Submitted:
21 August 2023
Posted:
22 August 2023
You are already at the latest version
Abstract
Keywords:
1. Introduction
2. Geological setting
3. Materials and methods
4. Results
4.1. Coal chemistry and vitrinite reflectance
4.2. Maceral compositions
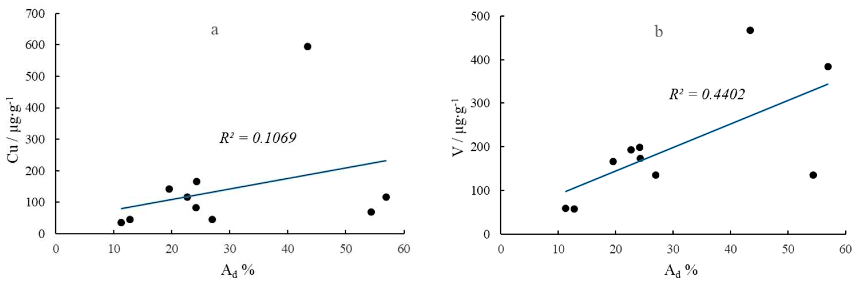
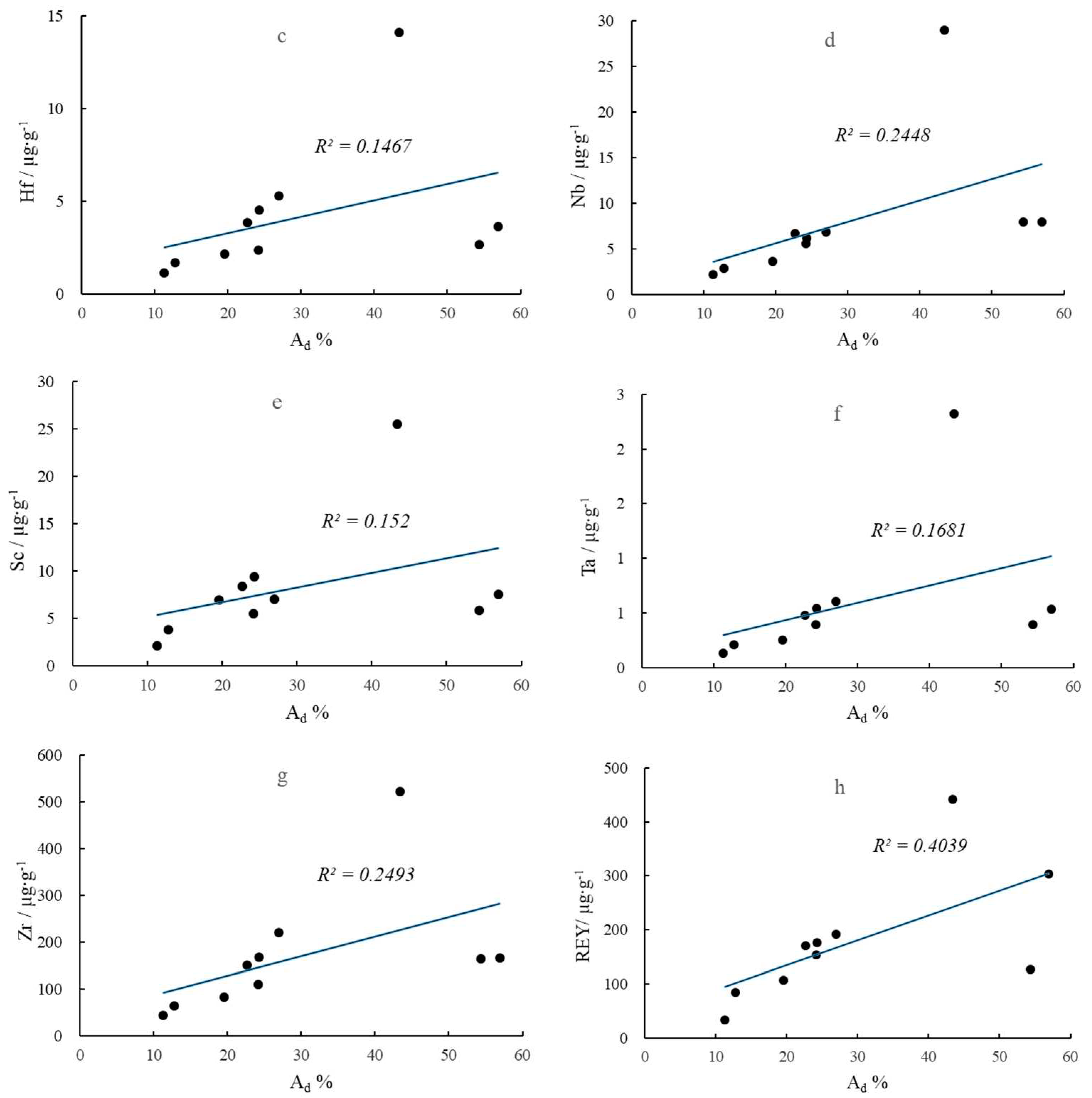
4.3. Trace elements in coal
4.4. The REY content in coal
5. Discussion
5.1. Provenance characteristics
5.2. The depositional environment
5.2.1. Coal facies interpretation
5.2.2. Trace element analysis
5.3. Influence of depositional environment on enrichment of trace elements
6. Conclusions
Author Contributions
Funding
Data Availability Statement
Conflicts of Interest
References
- Allegre C.J., Louvat P., Gaillardet J., Meynadier L., Rad S., Capmas F. The fundamental role of island arc weathering in the oceanic Sr isotope budget. Earth and Planetary Science Letters, 2010, 292 (1-2): 51-56. [CrossRef]
- Benton, M.J., Newell, A.J. Impacts of global warming on Permo-Triassic terrestrial ecosystems. Gondwana Res., 2014, 25 (4):1308-1337. [CrossRef]
- Bercovici A., Cui Y., Forel M.B., Yu J.X., Vajda V. Terrestrial paleoenvironment characterization across the Permian-Triassic boundary in South China. J. Asian Earth Sci., 2015, 98: 225-246. [CrossRef]
- Calder J. H., Gibling M.R., Mukhopadhyay P.K. Peat formation in a westphalian B piedmont setting, Cumberland Basin, Nova Scotia: implications for the maceral-based interpretation of rheotrophic and raised paleomires. Contribution series, 1991, 91-002: 283-296.
- Diessel C. F. K. The correlation between coal facies and depositional environments. Proc. Symposium on Advances in the study of the Sydney Basin: Newcastle. University of Newcastle, 1986: 19-22.
- Diessel C. Coal-bearing depositional systems. Thomson Press (India)Ltd., New Delhi, 1992, pp, 161-264.
- Dai S.F., Ren D.Y., Chou C.L., Finkelman R.B., Seredin V.V., Zhou Y.P. Geochemistry of trace elements in Chinese coals: A review of abundances, genetic types, impacts on human health, and industrial utilization. International Journal of Coal Geology, 2012, 94: 3-21. [CrossRef]
