Preprint
Article

This version is not peer-reviewed.

Elucidating the Potential of Biochar-bentonite Composite and Kaolinite-based Seed Balls for the Remediation of Coal Mining Impacted Heavy Metals Contaminated Soil

A peer-reviewed article of this preprint also exists.

Submitted:

21 July 2023

Posted:

24 July 2023

You are already at the latest version

Abstract
Globally, open-pit coal mining is associated with severe land use impact and contamination of soil and water resources with heavy metals. Thus, in growing economies like India, where coal is a significant energy source, the heavy metals contamination of soil and water become ubiquitous. Remediation of such a large stretch of mined-out land is a major challenge and a costly process for the mining industry. In recent years, the application of biochar for the remediation of such heavy metals-contaminated soil has been widely practiced. However, applying biochar and cultivating plants in field conditions becomes challenging. This study uses a unique remediation approach by developing biochar-bentonite-based seed balls encapsulating Shorgham grass seeds at their core for application in the contaminated soil. The seed ball was developed by using the bentonite biochar composite in varying weight fractions of 0.5 – 5 % with respect to the kaolinite, whose fractions in the seed ball also varied at one, three, and five parts. The seed balls were applied to the pots containing 3 kg of heavy metals contaminated soil for a pot-culture study in a polyhouse for a period of four months. Initial soil analysis results indicated that the mine soil samples showed poor nutrient and organic matter content and were contaminated with heavy metals such as Ni, Zn, Cr, and Cd. Post-pot-culture soil analysis results indicated that the application of seed balls containing five fractions of biochar composite with its combination with three and five-weight fractions of kaolinite showed substantial improvement in the pH, available nutrients, organic matter content, soil enzymes, and overall soil fertility index compared to the controlled study and other cases. The same combination of seed balls also significantly reduced the plant-available fractions of Ni, Zn, Cr, and Cd in the soil and the translocation of these heavy metals from the rhizosphere zone to the grass’s aerial parts, indicating stabilization of heavy metals within the soil matrix. Moreover, the application of seed balls also substantially improved the plant physiology and reduced the release of stress hormones such as proline and glutathione within the plant cells indicating improvement in the plant’s biotic and abiotic stress factors. Thus, the application of seed balls in heavy metals contaminated soils, particularly over a large stretch of land, could be a low-cost and viable remediation technique.
Keywords: 
;  ;  ;  ;  

1. Introduction

Globally, heavy metal contamination in the soil has become ubiquitous. The heavy metals are released into the soil, usually through geogenic sources and anthropogenic activities such as mining, coal processing, and other industrial activities. Coal mining activities are crucial in fulfilling the energy demands of a growing economy like India. However, mining operations are associated with changes in landscape and land use, soil organic matter and nutrients loss, contamination, and heavy metals leaching [1]. Such degraded and contaminated soil in the mining-affected areas makes it challenging for post-mining uses of the disturbed lands. Various methods have been developed and reportedly used for the remediation and reclamation of such contaminated soil, such as physical, chemical, and biological remediation processes [2,3]. Among the reported methods, chemical and biological methods have attracted many benefits due to low-cost treatment and easy operations. The most commonly used chemicals for the remediation of contaminated soils are lime, fly ash, blast furnace slag, and bio-solid [4]. However, their application for soil amendment has some limitations. For instance, the application of fly ash in contaminated acidic soil neutralizes the soil pH due to the presence of carbonates but may release additional heavy metals in the soil. Similarly, applying slag or other industrial waste in the soil may release heavy metals into the soil matrix depending on pH [5]. Also, the unavailability of data on the long-term uses of such industrial waste in the soil further limits their application [6].
In this context, during the last few years, the application of biomass-waste-derived porous-carbon material called biochar and its composites has gained much attention [7,8,9]. The application of biochar and its composites in degraded and contaminated soil is considered a low-cost in-situ remediation technique. They reportedly improved the soil's physicochemical properties and reduced the mobility of heavy metals [10,11,12]. Lin et al. [13] reported the application of Fe-Mn-modified biochar in As-contaminated soil. Their results indicated that modified biochar treatment in the contaminated soil significantly improved the soil’s physicochemical properties and habitat for microbes, subsequently increasing the soil redox potential and reducing the availability of As. Zhang et al. [14] reported the application of pinewood sawdust-derived phosphate-functionalized biochar for the remediation of arable soil contaminated by Pb (9240.50 mg kg-1) and Cd (10.71 mg kg-1). The study results indicated that the phosphate-functionalized biochar effectively immobilized Pb and Cd in the soil with an immobilization efficiency of 45.2 – 96.2 %. Shao et al. [15] developed Fe-Mn-Mg layered double hydroxide composite for the remediation of Cu and As contaminated soil and found that biochar composite substantially reduced the availability of Cu and As in the soil by 35.54 – 63 % and 8.39 – 29.04 %, respectively. Sun et al. [16] investigated the effect of Ca-modified biochar on Cd-contaminated soil. Based on their field experiment, the authors concluded that the presence of Ca-modified biochar in the soil substantially reduced the availability of Cd in the soil and subsequently helped in reducing the phytoaccumulation of Cd in the plant’s cell.
All the above data and discussion from previously reported research indicate the efficiency and utility of biochar composites for the remediation of contaminated soil. However, in the mining industry, particularly, the remediation of open pit mines poses a significant challenge for the industry owing to the high remediation cost and the inaccessibility of significant stretches of land due to geographical and safety concerns. Concerning this problem, in recent years, a new approach called the ‘seed ball’ technique has emerged as a low-cost and simple technique for distributing seeds over a large stretch of land in a short time [17]. As the name suggests, a ‘seed ball’ consists of clay material with seeds encapsulated at the ball's core [18]. The seed ball protects the seed from abiotic factors during the early growth of the seedling in contaminated lands. It also supplies nutrients and moisture to the seed required during the early growth period. An important benefit of using seed balls is that they can easily be applied to inaccessible land through various transportation techniques such as vehicles and drones. Another benefit is that seed ball application for seedling growth and plantation avoids the physical activities of plantation and, thus, saves a lot of time and money. The present work developed seed balls using bentonite-biochar composite encapsulating Shorgham grass seeds within its core. Based on a pot-culture study, the present work uniquely studies and, for the first time, reports the potential application of seed balls for the remediation of the coal mining impacted contaminated soil through the biochar-based seed balls-assisted phytoremediation approach.

