Preprint
Article

This version is not peer-reviewed.

Research on Autonomous and Collaborative Deployment of Massive Mobile Base Stations in High-Rise Building Fire Field

A peer-reviewed article of this preprint also exists.

Submitted:

26 July 2023

Posted:

28 July 2023

You are already at the latest version

Abstract
High-rise building fires pose a serious threat to the lives and property safety of the people. The lack of reliable and accurate positioning means is one of the main difficulties faced by rescue. In the absence of prior knowledge of the high-rise building fire environment, the coverage deployment of mobile base stations is a challenging problem that has not received much attention in the literature. This paper studies the problem of autonomous optimal deployment of base stations in high-rise building fire environment based on UAV group. A novel problem formulation is proposed that solves the non line of sight (NLOS) positioning problem in complex unknown environment. The purpose of this paper is to realize the coverage and deployment of mobile base stations in complex and unknown fire environment. The NLOS positioning problem in the fire field environment is turned into the line of sight (LOS) positioning problem through the optimization algorithm. And there are more than three LOS base stations nearby any point in the fire field. A control law which is formulated in a mathematically precise problem statement is developed that guarantees to meet mobile base stations deployment goal and to avoid collision. Finally, positioning accuracy of our method and that of common method were compared. The simulation result showed that the positioning accuracy of simulated firefighter in the fire field environment was improved greatly.
Keywords: 
;  ;  ;  ;  

1. Introduction

Due to the high land price, limited land resources and the rapidly growing economy's demand for landmark buildings, high-rise and super high-rise buildings have become one of the effective means to address the space demand of urbanization and economic growth [1,2,3]. China has occupied 5 of the world's top 10 skyscrapers [4]. Statistics show that the number of high-rise and super high-rise buildings in China has been in the forefront of the world for eight consecutive years [5,6,7]. Although super high-rise buildings bring people enjoyment in life and greatly save space, they also bring people many problems. Fire is one of the most serious problems. According to statistics, urban high-rise building fire accidents can account for more than 90% of all fire accidents [8,9], and it is difficult to rescue and safely evacuate, which has brought huge losses to the national economy and people's lives and property.
The biggest problem in high-rise building fire rescue and evacuation of people in distress is positioning. Because the GPS positioning system cannot be used in the indoor environment and the positioning base station cannot be deployed in advance, the positioning system in high-rise building fire rescue has to face the impact of non line of sight environment, which greatly affects the positioning accuracy and real-time. Firefighters and people in distress cannot obtain their exact positions in real time, which leads to very low efficiency of rescue and evacuation. Therefore, the UWB positioning system is the best choice in this case. The accuracy of UWB base station coordinates affects the positioning accuracy of firefighters directly. So obtaining the accurate position of the UWB base stations is very significant to the firefighter’s safety. But the traditional methods is very difficult to get the accurate position of the base station in the environment with unknown obstacles [10]. It can not meet the needs for rapid deployment of UWB base stations.
Non line of sight (NLOS) positioning has always been a bottleneck problem to improve positioning accuracy in complex environments [11]. Obstacle obstruction will cause multipath effects, signal hysteresis and other negative effects [12,13]. Up to now, there is no ideal solution has been found [14,15]. Aiming at this bottleneck problem, a method of autonomous deployment of positioning base stations based on swarm intelligence is proposed. The cooperation among UAVs is used to achieve autonomous coverage and deployment of the fire field, and the non line of sight environment is converted into the line of sight environment, so as to achieve accurate positioning of targets in the fire field environment.
Given a known environment without obstacles, the algorithms for base stations deployment are well-studied [16,17,18]. The main practical motivation and application of base stations deployment in an ideal environment is to construct a communication network in air to provide wireless signal coverage for the fire field [19,20]. But, there has been very little work in literature on how multi-UAV system solve the positioning problem of NLOS in unknown complex and GPS denied environment with swarm UAVs. Existing works in the literature require robots equipped with sensors that are able to localize themselves precisely. Literature [21,22] focuses on using object-level features with both semantic and geometric information to model landmarks in the environment and does not need a prior constructed precise geometric map, which greatly releases the storage burden, especially for large-scale navigation. The algorithm is effective but the deployment needs accurate positioning information of UAVs that can not meet the requirement of high-rise building fire rescue. To the best of our knowledge, this is the most feasible approach for solving precise positioning problem of high-rise building fire rescue using GPS-denied swarm UAVs.
This paper considers the approach for transforming NLOS positioning problem into LOS positioning problem in 2D unknown complex environment with swarm UAVs and a host computer. There are two fundamental problems of mobile base stations deployment for coverage with communication constraints. The first problem is how to control movement and behavior of multi-agent to realize a desired configuration. The second one is how to optimize the deployment in order to enhance the efficiency of the multi-agent system. UAV lands and keeps static as a base station when UAV gets the right position. Every UAV is equipped UWB positioning device to get the distance to adjacent UAVs and zigbee equipment to send its own relative position information with other adjacent base station and host computer.
The rest of this paper is organized as follows: In Section 2, we formulate the problem and then define the sensing area of UAV and the function of the sensing ability. Optimization method for autonomous cooperative coverage deployment of base stations was presented in section 3. The control law of multi-UAVs are given to make the coverage deployment operation feasible in complex environments in the presence of unknown obstacles and make it sure to turn Non-line-of-sight environment into line-of-sight environment. Section 4 demonstrates the effectiveness and feasibility of the proposed approach via computer simulations. Section 5 summarizes the paper and draws some conclusions.