- Dai S.F., Luo Y.B., Seredin V.V., Ward C.R., Hower J.C., Zhao L., Liu S.D., Zhao C.L., Tian H.M., Zou J.H. Revisiting the late Permian coal from the Huayingshan, Sichuan, southwestern China: Enrichment and occurrence modes of minerals and trace elements. International Journal of Coal Geology, 2014, 122:110-128. [CrossRef]
- Dai S.F., Liu J.J., Ward C.R., Hower J.C., Xie P.P., Jiang Y.F., Hood M.M., O’keefe J.M.K., Song H.J. Petrological, geochemical, and mineralogical compositions of the low-Ge coals from the Shengli Coalfield, China: A comparative study with Ge-rich coals and a formation model for coal-hosted Ge ore deposit. Ore Geology Reviews, 2015, 71: 318-349. [CrossRef]
- Dai S.F., Ji D.P., Ward C.R., French D., Hower J.C., Yan X.Y., Wei Q. Mississippian anthracites in Guangxi Province, southern China: Petrological, mineralogical, and rare earth element evidence for high-temperature solutions. International Journal of Coal Geology, 2018, 197: 84-114. [CrossRef]
- Dai S.F., Bechtel A., Eble C.F., Flores R.M., French D., Graham I.T., Hood M.M., Hower J.C., Korasidis V.A., Moore T.A., Puttmann W., Wei Q., Zhao L., O’keefe J.M.K. Recognition of peat depositional environments in coal: a review. International Journal of Coal Geology, 2020, 219:103383. [CrossRef]
- Fu X.G., Wang J., Feng X.L., Chen W.B., Wang D., Song C.Y., Zeng S.Q. Mineralogical composition of and trace-element accumulation in lower Toarcian anoxic sediments: a case study from the Bilong Co. oil shale, eastern Tethys. Geological magazine, 2016, 153(4): 618-634. [CrossRef]
- Hatch J.R., Leventhal J.S. Relationship between inferred redox potential of the depositional environment and geochemistry of the Upper Pennsylvanian( Missourian) Stark Shale Member of the Dennis Limestone, Wabaunsee County, Kansas, USA. Chemical Geology, 1992, 99(1-3): 65-82. [CrossRef]
- He B., Xu .YG., Xiao L., Wang Y.M., Wang K.M., Sha S.L. Sedimentary Responses to Uplift of Emeishan Mantle Plume and its implications. Geological review, 2006, 52(1): 30-37. (in Chinese with English abstract).