2. Materials of methods

2.1. Study area

The study area is in the Majri area, Chandrapur district, Nagpur, Maharashtra, India. The Majri opencast mine project was operative under Western Coalfield Limited. The geographical stretch of the study area is from 20.134790 °N to 79.021365 °S. The mine spreads over a total geographical stretch area of 479.16 hectares. The total coal reserves in mining are 38 million tonnes (MT). The mining started in 2011; the last expansion was done in 2017. The graphical representation of the study area is given in Figure 1.

2.2. Soil sample collection

The soil sample was collected from the top of the overburden dumps following the grid design sampling method in such a way as to represent the entire mine spoil dumping area (Maiti 2012). Briefly, a grid of 2 m × 2 m was marked on the top of the dump, and subsequently, vegetation cover was removed, and the soil samples were collected from all four corners and the center of the grid. A total of 30 such grids were marked all over the dump area, and aggregate soil samples were collected. The collected soil samples from each grid were subjected to coning and quartering process to collect an aggregate sample representing the study area. Subsequently, the aggregate volume of the soil samples was stored in the zip log bags, brought to the laboratory, and stored in the refrigerator at 4 °C for further analysis and pot-culture study.

2.3. Soil physicochemical characterization

2.3.1. pH and Electrical conductivity (EC)

The pH and EC of the sieved soil sample (particle size < 1mm) were determined using the EPA method [20]. Briefly, the soil sample was mixed with distilled water in a 1:1 w/v ratio, stirred for 15 minutes, and allowed to stand still for 1 hour to settle the clayey fraction. After that, the soil samples were centrifuged to extract the liquid fraction. The extracted soil aqueous solution was analyzed for pH and EC using the multiparameter analyzer (Orion Versa Star Pro, Thermo Scientific, USA).

2.3.2. Exchangeable nutrients, cation exchange capacity (CEC), and organic matter

The exchangeable soil nutrients (NH4-N, Na, K, Ca, and Mg) were determined using the method described in a soil analysis handbook (Maiti, 2012). Briefly, the soil samples were mixed with 1N ammonium acetate (NH4OAc) in a 1:5 w/v ratio and shaken on an orbital rotary shaker at 150 rpm for 2 hours. Subsequently, the solid fraction was separated from the liquid fraction using the centrifuge and analyzed for exchangeable nutrients using Ion chromatography (Dionex Aquion IC System, Thermo Scientific, USA). The available phosphorous content in the soil sample was determined using Bray’s method (Maiti, 2012). The soil’s cation exchange capacity was determined using the EPA method 9081, also known as the sodium acetate method [22]. The organic matter content of the soil samples was determined using the loss-on-ignition method [23].

2.3.4. Heavy Metals and soil enzymes

The soil sample was digested using the EPA method [24] to determine the total heavy metals content in the soil. Briefly, 0.5 g of soil sample was dried at 60 °C and subsequently mixed with the acid mixture of HCL and HNO3 in a v/v ratio of 1:3. The acid soil solution mixture was then transferred into a ceramic container and digested using a microwave digestor (SK-15, Milestone Technologies, Italy). The digested soil samples were diluted and filtered using 0.22-micron ashless filter paper (Whatman) through a vacuum filtration unit. The filtered soil samples were then analyzed for heavy metals (Mn, Ni, Cu, Zn, Co, Pb, Cr, and Cd) using the Atomic Absorption Spectrophotometer (AAS, iCE 3500, Thermo Scientific, USA). The DTPA exchangeable fraction of the heavy metals in the soil samples was determined using the method reported in an earlier study [25], followed by the analysis of heavy metals using the AAS (iCE 3500, Thermo Scientific, USA). The soil catalase in the soil samples was determined using the method reported in an earlier study [26]. The β-glucosidase enzyme in the soil samples was determined using the method reported in an earlier study [27]. The urease enzyme in the soil samples was determined using the method reported in an earlier study [28].

