Submitted:
09 August 2023
Posted:
11 August 2023
You are already at the latest version
Abstract
Keywords:
1. Introduction
2. Materials and methods
2.1. Materials
2.2. Methods
3. Results and discussion
3.1. Calcination temperature
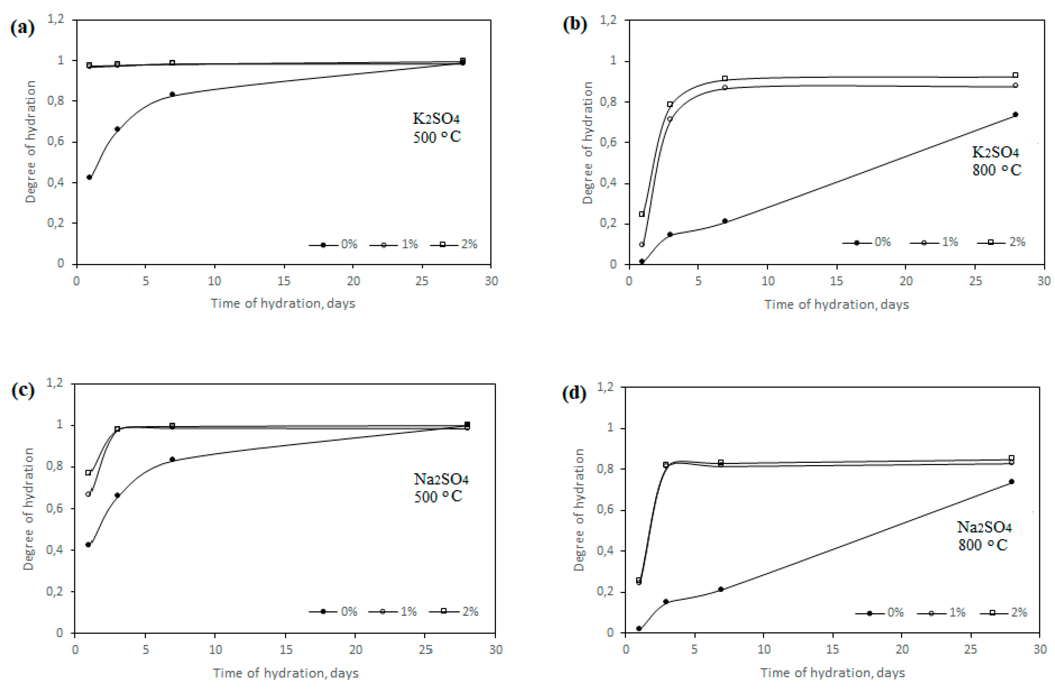
3.2. Activators and amount of activator
3.3. Full factorial design and Statistical methods
3.4. Model Verification
4. Conclusions
Author Contributions
Funding
Institutional Review Board Statement
Informed Consent Statement
Data Availability Statement
Conflicts of Interest
References
- Maiti, S., Jain, N., & Malik, J. A comprehensive review of flue gas desulphurized gypsum: Production, properties, and applications. Constr. Build Mater. 2023, 393, 131918. [CrossRef]
- Elvers, B., Hawkins, S., Schuz, G. Ullmann‘s Encyclopedia of Industrial Chemistry, VCH Weinheim 2001.
- EPA United States Environmental Protection agency. Acid rain program: Acid rain. Available online: https://www.epa.gov/airmarkets/acid-rain-program (accessed on 10 July 2023).
- Munawer, M. E. Human health and environmental impacts of coal combustion and post-combustion wastes. J. Sustain. Min. 2018, 17, 87–96. [Google Scholar] [CrossRef]
- Singh, A.; Agrawal, M. Acid rain and its ecological consequences. J. Environ. Biolog. 2008, 29, 15–24. [Google Scholar]
- Ramme-Tharaniyil. We Energies Coal Combustion Products Utilization Handbook, 3rd Edition, Wisconsin Electric Power Company, 2013.
