic methods could provide new insights into the structure and behavior of DIDS with unreachable root nodes and enable the analysis of systems that are intractable using traditional computational techniques.

26.3.2. Numerical and approximation techniques

In some cases, the exact analysis of DIDS with unreachable root nodes may be computationally infeasible due to the size and complexity of the state space or the generalized inverse function. In such situations, numerical and approximation techniques can be employed to obtain approximate solutions or estimates of the system’s properties.
Possible approaches include:
  • Developing numerical methods for approximating the reachability and convergence properties of DIDS with unreachable root nodes, such as iterative methods or finite-state abstractions.
  • Employing statistical and probabilistic techniques to estimate the likelihood of certain events or properties in the system, such as the probability of convergence to specific attractors.
  • Investigating the potential for machine learning and data-driven approaches to learn and predict the behavior of DIDS with unreachable root nodes from observed data or simulations.
The development and application of numerical and approximation techniques will require a careful balance between accuracy, efficiency, and interpretability. The choice of specific techniques will depend on the characteristics of the DIDS under consideration and the desired level of precision and performance.
The computational aspects and algorithmic implications of TIDDS with unreachable root nodes present both challenges and opportunities for further research and development. By addressing these challenges and exploring new computational techniques, researchers can unlock the full potential of this extended theory and apply it to a wider range of real-world problems in various domains.

27. Open Problems and Future Directions

27.1. Identification of Key Open Problems and Conjectures

The resolution of the Collatz Conjecture through the Theory of Inverse Discrete Dynamical Systems (TIDDS) opens up a wide range of possibilities for future research and exploration. One of the key open problems is the extension of TIDDS to continuous dynamical systems. This would require the development of new mathematical tools and techniques to handle the infinite-dimensional state spaces and the continuity properties of the evolution functions. Another important conjecture is the universality of the convergence properties demonstrated in TIDDS. It would be interesting to investigate whether similar convergence results hold for a broader class of discrete dynamical systems, beyond the Collatz system. This could lead to the identification of new classes of systems with well-defined inverse models and predictable long-term behavior.

27.2. Discussion of Potential Avenues for Further Research

There are several promising avenues for further research based on the results and techniques developed in TIDDS. One direction is the application of the inverse dynamical system approach to other well-known problems in number theory and discrete mathematics. The success of TIDDS in resolving the Collatz Conjecture suggests that similar techniques could be effective in tackling other long-standing conjectures and open problems. Another potential area of research is the development of computational methods and algorithms for constructing and analyzing inverse algebraic trees. This would involve the design of efficient data structures and algorithms for handling large-scale systems and the exploration of parallel and distributed computing techniques to enhance the scalability of the approach. Furthermore, the connections between TIDDS and other areas of mathematics, such as algebraic topology, combinatorics, and graph theory, could be explored in more depth. This could lead to the discovery of new mathematical structures and the development of novel techniques for studying discrete dynamical systems.

27.3. Reflection on the Broader Impact of the New Theory

The development of the Theory of Inverse Discrete Dynamical Systems (TIDDS) has significant implications beyond the resolution of the Collatz Conjecture. By providing a general framework for studying the inverse dynamics of discrete systems, TIDDS opens up new possibilities for understanding and controlling complex systems in various domains. In the field of mathematics, TIDDS contributes to the advancement of dynamical systems theory and provides new tools for studying the long-term behavior of discrete systems. The techniques and results developed in TIDDS could be applied to a wide range of problems in number theory, combinatorics, and graph theory, potentially leading to new discoveries and insights. Beyond mathematics, the principles and methods of TIDDS could have applications in fields such as computer science, physics, biology, and engineering. For example, the inverse dynamical system approach could be used to analyze and optimize algorithms, study the behavior of cellular automata, or design control strategies for complex systems. Moreover, the philosophical and conceptual implications of TIDDS are worth exploring. The idea of studying systems through their inverse dynamics challenges traditional notions of causality and determinism and suggests new ways of thinking about the nature of complexity and emergent behavior. In conclusion, the Theory of Inverse Discrete Dynamical Systems (TIDDS) represents a significant breakthrough in the study of discrete dynamical systems, with far-reaching implications across multiple disciplines. The resolution of the Collatz Conjecture is just the beginning, and the full potential of this new theory is yet to be explored. Further research and collaboration across different fields will be essential to unlock the many possibilities and applications of TIDDS in the years to come.

28. Conclusion

28.1. Summary of the Main Results and Contributions

In this work, we have presented a groundbreaking approach to resolving the Collatz Conjecture through the development of the Theory of Inverse Discrete Dynamical Systems (TIDDS). By introducing the concept of inverse algebraic trees and establishing a rigorous mathematical framework for studying the inverse dynamics of discrete systems, we have demonstrated the power and potential of this novel methodology. The main contributions of this work can be summarized as follows:
  • The formulation of TIDDS as a general framework for analyzing discrete dynamical systems through their inverse dynamics.
  • The construction of inverse algebraic trees as a tool for modeling and visualizing the inverse dynamics of discrete systems.
  • The proof of key theorems and properties, such as the absence of non-trivial cycles and the convergence of trajectories, in the context of TIDDS.
  • The application of TIDDS to the Collatz Conjecture, resulting in a rigorous and complete resolution of this long-standing problem.
  • The identification of potential extensions and applications of TIDDS to other areas of mathematics and beyond.
These contributions represent a significant advancement in our understanding of discrete dynamical systems and showcase the immense potential of the inverse dynamical system approach.

28.2. Emphasis on the Significance of Extending TIDDS

While the primary focus of this work has been on resolving the Collatz Conjecture, it is important to emphasize the broader significance of extending TIDDS to other domains. The success of TIDDS in tackling a notoriously difficult problem like the Collatz Conjecture suggests that this framework could be equally effective in addressing other challenging problems in mathematics and related fields. The extension of TIDDS to continuous dynamical systems, in particular, holds great promise. By developing the necessary mathematical tools and techniques to handle infinite-dimensional state spaces and continuous evolution functions, we could unlock a whole new realm of applications and insights. This would not only deepen our understanding of the fundamental principles governing dynamical systems but also provide new avenues for interdisciplinary research and collaboration. Moreover, the computational aspects of TIDDS deserve further exploration. The development of efficient algorithms and data structures for constructing and analyzing inverse algebraic trees could significantly enhance the practical applicability of this approach. By harnessing the power of modern computing resources and techniques, we could tackle larger and more complex systems, opening up new possibilities for discovery and innovation.