2.4. Development of bentonite-biochar composite-based seed balls

The bentonite biochar composite was developed using the one-pot synthesis method using the biochar produced from rice straw through pyrolysis at 600 °C. The synthesis method is briefly discussed in the author's previous publication (Medha et al., 2023, Environmental Management). The detailed methodology for developing bentonite-biochar composite seed balls can be understood in Figure S2 (Supplementary Material). Briefly, the biochar composite was mixed with kaolinite clay in varying w/w ratios. Firstly, the percentage of kaolinite clay fixed at 1 part and the ratio of biochar composite varied at 0.5, 1, 3, and 5 % (w/w) of the clay fraction (coded as 0.5B1C, 1B1C, 3B1C, 5B1C). Similarly, in the next set, the proportion of clay content was fixed at three parts, and the weight fraction of biochar composite varied at 0.5, 1, 3, and 5 % (w/w) of the clay fraction. The subsequent samples' names were coded as 0.5B3C, 1B3C, 3B3C, and 5B3C. Similarly, in another set, the weight fraction of local clay was fixed at 5, the weight fractions of biochar composites varied as above, and the samples' names were coded as 0.5B5C, 1B5C, 3B5C, and 5B5C. All the seed balls were cast using a cylindrical shape using a hand pelletizer by pre-filling with 10 – 15 Sorghum grass seeds. Subsequently, the casted seed balls were air-dried for 48 hours to achieve some strength. Subsequently, the seed ball samples from each set were tested for physicochemical properties such as pH, exchangeable nutrients, organic carbon, and cation exchange capacity.

2.5. Pot-culture study

A pot-culture-based study was done using the set of seed balls mentioned in the above sub-section (2.4.1). Each pot was filled with 3 kg of mine soil and placed in a polyhouse for acclimatization to the local weather conditions. All the pots were initially drained with distilled water to achieve minimum soil moisture and water-holding capacity. Subsequently, each pot was amended with two sets of respective seed balls pre-containing Sorghum grass seeds. Each pot containing the respective seed balls was triplicated to avoid biased data and achieve scientific data validity. Total 36 pots were placed in a polyhouse, and the study was continued for four months (Nov 2020 – Feb 2021). The temperature inside the polyhouse was measured using the digital temperature sensor. The average mean temperature inside the playhouse during the study was about 27.24 °C. All the pots were cultivated with distilled water every third day till sapling and, subsequently, every fifth day till plants achieved maturity. The soot and root length of the plants grown in the pots were measured using the measuring tape during and after the completion of the study, respectively.

2.6. Plant analysis

2.6.1. Chlorophyll content

The total chlorophyll content of the plant’s leaves was determined using the spectrophotometric method [30]. Briefly, leaf samples were collected from each pot and cleaned using distilled water several times to remove dirt and other impurities. Subsequently, leaf samples were chopped into small pieces, and about 0.50 g of leaf samples were homogenized with 85 % acetone in a mortar pestle. The homogenized leaf samples were extracted using centrifugation at 4000 rpm. After the extraction process, the chlorophyll content in the supernatant was determined by taking absorbance at 662 and 644 nm using a spectrophotometer (UV 1900i, Shimadzu). The chlorophyll a and chlorophyll b, and the total chlorophyll content in the leaves were determined using the following equations:
Chlorophyll a = 10.05 A662 – 0.766 A644
Chlorophyll b = 16.37 A644 – A662
Total Chlorophyll = 1000 A470 – 1.280 Ca – 56.7Cb/230
where A662 is spectrophotometric absorbance at 662 nm, A644 spectrophotometric absorbance at 644 nm, Ca is Chlorophyll a, and Cb is chlorophyll b

2.6.2. Soot and Root Biomass

The soot and root biomass of the grown plant in the individual pots were calculated using the gravimetric method. Briefly, the leaves and root samples were collected after the completion of the pot-culture study and vigorously cleaned using distilled water. Subsequently, all the shoot and root samples were oven dried at 60 °C for 24 hours or until a constant weight was achieved. Afterward, the dried shoot and root samples' weight was recorded using a digital weighing balance designated as shoot and root biomass. The shoot and root parts of the plants grown in the pots were measured using a measuring tape and designated as shoot and root length.

2.6.3. Bioaccumulation and Translocation Factor

The bioaccumulation and translocation factors are calculated to estimate the translocation of heavy metals or pollutants from the soil environment to the plant shoot and root parts and from the plant’s root to shoot parts, respectively. The bioaccumulation and translocation factors can be calculated using the followings equations [31,32]:
Bioaccumulation   Factor   ( BF shoot ) = C o n c e n t r a t i o n o f h e a v y m e t a l s i n t h e s h o o t p a r t ( m g L ) C o n c e n t r a t i o n o f h e a v y m e t a l s i n t h e s o i l ( m g L )
BF Root = C o n c e n t r a t i o n o f h e a v y m e t a l s i n t h e r o o t p a r t ( m g L ) C o n c e n t r a t i o n o f h e a v y m e t a l s i n t h e s o i l ( m g L )
Translocation   Factor   ( TF ) = C o n c e n t r a t i o n o f h e a v y m e t a l s i n t h e s h o o t p a r t ( m g L ) C o n c e n t r a t i o n o f h e a v y m e t a l s i n t h e r o o t p a r t ( m g L )