2. PROBLEM FORMULATION

The To achieve precise target positioning in the fire field, there are two main problems to be solved in the optimization algorithm of autonomous deployment of base stations in complex unknown environment.
1. How to realize the coverage deployment of mobile base stations in the fire field, and ensure that the target at any point in the area will be surrounded at least 3 base stations nearby that can locate the target with LOS;
2. How to avoid collision when a large scale multi-UAV system moves in a complex and unknown environment.
This becomes more difficult with the absence of GPS for navigation and positions. Without the global information, agents can only get local localization by limited information exchange and estimate their own position or neighbor’s relative position based on the relative distance they measured. In the process of solving the first problem, we set the different coverage value for the fire field according to the duration of the different area being detected and guide the UAV to move to the area where not effectively detected (the coverage value of the area is less than effective coverage value). In the process of solving the second problem, traditional artificial potential field method was abandoned. Because the acceleration of UAVs is limited, they need time and space to brake and avoid collisions. Therefore, the alignment interaction range was determined based on the expected optimal relation between velocity difference and distance. Consequently, The movement state of each UAV itself can be adjusted in real time to effectively avoid collisions according to the relative distance and relative speed with the surrounding objects. In this paper, a UAV is denoted by A. Let S be a region that is required to cover. Let N be the number of UAVs and let p i and v i denote the position and the velocity of UAV A i respectively, i I = { 1 , 2 , 3 , , N } . Each UAV A i , i I , satisfies the following such kinematic equations of motion:
p ˙ i = v i , i I
Define the instantaneous coverage function D i as a continuous map that describes how effective a UAV A i senses a point p S . In this paper, we consider sensors with the following properties.
(1) The communication of multi-UAV system is fully connected.
(2) The detection probability of the on-board sensor is 100%, that is, the detection probability of the sensor detection equipment has no effect on the results.
(3) Each UAV has a limited sensory domain D i ( t ) with a sensory range R i . The sensory domain of each UAV is given by
D i ( t ) = { p S : | | p i ( t ) p | | R i }
Let the union of all coverage regions be denoted by D ( t ) = i S D i ( t ) .
(4) Without loss of generality, we consider the vision-based sensor for aerial detection may be modeled by following mathematical formulation (3). Each UAV’s sensor has a circular sensing symmetry about the position p i , which is a practical property of a sensor in real applications. Within the sensing range of the UAV, each UAV has a peak sensing capacity of M i exactly at the position p i of UAV A i . That is, we have
D i ( q i , q i ) = M i > D i ( q , q i ) , q q i
Hence, the divergence angle of detector is θ , the detection height is hi, then the sensing radius is Ri, as shown in Figure 1.
(5) Mathematically, such a sensor function is a second-order polynomial function of d = | q i - q | . Hence, the perceptual ability at the different position q of the UAV can be given by
G i ( d ) = { M i r i 4 ( d 2 r i 2 ) 2 , d r i 0 , d > r i
Since the information accumulation of a point in the fire field obtained by UAV using the sensor increases with time, that is, the coverage value of a point in the area increases with time. The coverage level of any point q Ω i from the initial time t = 0 to t is defined as follows:
γ i ( q , t ) = 0 t G i ( | q i - q | ) d τ
Let k I be the subset of UAVs that covered q and the effective coverage by a subset of UAVs A k = { A i | i k I } in surveying q is then given by [23,24]
γ k ( q , t ) = 0 t i k G i ( | q i ( τ ) q | 2 ) d τ
It can be obviously seen that γ k ( q , t ) is a non-decreasing function of time. That is
t γ k ( q , t ) = i k G i ( | q i ( τ ) q | ) 0

