Preprint
Article

This version is not peer-reviewed.

Unearthing Soil Structure Dynamics under Long-Term No-Tillage System in Clayey Soils

A peer-reviewed article of this preprint also exists.

Submitted:

26 July 2023

Posted:

27 July 2023

You are already at the latest version

Abstract
Soil structure is a sensitive and dynamic soil physical property which responds rapidly to different tillage systems, and thus it requires constant monitoring and evaluation. The visual evaluation of soil structure (VESS) and subsoil visual evaluation of soil structure (SubVESS) methods were used to assess the soil structure quality of clayey soils subjected to different tillage systems. The tillage systems were no-tillage (NT), conventional tillage (CT) and virgin land (VG). The study was conducted at Tshivhilwi and Dzingane in Thohoyandou, Vhembe District, Limpopo Province, South Africa. The NT system was practised for 8 and 40+ years at Tshivhilwi and Dzingahe, respectively. The results showed no impact of tillage system on both VESS and SubVESS at Tshivhilwi. The soil structure quality at Tshivhilwi as determined by VESS and SubVESS were found to be poor. However, at Dzingahe, both the VESS and SubVESS responded to the impact of tillage. At Dzingahe VESS showed a fair (Sq = 2.25) soil structural quality in the NT system, poor (Sq = 3.57) in the CT system and moderately poor (Sq = 3.05) in the VG. Similarly, at the same location the SubVESS scores were moderately good in the NT system, moderately poor for CT system and fair in the VG. The differences in the response of the VESS and SubVESS at the two locations were attributed to the differences in the duration at which the NT systems were practised. The VESS and SubVESS results were supported by selected measured soil physicochemical properties such as bulk density and porosity. In conclusion, the findings of this study showed that the VESS and SubVESS were able to effectively differentiate the impact of tillage systems on soil structural quality in clayey soils where NT was practised for a long period (40+ years) while it could not where NT was practised for a few years (8 years).
Keywords: 
;  ;  ;  ;  

1. Introduction

Soil structure is a sensitive and dynamic soil physical property which rapidly responds to management practices, land use changes, moisture and temperature regimes (Yudina and Kuzyakov, 2023). As a result, it requires frequent assessment and monitoring. It is most regularly assessed when evaluating soil quality under various tillage systems and land uses (Pulido Moncada et al., 2014) and is regarded as a general soil quality indicator (Ball et al. (2017). Soils respond differently to management practices and land uses, thus, the resultant soil structure can influence other soil properties such aeration, water retention, availability and movement. Soil tillage system is a major contributor of soil structural modifications (Li et al., 2019; Liu et al., 2021; Pires et al., 2017; Tian et al., 2022). Therefore, assessing soil structural quality is a key component of soil monitoring and soil quality assessment (Leopizzi et al., 2018).
The procedures used for quantifying soil structural parameters are generally expensive as they need complicated equipment. They are also time consuming and require an indepth knowledge of soil science. Soil structure is also commonly assessed using qualitative methods such as characterising it on the basis of class, grade and type (Dı́az-Zorita et al., 2002), which lacks details on the state of its quality. All these may lead to farmers and land users neglecting soil structure in routine soil characterization. However, there are developed semi-quantitative visual methods that have the potential to provide a more detailed assessment. Thus, the need to promote and test the applicability and effectiveness of these cheaper, simple and quick visual methods of evaluating soil structure.
The primary visual methods of assessing soil structure focus on describing rooting, soil aggregates, and porosity (Ball et al., 2017), one of them is the Visual Evaluation of Soil Structure (VESS). The VESS method was developed to assess soil structural quality using a description chart to compare aggregate and root features to assign a soil quality score (Guimarães et al., 2017). The VESS scores reflects the effect of agricultural management practices such as tillage on soil quality (Askari et al., 2013). Numerous methods developed for topsoil visual assessment like VESS put more emphasis on compaction status (Ball et al., 2015). The depth of topsoil evaluation with VESS is 0 – 30 cm whereas the depth of subsoil visual evaluation with the SubVESS method is variable but the upper limit is 30 cm (Ball et al., 2015). VESS has been validated with its application together with some soil physical, chemical, and biological properties and has proven to be effective in assessing soil structure quality therefore soil quality (Cherubin et al., 2017; Emmet-Booth et al., 2020; Pulido Moncada et al., 2014; Purnama et al., 2022; Ramos et al., 2022; Tuchtenhagen et al., 2018). Using VESS will enable farmers and land users to frequently assess and monitor soil quality as it is cheap, easy to execute and rapid. But, in some cases, further quantification of related parameters such as bulk density, aggregate stability, and porosity may be necessary. Despite their reported effectiveness, both VESS and SubVESS are not commonly used and have not been tested enough especially on subtropical clayey soils.
Tillage system can influence changes in soil structure characteristics (Tian et al., 2022). Conservation (i.e. No-tillage) and conventional tillage systems both have an impact on the soil that may alter its structure regardless of the texture. However, soil texture on the other hand contributes to the formation of different types of soil structures. Tillage systems gradually modify soil physical properties which can lead to increased soil compaction (Martins et al., 2021). Conventional tillage temporarily encourages larger soil pores compared to a no-tillage system, especially in the topsoil layer (Fernandes et al., 2023). Conventional tillage operations loosen the soil by breaking the aggregates or creating micro-aggregates, which may lead to decreased porosity therefore affecting the permeability of the soil. Soil structural changes that results from conventional soil preparation affect bulk density, porosity, water retention, and storage, aeration as well as aggregate stability (Filho and Tessier, 2009). No-tillage system can over time cause soil structural changes that may have a negative or positive impact on some of these parameters. Topa et al. (2021) indicated that the adoption of no-tillage have challenges such soil compaction and stratification of organic matter. There is a variability in the execution of these tillage systems more especially no-tillage, hence their impacts are not universally common.
The main purpose of this study was to assess the impact of long term no-tillage on soil structure quality in clayey soils. The study hypothesises that the impact of tillage systems on visual soil structural quality in clayey soils will vary significantly based on the type of tillage used.

