Submitted:
26 July 2023
Posted:
27 July 2023
You are already at the latest version
Abstract
Keywords:
1. Introduction
2. RS Imagery
2.1. Optical Imagery
| 9 | WL(µm) | R(m) | L7 | WL(µm) | R(m) | L8 | WL(µm) | R(m) | L9 | WL(µm) | R(m) |
|---|---|---|---|---|---|---|---|---|---|---|---|
| B 1 | 0.43–0.45 | 30 | B 1 | 0.43–0.45 | 30 | ||||||
| B 1 | 0.45-0.52 | 30 | B 1 | 0.45-0.52 | 30 | B 2 | 0.45–0.51 | 30 | B 2 | 0.45–0.51 | 30 |
| B 8 | 0.52-0.90 | 15 | B 3 | 0.53–0.59 | 30 | B 3 | 0.53–0.59 | 30 | |||
| B 2 | 0.52-0.60 | 30 | B 2 | 0.52-0.60 | 30 | B 4 | 0.64–0.67 | 30 | B 4 | 0.64–0.67 | 30 |
| B 3 | 0.63-0.69 | 30 | B 3 | 0.63-0.69 | 30 | B 5 | 0.85–0.88 | 30 | B 5 | 0.85–0.88 | 30 |
| B 4 | 0.76-0.90 | 30 | B 4 | 0.77-0.90 | 30 | Bd 6 | 1.57–1.65 | 30 | B 6 | 1.57–1.65 | 30 |
| B 7 | 2.11–2.29 | 30 | B 7 | 2.11–2.29 | 30 | ||||||
| B 5 | 1.55-1.75 | 30 | B 5 | 1.55-1.75 | 30 | B 8 | 0.50–0.68 | 15 | B 8 | 0.50–0.68 | 15 |
| B 7 | 2.08-2.35 | 30 | B 7 | 2.08-2.35 | 30 | B 9 | 1.36–1.38 | 30 | B 9 | 1.36–1.38 | 30 |
| B 6 | 10.40-12.50 | 120*(30) | B 6 | 10.40-12.50 | 60*(30) | B 10 | 10.60-11.19 | 100 | B 10 | 10.60-11.19 | 100 |
| Band 11 | 11.50-12.51 | 100 | B 11 | 11.50-12.51 | 100 |
2.2. Hyperspectral Imagery
2.3. Radar Data
3. Method
3.1. Feature Extraction
3.1.1. Spectral Features
3.1.2. Topographic and Geomorphic Features
3.1.3. Texture Feature
3.1.4. Spectral Curve Morphological Feature
3.1.5. Dimensionality Reduction/Feature Extraction
3.2. Classfication Methods
3.2.1. SMA
3.2.2. SVM
3.2.3. RF
3.2.4. Deep Learning
3.2.5. OBIA
4. Lithological Mapping in High Vegetation Areas
4.1. Selection and Impact for Data Source
4.1.1. RS Data Sources
4.1.2. Data Preprocessing and Integration
4.2. Comparison and Analysis for Feature Extraction Methods
4.2.1. Analyse for Dimensionality Reduction/Feature Extraction
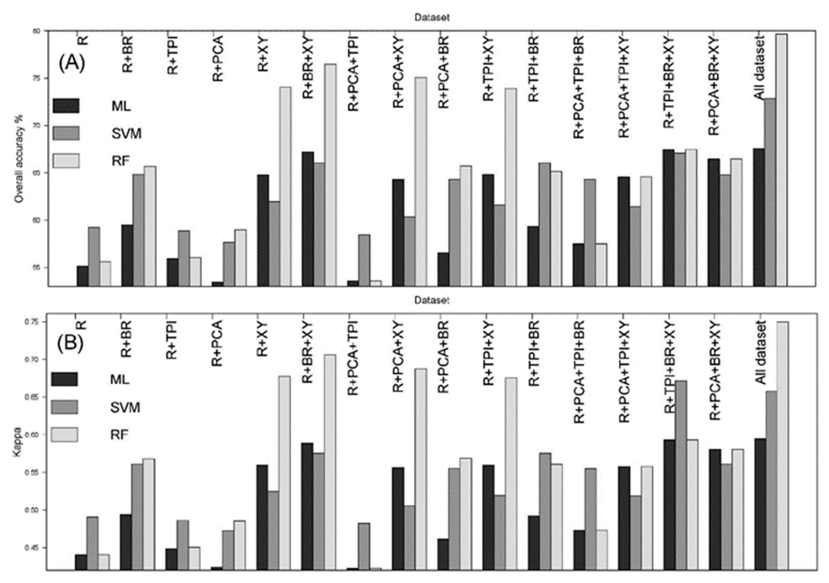
4.2.2. Performance Evaluation and Comparison for Feature Extraction
4.3. Selection and Application for Classification Methods
5. Discussion and Future Opportunities
5.1. Integration of Advanced RS Techniques
5.2. Enhanced Feature Extraction and Selection
5.3. Development of Hybrid Classification Approaches
5.4. Exploration of DLAs
5.5. Incorporation of Domain Knowledge and Expert Systems
6. Conclusions
Author Contributions
Funding
Conflicts of Interest
References
- Cardoso-Fernandes, J.; Teodoro, A.C.; Lima, A.; Perrotta, M.; Roda-Robles, E. Detecting Lithium (Li) mineralizations from space: Current research and future perspectives. Applied Sciences 2020, 10, 1785. [Google Scholar] [CrossRef]
- Mwaniki, M.W.; Matthias, M.S.; Schellmann, G. Application of remote sensing technologies to map the structural geology of central Region of Kenya. IEEE Journal of Selected Topics in Applied Earth Observations and Remote Sensing 2015, 8, 1855–1867. [Google Scholar] [CrossRef]
- De, A.; Upadhyaya, D.B.; Thiyaku, S.; Tomer, S.K. Use of multi-sensor satellite remote sensing data for flood and drought monitoring and mapping in India. Civil Engineering for Disaster Risk Reduction 2022, 27–41. [Google Scholar] [CrossRef]
- Abdelkader, M.A.; Watanabe, Y.; Shebl, A.; El-Dokouny, H.A.; Dawoud, M.; Csámer, Á. Effective delineation of rare metal-bearing granites from remote sensing data using machine learning methods: A case study from the Umm Naggat Area, Central Eastern Desert, Egypt. Ore Geology Reviews 2022, 105184. [Google Scholar] [CrossRef]
- Pang, Y.; Cheng, S. Research status of granite classification. Resources, Environment and Engineering 2009, 23, 119–122. [Google Scholar] [CrossRef]
- Sun, Z.; Tang, E. Preliminary discussion on practical classification and nomenclature of common sedimentary rocks. Sichuan hydropower 2008, 120–122. [Google Scholar] [CrossRef]
- Jin, W. Classification and nomenclature of metamorphic rocks. Precambrian geology abroad 1993, 18–33. [Google Scholar]
- Chen, M.; Jin, W.; Zheng, C. Classification table of main metamorphic rocks including three elements of metamorphic rock classification. Acta petrologica 2009, 25, 1749–1752. [Google Scholar]
- Cardoso-Fernandes, J.; Silva, J.; Perrotta, M.M.; Lima, A.; Teodoro, A.C.; Ribeiro, M.A.; Dias, F.; Barrès, O.; Cauzid, J.; Roda-Robles, E. Interpretation of the Reflectance Spectra of Lithium (Li) Minerals and Pegmatites: A Case Study for Mineralogical and Lithological Identification in the Fregeneda-Almendra Area. MDPI 2021. [Google Scholar] [CrossRef]
- Ager, C.M.; Milton, N.M. Spectral reflectance of lichens and their effects on the reflectance of rock substrates. Geophysics 2012, 52, 898–906. [Google Scholar] [CrossRef]
- Siegal, B.S.; Goetz, A. Effect of vegetation on rock and soil type discrimination. Photogrammetric Engineering & Remote Sensing 1977, 43. [Google Scholar] [CrossRef]
- Chen, S.; Liu, Y.; Yang, Q.; Zhou, C.; Zhao, L. Lithology classification of vegetated area by satellite hyperspectral remote sensing. Journal of Jilin University (Earth Science Edition) 2012, 42, 1959–1965. [Google Scholar] [CrossRef]
