Submitted:
07 August 2023
Posted:
08 August 2023
You are already at the latest version
Abstract
Keywords:
1. Introduction
2. Preliminaries and Problem Formulation
2.1. Problem Formulation
3. Methods Applied in the Solution
- the Equivalent Subsystem Method (ESM), which provides a framework for the independent design of local controllers constituting the decentralized controller to guarantee closed-loop stability of the overall system; and
- the Quantitative Feedback Theory (QFT), to design a minimum structure local compensators guaranteeing robust stability of uncertain SISO systems with parametric uncertainty as well as fulfillment of properly specified performance requirements.
3.1. The Equivalent Subsystems Method
- The Neymark D-partition method [22,23] is suitable if performance requirements for the overall system are specified in terms of its degree-of-stability; the same degrees-of-stability must be achieved in equivalent subsystems. Using this SISO design, robust stability conditions cannot be directly incorporated in the design of local controllers, they can only be checked additionally which makes the robust controller design iterative.
- Standard Bode diagram design [10,17] or the Nyquist diagram design [16]. Performance requirements for the overall system specified in terms of maximum overshoot and settling time and have to be translated into respective frequency performance measures (stability margins) to be achieved in individual equivalent subsystems. Robust stability conditions for systems with unstructured uncertainty can be easily incorporated into local designs [1,10].
- Nichols diagram-based SISO design known as a well-elaborated QFT design technique is the next option allowing to consider uncertain systems with parametric uncertainty.
3.2. QFT Design
- Plant modelling which includes specification of the interval model and appropriate frequency range.
-
Definition of a discrete number of plants, choice of the nominal model.By gridding each uncertain parameter of the interval model between its minimum and maximum values, another set of uncertain plant realizations is generated from all combinations of uncertain parameters values. The task is simplified if the uncertain parameters are interrelated with each other. Any model from the generated plant realizations can be selected as the nominal one; the final QFT controller will be the same no matter what nominal plant is chosen [19].
-
Calculation of QFT templates.QFT templates are projection of the transfer function onto the Nichols diagram considering each parameter within the uncertainty and at each frequency of interest.
-
Stability specifications.Instead of using classical gain and phase stability margins, circles are used as a more general stability measure representing the loci of constant closed-loop magnitudes in the Nichols diagram.
-
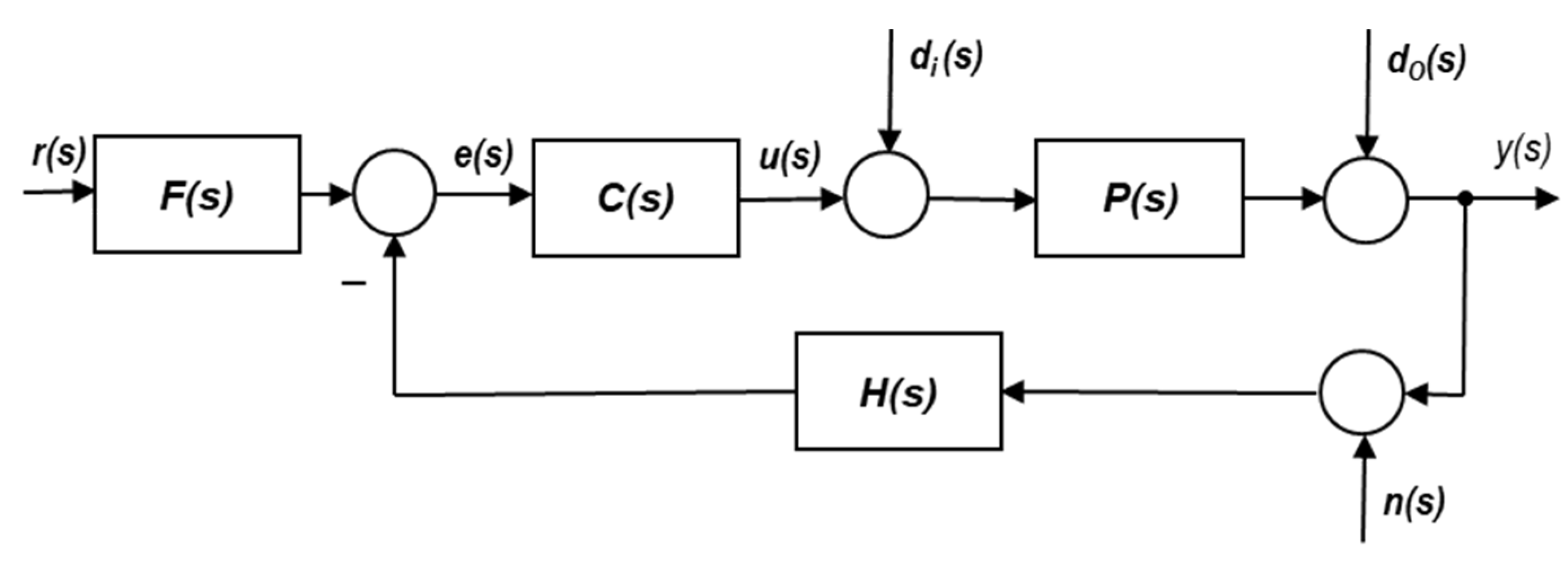