2. Materials and methods

2.1. Site description

The study was carried out at two locations in Thohoyandou, Vhembe district, Limpopo province, South Africa. Location 1: Tshivhilwi (22°50'54"S, 30°38'38"E, 512 m above sea level), the no-tillage field was 6 ha with maize planted throughout the year in rotation with legumes and vegetables under irrigation. Maize was the only crop cultivated in the conventional tillage field. Location 2: Dzingahe (22°55'32"S, 30°31'00"E, 662 m above sea level); the no-tillage field was 2 ha with main crops being maize and ground nuts intercropped under dryland. Maize was the only crop cultivated in the conventional tillage field. The virgin fields at both locations were never cultivated, however, livestock belonging to the local community was allowed to graze. The No-tillage fields in Tshivhilwi and Dzingahe were 8 and 40+ years respectively. While the number of years for conventional tillage fields is unknown but it is estimated to be about 50 years. Both study sites have an average annual rainfall of 762 mm, minimum temperature of 15 °C, and maximum temperature of 28 °C.

2.2. Soil sampling

Soil samples were collected from fields under no-tillage (NT), conventional (CT) and virgin (VG) land tillage systems in different locations.. The virgin (VG) field was used as a control treatment at each location. Five sampling points were randomly selected in each field per location. The sampling depths were 0 – 30 cm and 30 – 60 cm. A total of sixty soil samples were collected (30 topsoil and 30 subsoil) from both locations. The visual (i.e. VESS and SubVESS) methods were used to assess soil structure quality in the field, and other selected soil parameters were also analyzed in the laboratory to validate the outcome of the visual observations.

2.3. VESS and SubVESS

Soil pits (1 m x 1 m x 0.7. m) were dug to carry out the visual assessment of soil structure quality in the field with VESS (Ball et al., 2007; Guimarães et al., 2011) and SubVESS (Ball et al., 2015) methods. The VESS method was used to assess soil structure in the topsoil (0-30 cm) based on the key parameters namely aggregates, porosity, and roots then the score rating from Sq 1 to Sq5 (Sq1 - 2=good, Sq2 - 3=fair, Sq3 - Sq5=poor) was assigned. The SubVESS method was used to assess soil structure in the subsoil (0-30 cm) based on key parameters namely mottling, strength, porosity, roots, and aggregates then the score rating from Ssq 1 to Ssq5 (Ssq1 - 3=good, Ssq4= fair, Ssq5=poor) was assigned.

2.4. Data collection

Soil bulk density (BD) was determined by collecting samples with stainless cylindrical core samplers with an internal diameter of 5 cm and 5 cm height from each field at 0-30 cm and 30 – 60 cm depths. The cylindrical cores were used to measure the bulk density as the mass in grams of oven-dried soil per volume of core in cubic centimeters. The bulk density was then calculated using the obtained oven-dry mass of each sample and the volume of the core (Jabro et al., 2016). After calculating the BD, the pore percentage was then calculated using the bulk density values with the formula: %porosity = 1 B u l k   d e n s i t y P a r t i c l e   d e n s i t y   * 100 . Particle size distribution was determined by Bouyoucos method (Bouyoucos, 1962). Soil organic carbon was analyzed using Walkley & Black method (Meersmans et al., 2009) Soil pH was measured with a pH meter model Lab 845 Set / BL19 pH in a 1:2.5 (ν/ν) soil: water and soil: KCl solution suspension. Soil electrical conductivity (EC) was measured with a conductivity meter model Lab 945 Set / LF435T in 1:2.5 (v/v) soil: water suspension (Okalebo et al., 2002).

2.5. Statistical analysis

The collected data were subject to analysis of variance (ANOVA) at a 95% confidence interval (p ≤ 0.05) to compare the parameters measured between the fields per location using IBM SPSS statistics 29.0 statistical software. The Pearson correlation coefficient was used to check the relationship between the parameters per location. The means of the measured parameters between locations per field were compared using the Independent-Samples T-test at a 95% confidence interval (p ≤ 0.05).

3. Results

3.1. VESS and SubVESS as influenced by tillage system.

At Tshivhilwi, VESS (Sq) and SubVESS (Ssq) scores did not show any significant differences between the tillage systems. VESS (Sq) scores were poor for all tillage systems (NT (3.53), CT (4.12) and VG (3.67). Even though no significant difference were observed, NT had the lowest score and CT had the highest. The SubVESS (Ssq) scores were also poor with an equal values of 5 for all tillage systems (Figure 1a). At Dzingahe, VESS (Sq) scores varied significantly between NT and CT but there was no significant difference between NT & VG and CT & VG tillage systems. The VESS (Sq) scores were fair (2.25) for NT , and poor for CT (3.57) and VG (3.05) f. No-tillage showed a better topsoil structure quality than CT. SubVESS (Ssq) scores did not show a significant difference between the tillage systems. SubVESS (Ssq) scores were moderately good for NT and VG , and to moderately poor for CT. No-tillage field had a better subsoil structure compared to CT (Figure 1b).