- Bachri, I.; Hakdaoui, M.; Raji, M.; Teodoro, A.C.; Benbouziane, A. Machine learning algorithms for automatic lithological mapping using remote sensing data: A case study from Souk Arbaa Sahel, Sidi Ifni Inlier, Western Anti-Atlas, Morocco. ISPRS International Journal of Geo-Information 2019, 8, 248. [Google Scholar] [CrossRef]
- Crippen, R.; Blom, R. Unveiling the lithology of vegetated terrains in remotely sensed imagery. 1999.
- do Amaral, C.H.; de Almeida, T.I.R.; de Souza Filho, C.R.; Roberts, D.A.; Fraser, S.J.; Alves, M.N.; Botelho, M. Characterization of indicator tree species in neotropical environments and implications for geological mapping. Remote Sensing of Environment 2018, 216, 385–400. [Google Scholar] [CrossRef]
- Pal, M.; Rasmussen, T.; Porwal, A. Optimized lithological mapping from multispectral and hyperspectral remote sensing images using fused multi-classifiers. Remote Sensing 2020, 12, 177. [Google Scholar] [CrossRef]
- Manap, H.S.; San, B.T. Data Integration for Lithological Mapping Using Machine Learning Algorithms. Earth Science Informatics 2022, 15, 1841–1859. [Google Scholar] [CrossRef]
- Cardoso-Fernandes, J.; Teodoro, A.C.; Lima, A.; Roda-Robles, E. Semi-Automatization of Support Vector Machines to Map Lithium (Li) Bearing Pegmatites. Remote Sensing 2020, 12, 2319. [Google Scholar] [CrossRef]
- Santos, D.; Cardoso-Fernandes, J.; Lima, A.; Müller, A.; Brönner, M.; Teodoro, A.C. Spectral analysis to improve inputs to random forest and other boosted ensemble tree-based algorithms for detecting NYF pegmatites in Tysfjord, Norway. Remote Sensing 2022, 14, 3532. [Google Scholar] [CrossRef]
- Grebby, S.; Naden, J.; Cunningham, D.; Tansey, K. Integrating airborne multispectral imagery and airborne LiDAR data for enhanced lithological mapping in vegetated terrain. Remote Sensing of Environment 2011, 115, 214–226. [Google Scholar] [CrossRef]
- Grebby, S.; Field, E.; Tansey, K. Evaluating the use of an object-based approach to lithological mapping in vegetated terrain. Remote Sensing 2016, 8, 843. [Google Scholar] [CrossRef]
- Grebby, S.; Cunningham, D.; Naden, J.; Tansey, K. Lithological mapping of the Troodos ophiolite, Cyprus, using airborne LiDAR topographic data. Remote Sensing of Environment 2010, 114, 713–724. [Google Scholar] [CrossRef]
- Pan, T.; Zuo, R.; Wang, Z. Geological Mapping via Convolutional Neural Network Based on Remote Sensing and Geochemical Survey Data in Vegetation Coverage Areas. IEEE Journal of Selected Topics in Applied Earth Observations and Remote Sensing 2023. [Google Scholar] [CrossRef]
- Otele, C.G.A.; Onabid, M.A.; Assembe, P.S. Design and Implementation of an Automatic Deep Stacked Sparsely Connected Auto-encoder (ADSSCA) Neural Network Architecture for Lithological Mapping under thick Vegetation using Remote Sensing. 2023. [CrossRef]
- Frutuoso, R.; Lima, A.; Teodoro, A.C. Application of remote sensing data in gold exploration: targeting hydrothermal alteration using Landsat 8 imagery in northern Portugal. Arabian Journal of Geosciences 2021, 14. [Google Scholar] [CrossRef]
- Knepper Jr, D.H. Mapping hydrothermal alteration with Landsat thematic mapper data. Remote Sensing in Exploration Geology: Golden, Colorado to Washington, DC, June 30–July 8, 1989 1989, 182, 13–21. [Google Scholar] [CrossRef]
- Langford, R.L. Temporal merging of remote sensing data to enhance spectral regolith, lithological and alteration patterns for regional mineral exploration. Ore Geology Reviews 2015, 68, 14–29. [Google Scholar] [CrossRef]
- HAN, S.; SHUAI, S.; GUO, W.; YANG, P. Automatic Classification Method of Quaternary Lithology in Vegetation Cover Area Combining Spectral, Textural, Topographic, Geothermal, and Vegetation. 2021. [CrossRef]
- Brandmeier, M.; Chen, Y. Lithological classification using multi-sensor data and convolutional neural networks. The International Archives of the Photogrammetry, Remote Sensing and Spatial Information Sciences 2019, 42, 55–59. [Google Scholar] [CrossRef]
- Rowan, L.C.; Mars, J.C.; Simpson, C.J. Lithologic mapping of the Mordor, NT, Australia ultramafic complex by using the Advanced Spaceborne Thermal Emission and Reflection Radiometer (ASTER). Remote sensing of Environment 2005, 99, 105–126. [Google Scholar] [CrossRef]
- Gasmi, A.; Gomez, C.; Zouari, H.; Masse, A.; Ducrot, D. PCA and SVM as geo-computational methods for geological mapping in the southern of Tunisia, using ASTER remote sensing data set. Arabian Journal of Geosciences 2016, 9, 1–12. [Google Scholar] [CrossRef]
- Serbouti, I.; Raji, M.; Hakdaoui, M. Lithological Mapping for a Semi-arid Area Using GEOBIA and PBIA Machine Learning Approaches with Sentinel-2 Imagery: Case Study of Skhour Rehamna, Morocco. Geospatial Intelligence: Applications and Future Trends 2022, 143–156. [Google Scholar] [CrossRef]
- Ye, B.; Tian, S.; Ge, J.; Sun, Y. Assessment of WorldView-3 data for lithological mapping. Remote Sensing 2017, 9, 1132. [Google Scholar] [CrossRef]
- Liu, Y. Study on hyperspectral remote sensing extraction method of rock and ore information in vegetated area. Master Degree-Jilin University, Jilin, 2013.