3. Adaptive Control Law

The rationale of adaptive control law is to use the flocking aggregation morphology control algorithm to enable the UAV group to construct a local network. The perception range is expanded to avoid collisions through the information interaction between adjacent UAVs. In addition, the Gradient descent method is used to optimize the navigation path in real time to achieve the autonomous coverage and deployment of the UAV group to the fire field.

3.1. Optimum coverage velocity

The rationale of optimum coverage velocity is to make each UAV to move towards the direction of low coverage level by establishing the potential energy function about the error between the expected coverage level and the actual coverage level, so that UAVs can autonomously and intelligently complete the coverage deployment task of mobile base stations.
Let C 0 be the desired attained effective coverage at all points in the S . The goal is to attain a network coverage of γ k ( q , t ) = C 0 for all points q S at some time t. Consider the following error function:
J ( t ) = Ω h ( C 0 γ I ( q , t ) ) d q
Where h ( x ) is a penalty function, which is strictly convex in the interval (0,C0], twice differentiable and positive definite, that is , h ( x ) > 0 , h ( x ) > 0 , h ( x ) > 0 , x ( 0 , C 0 ] . And that satisfies h ( x ) = h ( x ) = h ( x ) = 0 for all x 0 . When J ( t ) = 0 , it means that the coverage task in the sensing area Ω is completed.
To guarantee the coverage of the entire domain S with an effective coverage of C 0 under appropriate assumptions, UAV has to move toward the area where γ I ( q , t ) < C 0 . In order to improve the coverage efficiency, the area coverage problem can be described as the optimization problem of seeking the minimum J ( t ) in formula (9) [25,26]:
Minimize   J ( t ) = S h ( C 0 γ I ( q , t ) ) d q , q i S
The gradient descent method can be used to solve (9) to obtain the optimal coverage speed of the UAV. Accumulated error will generate an attractive “force” on a UAV. Once γ I ( q , t ) = C 0 at a point, the error at this point is zero no matter how much additional time UAVs spend detecting that point, that is, excessive coverage has no effect on the motion. Therefore, the optimal coverage speed of the UAV can be designed as follows:
v i 1 ( t ) = k c d J ( t ) d t = k c S h ( C 0 γ I ( q , t ) ) i I G ( | q i - q | ) d q
Where k c > 0 is the fixed coverage velocity adjustment gain.
Since the optimal coverage speed of the UAV is based on local information, when the points in the perception area of the UAV are effectively covered, the UAV will tend to be stationary. If the whole area has not been covered effectively at this point, a traction speed is required for the UAV to avoid to get stuck in a local minimum.
Firstly, Set P ( t ) represents a set of points that are not effectively covered in the area S at time t. That is
P ( t ) = { q S : 0 < γ I ( q , t ) < C 0 }
For UAV A i , let P i ( t ) be the set of points with the shortest distance from q i ( t ) in set P ( t ) , that is
P i ( t ) = { q * P ( t ) : q * = argmin q P ( t ) | q i q | }
A rule can be set to choose a unique point from the set to calculate the speed of the UAV at the next moment. The traction speed v s of the UAV can be designed according to the artificial potential field method [27] as follows:
v s = k s ( q i q m )
Where k s > 0 is the traction velocity adjustment gain, q i is the position vector of the UAV projected on the O X Y plane, and q m is the position vector of point q m on the O X Y plane.
In summary, the expected optimal coverage velocity of each UAV is:
v i c ( t ) = { k c d J ( t ) d t k s ( q i q m ) , , J ( t ) 0 , J ( t ) = C 0 0