3.2. Soil physico-chemical properties.

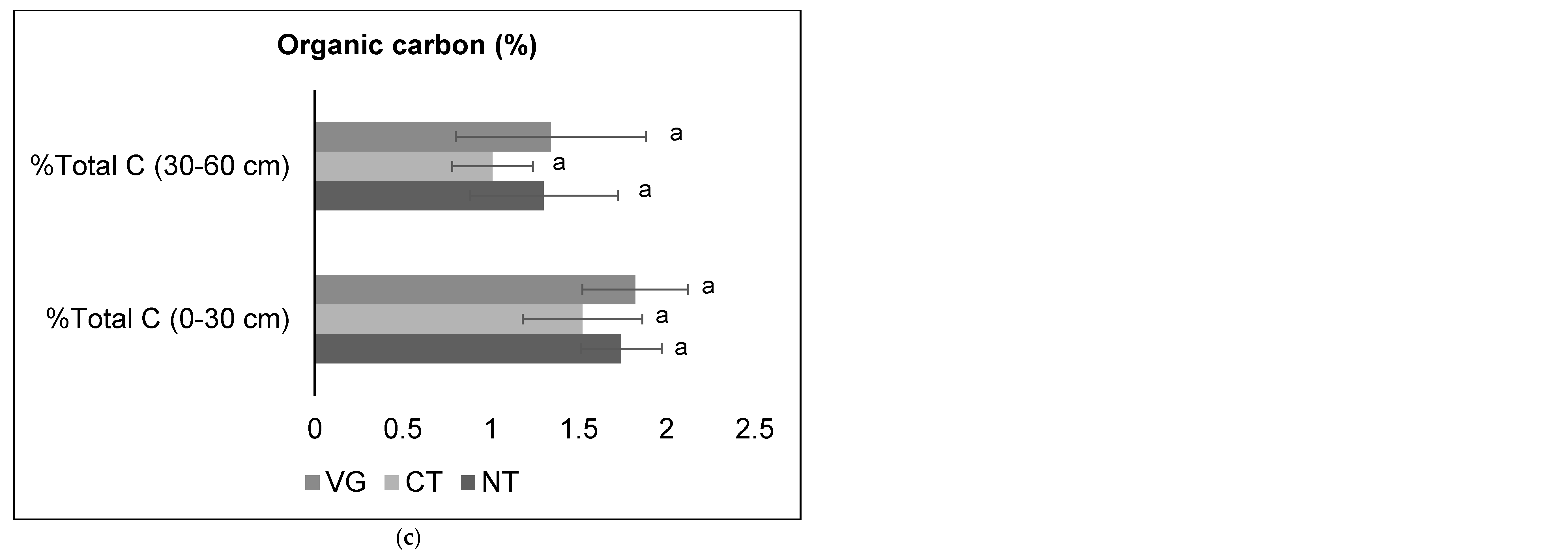
At Tshivhilwi, the bulk density (BD) showed no significant differences between the tillage systems in the 0 – 30 cm soil depth with values ranging from 1.32 g/cm3 to 1.38 g/cm3. No-tillage field had the lowest (1.32 g/cm3) and CT highest (1.38 g/cm3) value. On the other hand BD varied significantly between the tillage systems in the 30 – 60 cm soil depth. Convetional tillage had the highest BD (1.57 g/cm3) value followed by the VG (1.39 g/cm3) and the least was the NT (1.23 g/cm3) (Figure 3a). Porosity did not vary significantly between the tillage systems in the 0 – 30 cm soil depth, the pore percentage ranged from 46.56 to 48.43%. In the 30 – 60 cm soil depth porosity indicated significant difference between NT & CT and NT & VG, however, there was no significant difference between CT & VG. No-tillage had the highest porosity (52.38%) followed by the VG (45.35%) and the lowest was the CT (40.81%) (Figure 2b). Organic carbon (OC) was non-significant in all the fields in both soil depths. However, VG had highest OC in both depths followed by NT and CT had the lowest. The values ranged from 1.52 to 1.82% in the 0 – 30 cm soil depth and 1.01 to 1.34% in the 30 – 60 cm soil depth (Figure 2c). Clay percentage in all tillage systems in the 0 – 30 cm soil depth did not show any significant difference. The pH (water and KCl) was non-significant and acidic (6.52 – 6.67 and 5.10 – 5.42 respectively) in the three fields at 0 – 30 cm soil depth whereas in the 30 – 60 cm soil depth it was ranging from acidic to slightly alkaline (5.45 – 5.67 and 6.71 – 7.22 respectively). The EC was also non-significant difference and ranged from 0.24 to 0.34 mS/cm for 0 – 30 cm and from 0.20 to 0.32 mS/m for 30 – 60 cm soil depth and the soils were non-saline (Table 1).
At Dzingahe, BD differed significantly between NT & VG and CT & VG in the 0 – 30 cm and 30 – 60 cm soil depths. No significant difference between NT & CT was observed for both soil depths. The VG had the highest BD (1.32 g/cm3) followed by the CT (1.22 g/cm3) and NT (1.19 g/cm3) had the lowest in the 0 – 30 cm soil depth. The same trend was observed in the 30 – 60 cm soil depth with VG (1.44 g/cm3), CT (1.26 g/cm3) and NT (1.20 g/cm3) (Figure 3a). Porosity varied significantly between NT and VG in 0 – 30 cm soil depth and between NT & VG and CT & VG fields in 30 – 60 cm soil depth. There was no significant difference between NT & CT and CT & VG in the 0 – 30 cm soil depth and NT & CT in 30 – 60 cm soil depth. No-tillage had the highest porosity (55.10%) and the VG (50.35%) had the lowest in the 0 – 30 cm soil depth. NT (53.31%) and CT (53.62%) did not differ much but had higher porosity compared to VG (47.65%) in the 30 – 60 cm soil depth (Figure 3b). There was no significant variation in OC between all tillage systems in the 0 – 30 cm soil depth. Organic carbon varied significantly between CT & VG in the 30 – 60 cm depth, while there was no significant difference between NT & CT and NT & VG. Conventional tillage (2.42 and 1.51%) had the highest OC followed by the NT (2.32 and 1.42%) and the VG (1.92 and 1.00%) had the lowest in both depths (Figure 3c). The pH (water and KCl) was acidic (6.18 – 6.53 and 4.64 – 5.33) in all fields and depths, while the EC showed that the soils are non-saline (0.20 – 0.24 and 0.16 – 0.22) mS/cm) (Table 2).

3.2. Pearson correlations between soil hysicochemical properties at Tshivhilwi and Dzingahe

At Tshivhilwi the correlation of the VESS score with BD, OC, silt, and sand in the 0 – 30 cm soil depth was positive but not significant (Table 3). A very weak negative correlation of the VESS score with porosity and clay was found in the same soil depth. The negative correlation of BD with clay and sand in 0 – 30 cm soil depth was very weak, however, there was a highly significant and strong negative correlation between porosity and BD in the same soil depth. Bulk density in 30 – 60 cm soil depth also showed a significantly strong negative and moderate positive correlation with porosity and silt respectively. There was no correlation between BD and the percentage of sand in the 30 – 60 cm soil depth, while sand showed a weak positive correlation with porosity in the 0 – 30 cm soil depth. A very weak negative correlation of porosity with OC, clay, and silt was observed in the 0 – 30 cm soil depth. Porosity showed a significant moderate positive and negative correlation with clay and silt in the 30 – 60 cm soil depth respectively. But, sand in this depth showed a very weak negative correlation with porosity.
At Dzingahe there was a highly significant moderate positive correlation between VESS and SubVESS scores (Table 4). VESS had a weak positive correlation with BD, OC, clay, and sand; whereas a weak negative correlation was observed with porosity and silt in the same depth. A very weak positive correlation of SubVESS score with clay and sand was found while BD, porosity, OC, and silt showed a very weak negative correlation with SubVESS scores in the same soil depth. The correlation between BD and porosity in 0 – 30 cm soil depth was very strong and highly significant. There was a very weak positive correlation between BD and sand in 0 – 30 cm soil depth; but OC, clay, and silt showed a very weak correlation with BD in the same soil depth. Bulk density in the 30 – 60 cm soil depth correlated negatively and significantly with porosity and OC; the negative correlation of BD with clay and silt was weak. Only sand showed a very weak positive correlation with BD in the same depth. A very weak positive correlation of porosity with OC, clay, and silt was observed along with a very weak negative correlation with sand in the 0 – 30 cm soil depth. Porosity in the 30 – 60 cm soil depth indicated a weak positive correlation with OC and silt, although the correlation with clay and sand was weakly positive. There was a highly significant and moderate to very strong negative correlation between clay and sand in both depths.