2.6.4. Glutathione and Proline Content

The total glutathione content in the plant cells indicates the plant’s oxidative stress arising from environmental stresses, such as drought, salinity, and heavy metals pollution [33]. The Glutathione levels in the plant cells were determined using a spectrophotometric method reported in an earlier study [33]. Briefly, the plant’s leaf samples were collected from each pot after the completion of the pot-culture study and chopped into small pieces. Subsequently, 0.25 g of the chopped leaf samples were mixed with 2 ml of 6 % Metaphosphoric acid containing one mM of EDTA and crushed to a paste using a chilled mortar pestle. The semi-solid samples were taken in the 15 ml centrifuge tubes and centrifuged for 15 minutes at 4 °C at 10000 × g equivalent force. After centrifugation, approximately 0.4 mL of supernatant was collected from the tubes and mixed with 1 mL of 0.5 M potassium phosphate buffer having pH 7.5 in a glass test tube. Thereafter, 100 µL of 10 mM DTNB (5,5' – dithiobis (2 nitrobenzoic acid), 200 µL of 10 mM BSA (N,O-bis(trimethylsilyl)acetamide), and 100 µL 0.5 mM of NADH (nicotinamide adenine dinucleotide hydrogen) were added to mixture in the test tube and incubated for 15 minutes at 37 °C in the incubator. Subsequently, the concentration of total glutathione in the plant samples were determined by taking the absorbance reading at 412 nm using a UV-Visible spectrophotometer (Model: 1900i, Shimadzu Corporation, Japan). The proline content in the plant cells, which is an indicator of oxidative stress in the plants, was determined using a spectrophotometric method reported in an earlier study [34]. About 100 mg of leaf samples were collected from the plants from each pot and chopped into small pieces. The chopped leaf sample from each pot was mixed with 3 % Sulfosalicylic acid (@ 5 µL/g of leaf sample) and grinded using a mortar pestle, and extracted using the centrifugation process by centrifuging the samples at 10000 × g for 5 minutes. About 100 µL of supernatant was collected from each tube and mixed into the mixed solution containing 100 µL of 3 % sulfosalicylic acid, 200 µL of glacial acetic acid, and 200 µL of acidic ninhydrin in a separate glass tube. The entire mixture solution containing leaf extract samples was incubated at 96 °C for 1 hour, followed by immediate contact with an ice pack to end the reaction process. After that, 1 ml of toluene was added to each extracted sample solution, vortexed for 40 – 50 seconds, and left for 5 minutes to complete the reaction. Subsequently, the proline concentration in the leaf cells was determined by taking the absorbance at 520 nm using a UV-Visible spectrophotometer (Model: 1900i, Shimadzu Corporation, Japan).

2.7. Statistical analysis

The data generated from soil and pot-culture analysis were statistically analyzed. Briefly, data from each group of pot-culture analysis for soil and plant were tested for normality and equal variance using SPSS 21. Subsequently, data from sub-groups of pot-culture analysis for soil and plant were tested for the significant mean difference using one-way ANOVA analysis at a 95 % confidence interval using Origin Pro version 2023.

3. Results and Discussion

3.1. Initial soil physicochemical characteristics

The initial soil characterization was done to access the baseline physicochemical properties of the soil collected from the mining area, as shown in Table 1. Initial particle size analysis indicated that the soil has a silty loam texture having sand, silt, and clay content of 47.70, 45.79, and 6.71 %, respectively. The soil showed acidic characteristics having a mean pH of 6.16 units and conductivity of 102 µS cm-1. The organic matter and total organic carbon content in the soil were deficient, having values of 1.24 % and 0.722 %, respectively, indicating a very low fertility level. Furthermore, the soil's exchangeable Na, K, Ca, and Mg contents were 122.89, 83.26, 131.42, and 24.86 mg kg-1, respectively, which are very low compared to the average fertile soil. Also, the available phosphorous, N, and CEC of the soil were very low, thus, considering it in the category of degraded soil [35,36]. Moreover, the soil was also found to be contaminated with the presence of multiple heavy metals (Table 1). Remarkably, the concentrations of acid-extractable heavy metals such as Cr, Zn, Cd, and Ni were found to be more than the permissible limits of WHO 1996. Moreover, the soil enzymatic activities were also low compared to the average fertile soil. Thus, the present soil can be categorized as degraded and contaminated soil.

3.2. Physicochemical Characteristics of seed balls

The physicochemical characteristics of the constituting components of seed ball, i.e., kaolinite clay and bentonite-biochar composite, are shown in Table S1 and S2 (supplementary material). The physiochemical characteristics of seed balls produced varying the wt % of the bentonite-biochar composite form (0.5 – 5 %) with respect to the fixed weight of kaolinite clay (50, 100, and 150 g) are shown in Table S3 (supplementary material). It can be referred from Table S1 that kaolinite clay showed a slightly alkaline pH having low CEC and surface area having moderate exchangeable nutrient content. The bentonite-biochar composite showed alkaline pH, higher specific surface area and CEC (78 and 75 %, respectively, higher than kaolinite clay), and higher exchangeable Mg and Na content. The biochar composite's carbon and mineral matter content was about 41.67% and 32.12 %, respectively. The physiochemical characteristics of seed balls (Table S3) showed that for a fixed fraction of kaolinite clay, the pH and exchangeable nutrients in the seed balls increased with the increase in the weight fractions from 0.5 to 5 %. Likewise, the CEC and organic carbon fractions also increased with an increase in the biochar composite fractions with respect to the fixed weight of kaolinite in the seed balls. Such a trend of an increase in the pH, CEC, and exchangeable nutrients in the seed balls with an increase in the biochar composite fraction in the seed balls can be attributed to the physiochemical characteristics of the bentonite biochar composite. As reflected in Table S2 that the bentonite-biochar composite is rich in carbon content and has intrinsic high exchangeable nutrients. The seed ball's high nutrient content, specific surface area, and organic carbon support the initial seedling growth when it lands in the soil.