3.2. Repulsion

A linear velocity term was chosen for local repulsion. Let r 0 be the maximum interaction range under which UAV starts to repulse other UAVs and obstacles:
v i j r = { p 0 . ( r 0 r i j ) . r i r j r i j   r i j < r 0 0   otherwise
In the equation above, p 0 is the linear gain of the pairwise repulsion and r i j = | r i r j | is the distance between UAV i and obstacle j. The total repulsion term calculated for UAV i with respect to the other UAVs or obstacles is
v i r = j i v i j r
where j is iterated for all other UAVs and obstacles.

3.3. Viscous velocity

Pairwise velocity alignment can be obtained with a velocity term that depends on the difference of the velocity vectors of nearby UAVs or obstacles. Previous works based on the artificial potential field method adjusted the velocity of the UAV attenuating asymptotically to zero at the expect position according to the distance relative to the obstacle at different time [28]. These models work fine when UAVs move within a lower velocity regime. However, the UAVs have to fly through the narrow corridor at a relatively high velocity in order to reduce the rescue time of people in distress at the high-rise fire scene. In this case, the previous method caused the obvious self-excited oscillations of UAV in the process of repulsion. Therefore, Viscous velocity appended to the control law was useful to solve this problem. It not only synchronizes motion to achieve collective behavior of UAVs, but it also has to serve as a damping medium, reducing self-excited oscillations emerging due to the relatively high velocity of UAV during repulsion.
To fulfill the practical deployment requirements of mobile base stations in the high-rise fire field, we have chosen an ideal braking function in space that is denoted by D ( . ) :
D ( r , a , p ) = { 0 if   r 0 r p if   0   <   rp   <   a   /   p 2 a r a 2 / p 2   otherwise
where r is the distance between a UAV and an expected stopping point, a is the preferred acceleration, and p is a linear gain also determining the crossover point between the two phases of deceleration.
The rationale behind our viscous velocity term is to prohibit two UAVs having a larger velocity difference at a given distance than what is allowed by this ideal braking function and to serve as a buffer medium to eliminate the self-excited oscillations of UAV:
v i j fm a x = max ( v f , D ( r i j r 0 f , a f , p f ) ) ,
v i j f = { F s ( v i j v i j fm a x ) v i v j v i j   if   v i j > v i j fm a x 0   otherwise
In the equations above, F s is a linear coefficient of the velocity alignment error reduction, v f is a velocity slack to allow for certain amount of velocity difference independently of inter UAV distance, r 0 f is the distance of the stopping point for UAV i relative to and in front of UAV j , p f and a f are the linear gain and the acceleration parameters of the pairwise alignment, and v i j = | v i v j | is the amplitude of the velocity difference between UAVs i and j . The total viscous velocity term calculated for UAV i with respect to the other UAVs— similarly to the repulsion term—is
v i f = j i v i j f
where j is iterated for all other UAVs.

