Submitted:
10 October 2023
Posted:
11 October 2023
You are already at the latest version
Abstract
Keywords:
1. Introduction
2. Materials and Methods
2.1. Materials

2.2. Zalacca Midrib Fiber Treatment
2.3. Fiber and Composite Density
2.4. X-Ray Diffraction
2.5. Surface Energy and Contact Angle
2.6. Thermogravimetry (TGA) Analysis
2.7. Interfacial Shear Strength (IFSS) and Single Fiber Pull
2.8. Composite Fabrication
2.9. Tensile, Flexural Strength, and Modulus Elasticity
2.10. Scanning Electron Microscopy (SEM)
3. Results and Discussion
3.1. Fiber Density and Composite Density
3.2. X-Ray Diffraction
3.3. Surface Angle and Surface Energy
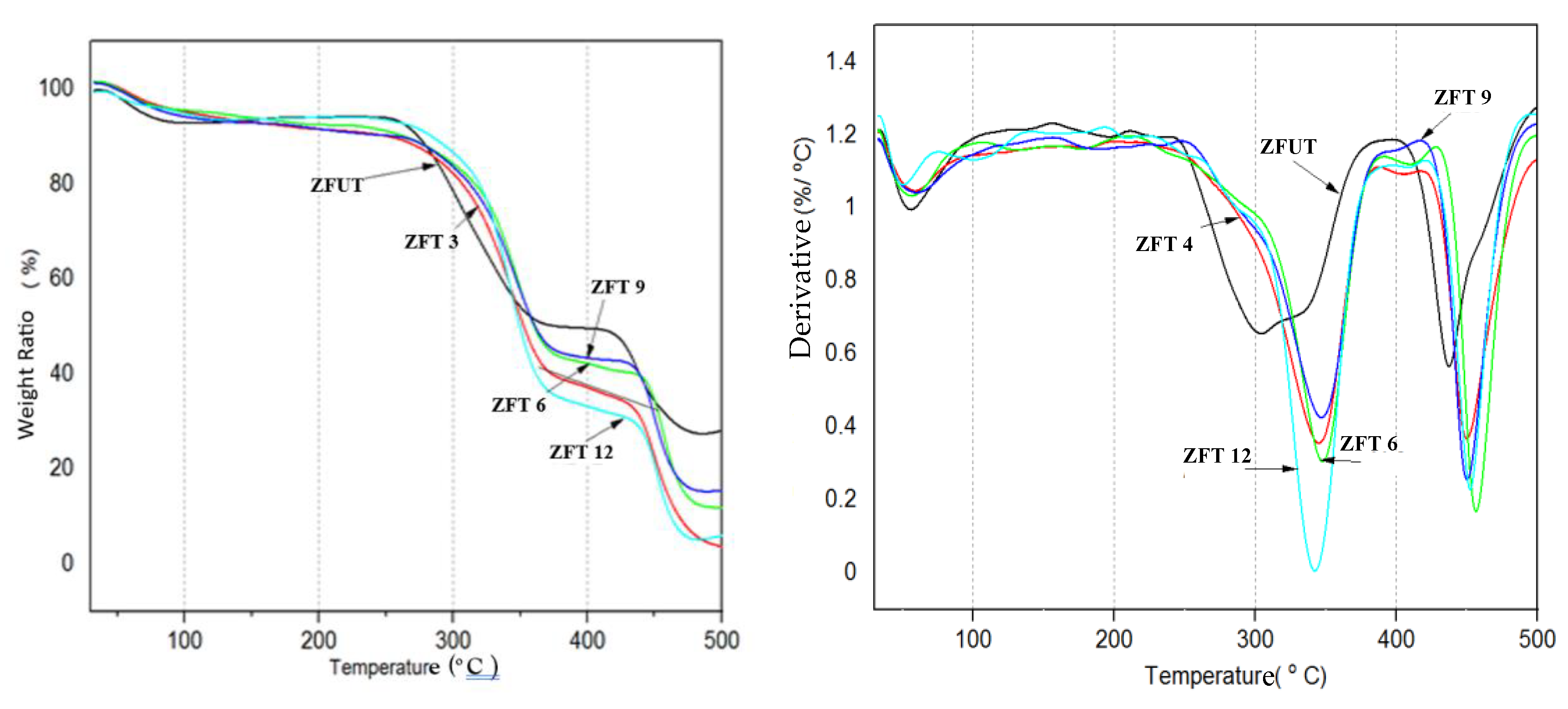
3.4. TGA Analysis and Derivative TGA
3.4. IFSS (Interfacial Shear Strength) and Tensile Strength Single Fiber
3.5. Tensile Strength and Flexural Composite
3.6. SEM Observation
3.7. Water Absorption in Composites
3.8. ZMF as a prosthetic socket reinforcement
4. Conclusion
Acknowledgments
References
- Sakuri, S.; Surojo, E.; Ariawan, D.; Prabowo, A.R. Investigation of Agave cantala-based composite fibers as prosthetic socket materials accounting for a variety of alkali and microcrystalline cellulose treatments. Theor. Appl. Mech. Lett. 2020, 10, 405–411. [Google Scholar] [CrossRef]
- Hashim, H.A.; Oleiwi, J.K.; Hamad, Q.A. Evaluation the impact and flexural properties for lower limbs prosthetic socket. In AIP Conference Proceedings (Vol. 2830, No. 1). AIP Publishing. 2023.
- Seal, B.; Chaudhary, V.; Sadhu, S.D. Development of natural fiber reinforced nanocomposites: Future Scope, challenges, and applications. Mater. Today: Proc. 2023, 78, 614–619. [Google Scholar] [CrossRef]