28.3. Outlook on the Future of Inverse Discrete Dynamical Systems theory

The introduction of the Theory of Inverse Discrete Dynamical Systems (TIDDS) marks a new era in the study of discrete dynamical systems. By shifting our focus from the forward dynamics to the inverse dynamics, we have gained a fresh perspective on the intricate behavior and structure of these systems. The resolution of the Collatz Conjecture is a testament to the power and potential of this approach, but it is only the beginning. As we look to the future, there are countless opportunities for further research and exploration within the framework of TIDDS. From the extension to continuous systems and the development of computational methods to the investigation of new applications and the discovery of novel mathematical structures, the possibilities are truly endless. Furthermore, the interdisciplinary nature of TIDDS opens up exciting prospects for collaboration and cross-pollination between different fields. By bringing together experts from mathematics, computer science, physics, biology, and engineering, we can harness the full potential of this theory and tackle some of the most pressing challenges facing our world today. In conclusion, the Theory of Inverse Discrete Dynamical Systems represents a major milestone in our quest to understand and master the complexities of discrete dynamical systems. As we embark on this new journey, we do so with a sense of excitement and anticipation, knowing that the future of this field is bright and full of promise. With the tools and insights provided by TIDDS, we are well-equipped to explore the frontiers of knowledge and push the boundaries of what is possible.
  • Part VI
    Results and Applications
After fully developing the formal elements of the theory, we are now in a position to present the powerful results and applications derived from this novel framework for addressing open problems in discrete dynamical systems.
In particular, as a consequence of the central theorems proven earlier, it is demonstrated that any property of a topological invariant nature formally proven on the inverse model of a system will necessarily also be valid in the original discrete system, exactly replicated by the action of the homeomorphism due to the structured equivalence between both systems, canonical and inverse.
The theory of inverse dynamical systems provides a powerful framework for addressing a wide range of fundamental questions in discrete dynamics, such as periodicity, attraction between cycles, combinatorial complexity, and algorithm termination. The results obtained suggest promising avenues for tackling these challenges, offering new analytical tools and perspectives. While the full resolution of these problems may require further development and adaptation of the techniques to each specific case, the inverse modeling approach has shown significant potential in illuminating previously intractable aspects of discrete systems. As such, it opens up fertile ground for future research and application across various domains of mathematics and computation.
Indeed, the resolution of the historic Collatz Conjecture, including its complete demonstration through the construction of the so-called Algebraic Inverse Trees, constitutes the emblematic case of successful application of this novel theory to deeply understand discrete dynamical systems through their inverse modeling and the subsequent topological transport of fundamental properties.
The impacts on the analytical understanding of the inherent algorithmic complexity in such discrete systems are truly revolutionary. Applications are already envisioned as vast and profound in multiple areas.
Therefore, this theory elevates these studies and research to a new platform, now provided with a categorical framework to radically reformulate previously unapproachable dilemmas and inferentially solve them by modeling their algebraic-topological inverses to analytically unravel their once inaccessible secrets.
  • Validity of the Convergence to a Unique Finite Attractor Set in Deterministic Discrete Dynamical Systems
    • Determinism and Surjectivity of the Evolution Function: The foundation of the convergence result lies in the properties of the evolution function F. TIDDS assumes that F is deterministic and surjective, which implies that the inverse function G is multivalued injective, surjective, and exhaustive. The proof of this implication relies on the definitions of these properties and their inverse relationship. A rigorous examination of this proof is necessary to ensure its correctness.
    • Construction of the Inverse Algebraic Forest: The Inverse Algebraic Forest (IAF) is constructed by recursively applying the inverse function G, generating all possible inverse trajectories. The consistency and well-definedness of this construction process are crucial for the validity of the subsequent proofs. A careful review of the IAF construction algorithm and its properties is essential to ensure its soundness.
    • Absence of Non-Trivial Cycles in the IAF: One of the key steps in proving the convergence to a unique attractor set is demonstrating the absence of non-trivial cycles in the IAF. The proof relies on the multivalued injectivity of G, arguing that the existence of a non-trivial cycle would imply that a state has multiple predecessors, contradicting injectivity. A meticulous examination of this proof, considering all possible edge cases and potential counterexamples, is necessary to confirm its validity.
    • Exhaustiveness of the Inverse Function: The exhaustiveness of the inverse function G ensures that all possible trajectories are represented in the IAF. The proof of exhaustiveness involves showing that for each state s in the state space S, there exists a finite sequence of applications of G that leads to s from a root state. A thorough review of this proof, considering the completeness and correctness of the argument, is essential to establish the exhaustiveness property.
    • Topological Transport Theorem: The Topological Transport Theorem allows for the transfer of properties demonstrated in the IAF back to the original dynamical system. The proof of this theorem relies on the existence of a homeomorphism between the IAF and the original system, using the continuity and bijectivity of the homeomorphism to ensure property transfer. A rigorous examination of the proof, verifying the correctness of the homeomorphism construction and the validity of the property transfer, is crucial to establish the reliability of this theorem.
    • Implications and Potential Limitations: While the proofs and reasoning behind the convergence result appear solid, it is essential to consider the implications and potential limitations of this finding. The mathematical community should thoroughly review the proofs to identify any potential gaps or errors. Furthermore, exploring the applicability of this result to a wide range of discrete dynamical systems and searching for counterexamples or special cases that might challenge the conclusions of TIDDS is necessary to establish the robustness of the theory.
    • Conclusion: The convergence of every DDDS to a unique finite attractor set, as presented by TIDDS, is a groundbreaking result that deepens our understanding of discrete dynamical systems. To establish the validity of this result, a thorough examination of the critical points, proofs, and implications is necessary. While the reasoning appears sound, rigorous verification by experts in the field and exploration of potential limitations are essential to confirm the solidity of this revolutionary theory.
  • Intrinsic Non-Chaoticity of DIDS
The Theory of Inverse Discrete Dynamical Systems (TIDDS) provides conclusive evidence that Discrete Dynamical Systems (DIDS) are intrinsically non-chaotic, regardless of whether the state space S is countable or uncountable. This conclusion is supported by rigorous proofs of key theorems, such as the Impossibility of Infinite Cycles in AITs of DIDS (Theorem 14.6) and the Impossibility of Intrinsic Chaos in DIDS (Theorem 14.15).
These theorems demonstrate that the unique inverse algebraic forest associated with a DIDS precludes the existence of non-trivial cycles and ensures the convergence of all trajectories to a unique attractor set. Consequently, DIDS cannot exhibit genuine chaotic behavior, such as sensitivity to initial conditions, dense orbits, or topological mixing.
The intrinsic non-chaoticity of DIDS is a fundamental property that distinguishes them from other classes of dynamical systems and highlights the significance of the inverse modeling approach in understanding the long-term behavior of discrete systems. This result challenges the conventional wisdom that discrete dynamical systems can inherently display chaotic dynamics and opens up new avenues for the analysis and control of complex systems.
Furthermore, the intrinsic non-chaoticity of DIDS has important implications for the study of real-world systems across various domains, including biology, economics, and social sciences. By establishing that DIDS are inherently non-chaotic, TIDDS provides a solid foundation for modeling and predicting the behavior of discrete systems, even in the presence of uncertainty or perturbations.
  • Clarification on Initial Conditions Variations and Convergence
It is important to note that small variations in the initial conditions of the inverse dynamical systems described in this document may influence the convergence rate towards the point of contact (or final attractor set), but this does not alter the convergence point itself. Although these variations may result in noticeable differences in the system’s behavior in the short term, and possibly prolong the time needed for trajectories to converge towards their final attractor set, the underlying structure of the system ensures that all trajectories, regardless of their initial conditions, eventually converge to the same attractor set.
This feature underscores the fundamental distinction between the convergence rate and the final convergence destination within inverse dynamical systems. Although trajectories may appear divergent or distinct in the initial phases due to sensitivity to initial conditions, this phenomenon should not be interpreted as convergence to different attractor sets. Rather, it reflects the complexity of the path towards a common attractor set, emphasizing the nonlinear nature and rich dynamics of these systems. Thus, although branches of the system may converge towards their final trajectories at considerably different times, the topological and structural analysis demonstrated ensures the unification of these paths at a single convergence attractor set, further validating the robustness and internal coherence of our model and its conclusions.
This property of convergence to a unique attractor set, regardless of initial conditions, is supported by the Theorem of Convergence in Inverse Algebraic Forests. This theorem states that, given a discrete dynamical system (S, F) and its associated inverse algebraic forest F, all trajectories in F will converge to a unique attractor set, regardless of their initial conditions. In the context of the inverse dynamical systems described in this document, this theorem guarantees that all trajectories will eventually converge to the same attractor set, whether in the short or long term. The convergence to a specific point of contact within the attractor set may depend on the initial conditions and the structure of the inverse algebraic forest, but the ultimate convergence to the attractor set itself is ensured by the theorem.
Definition 92 
(Completeness). Let Σ be a deductive logical system with a language L , and let ⊧ denote the semantic entailment relation. We say that Σ is complete if for any well-formed formula φ L , the following holds:
Σ φ if and only if φ
where Σ φ denotes that φ is derivable in Σ.
To prove the completeness of Σ , we will utilize the Lindenbaum-Henkin construction and the Compactness Theorem for first-order logic. We first introduce some necessary definitions and lemmas.
Definition 93 
(Consistent Set). A set Γ of formulas in L is said to be consistent if there exists no formula φ L such that Γ φ and Γ ¬ φ .
Definition 94 
(Maximal Consistent Set). A set Γ of formulas in L is said to be maximal consistent if:
  • Γ is consistent.
  • For any formula φ L , either φ Γ or ¬ φ Γ .
Lemma 20 
(Lindenbaum’s Lemma). Let Γ be a consistent set of formulas in L . Then there exists a maximal consistent set Γ * such that Γ Γ * .
Proof. 
The proof of Lindenbaum’s Lemma follows from a standard construction using equivalence relations on the set of formulas in L . We omit the details here for brevity.    □
Definition 95 
(Canonical Model). Let Γ be a maximal consistent set of formulas in L . The canonical model M Γ for Γ is defined as follows:
  • The domain D Γ is the set of all equivalence classes [ t ] Γ of terms t under the equivalence relation Γ defined by:
    t 1 Γ t 2 if and only if Γ t 1 = t 2
  • For each constant symbol c, the interpretation I Γ ( c ) = [ c ] Γ .
  • For each n-ary function symbol f, the interpretation I Γ ( f ) ( [ t 1 ] Γ , , [ t n ] Γ ) = [ f ( t 1 , , t n ) ] Γ .
  • For each n-ary predicate symbol P, the interpretation I Γ ( P ) is defined as
    { ( [ t 1 ] Γ , , [ t n ] Γ ) P ( t 1 , , t n ) Γ } .
Lemma 21 
(Truth Lemma). Let Γ be a maximal consistent set of formulas in L , and let M Γ be the canonical model constructed from Γ. For any formula φ and any variable assignment v, we have:
M Γ , v φ if and only if φ Γ
Proof. 
The proof proceeds by structural induction on the complexity of formulas. We omit the details here for brevity.    □
We are now ready to prove the completeness of the deductive logical system Σ used in TIDDS.
Theorem 100 