4. Simulation Results

In this section, we provide simulation results for the fully connected network case. Assume that S is a square region of side length l = 700 dm length. Let the original position of each UAV is random in the zone that x [ 0 , 150 ] and y [ 550 , 700 ] . Let original velocity of each UAV is | v 0 | = 10 dm / s and set the direction of original velocity is random. Set the original relay distance d r = 5 0 dm . Let the effective coverage C 0 = 40 and the number of UAVs N = 78 . Obstacles are marked with black color. The UAV is marked with blue color and the base station is marked with red color. The red line between 2 base stations means the distance between them d b d r .
Due to the fire field is an unknown complex environment, there is no way to plan the path for each UAV before the beginning of the mission. The only way is to depend on their cooperation. It can be seen from the trajectory of UAVs at different times in Figure 2 that each UAV can keep a safe distance from obstacles and other UAVs. There is no one UAV collides with the obstacles and beyond the boundaries. It can be seen from Figure 2e that the base stations were deployed evenly in the unknown mission area with obstacles and can cover the whole mission area. There is no obstacle in the middle of the line between every two adjacent base stations so that the Non-line-of-sight problem in the unknown complex environment can be turned into the line-of-sight problem. Therefore, the efficiency and accuracy of target positioning will be enhanced greatly.
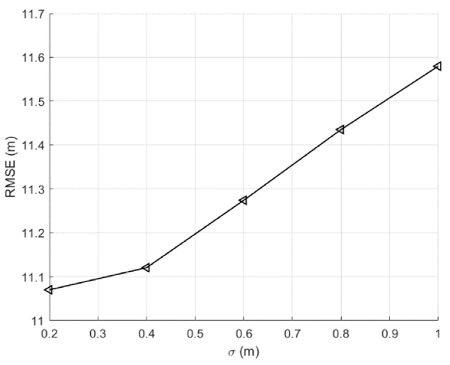
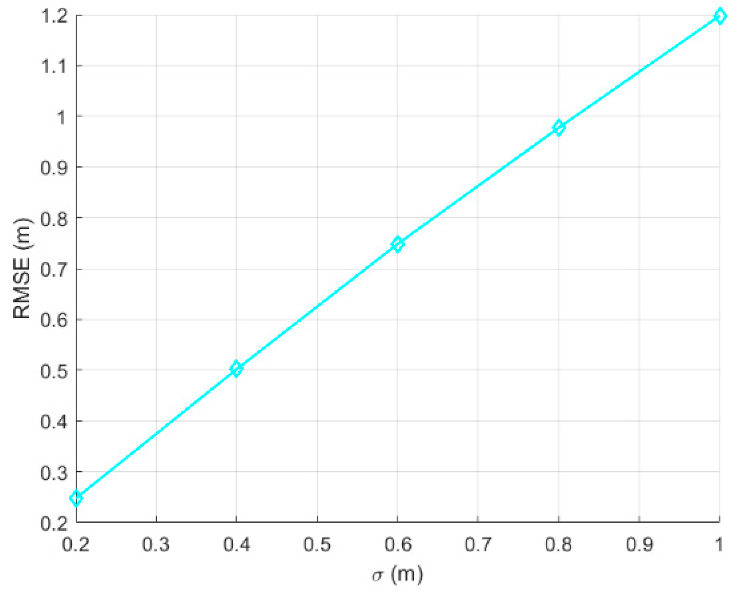
At present, the commonly used positioning method is to set a UWB positioning base station at the periphery of the fire field. We assume that 8 UWB base stations were deployed evenly on the boundary of the fire field as shown by the green triangle mark in the Figure 4 and inter distance of adjacent UWB base stations is 35m. There are more than 3 LOS positioning base stations nearby any point in the fire field after the deployment of mobile base stations in the fire field finished. Let the position of firefighter is (550, 480) shown as blue star mark in the Figure 4. The distance between firefighter and UWB base station can be obtained due to the UWB label on the firefighter. The closest 3 mobile base stations to the firefighter were marked by yellow triangle in Figure 4 and were used to get the precise position information of the firefighter. It can be easily seen from Figure 4 that the problem for the common method is to solve NLOS positioning, but the problem for the method in this paper is to solve LOS positioning.
According to our experience, we assume that the system error of UWB is 0.2m, 0.4m, 0.6m, 0.8m, 1m respectively. The position of firefighter was measured for many times with the same UWB unit. The above information of firefighter position were optimal estimated with least square method [29,30]. The simulation results of above 2 methods are shown in following figures.