3.3. Post-pot-culture soil physicochemical characteristics

3.3.1. pH, available N, organic matter, and CEC

The post-pot-culture characterization of the soil was done to assess the effect of the application of bentonite-biochar-based seed balls on the soil properties. The change in the pH, available N, organic matter, and cation exchange capacity of the soil are shown in Figure 2. It can be observed from Figure 2a that the application of seed balls in the soil significantly (p < 0.05) improved the pH of the soil compared to the controlled study. Further, an increase in the biochar composite fraction in the seed balls from 0.5 to 5 % (w/w) substantially improved the soil pH in all categories of the clay content, i.e., 1C, 3C, and 5C. Moreover, the increase in the clay fraction content in the seed balls by five times also substantially increased the pH compared to the lower clay content in the seed balls. The increase in the soil pH with the application of seed balls may be attributed to the liming effect of the biochar composite due to the release of carbonate and bicarbonate ions in the soil matrix. The ammonical nitrogen content in the treated soil was significantly higher (p = 0.0032) than control study. It can be observed (Figure 2b) that the NH4-N in the soil increased with the increase in the biochar fraction from 0.5 to 5 % (w/w) in all types of clay fractions (1C, 3C, and 5C). Moreover, the concentration of NH4-N in the soil also substantially increased by an increase in the clay fraction in the seed balls containing by fives times. The increase of NH4-N in the soil can be linked to the bounded form of nitrogen in the clay part and amine functional groups on the biochar’s surface. The organic form of nitrogen in the clay fraction and nitrogen-containing functional groups in the biochar composite might have mineralized into the soil due to the microbial enzymatic actions. A similar increase in the nitrogen mineralization rate with the co-application of bio-solids and biochar in clayey soil was reported in an earlier study [37]. Similarly, the organic matter content in the soil treated with biochar composite-based seed balls was significantly higher (p = 0.00048) than in the controlled study. Moreover, the organic matter content in the soil significantly increased with the increase in the biochar and clay fractions in the seed balls. The increase in the organic matter content can be linked to the increase in the organic carbon fractions in the soil with the increase in the biochar composite’s fractions from 0.5 to 5 % (w/w) and the increase in the microbial enzymatic activities in the soil that might have increased the rate of biochemical reactions. A similar observation was reported in an earlier study that reported an increase in the soil organic carbon content with the application of biochar [38,39]. The cation exchange capacity of the soils amended with biochar composite-based seed balls was significantly higher (p = 0.00568) than in the controlled study. Also, an increase in the CEC of the treated soils was observed with the increase in the biochar and clay fractions in the seed balls from 0.5 to 5 % and one to five parts, respectively. The increase in the CEC of the soil can be linked to the abundance of exchangeable nutrients in the bentonite biochar composite and the kaolinite. A similar trend was observed in the earlier studies, where the soil's CEC increased with biochar application [40,41].

3.3.2. Available nutrients, soil enzymes, and soil fertility index (SFI)

The exchangeable and plant-available nutrients in the soil treated with biochar composite-based seed balls are shown in Figure 3. It can be visualized from Figures 5.3a and 5.3b that the concentration of exchangeable K and Ca has significantly (p = 0.0047) increased in the soil amended with seeds balls compared to the controlled study. Also, it can be observed that the exchangeable fractions of K in the treated soil increased with the increase in the fractions of both biochar composite and kaolinite fractions in the seed balls from 0.5 to 5 and 1 to 5 folds, respectively. Likewise, the exchangeable fraction of Ca was highest in the soil treated with seeds balls containing 3 % (w/w) of biochar composite and five fractions of kaolinite compared to the other treatment combinations of the seed balls. The exchangeable fraction of Mg, considered a vital soil micronutrient, significantly increased by 35.19 % with the increase in biochar composite and kaolinite in the seed ball by three and five folds, respectively. The increase in the fractions of exchangeable K, Ca, and Mg in the amended soil can be linked to the nutrients in the seed balls (Table S1, S2, and S3) that might have been released into the soil through mineralization and leaching processes. A similar increase in the available nutrients in the soil treated with biochar was reported in earlier studies [42,43]. The concentration of available P in the amended soil was significantly increased by 59.45 % (p = 0.00063) with the increase in the fractions of biochar composite and kaolinite by ten times and five times, respectively. The increase in the available P fraction in the amended soil can be linked to the abundance of available P in the biochar composite and kaolinite-based seed balls (Table S3). The phosphorous present in the seed balls might have been released into the soil through leaching and microbial mineralization processes, subsequently retained by the biochar composites present in the soil. The high sorption affinity of biochar-bentonite composite for nitrate and phosphate in the soil has already been elucidated in the author’s previous research paper published in Environmental Management Journal [29].
The variation in the soil enzymes, i.e., soil catalase, β-glucosidase, and urease, with the application of seed ball treatment in the soil, are shown in Figure 4. It can be observed from Figure 4a that soil catalase, a crucial soil redox enzyme that promotes humus formation in the soil and prevents it from H2O2 toxicity, significantly increased in the treated soil compared to the control. Moreover, the catalase content in the soil also substantially improved by increasing the fractions of biochar composite and kaolinite content by ten (5 % w/w) and five folds, respectively, in the seed balls. Similarly, the β-glucosidase and urease enzymatic activities, indicators of early changes in organic matter and nitrogen mineralization in the soil, respectively, were substantially (p = 0.00326) increased with the increase in the biochar composite and kaolinite fractions in the seed balls. The β-glucosidase and urease enzymatic activities were increased by 70.23 and 68.54 %, respectively, when the biochar composite and kaolinite fractions in the seed balls increased by ten and five folds, respectively. The increase in the soil enzymatic activities can be linked to the increase in the soil fertility index, nutrient content, and reduction in the heavy metals toxicity in the soil (Figure S2). A similar increase in the soil enzymatic activity with the application of biochar and bentonite was reported in earlier studies [44,45,46]. Finally, the soil fertility index (SFI) was calculated to assess the overall impact of biochar composite and kaolinite-based seed balls in improving the fertility level of the amended soil. The variation in the SFI of the amended soil with different combinations of seed balls is shown in Figure 4a. It can be observed from the figure that the SFI of the amended soil was significantly higher (ANOVA, p-value = 0.000673) than the control study. The SFI was increased by 17.44 % and 23.28 %, respectively, by increasing the biochar composite and kaolinite fractions in the seed balls by ten and five folds, respectively (Combination of 5B5C). The increase in the SFI can be linked to the improvement in the pH and nutrient content in the soil. A similar increase in the SFI was observed in an earlier study with the application of hardwood-derived biochar and chemical fertilizer [36].