- Oleiwi, J.K.; Hamad, Q.A.; Faheed, N.K. Experimental, Theoretical, and Numerical Analysis of Laminated Composite Prosthetic Socket Reinforced with Flax and Cotton Fibers. Biotribology 2023, 35-36. [Google Scholar] [CrossRef]
- Sakuri, S.; Susanto, T.D.; Sugiantoro, B.; Shidiq, M.A. Experimental Investigation of Hot Alkaline Treatment on Strength Characteristics of Cantala Fiber Reinforced Composites and Microcrystalline Cellulose. EnvironmentAsia 2023, 16. [Google Scholar] [CrossRef]
- Hakim, L.; Widyorini, R.; Nugroho, W.D.; Prayitno, T.A. Effect of Vascular Tissue on Mechanical Properties of Fibrovascular Bundles of Salacca Sumatrana Becc. Fronds. J. Nat. Fibers 2021, 19, 9335–9347. [Google Scholar] [CrossRef]
- Ilyas, R.A.; Zuhri, M.Y.M.; Aisyah, H.A.; Asyraf, M.R.M.; Hassan, S.A.; Zainudin, E.S.; Sapuan, S.M.; Sharma, S.; Bangar, S.P.; Jumaidin, R.; et al. Natural Fiber-Reinforced Polylactic Acid, Polylactic Acid Blends and Their Composites for Advanced Applications. Polymers 2022, 14, 202. [Google Scholar] [CrossRef] [PubMed]
- Abu-Jdayil, B.; Al Abdallah, H.; Mlhem, A.; Alkhatib, S.; El Sayah, A.; Hussein, H.; Althabahi, A.; AlAydaroos, A. Utilization of Polyurethane Foam Dust in Development of Thermal Insulation Composite. Buildings 2022, 12, 126. [Google Scholar] [CrossRef]
- Ariawan, D.; Rivai, T.S.; Surojo, E.; Hidayatulloh, S.; Akbar, H.I.; Prabowo, A.R. Effect of alkali treatment of Salacca Zalacca fiber (SZF) on mechanical properties of HDPE composite reinforced with SZF. Alex. Eng. J. 2020, 59, 3981–3989. [Google Scholar] [CrossRef]
- Ihueze, C.C.; Okafor, C.E.; Obuka, S.N.; Abdulrahman, J.; Onwurah, U.O. Journal of Thermoplastic Composite Materials 2021.