- Jiu B., Huang W.H., Hao R.L. A method for judging depositional environment of coal reservoir based on coal facies parameters and rare earth element parameters. Journal of Petroleum Science and Engineering, 2021, 207, 109128. [CrossRef]
- Kalkreuth W.D., Marchioni D.L., Calder J.H., Lamberson M.N., Naylor R.D., Paul J. The relationship between coal petrography and depositional environments from selected coal basins in Canada. International Journal of Coal Geology, 1991, 19(1-4): 21-76. [CrossRef]
- Ketris M.P., Yudovich Y.E. Estimations of Clarkes for carbonaceous biolithes: world average for trace elements in black shales and coals. International Journal of Coal Geology, 2009, 78: 135-148. [CrossRef]
- Ling K.Y., Wen H.J., Zhang Z.W., Zhu X.Q., Tang H.S. Geochemical characteristics of dolomite weathering profiles and revelations to enrichment mechanism of trace elements in the Jiujialu Formation, central Guizhou Province. Acta petrologica sinica, 2019, 35(11): 3385-3397. [CrossRef]
- Liu Y., Wei Y., Liu G.J., Fu B., Chen B.Y., Zhang J.M., Gui L., Zhou H.H., Lu M.Y. Fine chemical speciation and environmental impact capacity of trace elements with different enrichment levels in coal. Science of the total environment, 2023, 856, 158928. [CrossRef]
- Lu J., Shao L..Y, Yang M.F., Zhou K., Wheeley J.R., Wang H., Hilton J. Depositional Model for Peat Swamp and Coal Facies Evolution Using Sedimentology, Coal Macerals, Geochemistry and Sequence Stratigraphy. Journal of Earth Science, 2017, 28(6): 1163-1177. [CrossRef]
- Moss P.T., Greenwood D.R., Archibald S.B. Regional and local vegetation community dynamics of the eocene okanagan highlands (British columbia-Washington state) from palynology. Canadian Journal of Earth Science, 2005, 42 (2), 187-204. [CrossRef]
- Oboirien B.O., Thulari V., North B.C. Enrichment of trace elements in bottom ash from coal oxy-combustion: Effect of coal types. Applied energy, 2016, 177: 81-86. [CrossRef]
- Qin G.H., Cao D.Y., Wei Y.C., Wang A.M., Liu J.C. Geochemical characteristics of the Permian coals in the Junger-Hebaopian mining district, northeastern Ordos Basin, China: Key role of paleopeatforming environments in Ga-Li-REY enrichment. Journal of Geochemical Exploration, 2020, 213, 106494.
- Qu Y. Palaeoenvironment of the Carboniferous-Permian carbonate rocks in Mandula-Xilinhot, Inner Mongolia. Doctoral Dissertation of Jilin University, 2019. (in Chinese with English abstract).
- Ren D.Y., Zhao F.H., Dai S.F., Zhang J.Y., Luo K.L. Geochemistry of Trace Elements in Coal. Science Press, Beijing, 2006, pp, 393-401. (in Chinese).