3.3. Comparison of soil physico-chemical properties under different tillage systems between Tshivhilwi and Dzingahe.

3.3.1. No-tillage system

Under NT the SubVESS (Ssq) scores differed significantly between Tshivhilwi and Dzingahe whereas there was no significant difference for VESS (Sq) scores. The SubVESS (Ssq) score was poor (5) for Tshivhilwi and moderately fair (3.80) for Dzingahe. The VESS (Sq) score was poor (3.53) for Tshivhilwi and fair (2.52) for Dzingahe. Bulk density did not show significant difference between the two locations in the two soil depths, but, Dzingahe had lower (1.19 g/cm3 and 1.20 g/cm3) BD values than Tshivhilwi (1.32 g/cm3 and 1.23 g/cm3) in the 0 – 30 cm and 30 – 60 cm soil depths respectively. Porosity was also not significant between Tshivhilwi and Dzingahe in both depths but, it was relatively higher at Dzingahe (55.10% and 53.31%) than at Tshivhilwi (48.28% and 52.38%) in the two depths. Organic carbon content was higher at Dzingahe (2.32% and 1.42%) than at Tshivhilwi (1.74% and 1.30%) in both depths even though not statistically different. Tshivhilwi had higher clay percentage (37.60% and 41.47%) than Dzingahe (26.53% and 41.07%) in both soil depths although it was almost equal in 30 – 60 cm soil depth at TShivhilwi and Dzingahe. Sand percentage showed similar trend with clay where it was higher at Tshivhilwi (44.00% and 45.33%) than Dzingahe (36.93% and 28.13%) across the soil depths. Silt varied significantly between the locations at 0 – 30 cm soil depth but it was not significant at 30 – 60 cm soil depth. The pH (water and KCl) for both locations was acidic except for Tshivhilwi in 30 – 60 cm soil depth which was acidic to slightly alkaline. The electrical conductivity indicated that the soils were non-saline in both locations and depths (Data not shown).

3.3.2. Conventional tillage system

SubVESS (Ssq) scores were significantly different between Tshivhilwi and zingahe while VESS (Sq) scores showed no significant difference. VESS (Sq) score was poor in both locations but better at Dzingahe where it was 3.57 and at Tshivhilwi was 4.12. SubVESS (Ssq) score also indicated a poor structure atTshivhilwi (5.00) and Dzingahe (4.20) (Figure 4a). Bulk density also varied significantly between the locations in the 30 – 60 cm soil depth, it was not significantly different in the 0 – 30 cm soil depth. However, BD was higher at Tshivhilwi (1.37 g/cm3 and 1.57 g/cm3) than at Dzingahe (1.22 g/cm3 and 1.26 g/cm3) in both soil depths (Figure 4b). Porosity did not vary significantly, Dzingahe (54.09% and 53.62%) had higher percentage than Tshivhilwi (48.43% and 40.81%) in all soil depths. Organic carbon did not differ significantly but it was lower at Tshivhilwi (1.52% and 1.01%) than Dzingahe (2.42% and 1.51%) in both soil depths. Clay percentage was more at Dzingahe (34.27% and 48.93%) than Tshivhilwi (30.53% and 34.93%) in the 0 – 30 cm and 30 – 60 cm soil depths respectively. Silt followed the same trend with 35.07% and 28.40% at Dzingahe, 23.47% and 19.07% at Tshivhilwi. Sand percentage was higher at Tshivhilwi (46.00% and 46.00%) than Dzingahe (30.67% and 22.67%) in both soil depths. The pH (water and KCl) was acidic at Tshivhilwi and Dzingahe in both soil depths. The EC showed that the soils were non-saline at the two locations in both depths (Data not shown).

3.3.3. Virgin (VG) field

Under VG the SubVESS (Ssq) scores were significantly different between Tshivhilwi and Dzingahe. However, VESS (Sq) scores did not differ significantly between the two locations. VESS (Sq) scores were poor at Tshivhilwi (3.67) and Dzingahe (3.05), thus Dzingahe showed slightly better quality. SubVESS (Ssq) scores were poor (5.00) at Tshivhilwi but good (3.60) at Dzingahe (Figure 5). Bulk density showed no significant variation, but was higher at Tshivhilwi (1.38 g/cm3) than at Dzingahe (1.32 g/cm3) in the 0 – 30 cm soil depth but in the 30 – 60 cm soil depth Tshivhilwi (1.39 g/cm3) had a lower BD than Dzingahe (1.44 g/cm3). Porosity varied non-significantly, however, it was higher at Dzingahe (50.35% and 47.65%) than at Tshivhilwi (46.56% and 45.35%) in both depths. Organic carbon indicated no significant difference. Dzingahe (1.92%) had a larger OC percentage than Tshivhilwi (1.82%) in the 0 – 30 cm soil depth, although, it was smaller for Dzingahe (1.00%) than Tshivhilwi (1.34%) in the 30 – 60 cm soil depth. Clay content was higher at Tshivhilwi (34.67% and 32.00%) than Dzingahe (44.00% and 426%) in both depths. The pH (water and KCl) was acidic at Tshivhilwi and Dzingahe in the 0 – 30 cm soil depth and acidic to slightly alkaline in the 30 – 60 cm soil depth at Tshivhilwi than acidic at Tshivhilwi. The EC showed that the soils were non-saline at the two locations in both depths (Data not shown).