Performance specifications.Stability and performance requirements are specified in terms of frequency-domain inequalities based on transfer functions between the inputs and outputs of a classical two-degree of freedom closed-loop in Figure 2.
- 6.
-
Calculation of QFT bounds.Every plant in the template as well as the compensator can be expressed in their respective polar form:QFT bounds are calculated from the control specifications and considering model uncertainty. By substituting the polar forms (26) into individual selected performance specification types, they can be rearranged into quadratic inequalities in the form:where the coefficients are functions of and .Using an appropriate algorithm [19], the quadratic inequalities (27) are solved and translated into a set of curves in the Nichols diagram for each frequency and specification type. Thus, at each frequency and for each specification there is a bound which can be dashed or solid, depending on whether the area satisfying the bound is above or below the line.
- 7.
-
Calculation of intersection of the QFT bounds and checking for their compatibility.If more than one performance specification is considered, it is necessary to find the intersection of all bounds at each frequency.
- 8.
-
Controller design by loop shaping in the Nichols diagram.After plotting the bounds in the Nichols diagram, it is sufficient to deal just with a single (nominal plant) to find a controller that meets the bounds. Hence, QFT provides elegant and practical solution by integrating information associated with the model uncertainty and all control specifications in a set of simple curves. The loop shaping design is carried out by adding poles and zeros until the nominal loop lies near its bounds (optimally on the top of the bounds at each frequency).The QFT compensator has a general form:where denotes the zeros, the poles, is the natural frequency, is the relative damping and is the gain.
- 9.
-
Prefilter design.A prefilter is used to solve the reference tracking problem.
- 10.
-
Analysis and validation.This step includes:
- -
- frequency domain analysis of each specification for all the significant plants within the model uncertainty,
- -
- time domain simulation for linear and nonlinear system.
4. Robust Decentralized QFT Controller Design Based on the Equivalent Subsystems Method (“ESM – QFT” method)
- I.
-
Modelling the uncertain MIMO systemThe uncertain MIMO system consisting of interconnected subsystems can be given either as
- a set of transfer matrices (4), or
- a single transfer matrix with entries having interrelated uncertain parameters.
- II.
- Generation of uncertain equivalent subsystems
- III.
- Calculation of QFT templates of equivalent subsystems
- IV.
- Independent design of SISO local controllers for uncertain equivalent subsystems
- -
- stability specification,
- -
- performance specification,
- -
- calculation of QFT bounds, of their intersection and compatibility checking,
- -
- controller design by loop shaping of the nominal equivalent subsystem in the Nichols diagram.
- V.