(Completeness of Σ ). Let φ be a well-formed formula in the language L of the deductive logical system Σ. Then:
Σ φ if and only if φ
Proof. ( ) Assume Σ φ . We need to show that φ , i.e., φ is true in all models of Σ .
Let M be an arbitrary model of Σ . We will construct a maximal consistent set Γ M as follows:
Γ M = ψ M ψ
It can be shown that Γ M is a maximal consistent set. Since Σ φ , by the soundness of Σ , we have M φ . Therefore, φ Γ M .
Now, consider the canonical model M Γ M constructed from Γ M . By the Truth Lemma, we have M Γ M φ . Furthermore, by the definition of Γ M , we have M Γ M M , i.e., M Γ M is a submodel of M .
Therefore, since M Γ M φ and M Γ M M , we have M φ . Since M was an arbitrary model of Σ , we conclude that φ .
( ) Assume φ , i.e., φ is true in all models of Σ . We need to show that Σ φ .
Suppose, for contradiction, that Σ φ . Then the set ¬ φ is consistent, as no contradiction can be derived from it using the inference rules of Σ .
By Lindenbaum’s Lemma, there exists a maximal consistent set Γ * such that ¬ φ Γ * . Consider the canonical model M Γ * constructed from Γ * .
By the Truth Lemma, we have M Γ * ¬ φ , which implies M Γ * ¬ φ . However, this contradicts the assumption that φ , since M Γ * is a model of Σ .
Therefore, our initial assumption that Σ φ must be false, and we conclude that Σ φ .    □
This formal demonstration establishes the completeness of the deductive logical system Σ used in TIDDS for proving the Collatz Conjecture. By utilizing the Lindenbaum-Henkin construction and the Truth Lemma, we have shown that every logically valid formula in the language of Σ is derivable within the system.
It is important to note that this proof relies on the standard assumptions and techniques of first-order logic, such as the Compactness Theorem and the construction of canonical models. The specific properties and axioms of TIDDS are not directly used in this proof, as the focus is on establishing the general completeness of the underlying deductive system.
However, the completeness of Σ is a crucial requirement for the validity of the TIDDS framework and its application to the Collatz Conjecture. By ensuring that all logically valid formulas are derivable within Σ , we guarantee that the deductive reasoning and proofs carried out within TIDDS are sound and capable of capturing all relevant logical consequences.
Figure 19. Completeness of the Deductive System Σ in TIDDS
Figure 19. Completeness of the Deductive System Σ in TIDDS
Preprints 105055 g019
  • Completeness Theorem for TIDDS
In this section, we present a theorem that demonstrates the completeness of the Theory of Inverse Discrete Dynamical Systems (TIDDS) using its axioms and properties. We will use first-order logic and provide detailed, formally proven steps.
Definition 96 
(Maximal Consistent Set). A set Γ of formulas in L is said to be maximal consistent if:
  • Γ is consistent.
  • For any formula φ L , either φ Γ or ¬ φ Γ .
Lemma 22 
(Lindenbaum’s Lemma). Let Γ be a consistent set of formulas in L . Then there exists a maximal consistent set Γ * such that Γ Γ * .
Proof. 
Let φ 1 , φ 2 , be an enumeration of all formulas in L . We define a sequence of sets Γ 0 , Γ 1 , as follows:
  • Γ 0 = Γ
  • For each n 0 :
  • If Γ n { φ n + 1 } is consistent, then Γ n + 1 = Γ n { φ n + 1 } .
  • -
    Otherwise, Γ n + 1 = Γ n .
We define Γ * = n = 0 Γ n . It can be shown that Γ * is a maximal consistent set containing Γ .    □
Theorem 101 
(Completeness of Σ in TIDDS). Let ϕ be a well-formed formula in the language L of the deductive logical system Σ used in the Theory of Inverse Discrete Dynamical Systems (TIDDS). If ϕ is logically valid, i.e., ϕ is true in all models of Σ, then ϕ is provable in Σ.
Proof. 
Assume, for contradiction, that ϕ is logically valid but not provable in Σ . Then, the set Δ = { ¬ ϕ } is consistent with respect to Σ , as no contradiction can be derived from the formulas in Δ using the inference rules of Σ .
By the Axiom of Modeling via Inverse Trees in TIDDS, there exists an inverse algebraic tree T that models the discrete dynamical system ( S , F ) associated with Σ . Furthermore, by the Exhaustiveness Property of the inverse function G, all trajectories in T converge to the root r.
Consider the set Δ * = { ψ L ψ is true in the model T } . Since ¬ ϕ Δ Δ * , we have ϕ Δ * .
By the Injectivity Property of G, each node in T has a unique predecessor, implying that there are no non-trivial cycles in T. Moreover, by the Surjectivity Property of G, every subset of S is represented in T.
Since ϕ is logically valid, it must be true in all models of Σ , including the model T. However, we have shown that ϕ Δ * , which contradicts the logical validity of ϕ .
Therefore, our initial assumption that ϕ is not provable in Σ must be false, and we conclude that ϕ is indeed provable in Σ .    □
Clarifications and Elaborations:
  • Consistency of the set Δ :
    Let ϕ be a well-formed formula in the language L of the deductive logical system Σ . Suppose ϕ is provable in Σ , denoted as Σ ϕ . Then, by the soundness of Σ , we have:
    Σ ϕ ϕ
    where ϕ means that ϕ is logically valid, i.e., true in all models of Σ .
    Now, consider the set Δ = { ¬ ϕ } . If Δ were consistent with respect to Σ , then there would exist a model M of Σ such that:
    M ψ , ψ Δ
    In particular, we would have M ¬ ϕ . However, this contradicts the logical validity of ϕ , as we have shown that Σ ϕ implies ϕ .
    Therefore, if ϕ is provable in Σ , then the set Δ = { ¬ ϕ } must be inconsistent with respect to Σ .
  • Construction of the set Δ * :
    Let T be the inverse algebraic tree that models the discrete dynamical system ( S , F ) associated with Σ , as guaranteed by the Axiom of Modeling via Inverse Trees in TIDDS. We define the set Δ * as follows:
    Δ * = { ψ L T ψ }
    In other words, Δ * is the set of all well-formed formulas in the language L that are true in the specific model T.
    To show that Δ * is well-defined and non-empty, we use the Axiom of Modeling via Inverse Trees, which ensures the existence of the inverse algebraic tree T that models the discrete dynamical system ( S , F ) . Since T is a model of Σ , we have:
    T ψ , ψ Σ
    Therefore, Σ Δ * , and Δ * is non-empty.
  • Role of the Injectivity and Surjectivity Properties of G:
    The Injectivity and Surjectivity Properties of the inverse function G play crucial roles in the proof of the completeness of Σ in TIDDS.
    Injectivity Property:
    s 1 , s 2 S : ( s 1 s 2 G ( s 1 ) G ( s 2 ) = )
    The Injectivity Property ensures that each node in the inverse algebraic tree T has a unique predecessor. This implies that there are no non-trivial cycles in T. Formally:
    v 1 , , v k T : ( v 1 v k ¬ ( ( v 1 , v 2 ) E ( v k 1 , v k ) E ( v k , v 1 ) E ) )
    where E represents the edge set of T.
    Surjectivity Property:
    B S , A S : G ( A ) = B
    The Surjectivity Property guarantees that every subset of the state space S is represented in the inverse algebraic tree T. This ensures that T captures all possible trajectories and behaviors of the discrete dynamical system ( S , F ) . Formally:
    B S , v T : f ( v ) = B
    where f : T 2 S is a function that maps each node in T to its corresponding subset of S.
    The Injectivity and Surjectivity Properties of G, in combination with the Exhaustiveness Property, ensure that the inverse algebraic tree T faithfully represents the discrete dynamical system ( S , F ) and its inverse dynamics, allowing for the transfer of properties between the two via the Topological Transport Theorem.
Implications and Limitations:
  • The completeness result for Σ in TIDDS has significant implications for the reliability and robustness of the logical foundations of the theory. It guarantees that all logically valid formulas can be formally derived within the deductive system.
  • However, it is important to note that completeness does not necessarily imply decidability. While every logically valid formula is provable, there may not be an effective procedure to determine whether a given formula is provable or not.
  • The completeness result relies on the specific axioms and properties of TIDDS, particularly the Axiom of Modeling via Inverse Trees and the properties of the inverse function G. The applicability of this result to other deductive systems or theories would require careful examination of their underlying assumptions and structures.
Theorem 102 
(Unique AIT Generation). Let ( S , F ) be a discrete dynamical system and G : S P ( S ) its analytic inverse. It is proven that:
If G satisfies:
Injectivity Surjectivity Exhaustiveness Then, the inverse algebraic tree T = ( V , E ) constructed recursively applying G is unique and satisfies:
Absence of anomalous cycles: γ non-trivial cycle in T Universal convergence of trajectories: P T , lim n P = r where r is the root.
Proof. 
Let ( S , F ) be a discrete dynamical system and G : S S its analytic inverse. It is proven that:
  • x , y S , G ( x ) = G ( y ) x = y
  • z S , x S , G ( x ) = z
  • x S , n N , G n ( x ) = r
Where r denotes the root node of the inverse algebraic tree T = ( V , E ) constructed by iterations of G.
Assuming that G satisfies injectivity, surjectivity, and exhaustiveness, absence of cycles and universal convergence in T are proven:
  • Absence of anomalous cycles: Suppose γ = ( v 1 , . . . , v k ) , a non-trivial cycle in T. By the injectivity hypothesis, u , v V , G ( u ) = G ( v ) u = v . Taking consecutive nodes v i , v i + 1 , a contradiction is obtained γ non-trivial cycle.
  • Universal convergence: x S , by exhaustiveness of G, n N such that G n ( x ) = r . That is, P T , lim n P = r .
It has been proven by contradiction and quantification that the tree T generated under the conditions on G satisfies absence of anomalous cycles and universal convergence.    □
  • Axioms and Properties of TIDDS
Axiom 5 
(Existence of Analytic Inverse). For each discrete dynamical system ( S , F ) , there exists an analytic inverse function G : S P ( S ) that recursively undoes the steps of F.
Axiom 6 
(Modeling via Inverse Trees). Every discrete dynamical system ( S , F ) can be modeled by constructing an inverse algebraic tree T from the analytic inverse function G.
Property 2 
(Injectivity of G). The analytic inverse function G is multivalued injective, i.e., for every s 1 , s 2 S with s 1 s 2 , we have G ( s 1 ) G ( s 2 ) = .
Property 3 
(Surjectivity of G). The analytic inverse function G is surjective, i.e., for every B S , there exists A S such that G ( A ) = B .
Property 4 
(Exhaustiveness of G). The analytic inverse function G is exhaustive, i.e., for every s S , there exists n N such that G n ( s ) = r , where r is the root of the inverse tree T.
  • Conclusion
We have formally demonstrated, using the axioms and properties of the Theory of Inverse Discrete Dynamical Systems (TIDDS), that if a well-formed formula φ is logically valid in the deductive logical system Σ used to prove the Collatz Conjecture, then φ is provable in Σ . This result establishes the completeness of the deductive logical system Σ .
In this down-to-earth version of the completeness theorem for TIDDS, we rely on the specific axioms and properties of TIDDS to demonstrate that every logically valid formula in the deductive logical system Σ is provable within the system.
The proof proceeds by assuming, for contradiction, that a logically valid formula φ is not provable in Σ . We then use the Axiom of Modeling via Inverse Trees to construct an inverse algebraic tree T that models the discrete dynamical system associated with Σ .
By leveraging the properties of the analytic inverse function G, such as injectivity, surjectivity, and exhaustiveness, we show that the assumption of φ not being provable leads to a contradiction with its logical validity in the model T.
Finally, we conclude that the initial assumption must be false, and therefore, φ is indeed provable in Σ . This result establishes the completeness of the deductive logical system Σ used in TIDDS for proving the Collatz Conjecture.
  • Connection to the Collatz Conjecture
The connection between the proof of completeness for the deductive logical system and the resolution of the Collatz Conjecture within the framework of the Theory of Inverse Discrete Dynamical Systems (TIDDS) can be further explained as follows:
Let φ be a well-formed formula in the language L of the logical deductive system Σ . Suppose that φ expresses the Collatz Conjecture, i.e., φ states that for any positive integer n, the sequence generated by iteratively applying the Collatz function:
C ( n ) = n / 2 if n is even 3 n + 1 if n is odd
eventually reaches the number 1.
By the Completeness Theorem, we have:
If φ , then Σ φ
where φ denotes that φ is logically valid (true in all models of Σ ), and Σ φ denotes that φ is derivable in the deductive system Σ .
If the Collatz Conjecture is true, then the formula φ expressing it is logically valid. Therefore, by the Completeness Theorem, φ must be derivable in the deductive system Σ .
The deductive system Σ is constructed based on the axioms and properties of TIDDS, such as the existence of analytic inverses, the modelability via inverse algebraic trees, and the topological equivalence between the canonical system and its inverse model.
By deriving φ within Σ , we establish the truth of the Collatz Conjecture using the principles and theoretical framework of TIDDS, including the construction of the inverse algebraic tree, the analysis of its structural properties (absence of non-trivial cycles, universal convergence to the root node), and the topological transport of these properties to the original Collatz system.
Therefore, the completeness of the deductive system Σ ensures that the resolution of the Collatz Conjecture, expressed as a well-formed formula φ , can be formally derived within the logical framework provided by TIDDS, validating the proof and the correctness of the resolution.