- Rimmer S.M., Thompson J.A., Goodnight S.A.,Robl T.L. Multiple controls on the preservation of organic matter in Devonian-Mississippian marine black shales: geochemical and petrographic evidence. Palaeogeography, Palaeoclimatology, Palaeoecology, 2004, 215 (1-2): 125-154. [CrossRef]
- Roser B.P., Korsch R.J. Determination of tectonic setting of sandstone-mudstone suites using SiO2 content and K2O/Na2O ratio. Journal of Geology, 1986, 94: 635-650. [CrossRef]
- Seredin, V.V., Dai S.F. Coal deposits as a potential alternative source for lanthanides and yttrium. Int. J. Coal Geol., 2012, 94, 67-93. [CrossRef]
- Shao L.Y., Gao C.X., Zhang C., Wang H., Guo L.J., Gao C.H. Sequence-Palaeogeography and coal accumulation of late Permian in Southwestern China. Acta Sedimentol. Sin., 2013, 31 (5), 856-866. (in Chinese with English abstract).
- Shao L.Y., Wang J., Hou H.H., Zhang M.Q., Spiro B., Large D., Zhou Y.P. Geochemistry of the C1 coal of latest Permian during mass extinction in Xuanwei, Yunnan. Acta Geol. Sin., 2015, 89:163-179 (in Chinese with English abstract).
- Shao L.Y., Wang X.T., Lu J., Wang D.D., Hou H.H. A Reappraisal on Development and Prospect of Coal Sedimentology in China. Acta Sedimentologica Sinica, 2017, 35(5): 1016-1031. (in Chinese with English abstract). [CrossRef]
- Shao L.Y., Hua F.H., Wang J., Ji X.K., Yan Z.M., Zhang T. C., Wang X.T., Ma S.M., Jones T., Lu H.N. Palynological dynamics in the late Permian and the Permian-Triassic transition in southwestern China. Palaeogeography, Palaeoclimatology, Palaeoecology, 2023, 111540. [CrossRef]
- Shen S.Z., Crowley J.L., Wang Y., Bowring S.A., Erwin D.H., Sadler P.M., Cao C.Q., Rothman D.H., Henderson C.M., Ramezani J., Zhang H., Shen Y.N., Wang X.D., Wang W., Mu L., Li W.Z., Tang Y.G., Liu X.L., Liu L.J., Zeng Y., Jiang Y.F., Jin Y.G. Calibrating the end-Permian mass extinction. Science, 2011, 334 (6061), 1367-1372. [CrossRef]
- Tang X.Y., Huang W.H. Trace elements of Chinese coal. The commercial Press, Beijing, 2004, pp, 3-41. (in Chinese).
- Thompson S., Morley R.J., Barnard P.C., Cooper B.S. Facies recognition of some Tertiary coals applied to prediction of oil source rock occurrence. Mar. Petrol. Geol., 1985, 2 (4): 288-297. [CrossRef]
- Wang G.Q., Sun B.L., Liu C., Wu J., Pan X.Y., Zeng F.G. Paleo-peat sedimentary environment and controlling on trace elements: example from the 11# coal seam in Donglutian Coalmine of Ningwu Coalfield. Journal of palaeogeography, 2022, 24(6): 1210-1223. (in Chinese with English abstract).
- Wang H., Shao L.Y., Hao L.M., Zhang P.F.,Glasspool I.J., Wheeley J.R., Wignall P.B., Yi T.S., Zhang M.Q., Hilton J. Sedimentology and sequence stratigraphy of the Lopingian (Late Permian) coalmeasures in southwestern China. International Journal of Coal Geology, 2011, 85:168-183. [CrossRef]
- Wang H., Shao L.Y., Newton R.J., Bottrell S.H., Wignall P.B., Large D. Records of terrestrial sulfur deposition from the latest Permian coals in SW China. Chemical Geology, 2012, 292-293:18-24. [CrossRef]
- Wang J., Shao L.Y., Yan Z.M., Wang X.T. The coal-forming environment during mass extinction in the latest Permian: Evidence from geochemistry of rare earth elements. Frontiers in Earth Science, 2023,18, 1057831. [CrossRef]
- Wang W.F., Qin Y., Song D.Y., Fu X.H. Geochemistry of rare earth elements in the middle and high sulfur coals from North Shanxi Province. Geochimica, 2002, 31(6): 564-570. (in Chinese with English abstract). [CrossRef]
- Wang Y., Cao J., Zhang B.L., Liao Z.W., Zhang B., Liu J.C., Shi C.H. Genesis of the wangpo bed in the sichuan basin: Formation by eruptions of the emeishan large igneous province. Palaeogeography, Palaeoclimatology, Palaeoecology, 2022, 594, 110935. [CrossRef]
- Williams M.L., Jones B.G., Carr P.F. Geochemical consequences of the Permian–Triassic mass extinction in a non-marine succession, Sydney Basin, Australia. Chemical Geology, 2012, 326-327: 174-188. [CrossRef]
- Wu Y.Y., Qin Y., Wang A.K., Shen J. Geochemical anomaly and the causes of transition metal accumulations in late Permian coal from the eastern Yunnan-western Guizhou region. International Journal of Mining Science and Technology, 2013, 23:105-111. [CrossRef]
- Xiong X.H., Xiao J.F. Geochemical Indicators of Sedimentary Environments-A Summary. Earth and Environment, 2011, 39(3): 405-414.