- Sakuri, S.; Surojo, E.; Ariawan, D.; Prabowo, A.R. Experimental investigation on mechanical characteristics of composite reinforced cantala fiber (CF) subjected to microcrystalline cellulose and fumigation treatments. Compos. Commun. 2020, 21, 100419. [Google Scholar] [CrossRef]
- Najeeb, M.I.; Sultan MT, H.; Andou, Y.; Shah AU, M.; Eksiler, K.; Jawaid, M.; Ariffin, A.H. Journal of Materials Research and Technology 2020, 9, 3128–3139. [CrossRef]
- He, L.; Xia, F.; Wang, Y.; Yuan, J.; Chen, D.; Zheng, J. Polymers 2021, 13, 4083. [CrossRef] [PubMed]
- Wang, C.; Wu, X.; Zhang, H.; Hao, P.; He, F.; Zhang, X. A many-body dissipative particle dynamics study of eccentric droplets impacting inclined fiber. Phys. Fluids 2021, 33, 042001. [Google Scholar] [CrossRef]
- Sakuri, S.; Surojo, E.; Ariawan, D. Thermogravimetry and Interfacial Characterization of Alkaline Treated Cantala fiber/Microcrystalline Cellulose-Composite. Procedia Struct. Integr. 2020, 27, 85–92. [Google Scholar] [CrossRef]
- Sakuri, S.; Surojo, E.; Ariawan, D. Optimization of mechanical properties of unsaturated polyester composites reinforced by microcrystalline cellulose various treatments using the Taguchi method. (pp. 225-231). Springer Singapore. (2020).
- Hafidz, N.B.M.; Rehan, M.B.M.; Mokhtar, H.B. Effect of alkaline treatment on water absorption and thickness swelling of natural fibre reinforced unsaturated polyester composites. Mater. Today Proc. 2021, 48, 720–727. [Google Scholar] [CrossRef]
- Al-Oqla, F.M.; Hayajneh, M.T.; Al-Shrida, M.M. Mechanical performance, thermal stability and morphological analysis of date palm fiber reinforced polypropylene composites toward functional bio-products. Cellulose 2022, 29, 3293–3309. [Google Scholar] [CrossRef]
- Bekele, A.E.; Lemu, H.G.; Jiru, M.G. Experimental study of physical, chemical and mechanical properties of enset and sisal fibers. Polym. Test. 2021, 106, 107453. [Google Scholar] [CrossRef]
- Boonsuk, P.; Sukolrat, A.; Bourkaew, S.; Kaewtatip, K.; Chantarak, S.; Kelarakis, A.; Chaibundit, C. Structure-properties relationships in alkaline treated rice husk reinforced thermoplastic cassava starch biocomposites. Int. J. Biol. Macromol. 2020, 167, 130–140. [Google Scholar] [CrossRef]
- Makhlouf, A.; Belaadi, A.; Amroune, S.; Bourchak, M.; Satha, H. Elaboration and Characterization of Flax Fiber Reinforced High Density Polyethylene Biocomposite: Effect of the Heating Rate on Thermo-mechanical Properties. J. Nat. Fibers 2020, 19, 3928–3941. [Google Scholar] [CrossRef]
- Singh, J.K.; Rout, A.K.; Kumari, K. A review on Borassus flabellifer lignocellulose fiber reinforced polymer composites. Carbohydr. Polym. 2021, 262, 117929. [Google Scholar] [CrossRef]