- Jimenez-Rivero, A., Garcia-Navarro, J. Characterization of quality recycled gypsum and plasterboard with maximized recycled content. Materiales de Construccion, 2017, 328, 137. [CrossRef]
- Koukouza, N., Vasilatos, C. Mineralogical and chemical properties of FGD gypsum from Florina, Greece. J. Chem. Technol. Biotechnol. 2008, 83, 20–26. [CrossRef]
- Wang, J., Yang, P. Potential flue gas desulfurization gypsum utilization in agriculture: A comprehensive review. Renew. Sustain. Energy Rev. 2018, 82, 1969–1978. [CrossRef]
- Kaur, H.; Williard, K. W.; Schoonover, J. E.; Singh, G. Impact of Flue Gas Desulfurization Gypsum Applications to Corn-Soybean Plots on Surface Runoff Water Quality. Water, Air, & Soil Pollution. 2022, 233, 72. [Google Scholar]
- Zhong, S., Ni, K., Li, J. Properties of mortars made by uncalcined FGD gypsum-fly ash-ground granulated blast furnace slag composite binder. Waste Manag. 2012, 32, 1468–1472. [CrossRef]
- Zhang, C., Hu, Z., Cheng, G., Wu, C., Li, J., Jiang, W., ... & Wang, W. Collaborative recycling of red mud and FGD-gypsum into multi-shell cold bonded lightweight aggregates: Synergistic effect, structure design and application in sustainable concrete. Constr. Build. Mater. 2023, 379, 131134. [CrossRef]
- Cheng, P., Chen, D., Liu, H., Zou X., Zhang, Y., Xie, J., Qing, C., Chen, T. Enhanced adsorption capacity for phosphate in wastewater from thermally activated flue gas desulfurization gypsum. J. Chem. Technol. Biotechnol. 2018, 93, 1733–1741. [CrossRef]
- Hamid, A., Wilson, A. E., Torbert, H. A., & Wang, D. (2023). Sorptive removal of phosphorus by flue gas desulfurization gypsum in batch and column systems. Chemosphere. 2023, 320, 138062. [CrossRef]
- Papageorgiou, G.; Tzouvalas, S.; Tsimas, S. Use of inorganic setting retarders in cement industry. Cem. Concr. Comp. 2005, 27, 183–189. [Google Scholar] [CrossRef]
- Cailahua, M. C.; Moura, F. J. Technical feasibility for use of FGD gypsum as an additive setting time retarder for Portland cement. J. Mater. Res. Technol. 2018, 7, 190–197. [Google Scholar] [CrossRef]
- Xu, Z., Hu, D., An, R., Lin, L., Xiang, Y., Han, L., ... & Wu, J. Preparation of superfine and semi-hydrated flue gas desulfurization gypsum powder by a superheated steam powdered jet mill and its application to produce cement pastes. Case Studies in Constr. Mater. 2022, 17, e01549. [CrossRef]
- Xu, L.; Wu, K.; Li, N.; Zhou, X.; Wang, P. Utilization of flue gas desulfurization gypsum for producing calcium sulfoaluminate cement. J. Clean. Product. 2017, 161, 803–811. [Google Scholar] [CrossRef]
- Lei, D.-Y., Guo, L.-P., Sun, W., Lui, J.-P. Miao, C.-W. Study on properties of untreated FGD gypsum-based high-strength building materials. Constr.Build. Mater. 2017, 153, 765–773. [CrossRef]
- Pedreño-Rojas, M. A., De Brito, J., Flores-Colen, I., Pereira, M. F. C., & Rubio-de-Hita, P. Influence of gypsum wastes on the workability of plasters: Heating process and microstructural analysis. J. Build. Eng. 2020, 29, 101143. [CrossRef]
- Wu, C., He, J., Wang, K., Yang, L., & Wang, F. Enhance the mechanical and water resistance performance of flue gas desulfurization gypsum by quaternary phase. Constr. Build. Mater. 2023, 387, 131565. [CrossRef]
- Gou, M., Zhao, M., Zhou, L., Zhao, J., Hou, W., Ma, W., & Hou, Z. Hydration and mechanical properties of FGD gypsum-cement-mineral powder composites. J.Build. Eng. 2023, 69, 106288. [CrossRef]
- Miao, M., Feng, X., Wang, G., Cao, S., Shi, W., Shi, L. Direct transformation of FGD gypsum to calcium sulfate hemihydrate whiskers: Preparation, simulations, and process analysis. Particuology. 2015, 19, 53–59. [CrossRef]
- iu, C.; Zhao, Q.; Wang, Y.; Shi, P.; Jiang, M. Hydrothermal synthesis of calcium sulfate whisker from flue gas desulfurization gypsum. Chinese J. Chem. Eng. 2016, 24, 1552–1560. [Google Scholar] [CrossRef]
- Yang, L.C., Guan, B.H., Wu, Z.B. Characterization and precipitation mechanism of α-calcium sulfate hemihydrate growing out of FGD gypsum in salt solution. Science in China Series E: Technolgical Sciences. 2009, 52, 2688–2694.
- Kostic-Pulek, A.; Marinkovic, S.; Popov, S.; Djuricic, M.; Djinovic, J. The treatment of gypsum as a product of flue gas desulphurization process. Ceram.-Silik. 2005, 49, 115–119. [Google Scholar]
- Maiti, S.; Jain, N.; Malik, J.; Baliyan, A. Light Weight Plasters Containing Vermiculite and FGD Gypsum for Sustainable and Energy Efficient Building Construction Materials. J. Institut. Eng. (India): Series A, 2023; 1–12. [Google Scholar]
- Ludwig, U. Khan, N. Y., Hubner, G. High performance anhydrite and hemihydrate binders from flue gas desulphurization and chemical gypsum. 4th International Conference on FGD and Other Synthetic Gypsum, 1995, 19-1–19-23.
- Fridrichova, M., Kulisek, K., Novak, J., Dvarakova, V. Some aspects of FGD-gypsum utilization. 14. Internationale Baustofftagung, Ibausil, Weimar, 2000, 1-0241-0246.