4. Discussion

The soil structure quality at Dzingahe was found to be better when compared to Tshivhilwi across the tillage systems. The results suggest that the tillage systems alone did not alter the soil structure but other practices such as cropping systems and residue management could have contributed to the changes (Abdollahi et al., 2015; Askari et al., 2013). It was observed that the tillage systems were not practised the same in these two locations and the duration in which NT was practised also differed with a gap of more than 30 years. No-tillage at Tshivhilwi has been active for 8 consecutive years while at Dzingahe it has been practiced for over 40 years. The visual assessment with VESS and SubVESS indicated that the soil structure quality was good at Dzingahe and moderate to poor at Tshivhilwi. This could be attributed to the duration of NT and also to the intensity of the activities at Tshivhilwi as the field is utilized throughout the year while at Dzingahe the field is planted once in the year during the rainy season. It was clear that the tillage systems were not practised the same at the two locations, hence even their impact was different. However, both NT and CT can result in soil structural damage or improvement depending on management (Blanco-Canqui and Ruis, 2018; Tuzzin de Moraes et al., 2016). VESS and SubVESS scores indicated a better soil structure quality under NT compared to CT at both locations. This could be due to the operations carried out in the respective tillage systems especially the less soil disturbance in NT (Askari et al., 2013; Cooper et al., 2021).
The specific effects of no-tillage and conventional tillage systems on the soil structure could depend on the texture, mainly the amount and type of clay which might be the case at the study sites of this research. This was also identified by Franco et al. (2019). The authors showed that fine soils scores higher than coarse soils. The results suggest that over time both NT and CT can lead to deterioration or improvement of the soil structure quality at different soil depths depending on how they are executed. This was noticeable in the outcome of the VESS assessment at Tshivhilwi which showed poor soil structure quality. However, at Dzingahe the VESS scores indicated an improvement in the soil structure quality under NT. The clay content of the soil together with the tillage systems in the cultivated fields could have contributed extensively to the nature of the soil structure in the top 30 cm. The virgin fields also exhibited poor soil structure at both locations which may be attributed to inherent properties like texture and/or to some extent the impact of the grazing animals.
The SubVESS gave scores that were poor in all tillage systems at Tshivhilwi. Given that there was more clay content in the subsoil (30 – 60 cm) than in the topsoil (0 – 30 cm) the structural variation between the two depths was logical. Thus, it could have been caused by higher clay content in the subsoil, which was in agreement with the findings of Obour et al. (2017). They found that clay content had a strong effect on mottling in the 20 – 45 cm and on aggregates and rooting in the 45 – 65 cm soil depth. Furthermore, although the VESS or SubVESS scores can be similar for the respective tillage systems, it is important to note that during the assessment, some key parameters such as mottling and strength varied when scoring at different sampling points. This means that even though the scores might be similar (e.g. both Sq5 = poor) the degree of quality may differ. This was revealed by the bulk density which showed a significant difference between the fields in the 30 – 60 cm soil depth where the SubVESS scores were all poor (i.e. Ssq=5). Furthermore, it can be assumed that clay content had more effect on the structure. The structural dynamics and the effect of tillage and clay content at Tshivhilwi are also applicable to the trends identified at Dzingahe. The visual scores were high (i.e. poor structure quality) and low where clay content was relatively high and low where clay content was low. However, soil bulk density has shown to have minor divergence with the visual assessment. It was inconsistent between the fields in both soil depths and locations. This was expected, although both tillage systems have temporal effects that may lead to changes (good/bad) in soil structural quality.
The VESS scores showed a weak positive and negative relationship with bulk density and porosity respectively at both locations. Cherubin et al. (2017) found almost similar results where bulk density correlated positively with VESS scores. The authors further indicated VESS scores were related to an increase in bulk density which may cause a reduction in macro porosity and increased water retention. Purnama et al. (2022) found a strong relationship between VESS scores with bulk density, porosity and organic carbon. It was also observed in this study that the poor soil structure as assessed by VESS can not be due to compaction as the BD values were within the normal range (Rivenshield and Bassuk, 2007). Given the clay content of the soils, the low BD can be a result of the dominance of micropores and few macropores. Macro-porosity is naturally limited in heavy clay soils, and affects the soil’s ability to transmit water and air (Lin et al., 2022), hence, there were visible mottling on the assessed soils.
VESS scores also showed a weak positive relationship with OC. Generally, soils with poor structure have low carbon, but, in this study, OC was relatively higher in all tillage systems at both locations in the topsoil. Johannes et al. (2017) discovered that visually assessed good structure quality soils have higher OC: clay ratios than those with poor structure quality. On average the structure quality in the topsoil was moderately poor but the bulk density was also optimally low. The negative relationship between bulk density and SubVESS score in the 30 – 60 cm same depth) could be attributed to the increased clay content compared to what was in the topsoil (Obour et al., 2017). The increased clay content in the subsoil reduces mostly the macro porosity. The micro-pores are not severely affected hence the bulk densities were low. The significant positive relationship between VESS and SubVESS that was identified at Tshivhilwi supports the use of these two methods together especially where VESS indicates poor structure. It is acknowledged that laboratory analysis cannot be abandoned completely but VESS can be used as a detector tool for early soil structural changes that will give a guide on the remediation.

5. Conclusion

VESS and SubVESS were able to effectively differentiate the impact of tillage systems on soil structural quality where NT was practised for a long period (40+ years) while it could not where NT was practised for a few years (8 years). The contrasting intensity of the tillage systems caused the differences in soil structure quality between the tillage systems. The visual assessment outcome has shown to be site specific considering the combination of management practices and clay content. The VESS and SubVESS scores were related to the quantitative parameters such as BD and has corroborated their effectiveness for assessing soil structural quality. If VESS indicates moderate to poor soil structure, further assessment in the soil depth below 30 cm with SubVESS is recommended. More research is also suggested on the use of VESS for monitoring temporal changes in soil structural quality under different management systems and soil textures.

Acknowledgements

The authors acknowledge the National Research Foundation - Thuthuka; Department of Research and Administration at the University of Limpopo; Department of Plant Production; Soil Science and Agricultural Engineering at the University of Limpopo; and Risk and Vulnerability Science Centre at the University of Limpopo.