- Tripathi, P.; Garg, R.D. First impressions from the PRISMA hyperspectral mission. Curr. Sci 2020, 119, 1267–1281. [Google Scholar] [CrossRef]
- Rogge, D.; Rivard, B.; Segl, K.; Grant, B.; Feng, J. Mapping of NiCu–PGE ore hosting ultramafic rocks using airborne and simulated EnMAP hyperspectral imagery, Nunavik, Canada. Remote sensing of environment 2014, 152, 302–317. [Google Scholar] [CrossRef]
- Iqbal, A.; Ullah, S.; Khalid, N.; Ahmad, W.; Ahmad, I.; Shafique, M.; Hulley, G.C.; Roberts, D.A.; Skidmore, A.K. Selection of HyspIRI optimal band positions for the earth compositional mapping using HyTES data. Remote sensing of environment 2018, 206, 350–362. [Google Scholar] [CrossRef]
- Yu, J.; Zhang, L.; Li, Q.; Li, Y.; Huang, W.; Sun, Z.; Ma, Y.; He, P. 3D autoencoder algorithm for lithological mapping using ZY-1 02D hyperspectral imagery: a case study of Liuyuan region. Journal of Applied Remote Sensing 2021, 15, 042610–042610. [Google Scholar] [CrossRef]
- Liu, T.; Chen, T.; Niu, R.; Plaza, A. Landslide detection mapping employing CNN, ResNet, and DenseNet in the three gorges reservoir, China. IEEE Journal of Selected Topics in Applied Earth Observations and Remote Sensing 2021, 14, 11417–11428. [Google Scholar] [CrossRef]
- Yang, M.; Kang, L.; Chen, H.; Zhou, M.; Zhang, J. Lithological mapping of East Tianshan area using integrated data fused by Chinese GF-1 PAN and ASTER multi-spectral data. Open Geosciences 2018, 10, 532–543. [Google Scholar] [CrossRef]
- Ye, B.; Tian, S.; Cheng, Q.; Ge, Y. Application of lithological mapping based on advanced hyperspectral imager (AHSI) imagery onboard Gaofen-5 (GF-5) satellite. Remote Sensing 2020, 12, 3990. [Google Scholar] [CrossRef]
- Lu, Y.; Yang, C.; Meng, Z. Lithology discrimination using Sentinel-1 dual-pol data and SRTM data. Remote Sensing 2021, 13, 1280. [Google Scholar] [CrossRef]
- Meroni, M.; d'Andrimont, R.; Vrieling, A.; Fasbender, D.; Lemoine, G.; Rembold, F.; Seguini, L.; Verhegghen, A. Comparing land surface phenology of major European crops as derived from SAR and multispectral data of Sentinel-1 and-2. Remote sensing of environment 2021, 253, 112232. [Google Scholar] [CrossRef]
- Guo, S.; Yang, C.; He, R.; Li, Y. Improvement of Lithological Mapping Using Discrete Wavelet Transformation from Sentinel-1 SAR Data. Remote Sensing 2022, 14, 5824. [Google Scholar] [CrossRef]
- Shebl, A.; Csámer, Á. Stacked vector multi-source lithologic classification utilizing Machine Learning Algorithms: Data potentiality and dimensionality monitoring. Remote Sensing Applications: Society and Environment 2021, 24, 100643. [Google Scholar] [CrossRef]
- Mastrorosa, S.; Crespi, M.; Congedo, L.; Munafò, M. Land Consumption Classification Using Sentinel 1 Data: A Systematic Review. Land 2023, 12, 932. [Google Scholar] [CrossRef]
- Wang, W.; Ren, X.; Zhang, Y.; Li, M. Deep Learning Based Lithology Classification Using Dual-Frequency Pol-SAR Data. Applied ences 2018, 8. [Google Scholar] [CrossRef]
- Kumar, C.; Chatterjee, S.; Oommen, T.; Guha, A.; Mukherjee, A. Multi-sensor datasets-based optimal integration of spectral, textural, and morphological characteristics of rocks for lithological classification using machine learning models. Geocarto International 2022, 37, 6004–6032. [Google Scholar] [CrossRef]
- Zhong, F.; Xu, X.; Li, Z.; Zeng, X.; Yi, R.; Luo, W.; Zhang, Y.; Xu, C. Relationships between lithology, topography, soil, and vegetation, and their implications for karst vegetation restoration. Catena 2022, 209, 105831. [Google Scholar] [CrossRef]
- Ott, R.F. How lithology impacts global topography, vegetation, and animal biodiversity: A global-scale analysis of mountainous regions. Geophysical Research Letters 2020, 47, e2020GL088649. [Google Scholar] [CrossRef]
- Bachu, S. Influence of lithology and fluid flow on the temperature distribution in a sedimentary basin: A case study from the Cold Lake area, Alberta, Canada. Tectonophysics 1985, 120, 257–284. [Google Scholar] [CrossRef]
- Gresov, A.; Yatsuk, A.; Aksentov, K. Lithological Composition and Hydrocarbon Anomalies of Bottom Sediments in the Western Part of the East Siberian Sea. Lithology and Mineral Resources 2023, 58, 16–31. [Google Scholar] [CrossRef]
- Chen, B.; Huang, B.; Xu, B. Multi-source remotely sensed data fusion for improving land cover classification. ISPRS Journal of Photogrammetry and Remote Sensing 2017, 124, 27–39. [Google Scholar] [CrossRef]
- Zhang, J. Multi-source remote sensing data fusion: status and trends. International Journal of Image and Data Fusion 2010, 1, 5–24. [Google Scholar] [CrossRef]
- Ge, W.; Cheng, Q.; Tang, Y.; Jing, L.; Gao, C. Lithological classification using Sentinel-2A data in the Shibanjing ophiolite complex in Inner Mongolia, China. Remote Sensing 2018, 10, 638. [Google Scholar] [CrossRef]
- Jin, Z.; Azzari, G.; You, C.; Di Tommaso, S.; Aston, S.; Burke, M.; Lobell, D.B. Smallholder maize area and yield mapping at national scales with Google Earth Engine. Remote Sensing of Environment 2019, 228, 115–128. [Google Scholar] [CrossRef]
- Trevor, H.; Robert, T.; Jerome, F. The elements of statistical learning: data mining, inference, and prediction. 2009.