3.3.3. Heavy metals

The total (acid-extractable) and DTPA-extractable heavy metals content in the amended soils post-to-pot-culture study as well as their variation among the groups, is shown in Table 2 and Figure 5. The data presented in Figure 5 and Table S4 shows that the DTPA-extractable and total heavy metals content in the treated and amended soils were significantly reduced (p-value = 0.00389 and 0.00763, respectively) compared to the control study. Moreover, the DTPA-extractable concentration of heavy metals also substantially varied among the treatment groups, with variations in the biochar composite and kaolinite fractions in the seed balls. The increase in the seed balls' biochar composite and kaolinite fraction by ten and five folds reduced the phytoavalibility of Cr by 34.33 and 47.76 %, respectively. Similarly, the phytoavailability of Cd was reduced by 72.22 and 33.33 %, respectively. The sorption affinity of heavy metals in the soil treated with seed balls followed the order of Cd > Cr > Ni > Pb > Co > Cu > Zn. The DTPA-extractable heavy metals results in the amended soil implicated that the increase in the biochar composite and kaolinite fractions in the seed balls substantially reduced the phyto-availability of the heavy metals. The reduction in the phyto-available heavy metals content in the soil with the application of seed balls can be linked to the adsorption of heavy metals within the soil matrix. The heavy metals might have adsorbed due to the interaction of heavy metals ions with the biochar composite and kaolinite particles present in the seed balls through electrostatic attraction between oppositely charged ions, as well as complexation of heavy metal ions with the oxygen-containing functional groups present on the biochar composite [47]. A similar reduction in the phyto-availability of heavy metals with the individual applications of biochar and kaolinite was reported in earlier studies [45,47,48,49].

3.4. Plant analysis

3.4.1. Soot and root length and Biomass

The changes in the plant shoot, root length, and biomass are shown in Figure 6. It can be observed from the figure that the plant species’ shoot and root length significantly increased (p-value = 0.000673, 0.000459 (<0.05)) compared to the controlled study. Moreover, the shoot and root length also substantially increased within the test groups with the increase in the biochar composite and kaolinite fractions in the seed balls five and ten folds, respectively. The maximum shoot and root lengths recorded within the sub-groups were 77.80 cm and 24.80 cm, respectively, with median values of 55.50 and 16.30 cm. Similarly, the application of seed balls in the degraded and contaminated soil significantly improved the shoot and root biomass, having mean values of 0.90 and 0.694 g, respectively, compared to the control study (shoot and root biomass = 0.55 and 0.46 g, respectively). Further, the shoot and root biomass also substantially increased within the test groups by 51 and 42.40 %, respectively, with an increase in the biochar composite and kaolinite fractions in the seed balls. The increase in the shoot and root length, as well as biomass with an increase in the fractions of biochar composite and kaolinite in the seed balls, can be attributed to the increase in the fractions of plant-available nutrients in the soil, decrease in the plant stress hormones (Figure 8) and heavy metals toxicity. A similar result in the increase in the plant shoot and root biomass with the application of biochar and reduction in heavy metals toxicity was reported in earlier studies [36,50,51].