References

  1. Abdollahi, L., Hansen, E.M., Rickson, R.J. and Munkholm, L.J. (2015), “Overall assessment of soil quality on humid sandy loams: Effects of location, rotation and tillage”, Soil and Tillage Research, Elsevier B.V., Vol. 145, pp. 29–36.
  2. Askari, M.S., Cui, J. and Holden, N.M. (2013), “The visual evaluation of soil structure under arable management”, Soil and Tillage Research, Elsevier B.V., Vol. 134, pp. 1–10. [CrossRef]
  3. Ball, B.C., Batey, T. and Munkholm, L.J. (2007), “Field assessment of soil structural quality - A development of the Peerlkamp test”, Soil Use and Management, Vol. 23 No. 4, pp. 329–337. [CrossRef]
  4. Ball, B.C., Batey, T., Munkholm, L.J., Guimarães, R.M.L., Boizard, H., McKenzie, D.C., Peigné, J., et al. (2015), “The numeric visual evaluation of subsoil structure (SubVESS) under agricultural production”, Soil and Tillage Research, Elsevier B.V., Vol. 148, pp. 85–96. [CrossRef]
  5. Ball, B.C., Guimarães, R.M.L., Cloy, J.M., Hargreaves, P.R., Shepherd, T.G. and McKenzie, B.M. (2017), “Visual soil evaluation: A summary of some applications and potential developments for agriculture”, Soil and Tillage Research, Elsevier B.V., Vol. 173, pp. 114–124. [CrossRef]
  6. Blanco-Canqui, H. and Ruis, S.J. (2018), “No-tillage and soil physical environment”, Geoderma, Elsevier, Vol. 326, pp. 164–200. [CrossRef]
  7. Bouyoucos, G.J. (1962), “Hydrometer Method Improved for Making Particle Size Analyses of Soils1”, Agronomy Journal, John Wiley & Sons, Ltd, Vol. 54 No. 5, pp. 464–465. [CrossRef]
  8. Cherubin, M.R., Franco, A.L.C., Guimarães, R.M.L., Tormena, C.A., Cerri, C.E.P., Karlen, D.L. and Cerri, C.C. (2017), “Assessing soil structural quality under Brazilian sugarcane expansion areas using Visual Evaluation of Soil Structure (VESS)”, Soil and Tillage Research, Elsevier B.V., Vol. 173 No. 2017, pp. 64–74. [CrossRef]
  9. Cooper, H. V, Girkin, N.T., Rosolem, C., Sjögersten, S. and Lark, R.M. (2021), “Long-term zero-tillage enhances the protection of soil carbon in tropical agriculture”, European Journal of Soil Science, Vol. 2021 No. September 2020, pp. 2477–2492.
  10. Diaz-Zorita, M., Perfect, E. and Grove, J.H. (2002), “Disruptive methods for assessing soil structure”, Soil and Tillage Research, Vol. 64 No. 2002, pp. 3–22. [CrossRef]
  11. Emmet-Booth, J.P., Holden, N.M., Fenton, O., Bondi, G. and Forristal, P.D. (2020), “Exploring the sensitivity of visual soil evaluation to traffic-induced soil compaction”, Geoderma Regional, Elsevier B.V., Vol. 20. [CrossRef]
  12. Fernandes, M.M.H., da Silva, M.F., Ferraudo, A.S. and Fernandes, C. (2023), “Soil structure under tillage systems with and without cultivation in the off-season”, Agriculture, Ecosystems and Environment, Elsevier B.V., Vol. 342. [CrossRef]
  13. Filho, J.T. and Tessier, D. (2009), “Characterization of soil structure and porosity under long-term conventional tillage and no-tillage systems”, Revista Brasileira de Ciencia Do Solo, Vol. 33 No. 6, pp. 1837–1844. [CrossRef]
  14. Franco, H.H.S., Guimarães, R.M.L., Tormena, C.A., Cherubin, M.R. and Favilla, H.S. (2019), “Global applications of the Visual Evaluation of Soil Structure method: A systematic review and meta-analysis”, Soil and Tillage Research, Elsevier, Vol. 190, pp. 61–69. [CrossRef]
  15. Guimarães, R.M.L., Ball, B.C. and Tormena, C.A. (2011), “Improvements in the visual evaluation of soil structure”, No. September, pp. 395–403. [CrossRef]
  16. Guimarães, R.M.L., Neves Junior, A.F., Silva, W.G., Rogers, C.D., Ball, B.C., Montes, C.R. and Pereira, B.F.F. (2017), “The merits of the Visual Evaluation of Soil Structure method (VESS) for assessing soil physical quality in the remote, undeveloped regions of the Amazon basin”, Soil and Tillage Research, Elsevier B.V., Vol. 173, pp. 75–82.
  17. Jabro, J.D., Iversen, W.M., Stevens, W.B., Evans, R.G., Mikha, M.M. and Allen, B.L. (2016), “Physical and hydraulic properties of a sandy loam soil under zero, shallow and deep tillage practices”, Soil and Tillage Research, Elsevier B.V., Vol. 159, pp. 67–72.
  18. Johannes, A., Matter, A., Schulin, R., Weisskopf, P., Baveye, P.C. and Boivin, P. (2017), “Optimal organic carbon values for soil structure quality of arable soils. Does clay content matter?”, Geoderma, Elsevier, Vol. 302 No. April, pp. 14–21.
  19. Leopizzi, S., Gondret, K. and Boivin, P. (2018), “Spatial variability and sampling requirements of the visual evaluation of soil structure in cropped fields”, Geoderma, Elsevier B.V., Vol. 314, pp. 58–62. [CrossRef]
  20. Li, J., Guo, Z. and Xu, Y. (2019), “Soil Structure and Stability Features under Rotation Tillage”, IOP Conference Series: Earth and Environmental Science, Vol. 384 No. 1. [CrossRef]
  21. Lin, L., Bolt, F. Van Der and Cornelis, W. (2022), “Geoderma Visual assessment of soil structural quality across soil textures and compaction levels – Part II : Examination of profile walls vs Intact soil cores”, Geoderma, Elsevier B.V., Vol. 426 No. December 2021, p. 116098.
  22. Liu, Z., Cao, S., Sun, Z., Wang, H., Qu, S., Lei, N., He, J., et al. (2021), “Tillage effects on soil properties and crop yield after land reclamation”, Scientific Reports, Nature Publishing Group UK, Vol. 11 No. 1, pp. 1–12. [CrossRef]