- Analysis in the frequency and time domains
5. Case Study
5.1. Description of the Controlled Plant
5.2. Control Problem Statement
5.3. Robust Decentralized Controller Design
- I.
-
Modelling the uncertain MIMO systemThe linearized model of the uncertain plant based on parameter values in Table 1 is:When considering the minimum phase plant configuration, the two uncertain parameters are interrelated according to (33). The set of realizations of the uncertain plant was generated by gridding and considering all their combinations that meet (33). The number of all feasible combinations is . The corresponding combinations specifying the considered uncertainty region are depicted in Figure 4. The nominal model was selected as (37) evaluated in
- II.
- Generation of uncertain equivalent subsystems
- III.
- Calculation of QFT templates of equivalent subsystems
- IV.
- Independent design of SISO local controllers for uncertain equivalent subsystems
- Stability specification (determines 20% maximum overshoot of output responses):
- Performance specification (sensitivity constraint), determines bandwidth which is a measure of speed of response like time domain measures such as rise time or peak time [30]:
- V.
- Analysis in the frequency and time domains
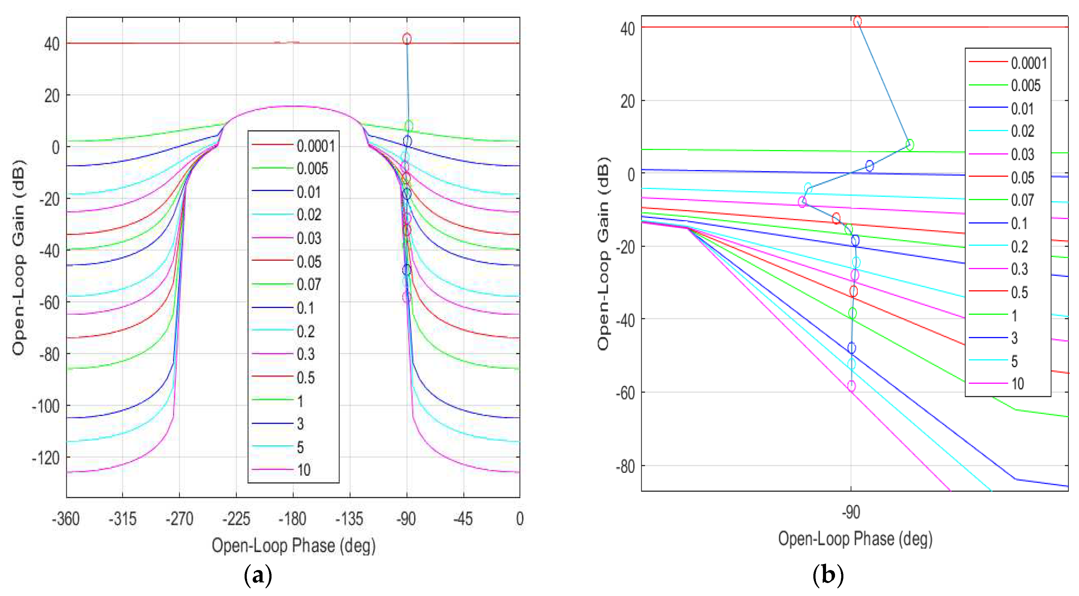
- verification of the fulfillment of performance requirements in equivalent subsystems by plotting Nichols plots of open-loop equivalent subsystems for r=1, …,10 to (Figure 12);
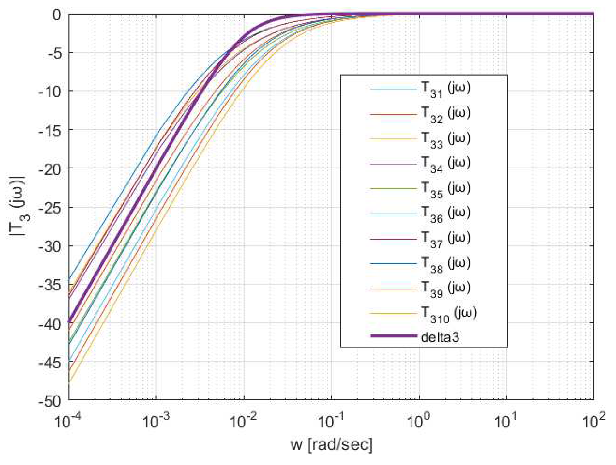
- investigation of the fulfillment of performance requirements on the level of the overall closed-loop system by plotting the sensitivity module of the overall system under the decentralized controller (Figure 13);
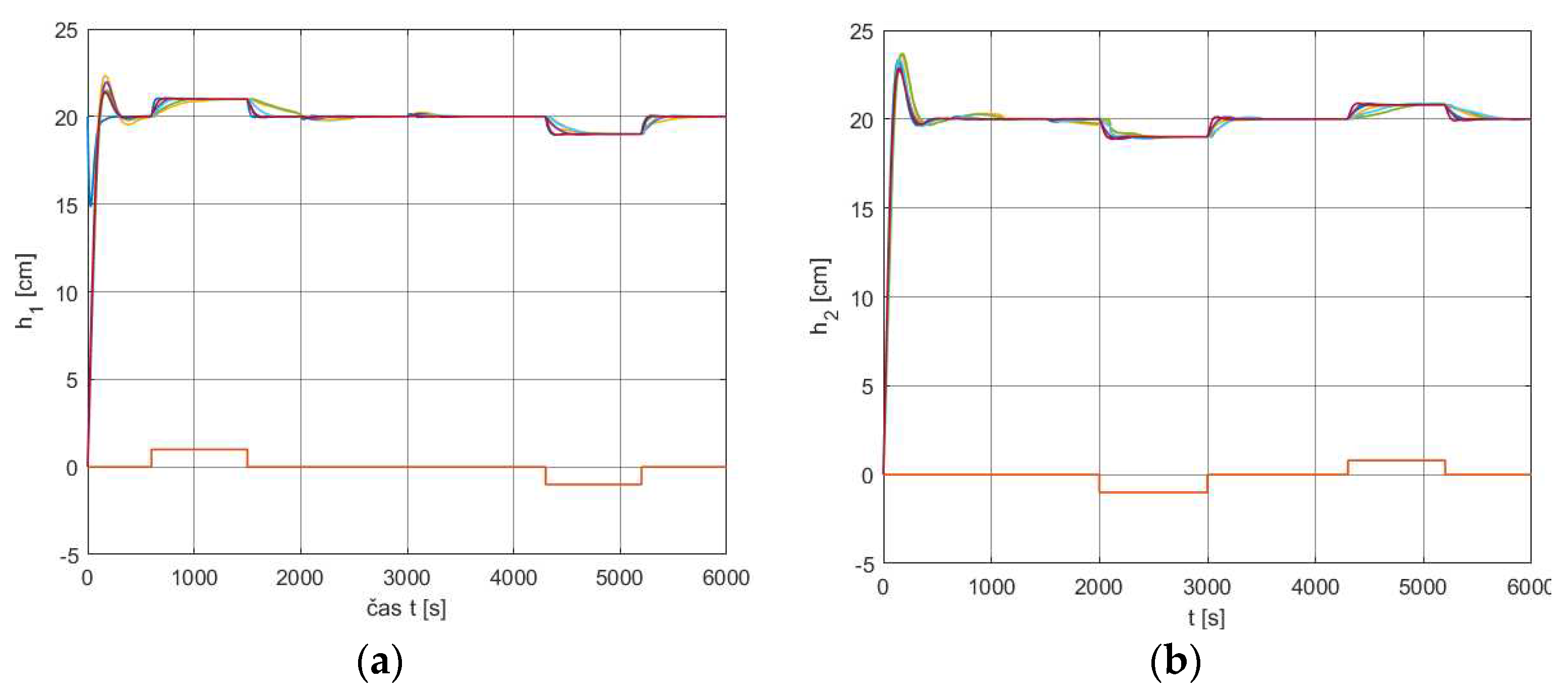
- closed-loop stability verification using the generalized Nyquist stability criterion (2) (Figure 14).