5. Discussion

The most important problem of mobile base stations deployment for coverage with connectivity constraints is how to control their movement and behavior to achieve a desired configuration and how to establish decentralized coordination among the multiple UAVs team. This becomes more difficult for navigation and positions of UAVs with the absence of GPS. With the absence of GPS, robots can only perform local localization by estimating their adjacent UAV’s relative locations and sending limited messages out with zigbee. Especially in the fire field of high building, this mechanism is more significant to realize the fast deployment of UWB base stations with UAV group.
In this short paper we present a approach that realize the fast and accurate deployment of mobile UWB base stations to achieve maximum coverage in the complex environment with unknown obstacles. Comparing the traditional method and our approach in this work, our approach have more accurate positioning, high coverage and less moving distance. The less moving distance not only reduces the accumulative positioning error but also means low energy consuming so that the a large scale of smaller and cheaper UAVs can be used to satisfy the requirement of deployment of mobile UWB base stations in the fire field.

6. Conclusion

In this paper, we formulated a control problem that addresses the autonomous deployment of a massive multi-agent system in the complex unknown high-rise fire environment. The goal is to achieve coverage deployment of mobile base stations to make sure that there are more than 3 base stations nearby the anyone point in the fire field so that the NLOS positioning problem of common positioning method can be transformed into the LOS positioning problem. Coverage deployment of fire field was achieved through deployment different coverage value of each point according to the detected time. Viscous velocity was appended to the control law. The simulation results show that the coverage deployment of the mobile base stations can be realized safely in the complex environment with unknown obstacles. Finally, we compared the simulation results of common method and the method illustrated in this paper. The result of comparison shows that this method can greatly improve the positioning accuracy and meet the practical positioning requirements of high-rise fire rescue.