- Zhang H., Cao C.Q., Liu X.L., Mu L., Zheng Q.F., Liu F., Xiang L., Liu L.J., Shen S.Z. The terrestrial end-Permian mass extinction in South China. Palaeogeography, Palaeoclimatology, Palaeoecology, 2016, 448:108-124. [CrossRef]







| NO. | Mad | Ad | Vd | FCd | R°ran |
|---|---|---|---|---|---|
| C3-1 | 0.84 | 54.39 | 11.77 | 33.84 | 1.21 |
| C3-3 | 1.04 | 56.93 | 11.97 | 31.1 | 1.32 |
| C3-5 | 1.05 | 27.01 | 18.66 | 54.33 | 1.05 |
| C3-6 | 1.12 | 11.3 | 22.69 | 66.01 | 1.15 |
| C3-7 | 1.02 | 12.81 | 21.21 | 65.98 | 1.23 |
| C3-8 | 1.47 | 24.3 | 19.11 | 56.59 | 1.35 |
| C3-9 | 1.36 | 22.62 | 19.69 | 57.69 | 1.22 |
| C3-10 | 1.49 | 43.36 | 15.98 | 40.66 | 1.77 |
| C3-11 | 0.88 | 24.17 | 19.78 | 56.05 | 1.77 |
| C3-12 | 1.41 | 19.55 | 20.98 | 59.47 | 1.26 |
| Sample | C3-1 | C3-3 | C3-5 | C3-6 | C3-7 | C3-8 | C3-9 | C3-10 | C3-11 | C3-12 | av. | |
|---|---|---|---|---|---|---|---|---|---|---|---|---|
| Vitrinite | Telinite | 11.2 | 8.2 | 13.7 | 5.6 | 18.7 | 23.6 | 16.7 | 20.6 | 6.8 | 3.7 | 12.9 |
| Desmocollinite | 37.4 | 58.7 | 25.2 | 13.9 | 22.5 | 32.6 | 44.0 | 44.2 | 39.9 | 42.8 | 36.1 | |
| Telocollinite | 3.3 | 5.9 | 22.7 | 67.8 | 37.3 | 21.3 | 20.0 | 4.2 | 9.8 | 32.2 | 22.5 | |
| Vitrodetrinite | 20.7 | 12.8 | 18.1 | 6.7 | 12.6 | 8.9 | 6.0 | 10.9 | 11.9 | 9.3 | 11.8 | |
| Total | 72.6 | 85.6 | 79.7 | 94.0 | 91.1 | 86.4 | 86.7 | 79.9 | 68.4 | 88.0 | 83.2 | |
| Inertinite | Fusinite | 9.5 | 1.1 | 0.8 | 2.3 | 4.4 | 1.1 | 0.8 | 0.7 | 7.6 | 1.2 | 3.0 |
| Semifusinite | 2.3 | 0 | 0.2 | 0.2 | 0.7 | 0.6 | 0.2 | 0 | 1.8 | 0.7 | 0.7 | |
| Inertodetrinite | 0.9 | 0.8 | 0 | 0 | 0.3 | 0.2 | 0.4 | 0.2 | 0.2 | 0.7 | 0.4 | |
| Macrinite | 0 | 0 | 0 | 0 | 0 | 0 | 0 | 0.2 | 0 | 0.4 | 0.1 | |
| Sclerotinite | 0 | 0 | 0 | 0 | 0 | 0 | 0 | 0.2 | 0 | 0 | 0.0 | |
| Total | 12.7 | 1.9 | 1.0 | 2.5 | 5.4 | 1.9 | 1.4 | 1.3 | 9.6 | 3.0 | 4.1 | |
| Exinite | Cutinite | 0 | 0 | 0.2 | 0 | 0 | 0.7 | 0.6 | 0.4 | 0 | 0.4 | 0.2 |
| mineral matter | Clay minerals | 1.6 | 2.9 | 5.0 | 0.9 | 0.5 | 2.3 | 1.0 | 3.4 | 0.7 | 0.9 | 1.9 |