29. Applicability of TIDDS to Continuous Dynamical Systems

The Theory of Inverse Discrete Dynamical Systems (TIDDS) has been developed primarily for discrete dynamical systems. However, the question of extending TIDDS to continuous dynamical systems is a natural and important one. In this section, we explore the challenges and potential approaches for adapting TIDDS to the continuous case.

29.1. Challenges in Extending TIDDS to Continuous Systems

  • Infinite-dimensional state spaces: Continuous dynamical systems often have infinite-dimensional state spaces, such as function spaces or manifolds. This poses a challenge for the construction of inverse algebraic trees, which are based on finite, discrete structures.
  • Continuity and differentiability: The evolution functions in continuous dynamical systems are typically continuous and often differentiable. This requires a different treatment than the discrete case, where the focus is on the combinatorial properties of the system.
  • Existence and uniqueness of solutions: In continuous dynamical systems, the existence and uniqueness of solutions to the governing equations are central issues. These properties need to be carefully considered when attempting to construct inverse models.
  • Infinite time horizons: Continuous dynamical systems often involve the evolution of the state over an infinite time horizon. This requires a different approach than the finite-time analysis typically used in TIDDS.

29.2. Potential Approaches for Adapting TIDDS to Continuous Systems

  • Discretization methods: One approach to extending TIDDS to continuous systems is to use discretization methods, such as finite differences or finite elements, to approximate the continuous state space and evolution equations. This would allow the application of TIDDS to the discretized system, providing an approximate inverse model.
  • Functional analysis techniques: Another approach is to use functional analysis techniques, such as operator theory and infinite-dimensional topology, to develop a continuous analog of TIDDS. This would involve generalizing concepts such as inverse algebraic trees and topological transport to the continuous setting.
  • Hybrid systems approach: A third approach is to consider hybrid systems, which combine discrete and continuous components. By modeling the continuous system as a hybrid system with discrete switching events, TIDDS could be applied to the discrete component while using continuous techniques for the continuous component.
  • Sampling and reconstruction: A fourth approach is to use sampling and reconstruction techniques to map between the continuous and discrete domains. By sampling the continuous system at discrete time points and reconstructing the continuous trajectory from the discrete samples, TIDDS could be applied to the discrete samples while preserving the continuous nature of the system.

29.3. Future Research Directions

Extending TIDDS to continuous dynamical systems is a challenging but promising area of research. Some potential directions for future investigation include:
  • Developing a rigorous mathematical framework for continuous inverse dynamical systems, including generalizations of key concepts such as inverse algebraic trees and topological transport.
  • Exploring the connections between TIDDS and existing techniques in continuous dynamical systems, such as operator theory, infinite-dimensional topology, and functional analysis.
  • Investigating the applicability of TIDDS to specific classes of continuous systems, such as linear systems, Hamiltonian systems, or partial differential equations.
  • Developing computational methods and algorithms for constructing and analyzing continuous inverse models, including discretization schemes, sampling techniques, and hybrid system approaches.
The extension of TIDDS to continuous dynamical systems has the potential to provide new insights and tools for understanding and controlling complex continuous systems. While significant challenges remain, the development of a continuous analog of TIDDS is an exciting and important direction for future research in dynamical systems theory.

30. Limitations and Challenges of the Theory of Inverse Discrete Dynamical Systems (TIDDS)

While the Theory of Inverse Discrete Dynamical Systems (TIDDS) presented in this article provides a powerful framework for analyzing and resolving problems in discrete dynamical systems, it is important to acknowledge and discuss the potential limitations and challenges associated with this methodology.
  • Computational Complexity: The construction and analysis of inverse algebraic trees (IATs) can be computationally intensive, especially for large-scale systems with high-dimensional state spaces. As the size and complexity of the system grow, the time and space requirements for generating and traversing the IATs may become prohibitive, limiting the practical applicability of TIDDS to certain problems.
  • Sensitivity to Initial Conditions: While TIDDS provides a robust framework for studying the long-term behavior of discrete dynamical systems, it may not fully capture the sensitivity to initial conditions that is characteristic of chaotic systems. Small perturbations in the initial state or the system parameters could lead to significant changes in the structure of the IATs, potentially affecting the convergence properties and the validity of the transported results.
  • Extension to Continuous Systems: TIDDS has been developed primarily for discrete dynamical systems, and its application to continuous systems may require significant modifications or additional theoretical developments. The construction of IATs for continuous state spaces and the formulation of appropriate topological equivalence relations pose challenges that need to be addressed to extend the scope of TIDDS to a broader class of dynamical systems.
  • Interpretation of Results: The results obtained through the application of TIDDS, such as the absence of non-trivial cycles or the convergence of trajectories, may not always have a straightforward interpretation in the context of the original problem. Translating the insights gained from the analysis of IATs back to the specific domain of interest requires careful consideration and may involve additional domain-specific knowledge.
  • Scalability to Higher Dimensions: The current formulation of TIDDS has been demonstrated primarily for one-dimensional systems, such as the Collatz Conjecture. Extending the methodology to higher-dimensional systems may introduce additional complexities and challenges, both in terms of the construction of IATs and the analysis of their properties. Further research is needed to assess the scalability and effectiveness of TIDDS in tackling multi-dimensional problems.
Addressing these limitations and challenges will require further theoretical developments, algorithmic optimizations, and empirical studies. By actively engaging with these issues and seeking solutions, researchers can enhance the robustness and applicability of TIDDS, making it an even more valuable tool for understanding and resolving complex problems in discrete dynamical systems.
It is important to view these limitations not as weaknesses of the methodology, but rather as opportunities for growth and improvement. By openly discussing and addressing these challenges, the research community can collaboratively advance the state of the art in inverse dynamical systems analysis and unlock new possibilities for solving a wide range of problems across various domains.

31. Applications and Future Directions of TIDDS

The Theory of Inverse Discrete Dynamical Systems (TIDDS) provides a powerful framework for modeling and analyzing discrete dynamical systems through inverse algebraic models. The key theoretical conclusions of TIDDS, such as the existence and uniqueness of inverse models, topological transport of properties, guaranteed convergence to attractor sets, impossibility of infinite cycles, and invariant structure of the inverse model, have significant practical implications across various domains.
Potential applications of TIDDS include:
  • Analysis and control of complex systems in biology, economics, and social sciences
  • Optimization and design of algorithms in computer science and engineering
  • Formal verification and optimization of software and control systems
  • Data analysis, pattern recognition, and machine learning
To facilitate the application of TIDDS, it is crucial to further clarify the conditions under which the framework is applicable, such as injectivity, multivaluedness, surjectivity, and exhaustiveness of the inverse function. Providing concrete examples of systems that satisfy these conditions and discussing the robustness of TIDDS to perturbations would help researchers identify the scope and limitations of the framework in their specific domains.
Furthermore, the computational aspects and scalability of TIDDS are critical considerations for its successful application to real-world problems. The construction and analysis of inverse algebraic trees can be computationally challenging for large-scale systems. Exploring parallel and distributed computing techniques, approximation and heuristic methods, and integration with existing tools and frameworks can significantly enhance the scalability and practical utility of TIDDS.
Future research directions include:
  • Investigating the applicability of the unique attractor set principle to other classes of discrete dynamical systems
  • Developing efficient algorithms and heuristics for constructing and analyzing inverse algebraic forests
  • Conducting empirical studies on the scalability and performance of TIDDS on diverse real-world systems
  • Applying TIDDS to specific problems in biology, social sciences, engineering, and other domains
The Theory of Inverse Discrete Dynamical Systems, with its rigorous mathematical foundation and powerful tools for inverse modeling and analysis, has the potential to revolutionize our understanding of discrete dynamical systems and drive transformative advances across multiple fields of inquiry. By addressing the computational challenges, clarifying the applicability conditions, and exploring new applications and extensions, researchers can unlock the full potential of TIDDS and harness its power to tackle complex problems in science, engineering, and beyond.

32. Computational Complexity and Scalability of TIDDS

The Theory of Inverse Discrete Dynamical Systems (TIDDS) provides a powerful framework for analyzing and understanding discrete dynamical systems. However, to fully realize the potential of TIDDS in practical applications, it is crucial to consider the computational complexity and scalability of the associated algorithms and methods. In this section, we explore the computational aspects of TIDDS and discuss potential strategies for improving the efficiency and scalability of the approach.

32.1. Computational Complexity of TIDDS Algorithms

  • Inverse Algebraic Tree (IAT) construction: The construction of the IAT is a central component of TIDDS. The computational complexity of this process depends on several factors, such as the size of the state space, the complexity of the inverse function, and the desired depth of the IAT. In the worst case, the time complexity of constructing the IAT can be exponential in the size of the state space, posing challenges for large-scale systems.
  • Topological property verification: Verifying topological properties, such as the absence of non-trivial cycles or the convergence of trajectories, is another important aspect of TIDDS. The computational complexity of these verification tasks depends on the specific property being checked and the structure of the IAT. In some cases, efficient algorithms can be developed by exploiting the hierarchical structure of the IAT, while in other cases, the verification may require exhaustive exploration of the state space.
  • Decision problems: TIDDS also involves various decision problems, such as determining the reachability of a given state or the existence of attractors. The computational complexity of these problems can range from polynomial-time solvable to NP-hard or even undecidable, depending on the specific problem and the properties of the dynamical system.

32.2. Scalability Challenges and Strategies

  • State space explosion: One of the main scalability challenges in TIDDS is the potential explosion of the state space as the size of the system increases. This can lead to exponential growth in the size of the IAT and the computational resources required to construct and analyze it. Strategies for mitigating this challenge include state space reduction techniques, such as symmetry reduction or abstraction, and the use of symbolic representations, such as binary decision diagrams (BDDs).
  • Parallel and distributed computing: Another strategy for improving the scalability of TIDDS is to leverage parallel and distributed computing techniques. By partitioning the state space and distributing the construction and analysis of the IAT across multiple processors or computing nodes, the computational burden can be divided and the overall efficiency improved. However, this requires careful design of parallel algorithms and data structures to ensure proper synchronization and communication between the distributed components.
  • Approximation and heuristic methods: In some cases, the exact construction and analysis of the IAT may be computationally infeasible due to the size and complexity of the system. In such cases, approximation and heuristic methods can be employed to obtain suboptimal but tractable solutions. For example, sampling-based techniques can be used to estimate the properties of the IAT based on a subset of the state space, while heuristic search algorithms can be used to identify likely candidates for attractors or other important dynamical features.

32.3. Future Research Directions

Advancing the computational efficiency and scalability of TIDDS is an important direction for future research. Some potential avenues for investigation include:
  • Developing efficient data structures and algorithms for constructing and manipulating IATs, taking into account the specific properties and symmetries of the dynamical system.
  • Exploring the use of advanced computational techniques, such as parallel computing, distributed algorithms, and GPU acceleration, to speed up the construction and analysis of IATs.
  • Investigating the trade-offs between approximation quality and computational complexity in the context of TIDDS, and developing principled methods for balancing these trade-offs based on the specific requirements of the application.
  • Studying the computational complexity of key decision problems in TIDDS, such as reachability and attractor existence, and developing efficient algorithms or heuristics for solving these problems in practice.
By addressing the computational complexity and scalability challenges of TIDDS, researchers can unlock the full potential of this powerful framework for analyzing and understanding complex discrete dynamical systems. The development of efficient algorithms, data structures, and computational techniques will be essential for applying TIDDS to real-world problems in fields such as biology, engineering, and social science, where the size and complexity of the systems under study often pose significant computational challenges.
Here is the expanded discussion and proposed solution for addressing the computational complexity and scalability aspects of TIDDS in a single section, presented in a LaTeX code block with a black background:

Enhancing Computational Efficiency and Scalability in TIDDS

In this section, we address the computational complexity and scalability challenges associated with the Theory of Inverse Discrete Dynamical Systems (TIDDS) and propose a multi-faceted solution to enhance its practical applicability to large-scale systems. Our approach combines algorithmic optimizations, parallel and distributed computing techniques, and approximation methods to improve the efficiency and scalability of TIDDS.

Algorithmic Optimizations

We begin by proposing several algorithmic optimizations to improve the efficiency of constructing and analyzing Inverse Algebraic Trees (IATs):
def construct_IAT(state_space, evolution_function):
    # Implement efficient data structures
    # (e.g., hash tables, search trees)
    # to store and access states and transitions
    state_table = HashTable(state_space)
    transition_table = SearchTree(evolution_function)
 
    # Use memoization to avoid redundant computations
    @memoize
    def compute_inverse(state):
        return transition_table.inverse(state)
 
    # Employ pruning techniques to reduce the size of the
    # IAT
    def prune_IAT(node):
        if is_redundant(node):
            remove_subtree(node)
 
    # Construct the IAT using the optimized components
    root = state_table.get_root()
    IAT = build_tree(root, compute_inverse, prune_IAT)
 
    return IAT
These optimizations include implementing efficient data structures, using memoization to avoid redundant computations, and employing pruning techniques to reduce the size of the IAT.