- Pacifici, F.; Chini, M.; Emery, W.J. A neural network approach using multi-scale textural metrics from very high-resolution panchromatic imagery for urban land-use classification. Remote Sensing of Environment 2009, 113, 1276–1292. [Google Scholar] [CrossRef]
- Jović, A.; Brkić, K.; Bogunović, N. A review of feature selection methods with applications. In Proceedings of the 2015 38th international convention on information and communication technology, 2015, electronics and microelectronics (MIPRO); pp. 1200–1205. [CrossRef]
- Saeys, Y.; Inza, I.; Larranaga, P. A review of feature selection techniques in bioinformatics. bioinformatics 2007, 23, 2507–2517. [Google Scholar] [CrossRef]
- Irons, J.R.; Dwyer, J.L. An overview of the Landsat data continuity mission. Algorithms and Technologies for Multispectral, Hyperspectral, and Ultraspectral Imagery XVI 2010, 7695, 58–64. [Google Scholar] [CrossRef]
- Irons, J.R.; Dwyer, J.L.; Barsi, J.A. The next Landsat satellite: The Landsat Data Continuity Mission. Remote Sensing of Environment 2012, 122, 11–21. [Google Scholar] [CrossRef]
- Rothery, D. The role of Landsat multispectral scanner (MSS) imagery in mapping the Oman ophiolite. Geological Society, London, Special Publications 1984, 13, 405–413. [Google Scholar] [CrossRef]
- Zeng, L.; Li, T.; Huang, H.; Zeng, P.; He, Y.; Jing, L.; Yang, Y.; Jiao, S. Identifying Emeishan basalt by supervised learning with Landsat-5 and ASTER data. Frontiers in Earth Science 2023, 10, 2573. [Google Scholar] [CrossRef]
- Abu El-Liel, I.; Soliman, N.; Bekhiet, M.H.; El-Hebiry, M.S. Lithological mapping in the eastern desert of Egypt, Wadi Um Gheig area, using LANDSAT enhanced thematic mapper (ETM+). Al-Azhar Bulletin of Science 2014, 25, 1–8. [Google Scholar] [CrossRef]
- Benbahria, Z.; Sebari, I.; Hajji, H.; Smiej, M.F. Automatic Mapping of Irrigated Areas in Mediteranean Context Using Landsat 8 Time Series Images and Random Forest Algorithm. In Proceedings of the IGARSS 2018-2018 IEEE International Geoscience and Remote Sensing Symposium; 2018; pp. 7986–7989. [Google Scholar]
- Shalal, R.S.; Mahdi, M.M.; Al-Ali, A.K.; Ahmed, A.M. Litho-Stratigraphic Mapping of the Bajalia Anticline, Missan Governorate by Using Digital Image Processing of Landsat-9 Imagery. The Iraqi Geological Journal 2022, 114–127. [Google Scholar] [CrossRef]
- Pesaresi, S.; Mancini, A.; Quattrini, G.; Casavecchia, S. Mapping mediterranean forest plant associations and habitats with functional principal component analysis using Landsat 8 NDVI time series. Remote Sensing 2020, 12, 1132. [Google Scholar] [CrossRef]
- Mwaniki, M.W.; Moeller, M.S.; Schellmann, G. A comparison of Landsat 8 (OLI) and Landsat 7 (ETM+) in mapping geology and visualising lineaments: A case study of central region Kenya. The International Archives of the Photogrammetry, Remote Sensing and Spatial Information Sciences 2015, 40, 897–903. [Google Scholar] [CrossRef]
- You, H.; Tang, X.; Deng, W.; Song, H.; Wang, Y.; Chen, J. A Study on the Difference of LULC Classification Results Based on Landsat 8 and Landsat 9 Data. Sustainability 2022, 14, 13730. [Google Scholar] [CrossRef]
- Zhou, G.; Wang, H.; Sun, Y.; Shao, Y.; Yue, T. Lithologic classification using multilevel spectral characteristics. Journal of Applied Remote Sensing 2019, 13, 016513–016513. [Google Scholar] [CrossRef]
- Fujisada, H. Design and performance of ASTER instrument. In Proceedings of the Advanced and next-generation satellites; 1995; pp. 16–25. [Google Scholar] [CrossRef]
- Beiranvand Pour, A.; Hashim, M. ASTER, ALI and Hyperion sensors data for lithological mapping and ore minerals exploration. SpringerPlus 2014, 3, 1–19. [Google Scholar] [CrossRef] [PubMed]
- Abrams, M.; Yamaguchi, Y. Twenty years of ASTER contributions to lithologic mapping and mineral exploration. Remote Sensing 2019, 11, 1394. [Google Scholar] [CrossRef]
- Bertoldi, L.; Massironi, M.; Visonà, D.; Carosi, R.; Montomoli, C.; Gubert, F.; Naletto, G.; Pelizzo, M.G. Mapping the Buraburi granite in the Himalaya of Western Nepal: remote sensing analysis in a collisional belt with vegetation cover and extreme variation of topography. Remote Sensing of Environment 2011, 115, 1129–1144. [Google Scholar] [CrossRef]
- Othman, A.A.; Gloaguen, R. Improving lithological mapping by SVM classification of spectral and morphological features: The discovery of a new chromite body in the Mawat ophiolite complex (Kurdistan, NE Iraq). Remote Sensing 2014, 6, 6867–6896. [Google Scholar] [CrossRef]
- Olivella González, R.; Garcia Lozano, C.; Olivas Corominas, L.; Sitjar Suñer, J. Monitoring natural phenomena from the classroom with Edusat. In Proposal for a teaching guide (and support material). In Proceedings of the 4th Symposium on Space Educational Activities; 2022. [Google Scholar] [CrossRef]
- Chen, Y.; Hou, J.; Huang, C.; Zhang, Y.; Li, X. Mapping maize area in heterogeneous agricultural landscape with multi-temporal Sentinel-1 and Sentinel-2 images based on random forest. Remote sensing 2021, 13, 2988. [Google Scholar] [CrossRef]
- Rajan Girija, R.; Mayappan, S. Mapping of mineral resources and lithological units: A review of remote sensing techniques. International Journal of Image and Data Fusion 2019, 10, 79–106. [Google Scholar] [CrossRef]