  23. Martins, R.N., Fagundes Portes, M., Fialho e Moraes, H.M., Ribeiro Furtado Junior, M., Fim Rosas, J.T. and Orlando Junior, W. de A. (2021), “Influence of tillage systems on soil physical properties, spectral response and yield of the bean crop”, Remote Sensing Applications: Society and Environment, Elsevier, Vol. 22, p. 100517.
  24. Meersmans, J., Van Wesemael, B. and Van Molle, M. (2009), “Determining soil organic carbon for agricultural soils: A comparison between the Walkley & Black and the dry combustion methods (north Belgium)”, Soil Use and Management, Vol. 25 No. 4, pp. 346–353. [CrossRef]
  25. Obour, P.B., Schjønning, P., Peng, Y. and Munkholm, L.J. (2017), “Subsoil compaction assessed by visual evaluation and laboratory methods”, Soil and Tillage Research, Elsevier B.V., Vol. 173, pp. 4–14. [CrossRef]
  26. Okalebo, J Robert, Gathua, K.W., and Woomer, P.. (2002), “LABORATORY METHODS OF SOIL AND PLANT ANALYSIS : A Working Manual The Second Edition.”, TSBR-CIAT and SACRED Africa.
  27. Pires, L.F., Borges, J.A.R., Rosa, J.A., Cooper, M., Heck, R.J., Passoni, S. and Roque, W.L. (2017), “Soil structure changes induced by tillage systems”, Soil and Tillage Research, Elsevier B.V., Vol. 165, pp. 66–79. [CrossRef]
  28. Pulido Moncada, M., Helwig Penning, L., Timm, L.C., Gabriels, D. and Cornelis, W.M. (2014), “Visual examinations and soil physical and hydraulic properties for assessing soil structural quality of soils with contrasting textures and land uses”, Soil and Tillage Research, Elsevier B.V., Vol. 140, pp. 20–28. [CrossRef]
  29. Purnama, T.J., Wijayanto, N. and Wasis, B. (2022), “Assessing soil properties in various agroforestry lands in Kuningan District, West Java, Indonesia using Visual Evaluation of Soil Structure (VESS)”, Biodiversitas, Vol. 23 No. 6, pp. 3012–3021.
  30. Ramos, M.F., Almeida, W.R. da S., do Amaral, R. de L. and Suzuki, L.E.A.S. (2022), “Degree of compactness and soil quality of peach orchards with different production ages”, Soil and Tillage Research, Elsevier B.V., Vol. 219. [CrossRef]
  31. Rivenshield, A. and Bassuk, N.L. (2007), “Using Organic Amendments to Decrease Bulk Density and Increase Macroporosity in Compacted Soils”, Vol. 33 No. 2, pp. 140–146. [CrossRef]
  32. Tian, M., Qin, S., Whalley, W.R., Zhou, H., Ren, T. and Gao, W. (2022), “Changes of soil structure under different tillage management assessed by bulk density, penetrometer resistance, water retention curve, least limiting water range and X-ray computed tomography”, Soil and Tillage Research, Elsevier B.V., Vol. 221. [CrossRef]
  33. Topa, D., Cara, I.G. and Jităreanu, G. (2021), “Long term impact of different tillage systems on carbon pools and stocks, soil bulk density, aggregation and nutrients: A field meta-analysis”, CATENA, Elsevier, Vol. 199, p. 105102. [CrossRef]
  34. Tuchtenhagen, I.K., de Lima, C.L.R., Bamberg, A.L., Guimarães, R.M.L. and Pulido-Moncada, M. (2018), “Visual evaluation of the soil structure under different management systems in lowlands in southern Brazil”, Revista Brasileira de Ciencia Do Solo, Revista Brasileira de Ciencia do Solo, Vol. 42. [CrossRef]
  35. Tuzzin de Moraes, M., Debiasi, H., Carlesso, R., Cezar Franchini, J., Rodrigues da Silva, V. and Bonini da Luz, F. (2016), “Soil physical quality on tillage and cropping systems after two decades in the subtropical region of Brazil”, Soil and Tillage Research, Vol. 155, pp. 351–362.
  36. Yudina, A. and Kuzyakov, Y. (2023), “Dual nature of soil structure: The unity of aggregates and pores”, Geoderma, Elsevier B.V., Vol. 434. [CrossRef]
Figure 1. a and b): VESS and SubVESS assessment under different tillage systems at Tshivhilwi and Dzingahe. Sq=VESS score, Ssq=SubVESS score, NT=no-tillage, CT=cobventional tillage, VG=virgin field. The letters a, b, and c indicates significant difference.
Figure 1. a and b): VESS and SubVESS assessment under different tillage systems at Tshivhilwi and Dzingahe. Sq=VESS score, Ssq=SubVESS score, NT=no-tillage, CT=cobventional tillage, VG=virgin field. The letters a, b, and c indicates significant difference.
Preprints 80608 g001
Figure 2. (a – c): Soil bulk density (BD), porosity (%P), and organic carbon (OC) measurements under different tillage systems at Tshivhilwi. Sq=VESS score, Ssq=SubVESS score, NT=no-tillage, CT=cobventional tillage, VG=virgin field. The letters a, b, and c indicates significant difference.
Figure 2. (a – c): Soil bulk density (BD), porosity (%P), and organic carbon (OC) measurements under different tillage systems at Tshivhilwi. Sq=VESS score, Ssq=SubVESS score, NT=no-tillage, CT=cobventional tillage, VG=virgin field. The letters a, b, and c indicates significant difference.
Preprints 80608 g002aPreprints 80608 g002b
Figure 3. (a – c): Soil bulk density (BD), pore percentage (%P), and organic carbon (OC) measurements under no-tillage (NT), conventional tillage (CT) and virgin field (VG) at Dzingahe. The letters a, and b indicates significant difference.
Figure 3. (a – c): Soil bulk density (BD), pore percentage (%P), and organic carbon (OC) measurements under no-tillage (NT), conventional tillage (CT) and virgin field (VG) at Dzingahe. The letters a, and b indicates significant difference.
Preprints 80608 g003aPreprints 80608 g003b