- Sakuri, S.; Surojo, E.; Ariawan, D.; Prabowo, A.R. Experimental investigation on mechanical characteristics of composite reinforced cantala fiber (CF) subjected to microcrystalline cellulose and fumigation treatments. Compos. Commun. 2020, 21, 100419. [Google Scholar] [CrossRef]
- Ibrahim, Y.E.; Adamu, M.; Marouf, M.L.; Ahmed, O.S.; Drmosh, Q.A.; Malik, M.A. Mechanical Performance of Date-Palm-Fiber-Reinforced Concrete Containing Silica Fume. Buildings 2022, 12, 1642. [Google Scholar] [CrossRef]
- Calabrese, L.; Fiore, V.; Miranda, R.; Badagliacco, D.; Sanfilippo, C.; Palamara, D.; Valenza, A.; Proverbio, E. Performances Recovery of Flax Fiber Reinforced Composites after Salt-Fog Aging Test. J. Compos. Sci. 2022, 6, 264. [Google Scholar] [CrossRef]
- Hamciuc, C.; Vlad-Bubulac, T.; Serbezeanu, D.; Macsim, A.-M.; Lisa, G.; Anghel, I.; Şofran, I.-E. Effects of Phosphorus and Boron Compounds on Thermal Stability and Flame Retardancy Properties of Epoxy Composites. Polymers 2022, 14, 4005. [Google Scholar] [CrossRef] [PubMed]
- Razali, N.A.M.; Sohaimi, R.M.; Othman, R.N.I.R.; Abdullah, N.; Demon, S.Z.N.; Jasmani, L.; Yunus, W.M.Z.W.; Ya’acob, W.M.H.W.; Salleh, E.M.; Norizan, M.N.; et al. Comparative Study on Extraction of Cellulose Fiber from Rice Straw Waste from Chemo-Mechanical and Pulping Method. Polymers 2022, 14, 387. [Google Scholar] [CrossRef]
- Bouramdane, Y.; Fellak, S.; El Mansouri, F.; Boukir, A. Impact of Natural Degradation on the Aged Lignocellulose Fibers of Moroccan Cedar Softwood: Structural Elucidation by Infrared Spectroscopy (ATR-FTIR) and X-ray Diffraction (XRD). Fermentation 2022, 8, 698. [Google Scholar] [CrossRef]
- Richely, E.; Nuez, L.; Pérez, J.; Rivard, C.; Baley, C.; Bourmaud, A.; Guessasma, S.; Beaugrand, J. Influence of defects on the tensile behaviour of flax fibres: Cellulose microfibrils evolution by synchrotron X-ray diffraction and finite element modelling. Compos. Part C Open Access 2022, 9. [Google Scholar] [CrossRef]
- Abbas, A.-G.N.; Aziz, F.N.A.A.; Abdan, K.; Nasir, N.A.M.; Norizan, M.N. Kenaf Fibre Reinforced Cementitious Composites. Fibers 2022, 10, 3. [Google Scholar] [CrossRef]
- Montoya-Escobar, N.; Ospina-Acero, D.; Velásquez-Cock, J.A.; Gómez-Hoyos, C.; Guerra, A.S.; Rojo, P.F.G.; Acosta, L.M.V.; Escobar, J.P.; Correa-Hincapié, N.; Triana-Chávez, O.; et al. Use of Fourier Series in X-ray Diffraction (XRD) Analysis and Fourier-Transform Infrared Spectroscopy (FTIR) for Estimation of Crystallinity in Cellulose from Different Sources. Polymers 2022, 14, 5199. [Google Scholar] [CrossRef]
- Bouramdane, Y.; Fellak, S.; El Mansouri, F.; Boukir, A. Impact of Natural Degradation on the Aged Lignocellulose Fibers of Moroccan Cedar Softwood: Structural Elucidation by Infrared Spectroscopy (ATR-FTIR) and X-ray Diffraction (XRD). Fermentation 2022, 8, 698. [Google Scholar] [CrossRef]