3.4.2. Translocation and bioaccumulation factors

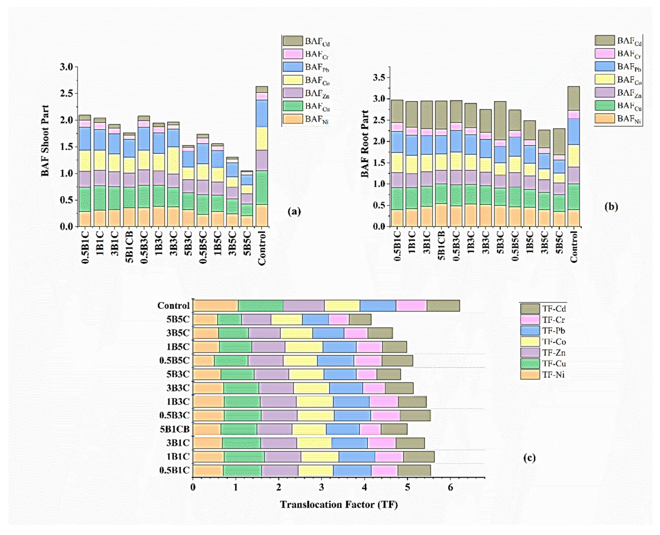
The concentrations of heavy metals in the plant’s shoot and root cells are given in Table S5 (supplementary material). However, the translocation and bioaccumulation factors were calculated to interpret the effect of biochar composite-based seed balls in immobilizing heavy metals in the soil and reducing phytotoxicity in the plant cells. The translocation and bioaccumulation factors are shown in Figure 7 (a-c). It can be observed from Figure 7c that the translocation factor (TF), an indicator of the migration of heavy metals from root to shoot part, was substantially reduced in the test groups compared to the controlled study for all heavy metals. This indicates that the application of seed balls in the contaminated soil has substantially reduced the phytoavailability of heavy metals and, subsequently, reduced the translocation of heavy metals from root to shoot part, reducing the phytotoxicity levels. Moreover, it can also be observed that within the test groups, the maximum reduction in the TF was observed for the test groups amended with seed balls having the highest fractions of biochar composite and kaolinite. The lowest TF was observed for the test group (5B5C), in which the following migration sequence of heavy metals was observed Cr < Cd < Cu < Ni < Pb < Zn < Co. This indicates that the seed balls application substantially reduced the translocation of Cr and Cd in the plant cells, which were present in the soil having concentration more than the WHO permissible limit. The bioaccumulation factors for shoot and root parts, as shown in Figure 7a,b, indicated that the application of seed balls in the contaminated soil significantly reduced the phytotoxicity levels in the plant cells within the test groups compared to the controlled study. Notably, the increase in the fractions of biochar composite in the seed balls to ten-fold substantially reduced the phytotoxicity of heavy metals in both shoot and root parts. Also, the lowest phytotoxicity level was observed in the test group supplemented with seed balls containing five and ten folds of kaolinite and biochar composite, respectively. The application of seed balls in the contaminated soil reduced the phytotoxicity of heavy metals in the shoot, following the sequence of Cd < Cr < Zn < Co < Pb < Ni < Cu. Similarly, the heavy metals phytotoxicity in the root followed the sequence of Cr < Cd < Zn < Co < Ni < Cu < Pb. The above results and discussion indicate that the combination of biochar composite with kaolinite in the seed balls reduced the phytoavailability of heavy metals, more specifically, for the Cr, Cd, Zn, and Co through their sorption within the soil matrix onto the biochar composite. A similar reduction in the phytotoxicity of heavy metals with the application of biochar and its composites was reported in earlier studies [36,44,52].

3.4.3. Chlorophyll, Glutathione, and Proline Content

The chlorophyll, glutathione, and proline content of the plant cells within the test groups is shown in Figure 8 (a–c). The total chlorophyll content (Figure 8c) in the test groups significantly improved compared to the control study. Remarkably, the increase in the biochar composite fractions in the seed balls from 0.5 % to 5 % (w/w) substantially increased the chlorophyll content. The proline content in plant cells plays an essential role in protein synthesis, metabolism, cell development, and antioxidative reactions within the cell. The release of proline and glutathione hormones in the plant cells usually increases when subjected to toxicity and abiotic stresses, such as plant growth in contaminated and degraded soils [53]. The application of seed balls in the test groups significantly reduced (p-value = 0.000365) the release of plant stress hormones, i.e., proline and glutathione, in the plant cells compared to the control group (Figure 8a and 8b). Moreover, within the test groups, the 5B5C test group showed the least values of proline and glutathione in the plant cells. This indicates that the increase in the biochar composite and kaolinite fractions by ten and five folds substantially reduced the plant cells' phytotoxicity. This result can be linked to the reduced toxicity of the heavy metals in the plant cells treated with the seed balls, as also evident from the correlation plot among translocations factors, total chlorophyll content, and plant stress hormones (Figure S3). It is evident from Figure 5.10 that the decrease in the translocation of heavy metals, particularly Cr, Cd, Pb, and Co, substantially reduced the release the proline and glutathione release in the plant cells and improved the total chlorophyll content. Similar observations of reduction in plant stress hormones with a reduction in phytoavailability of heavy metals with the application of biochar in the soil were reported in earlier studies [36,54,55].