References

  1. J. Liu, K. Chow. Determination of fire load and heat release rate for high-rise residential buildings, Procedia Eng. 84 (2014) 491-497. [CrossRef]
  2. Q. Zhou, Q. -S. Li, X.-L. Han. Horizontal displacement estimation of high-rise structures by fusing strain and acceleration measurements, Fire Safety Journal. 57 (2022) 104964. [CrossRef]
  3. Z.-X. Xing, W.-L. Gao, D.-Z. Zhu, Y. Tang. Research on the rescue force of high-rise building fire, Journal of Safety Science and Technology. 08 (2012) 35-40.
  4. J. Ma, J. Wang, X.-P. Zhou, Y.-Y. Wei. Research on Fire Risk Assessment of High-rise Buildings Based on Fuzzy Mathematics and Set-value Statistics Theory, Journal of Computers. 29 (2018) 145-160. [CrossRef]
  5. Q.-S. Li, Y.-H. He, K. Zhou, X.-L. Han, Y.-C. He, Z.-R. Shu. Structural health monitoring for a 600 m high skyscraper, The Structural Design of Tall Special Buildings. 27 (12) (2018) Article e1490. https://doi.org/10.1002/tal.1543.
  6. F.-B. Zhou. Thinking on Fire Extinguishing and Rescue Measures for High-rise Buildings, Construction & Design for Engineering. 7 (2018) 94-95, 98.
  7. S. Murakami, Y. Murosaki. Fire and Smoke Protection Measures for High-Rise Buildings, Journal of Disaster Research. 6 (6) (2011) 629-643. [CrossRef]
  8. M. Zmud. Public Perceptions of High-rise Building Emergency Evacuation Preparedness, Fire Technology. 44 (2008) 329-336. [CrossRef]
  9. L. Hu, J. A. Milke, B. Merci. Special Issue on Fire Safety of High-Rise Buildings, Fire Technology. 53 (2017) 1-3. [CrossRef]
  10. V.K.R. Kodur, S. Venkatachari, M.Z. Naser. Egress Parameters Influencing Emergency Evacuation in High-Rise Buildings, Fire Technology. 56 (2020) 2035-2057. [CrossRef]
  11. J.-Y. Wei, H.-W. Wang, S.-J. Su. NLOS identification using parallel deep learning model and time-frequency information in UWB-based positioning system, Measurement. 195 (2022) 111191. [CrossRef]
  12. M. Tabaa, C. Diou, R. Saadane, A. Dandache. LOS/NLOS Identification based on Stable Distribution Feature Extraction and SVM Classifier for UWB On-body Communications, Procedia Comput. Sci.. 32 (2014), 882-887. [CrossRef]
  13. S. Marano, W.M. Gifford, H. Wymeersch, M.Z. Win. NLOS identification and mitigation for localization based on UWB experimental data, IEEE J. Sel. Areas Commun.. 28 (2010) 1026-1035. [CrossRef]
  14. X. Yang, F. Zhao, T. Chen. NLOS identification for UWB localization based on import vector machine, AEU – Int. J. Electron. Commun.. 87 (2018) 128-133. [CrossRef]
  15. W. Zhao, R. He, B. Ai, Z. Zhong, H. Zhang. Vehicle Localization Based on Hypothesis Test in NLOS Scenarios, IEEE Trans. Veh. Technol.. 71 (2022) 2198-2203. [CrossRef]
  16. K.K. Cwalina, P. Rajchowski, O. Blaszkiewicz, A. Olejniczak, J. Sadowski. Deep Learning-Based LOS and NLOS Identification in Wireless Body Area Networks, Sensors. 19 (2019) 4229. https://doi.org/10.3390/s19194229. [CrossRef]
  17. Y. Zeng, R. Zhang, T.J. Lim. Throughput maximization for UAVenabled mobile relaying systems, IEEE Trans. Commun.. 64(12) (2016) 4983–4996. [CrossRef]
  18. J. Zhang, Y. Zeng, R. Zhang. Spectrum and energy efficiency maximization in UAV-enabled mobile relaying, in Proc. IEEE Int. Conf. Commun. (ICC).. 5 (2017) 1–6. [CrossRef]
  19. S. Zhang, H. Zhang, Q. He, K. Bian, L. Song. Joint trajectory and power optimization for UAV relay networks, IEEE Commun. Lett.. 22 (1) (2018) 161–164. [CrossRef]
  20. Z. Xue, J. Wang, G. Ding, Q. Wu. Joint 3D location and power optimization for UAV-enabled relaying systems, IEEE Access. 6 (8) (2018) 43113–43124. [CrossRef]
  21. E. T. Michailidis, N. Nomikos, P. S. Bithas, D. Vouyioukas, A. G. Kanatas. Optimal 3-D aerial relay placement for multi-user MIMO communications, IEEE Trans. Aerosp. Electron. Syst.. 55 (6) (2019) 3218–3229. [CrossRef]
  22. L. Yang, J. Chen, M.O. Hasna, H.-C. Yang. Outage performance of UAV-assisted relaying systems with RF energy harvesting, IEEE Commun. Lett.. 22 (12) (2018) 2471–2474. [CrossRef]