- Shayeganpour, S.; Tangestani, M.H.; Homayouni, S.; Vincent, R.K. Evaluating pixel-based vs. object-based image analysis approaches for lithological discrimination using VNIR data of WorldView-3. Frontiers of Earth Science 2021, 15, 38–53. [Google Scholar] [CrossRef]
- Peyghambari, S.; Zhang, Y. Hyperspectral remote sensing in lithological mapping, mineral exploration, and environmental geology: an updated review. Journal of Applied Remote Sensing 2021, 15, 031501. [Google Scholar] [CrossRef]
- Meng, Z. Lithology Discrimination Using Sentinel-1 Dual-Pol Data and SRTM Data. Remote Sensing 2021, 13. [Google Scholar] [CrossRef]
- Wang, Z.; Xu, J.; Shi, X.; Wang, J.; Zhang, W.; Zhang, B. Landslide inventory in the downstream of the Niulanjiang River with ALOS PALSAR and Sentinel-1 datasets. Remote Sensing 2022, 14, 2873. [Google Scholar] [CrossRef]
- Kraus, K.; Pfeifer, N. Determination of terrain models in wooded areas with airborne laser scanner data. 1998, 53, 193–203. [CrossRef]
- Wen, Y. X.; Lei, L.; Yan, F.D. Lithology Identification in Changji Area, Eastern Tianshan, Xinjiang using GF-1 and Landsat 8 data. Remote Sensing Technology and Application 2022. [Google Scholar]
- Lu, J.; Han, L.; Liu, L.; Wang, J.; Xia, Z.; Jin, D.; Zha, X. Lithology classification in semi-arid area combining multi-source remote sensing images using support vector machine optimized by improved particle swarm algorithm. International Journal of Applied Earth Observation and Geoinformation 2023, 119, 103318. [Google Scholar] [CrossRef]
- Sun, Y.; Liu, J.; Zhao, Y.; Zhai, D.; Liu, Z.; Zhang, Y.; Zhang, F.; Tian, F.; Qin, K. Alteration mineral mapping based on the GF-5 hyperspectral data and its geological application——An example of the Huaniushan area in Guazhou County of Gansu Province. Geology in China, 2022, 49, 558–574. [Google Scholar]
- Du, X.; Feng, W.; Yang, Q. The Supervised Classification of Lithology Based on ZY-3 Image. Resources Environment & Engineering 2018, 32, 291–295. [Google Scholar]
- Grebby, S.; Cunningham, D.; Tansey, K.; Naden, J. The impact of vegetation on lithological mapping using airborne multispectral data: a case study for the north Troodos Region, Cyprus. Remote Sensing 2014, 6, 10860–10887. [Google Scholar] [CrossRef]
- Watson, K.; Hummer-Miller, S.; Offield, T.W. Geologic applications of thermal-inertia mapping from satellite; US Department of the Interior, Geological Survey: 1981.
- Wei, J.; Liu, X.; Ding, C.; Liu, M.; Jin, M.; Li, D. Developing a thermal characteristic index for lithology identification using thermal infrared remote sensing data. Advances in space research 2017, 59, 74–87. [Google Scholar] [CrossRef]
- Hahm, W.J.; Riebe, C.S.; Lukens, C.E.; Araki, S. Bedrock composition regulates mountain ecosystems and landscape evolution. Proceedings of the National Academy of Sciences 2014, 111, 3338–3343. [Google Scholar] [CrossRef] [PubMed]
- Klos, P.Z.; Goulden, M.L.; Riebe, C.S.; Tague, C.L.; O’Geen, A.T.; Flinchum, B.A.; Safeeq, M.; Conklin, M.H.; Hart, S.C.; Berhe, A.A. Subsurface plant-accessible water in mountain ecosystems with a Mediterranean climate. Wiley Interdisciplinary Reviews: Water 2018, 5, e1277. [Google Scholar] [CrossRef]
- Hahm, W.J.; Rempe, D.M.; Dralle, D.N.; Dawson, T.E.; Lovill, S.M.; Bryk, A.B.; Bish, D.L.; Schieber, J.; Dietrich, W.E. Lithologically controlled subsurface critical zone thickness and water storage capacity determine regional plant community composition. Water Resources Research 2019, 55, 3028–3055. [Google Scholar] [CrossRef]
- Alekseev, A.; Chernikhovskii, D. Assessment of the health status of tree stands based on Sentinel-2B remote sensing materials and the short-wave vegetation index SWVI. In Proceedings of the IOP Conference Series: Earth and Environmental Science; 2021; p. 012003. [Google Scholar]
- Othman, A.A.; Gloaguen, R. Integration of spectral, spatial and morphometric data into lithological mapping: A comparison of different Machine Learning Algorithms in the Kurdistan Region, NE Iraq. Journal of Asian Earth Sciences 2017, 146, 90–102. [Google Scholar] [CrossRef]
- Howard, A.D. Geomorphological systems; equilibrium and dynamics. American Journal of Science 1965, 263, 302–312. [Google Scholar] [CrossRef]
- Gallen, S.F. Lithologic controls on landscape dynamics and aquatic species evolution in post-orogenic mountains. Earth and Planetary Science Letters 2018, 493, 150–160. [Google Scholar] [CrossRef]
- Hou, W.; Gao, J. Spatially variable relationships between karst landscape pattern and vegetation activities. Remote Sensing 2020, 12, 1134. [Google Scholar] [CrossRef]
- Andreani, L.; Stanek, K.P.; Gloaguen, R.; Krentz, O.; Domínguez-González, L. DEM-based analysis of interactions between tectonics and landscapes in the Ore Mountains and Eger Rift (East Germany and NW Czech Republic). Remote Sensing 2014, 6, 7971–8001. [Google Scholar] [CrossRef]
- Haralick, R.M.; Shanmugam, K.; Dinstein, I.H. Textural features for image classification. IEEE Transactions on systems, man, and cybernetics 1973, 610–621. [Google Scholar] [CrossRef]
- Aguirre-Gutiérrez, J.; Seijmonsbergen, A.C.; Duivenvoorden, J.F. Optimizing land cover classification accuracy for change detection, a combined pixel-based and object-based approach in a mountainous area in Mexico. Applied Geography 2012, 34, 29–37. [Google Scholar] [CrossRef]