- Perera, H.J.; Goyal, A.; Alhassan, S.M. Morphological, Structural and Thermal Properties of Silane-treated Date Palm Fibers. J. Nat. Fibers 2022, 19, 12144–12154. [Google Scholar] [CrossRef]
- Cui, S.; Sheng, Y.; Wang, Z.; Jia, H.; Qiu, W.; Temitope, A.A.; Xu, Z. Effect of the fiber surface treatment on the mechanical performance of bamboo fiber modified asphalt binder. Constr. Build. Mater. 2022, 347. [Google Scholar] [CrossRef]
- Lee, C.H.; Khalina, A.; Lee, S.H. Importance of Interfacial Adhesion Condition on Characterization of Plant-Fiber-Reinforced Polymer Composites: A Review. Polymers 2021, 13, 438. [Google Scholar] [CrossRef] [PubMed]
- Xie, X.; Xi, J.; Dai, Y.; Yuan, T.; Li, Y.; Wang, X. Improving Biomass-Degradation Properties and Nano-Mechanics of Moso Bamboo via a Simple Nitrogen Heat Treatment. Forests 2022, 13, 2059. [Google Scholar] [CrossRef]
- Atmakuri, A.; Palevicius, A.; Janusas, G.; Eimontas, J. Investigation of Hemp and Flax Fiber-Reinforced EcoPoxy Matrix Biocomposites: Morphological, Mechanical, and Hydrophilic Properties. Polymers 2022, 14, 4530. [Google Scholar] [CrossRef] [PubMed]
- Radzi, A.; Zaki, S.A.; Hassan, M.Z.; Ilyas, R.; Jamaludin, K.R.; Daud, M.Y.M.; Aziz, S.A. Bamboo-Fiber-Reinforced Thermoset and Thermoplastic Polymer Composites: A Review of Properties, Fabrication, and Potential Applications. Polymers 2022, 14, 1387. [Google Scholar] [CrossRef]
- Asif, M.; Ahmed, D.; Ahmad, N.; Qamar, M.T.; Alruwaili, N.K.; Bukhari, S.N.A. Extraction and Characterization of Microcrystalline Cellulose from Lagenaria siceraria Fruit Pedicles. Polymers 2022, 14, 1867. [Google Scholar] [CrossRef] [PubMed]
- Kumar, R.; Sivaganesan, S.; Senthamaraikannan, P.; Saravanakumar, S.S.; Khan, A.; Daniel, S.A.A.; Loganathan, L. Characterization of New Cellulosic Fiber from the Bark of Acacia nilotica L. Plant. J. Nat. Fibers 2020, 19, 199–208. [Google Scholar] [CrossRef]
- Jain, B.; Mallya, R.; Nayak, S.Y.; Heckadka, S.S.; Prabhu, S.; Mahesha, G.T.; Sancheti, G. Influence of Alkali and Silane Treatment on the Physico-Mechanical Properties of Grewia serrulata Fibres. J. Korean Wood Sci. Technol. 2022, 50, 325–337. [Google Scholar] [CrossRef]
- Fletes, R.C.V.; Rodrigue, D. Effect of Wood Fiber Surface Treatment on the Properties of Recycled HDPE/Maple Fiber Composites. J. Compos. Sci. 2021, 5, 177. [Google Scholar] [CrossRef]
- Rosales, S.G.S.; Naranjo, L.N.; Fonseca-Florido, H.A.; González-Morones, P.; Hernández, Z.G.; Macías, R.Y.; Romero, G.Y.; Gallardo-Vega, C.A.; Sifuentes-Nieves, I.; Hernández-Hernández, E. Alkali/Ultrasound Treatment as Alternative to Modify Structural and Thermal Properties of Agave tequilana Fibers. J. Nat. Fibers 2021, 19, 9309–9322. [Google Scholar] [CrossRef]