| Quartz | 11.1 | 7.1 | 13.1 | 0.2 | 1.2 | 7.2 | 8.4 | 4.2 | 20.3 | 7.0 | 8.0 | |
| Pyrite | 1.2 | 0.4 | 0 | 0.8 | 0.3 | 1.1 | 1.1 | 0.4 | 0.5 | 0.2 | 0.6 | |
| Calcite | 0.9 | 2.1 | 1.0 | 1.6 | 1.5 | 0.4 | 0.8 | 0.4 | 0.5 | 0.5 | 1.0 | |
| Total | 14.8 | 12.5 | 19.1 | 3.5 | 3.5 | 11.0 | 11.3 | 8.4 | 22.0 | 8.6 | 11.5 | |
| Coal facies | GI | 5.72 | 45.11 | 79.70 | 37.60 | 16.87 | 45.47 | 61.93 | 11.68 | 7.13 | 34.00 | —— |
| TPI | 0.69 | 0.26 | 1.48 | 2.78 | 2.68 | 1.42 | 0.85 | 0.63 | 0.65 | 0.86 | —— | |
| GWI | 0.43 | 0.22 | 0.38 | 0.09 | 0.17 | 0.14 | 0.09 | 0.19 | 0.22 | 0.13 | —— | |
| V/I | 0.45 | 0.21 | 0.86 | 3.68 | 1.73 | 1.10 | 0.74 | 0.52 | 0.50 | 0.71 | —— | |
| Sample | C3-1 | C3-3 | C3-5 | C3-6 | C3-7 | C3-8 | C3-9 | C3-10 | C3-11 | C3-12 | Av. | Chinaa | worldb | CC1 | CC2 |
|---|---|---|---|---|---|---|---|---|---|---|---|---|---|---|---|
| Ba | 65.8 | 90.7 | 57.3 | 26.4 | 29.1 | 38.4 | 41.1 | 173 | 46 | 26.70 | 59.45 | 159 | 150 | 0.37 | 0.40 |
| Be | 0.587 | 1.65 | 1.9 | 1.38 | 1.42 | 2.03 | 1.96 | 5.92 | 2.34 | 1.85 | 2.10 | 2.11 | 1.6 | 1.00 | 1.31 |
| Cd | 0.532 | 0.104 | 0.086 | 0 | 0.082 | 0.194 | 0.115 | 0.109 | 0.328 | 0.11 | 0.17 | 0.25 | 0.22 | 0.66 | 0.75 |
| Co | 22.7 | 16.3 | 18.2 | 22.6 | 22.3 | 24.7 | 26.8 | 19.8 | 35.4 | 28.40 | 23.72 | 7.08 | 5.1 | 3.35 | 4.65 |
| Cr | 33.9 | 31.9 | 17.7 | 15.1 | 16.1 | 22.4 | 25.2 | 73.1 | 25.7 | 21.30 | 28.24 | 15.4 | 16 | 1.83 | 1.77 |
| Cs | 0.513 | 2.3 | 0.401 | 0.043 | 0.108 | 0.302 | 0.255 | 1.46 | 0.196 | 0.15 | 0.57 | 1.13 | 1 | 0.51 | 0.57 |
| Cu | 69.3 | 116 | 44.5 | 34.4 | 45.7 | 166 | 117 | 594 | 83 | 143.00 | 141.29 | 17.5 | 16 | 8.07 | 8.83 |
| Ga | 5.72 | 11.1 | 9.13 | 3.62 | 4.31 | 9.58 | 7.27 | 20.4 | 5.63 | 5.87 | 8.26 | 6.55 | 5.8 | 1.26 | 1.42 |
| Hf | 2.65 | 3.64 | 5.27 | 1.14 | 1.7 | 4.52 | 3.84 | 14.1 | 2.37 | 2.14 | 4.14 | 3.71 | 1.2 | 1.12 | 3.45 |
| Li | 7.44 | 19.3 | 23.4 | 6.68 | 8.99 | 20.5 | 14.5 | 72.8 | 7.96 | 8.22 | 18.98 | 31.8 | 12 | 0.60 | 1.58 |
| Mo | 0.585 | 1.37 | 1.12 | 0.371 | 0.556 | 1.23 | 2.43 | 8.91 | 0.502 | 2.96 | 2.00 | 3.08 | 2.2 | 0.65 | 0.91 |