6. Discussion
Author Contributions
Data Availability Statement
Acknowledgments
Conflicts of Interest
References
- Kozáková, A.; Veselý, V.; Kučera, V. Robust decentralized controller design based on equivalent subsystems. Automatica 2019, 107, 29–35. [Google Scholar] [CrossRef]
- Johansson, K. H. , The quadruple-tank process: a multivariable laboratory process with an adjustable zero. IEEE Trans. on Control Systems Technology 2000, 8, 456–465. [Google Scholar] [CrossRef]
- Bakule, L. , Decentralized control: an overview. Annual Reviews in Control 2008, 32, 87–98. [Google Scholar] [CrossRef]
- An overview of distributed control systems (DCS). Available online: https://www.plantautomation-technology.com/articles/an-overview-of-distributed-control-systems-dcs (accessed on 16 February 2023).
- Park, K.J.; et al. Cyber-physical systems: Milestones and research challenges. Computer Communications 2012, 36, 1–7. [Google Scholar] [CrossRef]
- Doyle, J.C.; Stein, G. Multivariable feedback design: concepts for a classical/modern synthesis. IEEE Trans. AC-26 1981, 1, 4–16. [Google Scholar] [CrossRef]
- Skogestad, S.; Postlethwaite, I. Multivariable feedback control: analysis and design, 2nd repr. ed.; John Wiley: Chichester, UK, 2008. [Google Scholar]
- Skogestad, S.; Morari, M. Robust performance of decentralized control systems by independent designs. Automatica, 1989, 25, 119–125. [Google Scholar] [CrossRef]
- Hovd, M.; Skogestad, S. Sequential design of decentralized controllers, Automatica 1994, 30, 1601–1607. Automatica 1994, 30, 1601–1607. [Google Scholar] [CrossRef]
- Rosinová, D.; Kozáková, A. Robust Decentralized PID Controller Design. In Introduction to PID Controllers –Theory, Tunning and Application to Frontier Areas; InTech: Rijeka, 2012. [Google Scholar]
- Tan, W. , Fang, F., Tian, L., Fu, C. and Liu, J. Linear control of a boiler turbine unit: Analysis and design. ISA Trans 2008, 44, 189–197. [Google Scholar]
- Vásquez, F; Morilla, F. Tuning decentralized PID controllers for MIMO systems with decouplers. IFAC Proceedings Volumes 2002, 35, 349–354. [Google Scholar] [CrossRef]
- Govind K.R., A.; Mahapatra, S. Frequency domain specifications based robust decentralized PI/PID control algorithm for benchmark variable-area coupled tank systems. Sensors 2022, 22, 9165. [Google Scholar] [CrossRef] [PubMed]
- Romero Pérez, J. A.; Balaguer Herrero, P. Extending the AMIGO PID tuning method to MIMO systems. IFAC Proceedings Volumes 2012, 45, 211–216. [Google Scholar] [CrossRef]
- Balaguer, P.; Romero, J. A. Model order reduction for decentralized PID control design on TITO processes, IFAC Proceedings Volumes 2012, 45, 205–210. IFAC Proceedings Volumes 2012, 45, 105–210. [Google Scholar]
- Kozáková, A.; Bucz, Š. Multiloop control of a drum boiler. Journal of Electrical Systems and Information Technology 2014, 1, 26–35. [Google Scholar] [CrossRef]
- Kozáková, A.; Čápková, R.; Puleva, T. Robust controller design for a boiler-turbine unit. 2022 Cybernetics & Informatics (K&I), Visegrád, Hungary, 11–14 Sept. 2022; pp. 1–6. [Google Scholar] [CrossRef]
- Balko, P.; Rosinova, D. Nonlinear boiler-turbine unit: modelling and robust decentralized control. IFAC-PapersOnLine 2016, 49, 49–54. [Google Scholar] [CrossRef]