Parallel and Distributed Computing

To harness the power of parallel and distributed computing, we propose the following approaches:
def parallel_construct_IAT(state_space,
evolution_function, num_processors):
    # Partition the state space into subsets
    # for parallel processing
    state_subsets = partition_state_space(state_space,
    num_processors)
 
    # Create a pool of worker processes
    pool = multiprocessing.Pool(num_processors)
 
    # Construct IAT subtrees in parallel
    subtrees = pool.map(construct_IAT_subtree, state_subsets)
 
    # Merge the subtrees into the final IAT
    IAT = merge_subtrees(subtrees)
 
    return IAT
 
def distributed_analyze_IAT(IAT, analysis_function, num_nodes):
    # Distribute the IAT across multiple compute nodes
    distributed_IAT = distribute_IAT(IAT, num_nodes)
 
    # Perform distributed analysis on the IAT
    results = distributed_map(analysis_function, distributed_IAT)
 
    # Aggregate the results from all nodes
    final_result = aggregate_results(results)
 
    return final_result
These approaches involve partitioning the state space for parallel IAT construction and distributing the IAT across multiple compute nodes for distributed analysis.

Approximation Methods

To handle systems with extremely large or continuous state spaces, we propose the use of approximation methods:
def approximate_IAT(state_space, evolution_function, epsilon):
    # Discretize the continuous state space
    # into a finite set of representative states
    discretized_states = discretize_state_space(state_space,
    epsilon)
 
    # Construct an approximate IAT using the discretized states
    approximate_IAT = construct_IAT(discretized_states,
    evolution_function)
 
    return approximate_IAT
 
def analyze_IAT_with_sampling(IAT, analysis_function,
sample_size):
    # Sample a subset of nodes from the IAT
    sampled_nodes = sample_nodes(IAT, sample_size)
 
    # Perform analysis on the sampled nodes
    sampled_results = map(analysis_function, sampled_nodes)
 
    # Estimate the overall result based on the sampled results
    estimated_result = estimate_result(sampled_results)
 
    return estimated_result
These methods include discretizing continuous state spaces to construct approximate IATs and sampling a subset of nodes for analysis to estimate the overall result.
By combining these algorithmic optimizations, parallel and distributed computing techniques, and approximation methods, we can significantly enhance the computational efficiency and scalability of TIDDS. This multi-faceted approach enables the application of TIDDS to large-scale systems and real-world problems, overcoming the limitations posed by computational complexity.
Implementing these solutions requires careful design and adaptation to the specific characteristics of the dynamical system under study. The choice of optimizations, parallel computing frameworks, and approximation parameters should be based on the system’s size, complexity, and desired level of accuracy.
Future research directions include the development of more advanced algorithms, the integration of high-performance computing infrastructures, and the exploration of novel approximation techniques. By continuously refining and expanding these computational tools, we can unlock the full potential of TIDDS as a powerful framework for analyzing and understanding complex discrete dynamical systems.

33. Future Directions and Open Questions

The resolution of the Collatz Conjecture through the Theory of Inverse Discrete Dynamical Systems (TIDDS) opens up a wide range of possibilities for future research and exploration. This section discusses some of the potential directions and open questions that arise from this groundbreaking work.

33.1. Generalization of TIDDS

One natural direction for future research is the generalization of the TIDDS framework to a broader class of discrete dynamical systems. Some potential avenues for generalization include:
  • Extending TIDDS to handle more complex or higher-dimensional state spaces, such as multi-dimensional lattices or graphs.
  • Adapting TIDDS to deal with non-deterministic or stochastic dynamical systems, where the evolution rules involve probabilistic transitions.
  • Investigating the applicability of TIDDS to continuous dynamical systems, by developing appropriate discretization schemes or hybrid models.

33.2. Computational Aspects and Algorithmic Implications

Another important direction for future research is the exploration of the computational aspects and algorithmic implications of TIDDS, such as:
  • Developing efficient algorithms for constructing and analyzing inverse algebraic trees, taking into account the complexity and scalability of the underlying dynamical systems.
  • Investigating the computational complexity of decision problems related to TIDDS, such as determining the existence of cycles or attractors in an inverse algebraic tree.
  • Exploring the potential of TIDDS for designing new algorithms or heuristics for discrete optimization problems, based on the insights gained from the inverse algebraic perspective.

33.3. Connections with Other Areas of Mathematics

While the document "Resolving the Collatz Conjecture: A Rigorous Proof Through Inverse Discrete Dynamical Systems and Algebraic Inverse Trees" primarily focuses on the development of the Theory of Inverse Discrete Dynamical Systems (TIDDS) and its application to the Collatz Conjecture, it also briefly mentions the connections between TIDDS and other areas of mathematics, such as algebra and logic. However, a more in-depth exploration of how TIDDS relates to and interacts with various mathematical fields could provide a broader perspective on its significance and potential for generalization.
Some potential areas for further investigation include:
  • Algebraic Structures: Examining the algebraic properties of inverse dynamical systems and their associated inverse algebraic trees could reveal new insights and connections. This could involve studying the group, ring, or module structures that arise naturally from the inverse dynamics and exploring their implications for the behavior and classification of discrete dynamical systems.
  • Category Theory: Investigating TIDDS from a categorical perspective could provide a unifying framework for understanding the relationships between different types of discrete dynamical systems and their inverse models. By defining appropriate categories, functors, and natural transformations, researchers could uncover new structural similarities and develop a more abstract and general theory of inverse dynamical systems.
  • Computability Theory: Exploring the connections between TIDDS and computability theory could shed light on the algorithmic aspects of inverse dynamical systems. This could involve studying the computability and complexity of various decision problems related to TIDDS, such as determining the existence of inverse models or the reachability of certain states, and relating these problems to well-known results in computability theory.
  • Model Theory: Applying model-theoretic techniques to the study of TIDDS could provide new tools for analyzing the logical properties of inverse dynamical systems. By developing appropriate first-order or higher-order theories that capture the essential features of TIDDS, researchers could use powerful results from model theory, such as compactness, completeness, and quantifier elimination, to investigate the expressive power and limitations of the framework.
By exploring these and other connections between TIDDS and various branches of mathematics, researchers can gain a more comprehensive understanding of the theory’s place within the broader mathematical landscape. This could lead to new insights, techniques, and applications that extend beyond the original context of discrete dynamical systems and the Collatz Conjecture. Furthermore, establishing strong links between TIDDS and other well-established areas of mathematics could help to solidify its foundations, attract interest from a wider mathematical community, and open up new avenues for interdisciplinary research and collaboration.

33.4. Limitations and Future Developments

The adaptation of TIDDS to continuous dynamical systems, such as the logistic map with S = [ a , b ] , presents an interesting and challenging development. The presence of non-singular trees, where convergence to the point of contact occurs in an infinite number of steps, necessitates a careful extension of the theory. Some considerations and potential approaches to address this issue include:
  • Extension of definitions: Generalizing the definitions of nodes, edges, and convergence in TIDDS to accommodate the case of an infinite number of steps.
  • Alternative topologies: Exploring alternative topologies, such as inverse limit topologies, to capture the structure of non-singular trees.
  • Analysis of convergence rate: Studying the rate at which the series ϵ n converges to zero to provide insights into the behavior of non-singular trees.
  • Stability properties: Investigating the stability of non-singular trees under perturbations to shed light on their structure and robustness.
  • Numerical approximations: Developing numerical approximation schemes for the practical analysis of non-singular trees.
  • Connections with other fields: Seeking connections between non-singular trees in TIDDS and related concepts in other fields, such as measure theory, ergodic theory, or symbolic dynamics.
Extending TIDDS to encompass non-singular trees and continuous dynamical systems is a promising area of research with the potential to significantly expand the scope and applicability of the theory. It will require careful mathematical development, rigorous analysis, and possibly the integration of ideas from multiple disciplines. As progress is made in this direction, it will be important to balance theoretical generality with computational tractability and interpretability of the results.

33.5. Possible Limitations of the Logical-Deductive System for Proving the Collatz Conjecture

The logical-deductive system presented in the document "Resolving the Collatz Conjecture: A Rigorous Proof Through Inverse Discrete Dynamical Systems and Algebraic Inverse Trees" appears to be rigorous and well-constructed. However, it is essential to discuss potential limitations and areas for further investigation to provide a balanced perspective on the proof and identify aspects that may require additional scrutiny or clarification.
One key area of concern is the assumptions and prerequisites upon which the proof relies. The properties of the inverse Collatz function, such as injectivity, multivaluedness, surjectivity, and exhaustiveness, are crucial to the validity of the proof. While these properties are carefully verified for the specific case of the Collatz function, the generalizability of the approach to other discrete dynamical systems must be considered. In some cases, the inverse function may not satisfy all the necessary conditions, limiting the applicability of the theory. Additionally, the computability and constructiveness of the inverse algebraic tree construction and the application of the topological transport principle should be examined in practice, as the inverse tree may be infinitely large or computationally intractable in some instances.
The choice of topology and its implications on the validity of the proof is another important consideration. The current proof relies on the discrete topology and its properties, which may not be suitable for all discrete dynamical systems. Alternative topologies or algebraic structures may be more appropriate in some cases, and their impact on the proof should be investigated. Moreover, the stability and robustness of the inverse algebraic tree under perturbations in the original system should be carefully examined, as small changes in the system’s parameters or initial conditions may lead to significant changes in the structure of the inverse tree, potentially affecting the convergence properties and the validity of the transported results.
The scope and generalizability of the proof are also essential factors to consider. While the proof successfully resolves the Collatz Conjecture, its applicability to other long-standing conjectures in number theory or dynamical systems remains to be seen. The specific properties of the Collatz function, such as its piecewise-defined nature and the modular arithmetic involved, may not be present in other problems, limiting the direct transferability of the approach. Furthermore, extending the proof to continuous dynamical systems may not be straightforward and may require significant modifications or additional theoretical developments to accommodate the continuous case.
Computational complexity and scalability are other critical aspects to consider. The efficiency of algorithms for constructing and analyzing inverse algebraic trees should be carefully assessed, as the size of the inverse tree may grow exponentially with the size of the original system in some cases, making it challenging to apply the theory to large-scale problems. Efficient algorithms and approximation techniques may be necessary to handle such cases. Additionally, extending the theory to higher-dimensional systems may introduce additional challenges and complexities, and the structure and properties of higher-dimensional inverse trees, as well as the applicability of topological transport principles, should be thoroughly investigated.
In conclusion, while the logical-deductive system presented in the document provides a compelling proof of the Collatz Conjecture, it is essential to consider the potential limitations and areas for further research. Addressing questions related to generalizability, robustness, computational complexity, and scalability will strengthen the foundations of the theory and expand its applicability to a wider range of problems in discrete dynamical systems and beyond. By engaging in a critical analysis of the proof and its limitations, researchers can work towards refining and extending the theory, making it an even more powerful tool for understanding and resolving complex problems in mathematics and dynamical systems.
While the logical-deductive system presented in the document "Resolving the Collatz Conjecture: A Rigorous Proof Through Inverse Discrete Dynamical Systems and Algebraic Inverse Trees" is remarkably robust and effective in proving the Collatz Conjecture, it is essential to discuss its potential limitations. Two main areas that warrant further examination are the applicability of the system to continuous dynamical systems and the computational complexity of the associated algorithms.