- Carvalho, H. D. S., Rocha, J. C., & Cheriaf, M. Influence of bottom ash and red mud additions on self-leveling underlayment properties. Cerâmica. 2022, 68, 199–210.
- Leškevičienė, V.; Nizevičienė, D.; Kybartienė, N.; Valančius, Z. Investigation of anhydrite cement production from flue gas desulphurization gypsum with the addition of bottle glass or cupola dust. Cement Wapno Beton 2018, 1, 30–39. [Google Scholar]
- BSI British Standard, Methods of testing cement, Determination of fineness, BS EN 196-6:2005.
- BSI British Standard, Methods of testing cement, Determination of setting times and soundness BS EN 196-3:2005.
- BSI British Standard, Methods of testing cement, Determination of strength BS EN 196-1:2005.
- Montgomery, D. C. Design and analysis of experiments. 8th Edition, Hoboken, New Jersey, 2013.
- Guo, H. , Mettas, A. Design of Experiments and Data Analysis, 2012. [Google Scholar]
- Reliasoft Corporation, Experimental design & Analysis Reference, USA.
- Wackerly, D., Mendenhall, W., Scheaffer, R.L. Mathematical Statistics with Applications, 7th Edition, Thomson Brooks/Cole, 2008.
- Lewis, C. D. Industrial and business forecasting methods: A Radical guide to exponential smoothing and curve fitting. London, Boston, Butterworth Scientific, 1982.
- Elert, K., Bel-Anzué, P., & Burgos-Ruiz, M. (2023). Influence of calcination temperature on hydration behavior, strength, and weathering resistance of traditional gypsum plaster. Constr. Build. Mater. 2023, 367, 130361. [CrossRef]
- Seki, Y., Seyhan, S., Yurdakoc, M. Removal of boron from aqueous solution by adsorption on Al2O3 based materials using full factorial design. Journal of Hazardous Materials. 2006, B138, 60-66. [CrossRef]
- Leškevičienė, V.; Nizevičienė, D. Influence of the setting activators on the physical mechanical properties of phosphoanhydrite. Chem. Ind. and Chem. Eng. Quarterly. 2014, 20, 233–240. [Google Scholar] [CrossRef]








| Constituents, wt. % | |||||
|---|---|---|---|---|---|
| CaO | SO3 | Al2O3 | Fe2O3 | SiO2 | Ign. Loss |
| 33.50 | 46.0 | 0.31 | 0.15 | 1.25 | 20.14 |
| Hydration time, days | Compression strength, MPa | ||||
|---|---|---|---|---|---|
| Calcination temperature, oC | |||||
| 500 | 600 | 700 | 800 | 900 | |
| 3 days | 2.04 | 2.00 | 1.02 | 0.51 | - |
| 28 days | 4.10 | 8.68 | 10.40 | 21.27 | 26.5 |
| 28 days (dry samples) | 10.81 | 14.32 | 17.97 | 27.63 | 34.6 |
| Independent factor | Units | Coding | Range | |
|---|---|---|---|---|
| High level (+1) | Low level (-1) | |||
| Calcination temperature | oC | x1 | 800 | 500 |
| Hydration time | days | x2 | 28 | 3 |
| Amount of activator | % | x3 | 2 | 0 |
| Run | Independent factor | Compressive strength, MPa | ||||||
|---|---|---|---|---|---|---|---|---|
| Actual values | Coded values | |||||||
| Calcination temperature, oC |
Hydration time, days |
Amount of activator, % |
x1 |
x2 |
x3 |
Y1 using K2SO |
Y2 using Na2SO4 |
|
| 1 | 800 | 28 | 2 | 1 | 1 | 1 | 32.92 | 31.60 |
| 2 | 500 | 28 | 2 | -1 | 1 | 1 | 17.60 | 16.83 |
| 3 | 800 | 3 | 2 | 1 | -1 | 1 | 4.55 | 3.48 |
| 4 | 500 | 3 | 2 | -1 | -1 | 1 | 10.05 | 9.27 |
| 5 | 800 | 28 | 0 | 1 | 1 | -1 | 21.27 | 21.27 |
| 6 | 500 | 28 | 0 | -1 | 1 | -1 | 4.10 | 4.10 |
| 7 | 800 | 3 | 0 | 1 | -1 | -1 | 0.51 | 0.21 |
| 8 | 500 | 3 | 0 | -1 | -1 | -1 | 2.20 | 2.20 |
Disclaimer/Publisher’s Note: The statements, opinions and data contained in all publications are solely those of the individual author(s) and contributor(s) and not of MDPI and/or the editor(s). MDPI and/or the editor(s) disclaim responsibility for any injury to people or property resulting from any ideas, methods, instructions or products referred to in the content. |
© 2023 by the authors. Licensee MDPI, Basel, Switzerland. This article is an open access article distributed under the terms and conditions of the Creative Commons Attribution (CC BY) license (http://creativecommons.org/licenses/by/4.0/).