Figure 5. (a and b): Comparison of VESS, SubVESS and bulk density (BD) under conventional tillage (CT) between Tshivhilwi (L1) and Dzingahe (L2). The letters a, and b indicates significant difference.
Figure 5. (a and b): Comparison of VESS, SubVESS and bulk density (BD) under conventional tillage (CT) between Tshivhilwi (L1) and Dzingahe (L2). The letters a, and b indicates significant difference.
Preprints 80608 g005
Figure 6. Comparison of VESS (Sq) and SubVESS (Ssq) scores between Tshivhilwi (L1) and Dzingahe (L1). The letters a, and b indicates significant difference.
Figure 6. Comparison of VESS (Sq) and SubVESS (Ssq) scores between Tshivhilwi (L1) and Dzingahe (L1). The letters a, and b indicates significant difference.
Preprints 80608 g006
Table 1. Soil pH (KCl), pH (W) and electrical conductivity (EC) under no-tillage (NT), conventional tillage (CT) and virgin field (VG) at Tshivhilwi. .
Table 1. Soil pH (KCl), pH (W) and electrical conductivity (EC) under no-tillage (NT), conventional tillage (CT) and virgin field (VG) at Tshivhilwi. .
Tillage system pH(KCl) pH(W) EC (mS/cm)
Soil depth (0-30 cm)
NT 5.42 (0.53) 6.67 (0.55) 0.34 (0.13)
CT 5.10 (0.28) 6.52 (0.35) 0.16 (0.05)
VG 5.18 (0.43) 6.55 (0.50) 0.24 (0.09)
Soil depth (30-60 cm)
NT 5.67 (0.55) 7.07 (0.50) 0.25 (0.15)
CT 5.45 (0.40) 6.71 (0.36) 0.20 (0.12)
VG 5.46 (0.36) 7.22 (0.42) 0.32 (0.13)
pH(KCl)=pH in potassium chloride solution, pH(W)=pH in water. The values in brackets are standard deviations (SD).
Table 2. Soil pH(KCl), pH(W) and electrical conductivity (EC) under no-tillage (NT), conventional tillage (CT) and virgin field (VG) at Dzingahe.
Table 2. Soil pH(KCl), pH(W) and electrical conductivity (EC) under no-tillage (NT), conventional tillage (CT) and virgin field (VG) at Dzingahe.
Tillage system pH(KCl) pH(W) EC (mS/cm)
Soil depth (0-30 cm)
NT 4.89 (0.08) 6.23 (0.11) 0.20 (0.07)
CT 5.10 (0.31) 6.37 (0.24) 0.24 0.05)
VG 4.77 (0.31) 6.18 (0.23) 0.20 (0.10)
Soil depth (30-60 cm)
NT 5.06 (0.24) 6.40 (0.29) 0.16 (0.09)
CT 5.33 (0.40) 6.53(0.29) 0.22 (0.04)
VG 4.64 (0.37) 6.41(0.36) 0.20 (0.07)
pH(KCl)=pH in potassium chloride solution, pH(W)=pH in water.. The values in brackets are standard deviations.
Table 3. Pearson correlations between soil soil physicochemical properties at Tshivilwi.
Table 3. Pearson correlations between soil soil physicochemical properties at Tshivilwi.
Sq Ssq BD1 BD2 %P1 %P2 %OC1 %OC2 %Clay1 %Clay2 %Silt1 %Silt2 %Sand1
Ssq a
BD1 0.131 a
BD2 0.403 a 0,187
%P1 -0.086 a -0.718** 0.067
%P2 -0.506 a -0.103 -0.872** 0.034 1
%OC1 0.140 a 0.311 -0.356 -0.093 0.239
%OC2 0.252 a -0.238 -0.256 0.291 0.183 0.524*
%Clay1 -0.098 a -0.123 -0.429 -0.065 0.506 -0.237 0.035
%Clay2 -0.371 a 0.203 -0.477 -0.267 0.633* 0.205 0.182 0.511
%Silt1 0.077 a 0.227 0.366 -0.025 -0.458 0.171 0.068 -0.840** -0.389
%Silt2 0.394 a -0.027 0.534* -0.023 -0.592* 0.101 0.176 -0.650** -0.555* 0.582*
%Sand1 0.061 a -0.125 0.224 0.160 -0.222 0.174 -0.169 -0.542* -0.341 0.000 0.298
%Sand2 0.022 a -0.199 0.000 0.320 -0.118 -0.329 -0.378 0.076 -0.563* -0.144 -0.375 0.084
Sq=VESS score, Ssq=SubVESS score, BD=Bulk density, P=Porosity, OC=Organic carbon; 1 = 0 – 30 cm soil depth, 2 = 30 – 60 cm soil depth; ** = Correlation is significant at the 0.01 level, * = Correlation is significant at the 0.05 level, and a = cannot be computed because at least one of the variables is constant.
Table 4. Pearson correlations between soil physicochemical properties at Dzingahe.
Table 4. Pearson correlations between soil physicochemical properties at Dzingahe.
Sq Ssq BD1 BD2 %P1 %P2 %OC1 %OC2 %Clay1 %Clay2 %Silt1 %Silt2 %Sand1
Ssq 0.622*
BD1 0.332 -0.237
BD2 0.397 -0.025 0.594*
%P1 -0.338 0.221 -1.000** -0.589*
%P2 -0.327 -0.136 -0.530* -0.685** 0.529*
%OC1 0.228 0.110 -0.033 -0.422 0.036 0.058
%OC2 0.063 -0.008 -0.147 -0.539* 0.148 0.214 0.811**
%Clay1 0.121 0.017 -0.017 0.053 0.017 -0.066 -0.185 -0.392
%Clay2 0.230 0.004 0.058 -0.103 -0.056 -0.104 0.241 -0.083 0.758**
%Silt1 -0.298 -0.136 -0.031 -0.431 0.024 0.305 0.567* 0.514* -0.340 -0.176
%Silt2 -0.324 -0.074 -0.222 -0.144 0.217 0.449 -0.140 0.022 -0.547* -0.811** 0.398
%Sand1 0.070 0.071 0.037 0.226 -0.033 -0.130 -0.179 0.065 -0.794** -0.654** -0.303 0.297
%Sand2 -0.101 0.050 0.081 0.266 -0.080 -0.184 -0.258 0.109 -0.730** -0.896** -0.036 0.465 0.763**
Sq=VESS score, Ssq=SubVESS score, BD=Bulk density, P=Porosity, OC=Organic carbon; 1 = 0 – 30 cm soil depth, 2 = 30 – 60 cm soil depth; ** = Correlation is significant at the 0.01 level, * = Correlation is significant at the 0.05 level.
Disclaimer/Publisher’s Note: The statements, opinions and data contained in all publications are solely those of the individual author(s) and contributor(s) and not of MDPI and/or the editor(s). MDPI and/or the editor(s) disclaim responsibility for any injury to people or property resulting from any ideas, methods, instructions or products referred to in the content.
Copyright: This open access article is published under a Creative Commons CC BY 4.0 license, which permit the free download, distribution, and reuse, provided that the author and preprint are cited in any reuse.
Prerpints.org logo

Preprints.org is a free preprint server supported by MDPI in Basel, Switzerland.

Subscribe

Disclaimer

Terms of Use

Privacy Policy

Privacy Settings

© 2026 MDPI (Basel, Switzerland) unless otherwise stated