| Nb | 7.96 | 7.93 | 6.84 | 2.21 | 2.85 | 6.2 | 6.7 | 29 | 5.59 | 3.65 | 7.89 | 9.44 | 3.7 | 0.84 | 2.13 |
| Ni | 23.2 | 16.7 | 17.3 | 20 | 18.9 | 25.5 | 21.4 | 29.7 | 24.3 | 24.00 | 22.10 | 13.7 | 13 | 1.61 | 1.70 |
| Pb | 9.74 | 8.26 | 21.8 | 16.7 | 10.1 | 17.2 | 13.3 | 10.2 | 10.1 | 11.30 | 12.87 | 15.1 | 7.8 | 0.85 | 1.65 |
| Rb | 6.75 | 16.1 | 5.02 | 1.53 | 1.83 | 3.47 | 3.47 | 20.7 | 2.98 | 1.93 | 6.38 | 9.25 | 14 | 0.69 | 0.46 |
| Sb | 1.27 | 1.24 | 0.728 | 0.956 | 0.894 | 0.877 | 0.844 | 2.11 | 0.772 | 1.04 | 1.07 | 0.84 | 0.92 | 1.28 | 1.17 |
| Sc | 5.81 | 7.49 | 7.01 | 2.12 | 3.78 | 9.42 | 8.38 | 25.5 | 5.47 | 6.91 | 8.19 | 4.38 | 3.9 | 1.87 | 2.10 |
| Sr | 32.7 | 59.4 | 30.4 | 26.5 | 39.9 | 31.1 | 47 | 92 | 32.8 | 54.40 | 44.62 | 140 | 110 | 0.32 | 0.41 |
| Ta | 0.397 | 0.536 | 0.603 | 0.131 | 0.212 | 0.542 | 0.48 | 2.32 | 0.394 | 0.26 | 0.59 | 0.62 | 0.28 | 0.95 | 2.10 |
| Th | 2.01 | 7.93 | 7.93 | 1.11 | 1.9 | 6.64 | 4.68 | 16.8 | 2.59 | 2.32 | 5.39 | 5.84 | 3.3 | 0.92 | 1.63 |
| Tl | 0.04 | 0.071 | 0.027 | 0.05 | 0.005 | 0.027 | 0.029 | 0.106 | 0.023 | 0.04 | 0.04 | 0.47 | 0.63 | 0.09 | 0.07 |
| U | 0.993 | 3.37 | 2.41 | 0.491 | 0.715 | 1.86 | 1.77 | 4.45 | 1.05 | 1.08 | 1.82 | 2.43 | 2.4 | 0.75 | 0.76 |
| V | 135 | 384 | 135 | 59.4 | 57.1 | 173 | 193 | 467 | 199 | 166.00 | 196.85 | 35.1 | 25 | 5.61 | 7.87 |
| W | 4.79 | 2.89 | 0.801 | 0.798 | 1.07 | 0.543 | 2.49 | 1.48 | 3.05 | 1.41 | 1.93 | 1.08 | 1.1 | 1.79 | 1.76 |
| Zn | 109 | 43.7 | 52.7 | 51.6 | 56.8 | 68.3 | 56.8 | 72.1 | 91.3 | 61.70 | 66.40 | 41.4 | 23 | 1.60 | 2.89 |
| Zr | 164 | 166 | 220 | 44 | 64.6 | 167 | 150 | 521 | 110 | 82.50 | 168.91 | 89.5 | 36 | 1.89 | 4.69 |
| La | 22.80 | 52.60 | 27.40 | 4.48 | 12.10 | 31.10 | 29.80 | 85.5 | 25.50 | 16.90 | 30.82 | 22.5 | 11 | 1.37 | 2.80 |
| Ce | 50.00 | 99.10 | 55.40 | 7.22 | 27.60 | 58.10 | 55.00 | 146 | 48.30 | 31.70 | 57.84 | 46.7 | 23 | 1.24 | 2.51 |
| Pr | 5.93 | 12.80 | 6.65 | 0.84 | 3.54 | 7.39 | 7.59 | 19.1 | 6.28 | 4.23 | 7.44 | 6.42 | 3.5 | 1.16 | 2.12 |