  23. F. Wang, C. Zhang, F. Tang, H. Jiang, Y. Wu, Y. Liu. Lightweight Object-level Topological Semantic Mapping and Long-term Global Localization based on Graph Matching, arXiv. 2201.05977(2022). https://doi.org/10.48550/arXiv.2201.05977. [CrossRef]
  24. C Song, Y Fan, S Xu. New convergence analysis of coverage control on a circle subject to unknown but bounded measurement errors, Automatica. 141 (2022) 110216.C Song, L Liu, G Feng, S Xu. Coverage control for heterogeneous mobile sensor networks on a circle, Automatica. 63 (2016) 349-358. [CrossRef]
  25. S.-A. Cheng, L.-B. Lu, F.-B. Gang, F.-C. Yuan, S.-X. A. Coverage control for heterogeneous mobile sensor networks with bounded position measurement errors, Automatica. 120 (2020) 109118. [CrossRef]
  26. Q.-A Yi,H.-X. A,S.-A. Cheng,F.-B. Yuan. Coverage control for mobile sensor networks with time-varying communication delays on a closed curve, Journal of the Franklin institute. 357 (17) (2020) 12109-12124. [CrossRef]
  27. R. G. Braga, R. C. da Silva, A. C. Ramos, F. Mora-Camino, Collision avoidance based on Reynolds rules: A case study using quadrotors, in Information Technology-New Generations (Springer, 2018), pp. 773–780. [CrossRef]
  28. S.A. Quintero, G.E. Collins, J.P. Hespanha. Flocking with fixed-wing UAVs for distributed sensing: A stochastic optimal control approach, in 2013 American Control Conference (IEEE, 2013). 2025–2031. [CrossRef]
  29. Y.-B Zou, H.-P. Liu. An Efficient NLOS Errors Mitigation Algorithm for TOA-Based Localization, Sensors. 20 (5) (2020) 1403. https://doi.org/10.3390/s20051403. [CrossRef]
  30. W. Xiong,C. Schindelhauer,H.C. So,Z. Wang. Maximum Correntropy Criterion for Robust TOA-Based Localization in NLOS Environments, Circuit, Systems and Signal Processing. 40 (2021) 6325-6339. http://doi.org/10.1007/s00034-021-01800-y. [CrossRef]
Figure 1. Diagram of the sensing region.
Figure 1. Diagram of the sensing region.
Preprints 80662 g001
Figure 2. coverage deployment of mobile base stations at different time: (a) coverage deployment at the time of 10 seconds; (b) coverage deployment at the time of 20 seconds; (c) coverage deployment at the time of 40 seconds; (d) coverage deployment at the time of 50 seconds; (e) coverage deployment at the time of 60 seconds.
Figure 2. coverage deployment of mobile base stations at different time: (a) coverage deployment at the time of 10 seconds; (b) coverage deployment at the time of 20 seconds; (c) coverage deployment at the time of 40 seconds; (d) coverage deployment at the time of 50 seconds; (e) coverage deployment at the time of 60 seconds.
Preprints 80662 g002aPreprints 80662 g002b
Figure 3. diagram of base stations deployment of two algorithms.
Figure 3. diagram of base stations deployment of two algorithms.
Preprints 80662 g003
Figure 4. NLOS positioning error simulation results with 8 base stations.
Figure 4. NLOS positioning error simulation results with 8 base stations.
Preprints 80662 g004
Figure 5. LOS positioning error simulation results with 3 base stations.
Figure 5. LOS positioning error simulation results with 3 base stations.
Preprints 80662 g005
Disclaimer/Publisher’s Note: The statements, opinions and data contained in all publications are solely those of the individual author(s) and contributor(s) and not of MDPI and/or the editor(s). MDPI and/or the editor(s) disclaim responsibility for any injury to people or property resulting from any ideas, methods, instructions or products referred to in the content.
Copyright: This open access article is published under a Creative Commons CC BY 4.0 license, which permit the free download, distribution, and reuse, provided that the author and preprint are cited in any reuse.
Prerpints.org logo

Preprints.org is a free preprint server supported by MDPI in Basel, Switzerland.

Subscribe

Disclaimer

Terms of Use

Privacy Policy

Privacy Settings

© 2026 MDPI (Basel, Switzerland) unless otherwise stated