- Carli, C.; Sgavetti, M. Spectral characteristics of rocks: Effects of composition and texture and implications for the interpretation of planet surface compositions. Icarus 2011, 211, 1034–1048. [Google Scholar] [CrossRef]
- Gebejes, A.; Huertas, R. Texture characterization based on grey-level co-occurrence matrix. Databases 2013, 9, 375–378. [Google Scholar]
- Harris, J.; Rogge, D.; Hitchcock, R.; Ijewliw, O.; Wright, D. Mapping lithology in Canada’s Arctic: application of hyperspectral data using the minimum noise fraction transformation and matched filtering. Canadian Journal of Earth Sciences 2005, 42, 2173–2193. [Google Scholar] [CrossRef]
- Otele, C.G.A.; Onabid, M.A.; Assembe, P.S.; Nkenlifack, M. Updated lithological map in the Forest zone of the Centre, South and East regions of Cameroon using multilayer perceptron neural network and Landsat images. Journal of Geoscience and Environment Protection 2021, 9, 120–134. [Google Scholar] [CrossRef]
- Zha, F.; Ma, M.; Chen, S.; Liu, Y.; Li, Y.; Huang, S. Remote sensing lithological classification of mulispectral data beased on the vegetation inhibition method in the vegetation coverage area. Earth Science—Joornal of China University of Geoscience 2015, 40, 1403–1408. [Google Scholar]
- Traore, M.; Wambo, J.D.T.; Ndepete, C.P.; Tekin, S.; Pour, A.B.; Muslim, A.M. Lithological and alteration mineral mapping for alluvial gold exploration in the south east of Birao area, Central African Republic using Landsat-8 Operational Land Imager (OLI) data. Journal of African Earth Sciences 2020, 170, 103933. [Google Scholar] [CrossRef]
- Pour, A.B.; Hashim, M.; van Genderen, J. Detection of hydrothermal alteration zones in a tropical region using satellite remote sensing data: Bau goldfield, Sarawak, Malaysia. Ore Geology Reviews 2013, 54, 181–196. [Google Scholar] [CrossRef]
- Zhang, X.; Li, C.; Zhang, J.; Chen, Q.; Zhou, H. Hyperspectral Unmixing via Low-Rank Representation with Space Consistency Constraint and Spectral Library Pruning. Remote Sensing 2018, 10, 339. [Google Scholar] [CrossRef]
- Somers, B.; Asner, G.P.; Tits, L.; Coppin, P. Endmember variability in spectral mixture analysis: A review. Remote Sensing of Environment 2011, 115, 1603–1616. [Google Scholar] [CrossRef]
- Keshava, N. A survey of spectral unmixing algorithms. Lincoln laboratory journal 2003, 14, 55–78. [Google Scholar]
- Keshava, N.; Mustard, J.F. Spectral unmixing. IEEE signal processing magazine 2002, 19, 44–57. [Google Scholar] [CrossRef]
- Ma, C.; Lin, Q.; Ma, J.; Wang, Z. Methodology Study of Compensated Replacement for Quantitatively Removing Vegetation Effect. Journal of Image and Graphics 1999, 26–29. [Google Scholar]
- Zhang, S. Overview of algorithms and applications of support vector machines. Journal of Jiangsu Institute of Technology 2016, 22, 14–17. [Google Scholar]
- Melgani, F.; Bruzzone, L. Classification of hyperspectral remote sensing images with support vector machines. IEEE Transactions on geoscience and remote sensing 2004, 42, 1778–1790. [Google Scholar] [CrossRef]
- Mountrakis, G.; Im, J.; Ogole, C. Support vector machines in remote sensing: A review. ISPRS journal of photogrammetry and remote sensing 2011, 66, 247–259. [Google Scholar] [CrossRef]
- Pal, M.; Mather, P.M. Support vector machines for classification in remote sensing. International journal of remote sensing 2005, 26, 1007–1011. [Google Scholar] [CrossRef]
- Wen, Y.; Wang, Y; Lv, B. ; Chen, Y. Survey of Applying Support Vector Machines to Handle Large-scale Problems. Computer Science 2009, 36, 20–25. [Google Scholar] [CrossRef]
- Breiman, L. Random forests. Machine learning 2001, 45, 5–32. [Google Scholar] [CrossRef]
- Harris, J.; Grunsky, E.C. Predictive lithological mapping of Canada's North using Random Forest classification applied to geophysical and geochemical data. Computers & geosciences 2015, 80, 9–25. [Google Scholar] [CrossRef]
- Peña-Arancibia, J.L.; McVicar, T.R.; Paydar, Z.; Li, L.; Guerschman, J.P.; Donohue, R.J.; Dutta, D.; Podger, G.M.; van Dijk, A.I.; Chiew, F.H. Dynamic identification of summer cropping irrigated areas in a large basin experiencing extreme climatic variability. Remote sensing of environment 2014, 154, 139–152. [Google Scholar] [CrossRef]
- Vogels, M.F.; de Jong, S.M.; Sterk, G.; Addink, E.A. Mapping irrigated agriculture in complex landscapes using SPOT6 imagery and object-based image analysis–A case study in the Central Rift Valley, Ethiopia–. International Journal of Applied Earth Observation and Geoinformation 2019, 75, 118–129. [Google Scholar] [CrossRef]
- Liu, H.; Wu, K.; Xu, H.; Xu, Y. Lithology Classification Using TASI Thermal Infrared Hyperspectral Data with Convolutional Neural Networks. Remote Sensing 2021, 13, 3117. [Google Scholar] [CrossRef]
- Robson, B.A.; Bolch, T.; Macdonell, S.; Hlbling, D.; Schaffer, N. Automated detection of rock glaciers using deep learning and object-based image analysis. Remote Sensing of Environment 2020, 250. [Google Scholar] [CrossRef]
- Popescu, M.-C.; Balas, V.E.; Perescu-Popescu, L.; Mastorakis, N. Multilayer perceptron and neural networks. WSEAS Transactions on Circuits and Systems 2009, 8, 579–588. [Google Scholar]
- Delashmit, W.H.; Manry, M.T. Recent developments in multilayer perceptron neural networks. In Proceedings of the Proceedings of the seventh annual memphis area engineering and science conference, MAESC, 2005; pp. 1–15.