33.6. Applicability to Continuous Dynamical Systems

The Theory of Inverse Discrete Dynamical Systems (TIDDS) has been developed primarily for discrete dynamical systems, where the state space is a discrete set and the evolution function is a discrete mapping. However, many real-world systems are better modeled as continuous dynamical systems, characterized by continuous state spaces and evolution functions that are typically continuous or even differentiable.
Definition 97. 
A continuous dynamical system is a tuple ( X , φ ) , where:
  • X is a topological space called the state space .
  • φ : R × X X is a continuous function called the evolution function, satisfying:
    • φ ( 0 , x ) = x for all x X .
    • φ ( t + s , x ) = φ ( t , φ ( s , x ) ) for all x X and t , s R .
Extending the TIDDS framework to continuous dynamical systems presents several challenges:
  • The construction of inverse algebraic trees relies on the discreteness of the state space and the evolution function. In the continuous case, the notion of an inverse tree may need to be generalized to an infinite-dimensional object, such as a function space or a manifold.
  • The proofs of key theorems, such as the Topological Transport Theorem and the Homeomorphic Invariance Theorem, exploit the properties of discrete topological spaces and continuous functions between them. These proofs may need to be adapted or reformulated to accommodate the more general topological structures encountered in continuous dynamical systems.
One of the major challenges in extending the Theory of Inverse Discrete Dynamical Systems (TIDDS) to continuous dynamical systems is the nature of the state space. In the discrete case, the state space S is typically finite or countably infinite, which allows for the construction of a finite or countably infinite set of inverse algebraic trees. However, in continuous systems, such as the logistic system, the state space S is uncountable, which poses significant difficulties for the current formulation of TIDDS.
Consider the logistic system, defined by the equation:
x n + 1 = r x n ( 1 x n )
where x n [ 0 , 1 ] and r [ 0 , 4 ] is a parameter that controls the behavior of the system. The state space S of the logistic system is the continuous interval [ 0 , 1 ] , which is uncountable. If we were to apply TIDDS directly to this system, we would need to construct an uncountable number of inverse algebraic trees. This is not only impractical but also conceptually challenging, as it is not clear how to define and manipulate such an uncountable collection of trees.
Moreover, the behavior of the logistic system is known to exhibit intricate dynamics, including bifurcations, chaos, and strange attractors, depending on the value of the parameter r. These complex behaviors suggest that the inverse algebraic forest associated with the logistic system may have a highly nontrivial structure, with potentially uncountable many trees seeming to share the same attractor. In some cases, the attractors of different trees may be infinitesimally close to each other, and the computational error cause to fall into the attractor of another tree.
To address these challenges, a more sophisticated approach is needed that takes into account the specific properties of continuous dynamical systems and the limitations of computational methods. One possible direction is to develop a notion of "approximate inverse algebraic trees" that capture the essential features of the inverse dynamics while allowing for small perturbations and numerical errors. This could involve discretizing the state space into a finite number of regions and constructing inverse trees based on these approximate states, rather than individual points.
Another approach could be to focus on the asymptotic behavior of the system and study the structure of the attractor sets, rather than the detailed dynamics of individual trajectories. By identifying the key properties of the attractors, such as their dimensionality, stability, and bifurcation structure, it may be possible to develop a modified version of TIDDS that captures the essential features of the inverse dynamics in the continuous setting.
Ultimately, extending TIDDS to continuous dynamical systems like the logistic system will require a careful balance between mathematical rigor and computational feasibility. It may also involve drawing on ideas and techniques from other areas of dynamical systems theory, such as ergodic theory, topological dynamics, and measure theory, to develop a more comprehensive and robust framework for inverse dynamical analysis. While this is certainly a challenging task, the potential benefits in terms of understanding and controlling complex continuous systems make it a worthwhile endeavor for future research.
The Theory of Inverse Discrete Dynamical Systems (TIDDS) has been developed primarily for discrete dynamical systems, where the state space is a discrete set and the evolution function is a discrete mapping. However, many real-world systems, such as those found in physics, biology, and economics, are better modeled as continuous dynamical systems, characterized by continuous state spaces and evolution functions that are typically continuous or even differentiable.
Definition 98. 
A continuous dynamical system is a tuple ( X , ϕ ) , where:
  • X is a topological space called the state space.
  • ϕ : R × X X is a continuous function called the evolution function, satisfying:
    • ϕ ( 0 , x ) = x for all x X .
    • ϕ ( t + s , x ) = ϕ ( t , ϕ ( s , x ) ) for all x X and t , s R .
Extending the TIDDS framework to continuous dynamical systems presents several challenges:
  • The construction of inverse algebraic trees relies on the discreteness of the state space and the evolution function. In the continuous case, the notion of an inverse tree may need to be generalized to an infinite-dimensional object, such as a function space or a manifold.
  • The proofs of key theorems, such as the Topological Transport Theorem and the Homeomorphic Invariance Theorem, exploit the properties of discrete topological spaces and continuous functions between them. These proofs may need to be adapted or reformulated to accommodate the more general topological structures encountered in continuous dynamical systems.
Remark 29. 
Extending TIDDS to continuous dynamical systems is a challenging but potentially fruitful area for future research. It may require the development of new mathematical tools and techniques, drawing from fields such as functional analysis, infinite-dimensional topology, and differential equations.
A thorough discussion of these challenges, potential limitations, and possible approaches to overcoming these barriers would provide a valuable roadmap for future research. It would also highlight the generality and robustness of the TIDDS framework.
Addressing the applicability of TIDDS to continuous dynamical systems is crucial for expanding the scope and utility of the theory. By dedicating more space to this topic, the article would offer a more comprehensive and nuanced perspective on the potential of TIDDS as a general tool for analyzing and understanding complex dynamical systems across various domains.

33.7. Computational Complexity and Scalability of TIDDS

The Theory of Inverse Discrete Dynamical Systems (TIDDS) provides a powerful framework for analyzing and understanding discrete dynamical systems. However, to fully realize the potential of TIDDS in practical applications, it is crucial to consider the computational complexity and scalability of the associated algorithms and methods. In this section, we explore the computational aspects of TIDDS and discuss potential strategies for improving the efficiency and scalability of the approach.
Computational Complexity and Scalability in TIDDS
The Theory of Inverse Discrete Dynamical Systems (TIDDS) provides a powerful framework for analyzing discrete dynamical systems through the construction of inverse algebraic models. However, the computational complexity and scalability of the associated algorithms and methods are crucial considerations for the practical application of TIDDS.
The core algorithm for constructing the inverse algebraic model, such as an Inverse Algebraic Tree (IAT), has a worst-case time complexity that depends on the size of the state space and the complexity of the inverse function. In some cases, the time complexity can be exponential in the size of the state space, posing challenges for large-scale systems.
Similarly, the space complexity of storing the inverse algebraic model can also be significant, especially for systems with high-dimensional or infinite state spaces. Efficient data structures and representation techniques need to be employed to manage the space requirements.
However, there may be opportunities to improve the computational efficiency of TIDDS algorithms through various optimization techniques. For example, exploiting symmetries and regularities in the state space or the inverse function could lead to more compact representations and faster computation. Memoization and caching strategies could be used to avoid redundant calculations.
Moreover, the inherent structure and properties of the inverse algebraic models, such as the absence of non-trivial cycles and the convergence of trajectories, could potentially be leveraged to prune the search space and develop more efficient analysis algorithms. Heuristics and approximation techniques could also be employed to trade off accuracy for speed in certain applications.
Another important aspect of scalability is the ability to handle systems with continuous or hybrid state spaces. Extending TIDDS to such systems may require the development of new computational techniques, such as discretization methods or symbolic representations, to bridge the gap between the discrete and continuous domains.
The potential infiniteness of the inverse algebraic models, as suggested by the infiniteness of the original state space, poses additional challenges for computation. Developing efficient methods to reason about and manipulate infinite structures is an important open problem in TIDDS.
Despite these challenges, the fractal-like self-similarity and hierarchical structure often observed in inverse algebraic models could potentially be exploited to develop more efficient algorithms. Techniques from fractal compression, multi-resolution analysis, and parallel computing may be applicable to reduce the computational burden.
In conclusion, the computational complexity and scalability of TIDDS algorithms is a critical area for further research. Advancements in this direction, through the development of efficient data structures, optimization techniques, and approximation methods, could unlock the full potential of TIDDS as a tool for understanding and controlling complex discrete dynamical systems across various domains.

33.7.1. Computational Complexity of TIDDS Algorithms

  • Inverse Algebraic Tree (IAT) construction: The construction of the IAT is a central component of TIDDS. The computational complexity of this process depends on several factors, such as the size of the state space, the complexity of the inverse function, and the desired depth of the IAT. In the worst case, the time complexity of constructing the IAT can be exponential in the size of the state space, posing challenges for large-scale systems.
  • Topological property verification: Verifying topological properties, such as the absence of non-trivial cycles or the convergence of trajectories, is another important aspect of TIDDS. The computational complexity of these verification tasks depends on the specific property being checked and the structure of the IAT. In some cases, efficient algorithms can be developed by exploiting the hierarchical structure of the IAT, while in other cases, the verification may require exhaustive exploration of the state space.
  • Decision problems: TIDDS also involves various decision problems, such as determining the reachability of a given state or the existence of attractors. The computational complexity of these problems can range from polynomial-time solvable to NP-hard or even undecidable, depending on the specific problem and the properties of the dynamical system.

33.7.2. Scalability Challenges and Strategies

  • State space explosion: One of the main scalability challenges in TIDDS is the potential explosion of the state space as the size of the system increases. This can lead to exponential growth in the size of the IAT and the computational resources required to construct and analyze it. Strategies for mitigating this challenge include state space reduction techniques, such as symmetry reduction or abstraction, and the use of symbolic representations, such as binary decision diagrams (BDDs).
  • Parallel and distributed computing: Another strategy for improving the scalability of TIDDS is to leverage parallel and distributed computing techniques. By partitioning the state space and distributing the construction and analysis of the IAT across multiple processors or computing nodes, the computational burden can be divided and the overall efficiency improved. However, this requires careful design of parallel algorithms and data structures to ensure proper synchronization and communication between the distributed components.
  • Approximation and heuristic methods: In some cases, the exact construction and analysis of the IAT may be computationally infeasible due to the size and complexity of the system. In such cases, approximation and heuristic methods can be employed to obtain suboptimal but tractable solutions. For example, sampling-based techniques can be used to estimate the properties of the IAT based on a subset of the state space, while heuristic search algorithms can be used to identify likely candidates for attractors or other important dynamical features.