- Iwasaki, K.M.K.; Reis, P.A.; De Medeiros, R. Characterization of long bamboo Guadua Angustifolia fibre composite extracted via rotary–peeling method. J. Braz. Soc. Mech. Sci. Eng. 2022, 44, 135. [Google Scholar] [CrossRef]
- Ariawan, D.; Rivai, T.S.; Surojo, E.; Hidayatulloh, S.; Akbar, H.I.; Prabowo, A.R. Effect of alkali treatment of Salacca Zalacca fiber (SZF) on mechanical properties of HDPE composite reinforced with SZF. Alex. Eng. J. 2020, 59, 3981–3989. [Google Scholar] [CrossRef]
- Cionita, T.; Siregar, J.P.; Shing, W.L.; Hee, C.W.; Fitriyana, D.F.; Jaafar, J.; Junid, R.; Irawan, A.P.; Hadi, A.E. The Influence of Filler Loading and Alkaline Treatment on the Mechanical Properties of Palm Kernel Cake Filler Reinforced Epoxy Composites. Polymers 2022, 14, 3063. [Google Scholar] [CrossRef] [PubMed]
- Kamaruddin, Z.H.; Jumaidin, R.; Ilyas, R.A.; Selamat, M.Z.; Alamjuri, R.H.; Yusof, F.A.M. Influence of alkali treatment on the mechanical, thermal, water absorption, and biodegradation properties of Cymbopogan citratus fiber-reinforced, thermoplastic cassava starch–palm wax composites. Polymers 2022, 14, 2769. [Google Scholar] [CrossRef]
- Amjad, A.; Abidin, M.S.Z.; Alshahrani, H.; Ab Rahman, A.A. Effect of Fibre Surface Treatment and Nanofiller Addition on the Mechanical Properties of Flax/PLA Fibre Reinforced Epoxy Hybrid Nanocomposite. Polymers 2021, 13, 3842. [Google Scholar] [CrossRef]
- Jamadi, A.H.; Razali, N.; Petrů, M.; Taha, M.M.; Muhammad, N.; Ilyas, R.A. Effect of Chemically Treated Kenaf Fibre on Mechanical and Thermal Properties of PLA Composites Prepared through Fused Deposition Modeling (FDM). Polymers 2021, 13, 3299. [Google Scholar] [CrossRef]
- Benaouda, S.N.; Chaker, H.; Abidallah, F.; Bachir, C.; Tawheed, H.; Weidler, P.G.; Bengueddach, A.; Canales-Vázquez, J.; Hamacha, R. Heterogeneous photocatalytic degradation of anionic dye on polyaniline/microcrystalline cellulose composite. J. Porous Mater. 2022, 30, 327–341. [Google Scholar] [CrossRef]
- Zhang, Y.-Y.; Sun, Z.; Li, Y.-Q.; Huang, P.; Chen, Q.; Fu, S.-Y. Tensile creep behavior of short-carbon-fiber reinforced polyetherimide composites. Compos. Part B Eng. 2021, 212, 108717. [Google Scholar] [CrossRef]
- Wang, B.-J.; Young, W.-B. The Natural Fiber Reinforced Thermoplastic Composite Made of Woven Bamboo Fiber and Polypropylene. Fibers Polym. 2021, 23, 155–163. [Google Scholar] [CrossRef]
- Serra-Parareda, F.; Vilaseca, F.; Aguado, R.; Espinach, F.X.; Tarrés, Q.; Delgado-Aguilar, M. Effective Young’s Modulus Estimation of Natural Fibers through Micromechanical Models: The Case of Henequen Fibers Reinforced-PP Composites. Polymers 2021, 13, 3947. [Google Scholar] [CrossRef] [PubMed]
- Muralidharan, D. Mechanical characteristics study of chemically modified kenaf fiber reinforced epoxy composites. Journal of Natural Fibers 2022, 19, 2457–2467. [Google Scholar]