- F, Q.Y.A.D.; E, H.S.B.D.; B, T.L.; B, Z.L.; A, S.L.; B, Y.J.; A, H.X.; C, W.T.; A, Q.Y.; A, J.W. Deep learning in environmental remote sensing: Achievements and challenges. Remote Sensing of Environment 2020, 241. [Google Scholar] [CrossRef]
- Maggiori, E.; Tarabalka, Y.; Charpiat, G.; Alliez, P. Convolutional neural networks for large-scale remote-sensing image classification. IEEE Transactions on geoscience and remote sensing 2016, 55, 645–657. [Google Scholar] [CrossRef]
- Atkinson, P.M.; Lewis, P. Geostatistical classification for remote sensing: an introduction. Computers & Geosciences 2000, 26, 361–371. [Google Scholar] [CrossRef]
- Blaschke, T. Object based image analysis for remote sensing. ISPRS journal of photogrammetry and remote sensing 2010, 65, 2–16. [Google Scholar] [CrossRef]
- Cui, S.; Yao, F. Application of PALSAR data in structural information extraction in vegetated area. Geospatial Information 2019, 17, 6–9. [Google Scholar] [CrossRef]
- Shebl, A.; Abdellatif, M.; Hissen, M.; Abdelaziz, M.I.; Csámer, Á. Lithological mapping enhancement by integrating Sentinel 2 and gamma-ray data utilizing support vector machine: A case study from Egypt. International Journal of Applied Earth Observation and Geoinformation 2021, 105, 102619. [Google Scholar] [CrossRef]
- Salehi, S.; Mielke, C.; Brogaard Pedersen, C.; Dalsenni Olsen, S. Comparison of ASTER and Sentinel-2 spaceborne datasets for geological mapping: a case study from North-East Greenland. Geological Survey of Denmark and Greenland Bulletin 2019, 43. [Google Scholar] [CrossRef]
- He, J.; Harris, J.; Sawada, M.; Behnia, P. A comparison of classification algorithms using Landsat-7 and Landsat-8 data for mapping lithology in Canada’s Arctic. International Journal of Remote Sensing 2015, 36, 2252–2276. [Google Scholar] [CrossRef]
- Disha, R.A.; Waheed, S. Performance analysis of machine learning models for intrusion detection system using Gini Impurity-based Weighted Random Forest (GIWRF) feature selection technique. Cybersecurity 2022, 5, 1. [Google Scholar] [CrossRef]
- Yin, Y.; Jang-Jaccard, J.; Xu, W.; Singh, A.; Zhu, J.; Sabrina, F.; Kwak, J. IGRF-RFE: a hybrid feature selection method for MLP-based network intrusion detection on UNSW-NB15 dataset. Journal of Big Data 2023, 10, 1–26. [Google Scholar] [CrossRef]
- AL-Alimi, D.; Al-qaness, M.A.; Cai, Z.; Dahou, A.; Shao, Y.; Issaka, S. Meta-learner hybrid models to classify hyperspectral images. Remote Sensing 2022, 14, 1038. [Google Scholar] [CrossRef]
- Fırat, H.; Asker, M.E.; Bayındır, M.İ.; Hanbay, D. Hybrid 3D/2D complete inception module and convolutional neural network for hyperspectral remote sensing image classification. Neural Processing Letters 2023, 55, 1087–1130. [Google Scholar] [CrossRef]
- Cheng, G.; Xie, X.; Han, J.; Guo, L.; Xia, G.-S. Remote sensing image scene classification meets deep learning: Challenges, methods, benchmarks, and opportunities. IEEE Journal of Selected Topics in Applied Earth Observations and Remote Sensing 2020, 13, 3735–3756. [Google Scholar] [CrossRef]
- Lalitha, V.; Latha, B. A review on remote sensing imagery augmentation using deep learning. Materials Today: Proceedings 2022, 62, 4772–4778. [Google Scholar] [CrossRef]
- He, Y.L.; Li, X.Y.; Ma, J.H.; Lu, S.; Zhu, Q.X. A novel virtual sample generation method based on a modified conditional Wasserstein GAN to address the small sample size problem in soft sensing. Journal of Process Control 2022, 113, 18–28. [Google Scholar] [CrossRef]
- Peirelinck, T.; Kazmi, H.; Mbuwir, B.V.; Hermans, C.; Spiessens, F.; Suykens, J.; Deconinck, G. Transfer learning in demand response: A review of algorithms for data-efficient modelling and control. Energy and AI 2022, 7, 100126. [Google Scholar] [CrossRef]
- Yao, S.; Kang, Q.; Zhou, M.; Rawa, M.J.; Abusorrah, A. A survey of transfer learning for machinery diagnostics and prognostics. Artificial Intelligence Review 2023, 56, 2871–2922. [Google Scholar] [CrossRef]
- Wang, X.; Yi, J.; Guo, J.; Song, Y.; Lyu, J.; Xu, J.; Yan, W.; Zhao, J.; Cai, Q.; Min, H. A review of image super-resolution approaches based on deep learning and applications in remote sensing. Remote Sensing 2022, 14, 5423. [Google Scholar] [CrossRef]
- Yao, Y.; Zhang, Y.; Wan, Y.; Liu, X.; Yan, X.; Li, J. Multi-modal remote sensing image matching considering co-occurrence filter. IEEE Transactions on Image Processing 2022, 31, 2584–2597. [Google Scholar] [CrossRef] [PubMed]