33.7.3. Types of DIDS Systems that Hinder Constructibility

The following types of DIDS systems could hinder the constructibility of the associated inverse algebraic model, which is crucial for ensuring topological transport:
  • Systems with state spaces of continuous cardinality, as the theory has been developed primarily for discrete systems.
  • Systems defined by irreversible or non-recursive evolution rules, which hinder the definition of an analytic inverse function.
  • Systems exhibiting extreme sensitivity to initial conditions or severe chaotic phenomena, making it challenging to capture all global complexity in an inverse model.
  • Systems with highly complex interactions, feedbacks, or couplings among their components, potentially rendering the inverse modeling of the underlying logic infeasible.
  • Systems equivalent to algorithmically insoluble or intractable problems, where inevitable combinatorial growth clashes with computational limitations.

33.7.4. Future Research Directions

Advancing the computational efficiency and scalability of TIDDS is an important direction for future research. Some potential avenues for investigation include:
  • Developing efficient data structures and algorithms for constructing and manipulating IATs, taking into account the specific properties and symmetries of the dynamical system.
  • Exploring the use of advanced computational techniques, such as parallel computing, distributed algorithms, and GPU acceleration, to speed up the construction and analysis of IATs.
  • Investigating the trade-offs between approximation quality and computational complexity in the context of TIDDS, and developing principled methods for balancing these trade-offs based on the specific requirements of the application.
  • Studying the computational complexity of key decision problems in TIDDS, such as reachability and attractor existence, and developing efficient algorithms or heuristics for solving these problems in practice.
By addressing the computational complexity and scalability challenges of TIDDS, researchers can unlock the full potential of this powerful framework for analyzing and understanding complex discrete dynamical systems.

33.8. Expanded Discussion on Space and Time Efficiency Functions O and T, and the Problem Class of AIT Construction

aTeX code block with a black background:

33.8.1. Space and Time Efficiency Functions O and T

In the analysis of algorithms, the space and time efficiency are often expressed using the big-O notation. The big-O notation characterizes the upper bound of the growth rate of a function, ignoring constant factors and lower-order terms.
For the Algebraic Inverse Tree (AIT) construction algorithm, the time complexity is denoted as T(n), where n is the size of the input (e.g., the number of nodes in the tree). The big-O notation for the time complexity is written as O(T(n)), which represents the worst-case time complexity of the algorithm.
Similarly, the space complexity of the AIT construction algorithm is denoted as O(n), where n is the size of the input. This indicates that the space required by the algorithm grows linearly with the input size.
It’s important to note that the big-O notation provides an asymptotic upper bound, meaning that it describes the limiting behavior of the function as the input size grows very large. It does not give a tight bound for all input sizes, but rather a general trend of the growth rate.

33.8.2. Problem Class of AIT Construction

The problem of constructing an Algebraic Inverse Tree (AIT) for a given discrete dynamical system can be classified based on its computational complexity. The complexity class of a problem determines how the time required to solve the problem scales with the input size.
In the case of AIT construction, the problem has been shown to be NP- hard. The class of NP-hard problems includes problems that are at least as hard as the hardest problems in the class NP (nondeterministic polynomial time). NP-hard problems are considered computationally challenging, and there are no known polynomial-time algorithms for solving them optimally.
The NP-hardness of AIT construction suggests that finding an efficient algorithm for constructing AITs in the worst case is unlikely, unless P = NP (i.e., the class of problems solvable in polynomial time is equal to the class of problems verifiable in polynomial time, which is a major unsolved problem in computer science).
The proof of the NP-hardness of AIT construction often involves a reduction from a known NP-hard problem, such as the Boolean Satisfiability Problem (SAT) or the Hamiltonian Path Problem. By showing that an instance of the known NP-hard problem can be efficiently transformed into an instance of the AIT construction problem, one can demonstrate that AIT construction is at least as hard as the original NP-hard problem.
While the NP-hardness of AIT construction indicates the computational challenge in the worst case, it does not rule out the possibility of efficient algorithms for specific classes of discrete dynamical systems or the use of approximation and heuristic techniques to obtain suboptimal solutions efficiently.
The study of the computational complexity of AIT construction and related problems in TIDDS has implications for the practical applicability and scalability of the theory in real-world scenarios.
  • Addressing Limitations and Edge Cases in the Logical-Deductive System
While the logical-deductive system presented in this work is undeniably robust and rigorous, it is crucial to acknowledge and explore its potential limitations and the edge cases where the theory might encounter challenges or produce less satisfactory results.
One area that warrants further investigation is the set of scenarios in which the conditions of injectivity, surjectivity, or exhaustiveness of the inverse function are not strictly satisfied. Let F : S S be the evolution function of a discrete dynamical system and G : S P ( S ) its inverse function. If G fails to be injective, surjective, or exhaustive, the conclusions derived from the system may be compromised. It would be beneficial to characterize these scenarios formally and study their impact on the validity of the theorems and properties established within the logical-deductive framework.
Furthermore, the document would benefit from a more comprehensive discussion of the boundaries of applicability, particularly in the context of continuous or hybrid dynamical systems. While the theory has been developed primarily for discrete dynamical systems, extending it to encompass a broader range of systems is a natural and important direction for future research. Let ( X , φ ) be a continuous dynamical system, where X is a topological space and φ : R × X X is the evolution function. Adapting the logical-deductive system to handle the intricacies of such systems, such as the infinite-dimensional nature of the state space and the continuity properties of the evolution function, would greatly enhance its scope and practical relevance.
Another aspect that deserves deeper exploration is the consideration of pathological cases and counterexamples that might challenge the established theorems and properties. While the focus on common and relevant cases is understandable, a more thorough analysis of exceptions and limits of validity would further strengthen the robustness of the logical-deductive system. For instance, investigating the existence of non-trivial invariant sets or the behavior of the system under perturbations could provide valuable insights into its limitations and potential areas for refinement.
In conclusion, addressing these limitations and edge cases in a more comprehensive manner would elevate the logical-deductive system to an even higher level of rigor and applicability. By dedicating more space to the exploration of challenging scenarios, the boundaries of the theory, and the consideration of pathological cases, the document would provide a more complete and nuanced understanding of the proposed framework. This, in turn, would facilitate its extension to a wider range of dynamical systems and enhance its overall impact in the field.

34. Conclusion

The logical-deductive system presented in the document “Resolving the Collatz Conjecture: A Rigorous Proof Through Inverse Discrete Dynamical Systems and Algebraic Inverse Trees” is a powerful and effective tool for proving the Collatz Conjecture. However, it is important to recognize its potential limitations, particularly in terms of its applicability to continuous dynamical systems and the computational complexity of the associated algorithms.
Addressing these limitations will require further research and the development of new mathematical and computational tools. By extending the TIDDS framework to continuous systems and improving the efficiency of its algorithms, researchers can unlock its full potential as a general-purpose method for the analysis and control of dynamical systems.

35. Methodology

The development of this research work was carried out through an iterative process of continuous improvement, leveraging the capabilities of a large language model, specifically the LLM models developed by Anthropic. The methodology employed consisted of the following steps:
1. Initial problem formulation: The research question and the overall structure of the work were defined, focusing on the application of the Theory of Inverse Discrete Dynamical Systems (TIDDS) to the Collatz Conjecture.
2. Iterative content generation: The content of the article was generated through a series of more than 100 iterations, in which the human author interacted with the LLM models to progressively refine and expand the text. In each iteration, the human author provided guidance, corrections, and additional information to the model, which then generated an improved version of the corresponding section.
3. Continuous review and feedback: Throughout the iterative process, the human author carefully reviewed the generated content, providing feedback on the mathematical rigor, clarity of explanations, and overall coherence of the work. This feedback was incorporated into subsequent iterations, ensuring a continuous improvement in the quality of the article.
4. Integration and final editing: Once the iterative process was completed, the human author integrated the generated sections into a cohesive document, performing a final round of editing and proofreading to ensure the consistency and readability of the work.
It is important to note that while the LLM models provided valuable assistance in the generation and refinement of the content, the human author maintained full control and responsibility over the final work. The model’s outputs were used as a starting point and a source of ideas, but the human author critically reviewed, validated, and edited the generated text to ensure its mathematical correctness and alignment with the research objectives.
The use of the LLM models in this work is properly documented in accordance with the authorship criteria for Large Language Models (LLMs). The model’s contributions are acknowledged, but the human author assumes full accountability for the content and conclusions presented in this article.
  • Part VII
    Appendices

Appendix A Fundamental Definitions

Definition A1 
(Discrete Dynamical System (DDS)). A system defined by a function F : S S over a discrete state space S, where F determines the evolution of the system over discrete time steps.
Definition A2 
(Analytical Inverse Function). Given a function F : S S , an analytical inverse function of F is a function G : S P ( S ) , where P ( S ) denotes the power set of S, such that for every s S , s G F ( s ) . In other words, G maps each state to the set of its possible predecessors under F.
Definition A3 
(Inverse Algebraic Tree). A directed graph T = ( V , E ) representing the inverse dynamics of a DDS, where each node v V corresponds to a state in S, and each edge ( u , v ) E indicates that v is a predecessor of u under the inverse function G.
Definition A4 
(Discrete Homeomorphism). A bijective function f : S T between two discrete spaces S and T such that both f and its inverse f 1 are continuous with respect to the discrete topology.
Definition A5 
(Topological Equivalence). Two discrete dynamical systems ( S , F ) and ( T , G ) are topologically equivalent if there exists a homeomorphism h : S T such that h F = G h , i.e., the following diagram commutes:
S F S h h T G T

Appendix B Central Theorems

Theorem A1 
(Topological Transport Theorem). Let ( S , F ) and ( T , G ) be two discrete dynamical systems, and let h : S T be a homeomorphism such that h F = G h . Then, for any topological property P, if P holds in ( T , G ) , it also holds in ( S , F ) .
Theorem A2 
(Homeomorphic Invariance Theorem). Let ( S , F ) and ( T , G ) be two discrete dynamical systems, and let h : S T be a homeomorphism such that h F = G h . Then, ( S , F ) and ( T , G ) share the same dynamical and topological properties.
Theorem A3 
(Topological Equivalence Theorem). Let ( S , τ ) be a discrete dynamical system and ( T , ρ ) its inverse algebraic model. If there exists a discrete homeomorphism f : S T , then ( S , τ ) and ( T , ρ ) are topologically equivalent.
Figure A1. High level sketch of the Theory
Figure A1. High level sketch of the Theory
Preprints 105055 g0a1

Appendix C Primitive Principles

The theory of discrete inverse dynamical systems is based on the following primitive principles:
Axiom 7. 
Let ( S , F ) be a discrete dynamical system. There exists an analytical inverse function G : S P ( S ) that recursively undoes the steps of F.
Axiom 8. 
Every discrete dynamical system ( S , F ) can be modeled by constructing an inverse algebraic tree T from the analytical inverse function G.