| Nd | 22.90 | 47.70 | 25.20 | 3.50 | 15.20 | 31.10 | 31.20 | 78.3 | 26.80 | 18.20 | 30.01 | 22.3 | 12 | 1.35 | 2.50 |
| Sm | 4.16 | 9.16 | 4.82 | 0.85 | 3.16 | 6.18 | 5.81 | 14.3 | 4.74 | 4.00 | 5.72 | 4.07 | 2.0 | 1.40 | 2.86 |
| Eu | 0.84 | 1.74 | 1.05 | 0.20 | 0.69 | 1.34 | 1.56 | 3.39 | 1.38 | 1.03 | 1.32 | 0.84 | 0.47 | 1.57 | 2.81 |
| Gd | 3.23 | 8.63 | 5.42 | 0.95 | 2.62 | 4.92 | 5.20 | 11.1 | 4.58 | 3.82 | 5.05 | 4.65 | 2.7 | 1.09 | 1.87 |
| Tb | 0.51 | 1.64 | 1.07 | 0.20 | 0.44 | 0.87 | 0.90 | 2 | 0.83 | 0.69 | 0.92 | 0.62 | 0.32 | 1.48 | 2.86 |
| Dy | 2.52 | 8.47 | 6.50 | 1.43 | 2.36 | 4.80 | 4.65 | 11.5 | 4.35 | 3.85 | 5.04 | 3.74 | 2.1 | 1.35 | 2.40 |
| Y | 11.00 | 49.30 | 46.00 | 11.2 | 13.2 | 24.7 | 22.7 | 55.3 | 25.4 | 19.1 | 27.79 | 18.2 | 8.4 | 1.53 | 3.31 |
| Ho | 0.45 | 1.62 | 1.47 | 0.32 | 0.43 | 0.82 | 0.85 | 2.18 | 0.83 | 0.64 | 0.96 | 0.96 | 0.54 | 1.00 | 1.78 |
| Er | 1.22 | 4.69 | 4.40 | 0.99 | 1.25 | 2.48 | 2.22 | 5.94 | 2.26 | 1.56 | 2.70 | 1.79 | 0.93 | 1.51 | 2.90 |
| Tm | 0.21 | 0.82 | 0.72 | 0.16 | 0.21 | 0.38 | 0.28 | 0.92 | 0.37 | 0.26 | 0.43 | 0.64 | 0.31 | 0.68 | 1.40 |
| Yb | 1.44 | 4.98 | 4.62 | 0.91 | 1.29 | 2.47 | 2.03 | 5.85 | 1.97 | 1.47 | 2.70 | 2.08 | 1.0 | 1.30 | 2.70 |
| Lu | 0.22 | 0.80 | 0.74 | 0.13 | 0.18 | 0.33 | 0.36 | 0.92 | 0.36 | 0.25 | 0.43 | 0.38 | 0.20 | 1.13 | 2.15 |
| ∑REY | 127.43 | 304.05 | 191.46 | 33.38 | 84.26 | 176.98 | 170.15 | 442.30 | 153.95 | 107.70 | 179.17 | 135.89 | 68.47 | 1.32 | 2.62 |
Disclaimer/Publisher’s Note: The statements, opinions and data contained in all publications are solely those of the individual author(s) and contributor(s) and not of MDPI and/or the editor(s). MDPI and/or the editor(s) disclaim responsibility for any injury to people or property resulting from any ideas, methods, instructions or products referred to in the content. |
© 2023 by the authors. Licensee MDPI, Basel, Switzerland. This article is an open access article distributed under the terms and conditions of the Creative Commons Attribution (CC BY) license (http://creativecommons.org/licenses/by/4.0/).