- Yorseng, K.; Rangappa, S.M.; Parameswaranpillai, J.; Siengchin, S. Towards green composites: Bioepoxy composites reinforced with bamboo/basalt/carbon fabrics. J. Clean. Prod. 2022, 363. [Google Scholar] [CrossRef]
- Bachchan, A.A.; Das, P.P.; Chaudhary, V. Effect of moisture absorption on the properties of natural fiber reinforced polymer composites: A review. Mater. Today Proc. 2021, 49, 3403–3408. [Google Scholar] [CrossRef]
- Selvaraj, G.; Kaliyamoorthy, R.; Kirubakaran, R. Mechanical, thermogravimetric, and dynamic mechanical analysis of basalt and flax fibers intertwined vinyl ester polymer composites. Polym. Compos. 2022, 43, 2196–2207. [Google Scholar] [CrossRef]
- Almeida-Naranjo, C.E.; Valle, V.; Aguilar, A.; Cadena, F.; Kreiker, J.; Raggiotti, B. Water Absorption Behavior of Oil Palm Empty Fruit Bunch (OPEFB) and Oil Palm Kernel Shell (OPKS) as Fillers in Acrylic Thermoplastic Composites. Materials 2022, 15, 5015. [Google Scholar] [CrossRef]
- Calabrese, L.; Fiore, V.; Piperopoulos, E.; Badagliacco, D.; Palamara, D.; Valenza, A.; Proverbio, E. In situ monitoring of moisture uptake of flax fiber reinforced composites under humid/dry conditions. J. Appl. Polym. Sci. 2021, 139, 51969. [Google Scholar] [CrossRef]
- Sun, S.-F.; Yang, H.-Y.; Yang, J.; Shi, Z.-J. The effect of alkaline extraction of hemicellulose on cocksfoot grass enzymatic hydrolysis recalcitrance. Ind. Crop. Prod. 2022, 178, 114654. [Google Scholar] [CrossRef]
- De Lemos, A.L.; Mauss, C.J.; Santana, R.M.C. Characterization of natural fibers: wood, sugarcane and babassu for use in biocomposites. Cellulose Chemistry and Technology 2017, 51, 711–718. [Google Scholar]
- Dash, C.; Das, A.; Bisoyi, D.K. Influence of pretreatment on mechanical and dielectric properties of short sunn hemp fiber-reinforced polymer composite in correlation with fine structure of the fiber. J. Compos. Mater. 2020, 54, 3313–3327. [Google Scholar] [CrossRef]
- Zheng, Z.; Wu, Z.; Zhao, R.; Ni, Y.; Jing, X.; Gao, S. A review of EMG-, FMG-, and EIT-based biosensors and relevant human–machine interactivities and biomedical applications. Biosensors 2022, 12, 516. [Google Scholar] [CrossRef] [PubMed]
- Vijay, R.; Singaravelu, D.L.; Vinod, A.; Sanjay, M.; Siengchin, S. Characterization of Alkali-Treated and Untreated Natural Fibers from the Stem of Parthenium Hysterophorus. J. Nat. Fibers 2019, 18, 80–90. [Google Scholar] [CrossRef]
- Deeban, B.; Maniraj, J.; Ramesh, M. Experimental investigation of properties and aging behavior of pineapple and sisal leaf hybrid fiber-reinforced polymer composites. e-Polymers 2023, 23, 20228104. [Google Scholar] [CrossRef]
- Dinesh, S.; Kumaran, P.; Mohanamurugan, S.; Vijay, R.; Singaravelu, D.L.; Vinod, A.; Sanjay, M.R.; Siengchin, S.; Bhat, K.S. Influence of wood dust fillers on the mechanical, thermal, water absorption and biodegradation characteristics of jute fiber epoxy composites. J. Polym. Res. 2020, 27, 9. [Google Scholar] [CrossRef]