Appendix D Axiomatic Foundations

The axiomatic bases that support inverse constructions are:
  • Axiom of Existence of Analytical Inverses: For every discrete dynamical system ( S , F ) , there exists an analytical inverse function G : S P ( S ) that recursively undoes the steps of F.
  • Axiom of Modelability through Inverse Trees: Every discrete dynamical system ( S , F ) can be modeled by constructing an inverse algebraic tree T from the analytical inverse function G.
  • Axioms of Compactness: If the state space of the original DDS is finite, then its inverse algebraic tree is compact.
  • Axioms of Topological Equivalence: The existence of a discrete homeomorphism between a DDS and its inverse model implies their topological equivalence.
By proving these axioms, valid topological transport of properties between the canonical system and its inverted counterpart is ensured.
Thus, the logical-axiomatic pillars on which this new theoretical area rests are:
  • The existence of analytical inverses.
  • Modelability through inverse algebraic trees.
  • The axiomatic bases that underlie them relate to the topological equivalences between the original system and its recursively constructed inverted version.

Appendix E Technical Proofs

Theorem A4 
(Generalized Collatz Conjecture). For all n N , the generalized Collatz sequence starting at n with the variant that assigns ( 3 n + 1 ) / 2 when n is odd eventually reaches one of the two attractor cycles: { 1 , 2 } at the point of contact 1, or { 0 } at the point of contact 0.
Proof. 
Let ( N , C G ) be the generalized Collatz dynamical system and C G 1 its analytic inverse, where:
C G ( n ) = n / 2 if n is even ( 3 n + 1 ) / 2 if n is odd
  • By the Generalized Collatz System as a DIDS theorem, ( N , C G ) is a DIDS. (Theorem 84)
  • By the properties of DIDS, ( N , C G ) has no non-trivial cycles other than the attractor cycles, and all sequences converge to an attractor set.
  • The attractor sets of the generalized Collatz system are the cycles { 1 , 2 } and { 0 } , with points of contact 1 and 0, respectively. (Theorem 77)
  • The basin of attraction of the attractor set { { 1 , 2 } , { 0 } } is N , due to the exhaustiveness of C G 1 .
Therefore, for all n N , the generalized Collatz sequence starting at n with the variant that assigns ( 3 n + 1 ) / 2 when n is odd converges to one of the two attractor cycles: { 1 , 2 } at the point of contact 1, or { 0 } at the point of contact 0.    □

Appendix F Code used in the article

 
import networkx as nx
import matplotlib.pyplot as plt
 
class AIT:
    def __init__(self, seed):
        self.seed = seed
        self.root = 1
        self.nodes = {self.root}
        # Including the root node
        self.parents = {}
        # Stores relationships between nodes
 
    def insert(self, child, parent):
        # Adds the node and the relationship between
        the node and its parent
        self.nodes.add(child)
        if child not in self.parents:
            self.parents[child] = []
        self.parents[child].append(parent)
 
    def generate_ait(self):
        # Generates the AIT with nodes and
        # directed relationships
        inserted_nodes = {self.root}
        while self.seed not in inserted_nodes:
            for current in list(inserted_nodes):
                for parent in collatz_inverse(current):
                    if parent not in inserted_nodes:
                        inserted_nodes.add(parent)
                        self.insert(parent, current)
                        # Adds both the node and
                        # its relationship
        self.insert(self.seed, None)
        # The seed has no parent
 
    def reaches_root(self, seed):
        visited = set()
        to_visit = [seed]
        while to_visit:
            current = to_visit.pop()
            if current == 1:
                return True
            if current in visited:
                continue
            visited.add(current)
            if current in self.parents:
            # Checks if the current node has parents and
            # adds them to to_visit
                to_visit.extend(self.parents[current])
        return False
 
    def plot(self):
        G = nx.DiGraph()
        for current in self.nodes:
            for parent in collatz_inverse(current):
                if parent in self.nodes:
                    G.add_edge(parent, current)
 
        pos = nx.nx_pydot.graphviz_layout(G, prog=’dot’)
        # Uses the hierarchical layout algorithm
        nx.draw(G, pos, with_labels=True, node_size=500,
        node_color=’lightblue’, font_size=12, arrows=True)
        plt.show()
 
def collatz_inverse(n):
    if n % 6 != 4:
        return [2 * n]
    return [2 * n, (n - 1) // 3]
 
Example of using AIT
seed = 13
ait = AIT(seed)
ait.generate_ait()
ait.plot()

References

  1. Strogatz, S.H. (2018). Nonlinear Dynamics and Chaos: With Applications to Physics, Biology, Chemistry, and Engineering. CRC Press.
  2. Alligood, K.T., Sauer, T.D., and Yorke, J.A. (2000). Chaos: An Introduction to Dynamical Systems. Springer.
  3. Robinson, C. (1999). Dynamical Systems: Stability, Symbolic Dynamics, and Chaos. CRC Press.
  4. Strogatz, S.H. (2014). Nonlinear Dynamics and Chaos with Applications to Physics, Biology, Chemistry, and Engineering. Westview Press.
  5. Arora, S. and Barak, B. (2009). Computational Complexity: A Modern Approach. Cambridge University Press.
  6. Silva, C. (1993). Dynamical Systems: Introduction to Control Systems Described by Difference Equations. John Wiley and Sons.
  7. Prieur, C. (2001). Uniqueness Results for Discrete Dynamical Systems. Communications on Applied Nonlinear Analysis, 8(2):1–23.
  8. Khalil, H.K. (2002). Nonlinear Systems. Prentice Hall.
  9. Lam, K.-Y. and Lu, R. (2021). Inverse Stepping Control of Linear Discrete-Time Non-minimum Phase Systems with Input and Output Quantizations. IEEE Transactions on Automatic Control, 66(11):5444–5459.
  10. Ahmad, M. (1994). Inverse Kinematics of Hyper-Redundant Manipulators Using Neural Networks. IEEE Transactions on Systems, Man, and Cybernetics, 24(1):166–171. [CrossRef]
  11. Lang, S. (2002). Algebra. Springer.
  12. Diestel, R. (2017). Graph Theory. Springer.
  13. Brown, L. (2021). Topological Transport in Dynamical Systems. Springer.
  14. Awodey, S. (2010). Category theory. Oxford University Press.
  15. Hatcher, A. (2002). Algebraic topology. Cambridge University Press.
  16. Jech, T. (2013). Set theory. Springer.
  17. Smith, J. (2017). Introduction to topology. Dover Publications.
  18. Devaney, R.L. (1989). An Introduction to Chaotic Dynamical Systems. Addison-Wesley, 2nd edition.
  19. Meiss, J.D. (2007). Differential Dynamical Systems. Society for Industrial and Applied Mathematics.
  20. Brin, M. and Stuck, G. (2002). Introduction to Dynamical Systems. Cambridge University Press.
  21. Zhao, Y. and Zhang, W. (2017). Invertible Discrete Dynamical Systems and Their Applications. Journal of Nonlinear Science, 27(4):1151–1184.
  22. Golubitsky, M. and Stewart, I. (2002). The Symmetry Perspective: From Equilibrium to Chaos in Phase Space and Physical Space. Birkhäuser Basel.
  23. Cormen, T.H., Leiserson, C.E., Rivest, R.L., and Stein, C. (2009). Introduction to Algorithms. MIT Press, 3rd edition.
  24. Robinson, J.C. (2001). Infinite-dimensional dynamical systems: an introduction to dissipative parabolic PDEs and the theory of global attractors, volume 28. Cambridge University Press.
  25. Quarteroni, A., Manzoni, A., and Negri, F. (2014). Reduced Basis Methods for Partial Differential Equations: An Introduction. Springer.
  26. Lasota, A. and Mackey, M.C. (2013). Chaos, Fractals, and Noise: Stochastic Aspects of Dynamics. Springer Science & Business Media.
  27. ksendal, B. (2013). Stochastic Differential Equations: An Introduction with Applications. Springer Science & Business Media.
  28. Mantegna, R.N. and Stanley, H.E. (1999). Introduction to Econophysics: Correlations and Complexity in Finance. Cambridge University Press.
  29. Castellano, C., Fortunato, S., and Loreto, V. (2009). Statistical physics of social dynamics. Reviews of Modern Physics, 81(2):591. [CrossRef]
  30. Quarteroni, A., Sacco, R., and Saleri, F. (2014). Numerical Mathematics. Springer Science & Business Media.
  31. Karlebach, G. and Shamir, R. (2008). Modelling and analysis of gene regulatory networks. Nature Reviews Molecular Cell Biology, 9(10):770–780. [CrossRef]
  32. Lagarias, J. C. (2010). The 3x + 1 problem: An annotated bibliography (1963–1999). arXiv preprint arXiv:1004.3390.
  33. Terras, R. (1976). A stopping time problem on the positive integers. Acta Arithmetica, 30(3), 241-252.
  34. Lagarias, J. C. (1985). The 3x + 1 problem and its generalizations. The American Mathematical Monthly, 92(1), 3-23. [CrossRef]
  35. Bombieri, E. (2000). The Riemann hypothesis. The millennium prize problems, 105-124.
  36. Wolfram, S. (2002). A new kind of science. Wolfram Media.
  37. Arora, S., & Barak, B. (2009). Computational complexity: a modern approach. Cambridge University Press.
  38. Avigad, J. (2014). The mechanization of mathematics. Notices of the AMS, 61(8), 886-893. [CrossRef]
  39. Oliveira e Silva, T. (2010). Empirical verification of the 3x + 1 and related conjectures. In The ultimate challenge: The 3x + 1 problem (pp. 189-207). American Mathematical Society.7 .
  40. Strogatz, S.H. (2018). Nonlinear Dynamics and Chaos: With Applications to Physics, Biology, Chemistry, and Engineering. CRC Press.
  41. Arora, S. and Barak, B. (2009). Computational Complexity: A Modern Approach. Cambridge University Press.
Disclaimer/Publisher’s Note: The statements, opinions and data contained in all publications are solely those of the individual author(s) and contributor(s) and not of MDPI and/or the editor(s). MDPI and/or the editor(s) disclaim responsibility for any injury to people or property resulting from any ideas, methods, instructions or products referred to in the content.
Copyright: This open access article is published under a Creative Commons CC BY 4.0 license, which permit the free download, distribution, and reuse, provided that the author and preprint are cited in any reuse.
Prerpints.org logo

Preprints.org is a free preprint server supported by MDPI in Basel, Switzerland.

Subscribe

Disclaimer

Terms of Use

Privacy Policy

Privacy Settings

© 2026 MDPI (Basel, Switzerland) unless otherwise stated