- Liu, Y.; Fan, B.; Wang, L.; Bai, J.; Xiang, S.; Pan, C. Semantic Labeling in Very High Resolution Images via a Self-Cascaded Convolutional Neural Network. ISPRS Journal of Photogrammetry and Remote Sensing 2018, 145, 78–95. [Google Scholar] [CrossRef]
- Bai, L.; Du, S.; Zhang, X.; Wang, H.; Liu, B.; Ouyang, S. Domain adaptation for remote sensing image semantic segmentation: An integrated approach of contrastive learning and adversarial learning. IEEE Transactions on Geoscience and Remote Sensing 2022, 60, 1–13. [Google Scholar] [CrossRef]
- Luo, M.; Zhou, Y; Tang, F. Soil properties of carbonate rocks under different vegetation types. Carsologica Sinica 2023, 42, 277–289. [Google Scholar] [CrossRef]








| ASTER | Radiometer | Resolution (m) |
Wavelength (µm) |
Wave-width (nm) | S/N |
|---|---|---|---|---|---|
| Band 1 | VNIR | 15 | 0.52–0.60 | 90 | ≥140% |
| Band 2 | 0.63–0.69 | 60 | ≥140% | ||
| Band 3 | 0.76–0.86 | 100 | ≥140% | ||
| Band 4 | SWIR | 30 | 1.60–1.70 | 92 | ≥140% |
| Band 5 | 2.145–2.185 | 35 | ≥54% | ||
| Band 6 | 2.185–2.225 | 40 | ≥54% | ||
| Band 7 | 2.235–2.285 | 47 | ≥54% | ||
| Band 8 | 2.295–2.365 | 70 | ≥70% | ||
| Band 9 | 2.360–2.430 | 68 | ≥54% | ||
| Band 10 | TIR | 90 | 8.125–8.475 | 344 | ≤0.3K |
| Band 11 | 8.475–8.825 | 347 | ≤0.3K | ||
| Band 12 | 8.925–9.275 | 361 | ≤0.3K | ||
| Band 13 | 10.25–10.95 | 667 | ≤0.3K | ||
| Band 14 | 10.95–11.65 | 593 | ≤0.3K |
| Sentinel 2 | Band | Wavelength(nm) | resolution(m) |
|---|---|---|---|
| Band 1 | Aerosols | 443.9nm (S2A) / 442.3nm (S2B) | 60 |
| Band 2 | Blue | 496.6nm (S2A) / 492.1nm (S2B) | 10 |
| Band 3 | Green | 560nm (S2A) / 559nm (S2B) | 10 |
| Band 4 | Red | 664.5nm (S2A) / 665nm (S2B) | 10 |
| Band 5 | Red edge 1 | 703.9nm (S2A) / 703.8nm (S2B) | 20 |
| Band 6 | Red edge 2 | 740.2nm (S2A) / 739.1nm (S2B) | 20 |
| Band 7 | Red edge 3 | 782.5nm (S2A) / 779.7nm (S2B) | 20 |
| Band 8 | NIR | 835.1nm (S2A) / 833nm (S2B) | 10 |
| Band 8A | Red edge 4 | 864.8nm (S2A) / 864nm (S2B) | 20 |
| Band 9 | Water vapor | 945nm (S2A) / 943.2nm (S2B) | 60 |
| Band 10 | Cirrus | 1373.5nm (S2A) / 1376.9nm (S2B) | 60 |
| Band 11 | SWIR 1 | 1613.7nm (S2A) / 1610.4nm (S2B) | 20 |
| Band 12 | SWIR 2 | 2202.4nm (S2A) / 2185.7nm (S2B) | 20 |
| Satellite | Band Range | SR (m) | R (day) | Swath(km) | OA | LT | reference |
|---|---|---|---|---|---|---|---|
| GF-1 | blue, green, red, MIR | 2/8 | 5 | 90/800 | 645km | 2013/4/26 | [40] |
| GF-2 | blue,green, red,NIR | 0.8/2 | 3-5 | 45/16 | 645km | 2014/8/19 | [86] |
| GF-3 | X, S, C, L | 1/3/8/25 | 1-4 | 30-40 | 755km | 2016/8/10 | [86] |
| GF-5 | VNIR,SWIR, MWIR | 30 | 16 | 60 | 705km | 2018/5/9 | [87] |
| HJ-1A CCD | VNIR | 30 | 700 | 2008/9/6 | [53] | ||
| ZY-1 02D | VNIR, SWIR | 30 | 55 | 60 | 705km | 2019/9/12 | [38] |
| ZY-3 | full-color, multi-spectral | 2.1/3.5/6 | 5/3 | 51/52 | 505km | 2012/1/9 | [88] |
| classifer | Hyperion | ASTER | Landsat 8 | Combined |
|---|---|---|---|---|
| MD | 49.02 | 66.82 | 63.55 | |
| SAM | 71.24 | 45.21 | 47.16 | |
| SID | 66.43 | 42.38 | 48.22 | |
| SVM | 87.03 | 64.89 | 60.79 | |
| MAXW | 71.98 | 54.21 | 60.78 | 70.80 |
| proposed | 91.93 | 75.90 | 67.16 | 93.22 |
| variable | MLC | SOM | |||
|---|---|---|---|---|---|
| OA(%) | Kappa | OA(%) | Kappa | ||
| ATM 9 | 61.6 | 0.50 | 60.3 | 0.48 | |
| ATM PCA | 51.4 | 0.37 | 50.2 | 0.35 | |
| ATM MNF | 59.3 | 0.46 | 65.5 | 0.54 | |
| ATM-Li | 61.9 | 0.50 | 70.2 | 0.60 | |
| ATM-Li MNF | 60.8 | 0.49 | 72.7 | 0.63 | |
| SAM | SID | FCLSU | SVM | RF | NN | 1D CNN | 2D CNN | 3D CNN | |
|---|---|---|---|---|---|---|---|---|---|
| OA | 75.87 | 72.12 | 73.42 | 84.68 | 86.01 | 81.27 | 84.38 | 94.18 | 94.70 |
| Kappa | 0.64 | 0.59 | 0.63 | 0.77 | 0.79 | 0.78 | 0.77 | 0.91 | 0.92 |
Disclaimer/Publisher’s Note: The statements, opinions and data contained in all publications are solely those of the individual author(s) and contributor(s) and not of MDPI and/or the editor(s). MDPI and/or the editor(s) disclaim responsibility for any injury to people or property resulting from any ideas, methods, instructions or products referred to in the content. |
© 2023 by the authors. Licensee MDPI, Basel, Switzerland. This article is an open access article distributed under the terms and conditions of the Creative Commons Attribution (CC BY) license (http://creativecommons.org/licenses/by/4.0/).