- Barrios-Muriel, J.; Romero-Sánchez, F.; Alonso-Sánchez, F.J.; Salgado, D.R. Advances in Orthotic and Prosthetic Manufacturing: A Technology Review. Materials 2020, 13, 295. [Google Scholar] [CrossRef]







| No. | Code | Description | Density fiber (g/cm3) | Density Composite (g/cm3) |
|---|---|---|---|---|
| 1 | ZFUT | Fiber Untreated - Composite | 1.27 | 1.34 |
| 2 | ZFT3 | Fiber treated 3 h - Composite | 1.31 | 1.38 |
| 3 | ZFT6 | Fiber treated 6 h - Composite | 1.33 | 1.45 |
| 4 | ZFT9 | Fiber treated 9 h - Composite | 1.34 | 1.47 |
| 5 | ZFT12 | Fiber treated 12 h - Composite | 1.36 | 1.46 |
| Treatment | Contact angle water (deg) |
Contact angle EG (deg) | Polarity mN/m | Dispersion mN/m | surface energy mN/m |
|---|---|---|---|---|---|
| ZFUT | 80 ± 2 | 81 ± 2 | 53 | 1,04 | 58 |
| ZFT3 | 65 ± 3 | 64 ± 2 | 68 | 1,20 | 69 |
| ZFT6 | 61 ± 3 | 58 ± 2 | 72 | 1,62 | 74 |
| ZFT9 | 55 ± 2 | 52 ± 3 | 76 | 1,75 | 78 |
| ZFT12 | 57 ± 3 | 54 ± 3 | 74 | 1,25 | 75 |
| Code | 30-200oC Final temp./ Wt loss (%) |
200–400oC Initial temp./Wt loss (%) | 400-600oC Initial temp./Wt loss (%) |
|---|---|---|---|
| ZFUT | 88.82/7.68 | 267.53/58.34 | 424.45/14.45 |
| ZFT3 | 92.81/6.78 | 269.34/54.78 | 419.23/12.45 |
| ZFT6 | 94.43/6.18 | 271.45/53.12 | 427.85/10.83 |
| ZFT9 | 95.84/5.88 | 273.43/50.36 | 418.34/9.39 |
| ZFT12 | 98.38/5.82 | 276.87/50.91 | 414.56/9.67 |
| Treatment | To (oC) | T2 (oC) | T3 (oC) | Residue |
|---|---|---|---|---|
| ZFUT | 55. 10 | 354.21 | 437.34 | 21.04 |
| ZFT3 | 58.67 | 364.91 | 464.08 | 25.23 |
| ZFT6 | 58.93 | 354.78 | 467.06 | 27.54 |
| ZFT9 | 60.43 | 359.98 | 478.34 | 29.82 |
| ZFT12 | 58.78 | 354.23 | 474.92 | 26.82 |
| Treatment | Tensile (Mpa) | Modulus elasticity Gpa | IFSS ( MPa) |
|---|---|---|---|
| ZFUT | 111.81 ± 17.87 | 93.56 ± 22.34 | 0.48 ± 0.21 |
| ZFT3 | 253.98 ± 29.65 | 148.18 ± 34.91 | 0.77 ± 0.31 |
| ZFT6 | 271.81 ± 39.91 | 176.68 ± 37.24 | 1.07 ± 0.39 |
| ZFT9 | 288.81 ± 42.92 | 201.34 ± 46.17 | 1.09 ± 0.41 |
| ZFT12 | 273.81 ± 40.93 | 186.34 ± 37.28 | 1.03 ± 0.28 |
Disclaimer/Publisher’s Note: The statements, opinions and data contained in all publications are solely those of the individual author(s) and contributor(s) and not of MDPI and/or the editor(s). MDPI and/or the editor(s) disclaim responsibility for any injury to people or property resulting from any ideas, methods, instructions or products referred to in the content. |
© 2023 by the authors. Licensee MDPI, Basel, Switzerland. This article is an open access article distributed under the terms and conditions of the Creative Commons Attribution (CC BY) license (http://creativecommons.org/licenses/by/4.0/).