- Garcia-Sanz, M. Robust Control Engineering: Practical QFT Solutions, 1st ed.; CRC Press, Taylor & Francis Group: Boca Raton, USA, 2017. [Google Scholar]
- Bhattacharyya S., P. Robust Control under parametric uncertainty: An overview and recent results. Annual Reviews in Control 2017, 44, 45–77. [Google Scholar] [CrossRef]
- Yeung, L.F. , Bryant, G.F. New dominance concepts for multivariable control system design. Int. Journal of control 1992, 55, 969–988. [Google Scholar] [CrossRef]
- Kozáková, A.; Vesely, V. Independent design of decentralized controllers in the frequency domain. Periodica Polytechnica Electrical Engineering 2007, 51, 33–41. [Google Scholar] [CrossRef]
- Kozáková, A.; Vesely, V.; Osusky, J. A new Nyquist-based technique for tuning robust decentralized controllers. Kybernetika 2009, 45, 63–83. [Google Scholar]
- Rosinová, D.; Kozáková, A. Robust decentralized PID controller design. In Introduction to PID controllers - theory, tuning and application to frontier areas, Panda, R.C., Ed.; InTech: Rijeka, Croatia, 2012. [Google Scholar] [CrossRef]
- Horowitz, I. Synthesis of Feedback Systems; Academic Press: New York, 1963. [Google Scholar]
- Rasmussen, S. J.; Houpis C., H. Development implementation and flight of a MIMO digital flight control system for an unmanned research vehicle using quantitative feedback theory. In Proceedings of the ASME Dynamic Systems and Control, Winter Annual Meeting of ASME, Chicago, USA, 6–11 Nov. 1994. [Google Scholar]
- Yaniv, O.; Chait, Y.; Borghesani, C. The QFT Control Design Toolbox for MATLAB. IFAC Proceedings Volumes 1997, 30, 103–108. [Google Scholar] [CrossRef]
- Borghesani, C.; Chait, Y.; Yaniv, O. QFT Frequency Domain Control Design Toolbox, 2003. Available online: https://www.terasoft.com (accessed on 21 November 2020).
- Borghesani, C.; Chait, Y.; Yaniv, O. The QFT Frequency Domain Control Design Toolbox for Use with MATLAB. In User's Guide; The MathWorks, Inc.: Massachusetts, USA, 2003. [Google Scholar]
- Franklin, G.F.; Powell, J.D.; Emami-Naeini, A. Feedback Control of Dynamic Systems, 6th ed.; Pearson Higher Education, Inc.: Upper Saddle River, NJ 07458, USA, 2010. [Google Scholar]
















| Para-meter | |||||||||||
|---|---|---|---|---|---|---|---|---|---|---|---|
| Value | 30 | 35 | 0.0977 | 0.079 | 20 | 2.75 | 2.22 | 1 | 1.79 | 1.827 | 981 |
| 1 | 2 | 3 | 4 | 5 | 6 | 7 | 8 | 9 | 10 | |
|---|---|---|---|---|---|---|---|---|---|---|
| 0.3 | 0.5 | 0.5 | 0.7 | 0.7 | 0.7 | 0.9 | 0.9 | 0.9 | 0.9 | |
| 0.9 | 0.9 | 0.7 | 0.5 | 0.7 | 0.9 | 0.3 | 0.5 | 0.7 | 0.9 |
Disclaimer/Publisher’s Note: The statements, opinions and data contained in all publications are solely those of the individual author(s) and contributor(s) and not of MDPI and/or the editor(s). MDPI and/or the editor(s) disclaim responsibility for any injury to people or property resulting from any ideas, methods, instructions or products referred to in the content. |
© 2023 by the authors. Licensee MDPI, Basel, Switzerland. This article is an open access article distributed under the terms and conditions of the Creative Commons Attribution (CC BY) license (http://creativecommons.org/licenses/by/4.0/).