3.5. Conclusions and Future Prospects

The following observations can be interpreted from the results and discussion of the present study:
(i)
The soil collected from the coal mining area was characterized as degraded and contaminated due to low organic matter and nutrient content and heavy metals such as Cr, Cd, Zn, and Co in a concentration more than the WHO limits in the soil.
(ii)
The application of seed balls containing Sorghum grass seeds assisted in seed germination and sapling growth in the contaminated soil.
(iii)
The application of seed balls containing biochar composite and kaolinite substantially improved the soil’s physicochemical properties and reduced the metals' phytotoxicity.
(iv)
The increase in the biochar composite fractions in the seed balls up to 5 % (w/w) of kaolinite reduced the phytoavailability of the heavy metals (specifically Cd and Cr) in the soil and increased the plant’s physiological structure.
(v)
The seed balls application in the test groups substantially reduced the secretion of antioxidative and stress hormones in the plant cell due to reduced abiotic stress factors and phytotoxicity.
The current study showed that the seed balls could be a low-cost and effective solution for the remediation of contaminated and degraded soil in mining-affected or contaminated land. However, there is a scope for further detailed and long-term field scale studies to ascertain the remediation potential of the seed balls. Also, individual researchers or research organizations can collaborate with the mining industry to jointly study the application of seed balls in actual field conditions on a large scale, and efforts can be taken to technology transfer and minimize the overall cost of remediation and land restoration. Moreover, efforts can be made to enhance the design and quality of seed balls with different biochar composites and other soil-ameliorating materials. There is also a scope to study the utility of drone technology for the application of seed balls in contaminated and degraded lands that are inaccessible to humans due to safety and health concerns.

Supplementary Materials

The following supporting information can be downloaded at the website of this paper posted on Preprints.org.

Author Contributions

I.M.: Conceptualization, method development, and writing original draft; S.C.: Design of Experiment, Data curation, and writing Original draft; J.B.: Investigation, Supervision, Review, and Resouces.

Funding

This research has not external funding.

Institutional Review Board Statement

This study did not require ethical approval.

Informed Consent Statement

Not applicable.

Data Availability Statement

This study did not report any data for publication.

Acknowledgments

The authors are thankful to Indian Institute of Tehcnology Kharagpur for proving research inrastructre and lab facilites. The authors would also like to give their sincere thanks to MHRD and Government of India for providing research fellowship to the first author during her tenure as research scholar at IIT Kharagpur.

Conflicts of Interest

The authors have no conflict of interest to decalre.

References

  1. Agboola, O.; Babatunde, D.E.; Isaac Fayomi, O.S.; Sadiku, E.R.; Popoola, P.; Moropeng, L.; Yahaya, A.; Mamudu, O.A. A Review on the Impact of Mining Operation: Monitoring, Assessment and Management. Results Eng. 2020, 8, 100181. [Google Scholar] [CrossRef]
  2. Koul, B.; Taak, P. Chemical Methods of Soil Remediation. In Biotechnological Strategies for Effective Remediation of Polluted Soils; Springer, Singapore, 2018.
  3. Khalid, S.; Shahid, M.; Niazi, N.K.; Murtaza, B.; Bibi, I.; Dumat, C. A Comparison of Technologies for Remediation of Heavy Metal Contaminated Soils. J. Geochemical Explor. 2017, 182, 247–268. [Google Scholar] [CrossRef]
  4. Raja, R.; Pal, S. Remediation of Heavy Metal Contaminated Soils by Solidification / Stabilization with Fly Ash, Quick. J. Indian Chem. Soc. 2019, 96, 481–486. [Google Scholar] [CrossRef]
  5. Król, A.; Mizerna, K.; Bożym, M. An Assessment of PH-Dependent Release and Mobility of Heavy Metals from Metallurgical Slag. J. Hazard. Mater. 2020, 384. [Google Scholar] [CrossRef]
  6. Jiang, Q.; He, Y.; Wu, Y.; Dian, B.; Zhang, J.; Li, T.; Jiang, M. Solidification/Stabilization of Soil Heavy Metals by Alkaline Industrial Wastes: A Critical Review. Environ. Pollut. 2022, 312, 120094. [Google Scholar] [CrossRef]
  7. Tang, B.; Xu, H.; Song, F.; Ge, H.; Chen, L.; Yue, S.; Yang, W. Effect of Biochar on Immobilization Remediation of Cd⁃contaminated Soil and Environmental Quality. Environ. Res. 2022, 204, 111840. [Google Scholar] [CrossRef] [PubMed]
  8. Lu, K.; Yang, X.; Gielen, G.; Bolan, N.; Ok, Y.S.; Niazi, N.K.; Xu, S.; Yuan, G.; Chen, X.; Zhang, X.; et al. Effect of Bamboo and Rice Straw Biochars on the Mobility and Redistribution of Heavy Metals (Cd, Cu, Pb and Zn) in Contaminated Soil. J. Environ. Manage. 2017, 186, 285–292. [Google Scholar] [CrossRef] [PubMed]
  9. Sun, P.; Wang, Z.; An, S.; Zhao, J.; Yan, Y.; Zhang, D.; Wu, Z.; Shen, B.; Lyu, H. Biochar-Supported NZVI for the Removal of Cr(VI) from Soil and Water: Advances in Experimental Research and Engineering Applications. J. Environ. Manage. 2022, 316, 115211. [Google Scholar] [CrossRef]
  10. He, L.; Zhong, H.; Liu, G.; Dai, Z.; Brookes, P.C.; Xu, J. Remediation of Heavy Metal Contaminated Soils by Biochar: Mechanisms, Potential Risks and Applications in China. Environ. Pollut. 2019, 251, 846–855. [Google Scholar] [CrossRef]
  11. Zhang, R.H.; Xie, Y.; Zhou, G.; Li, Z.; Ye, A.; Huang, X.; Xie, Y.; Shi, L.; Cao, X.; Zhang, J.; et al. The Effects of Short-Term, Long-Term, and Reapplication of Biochar on the Remediation of Heavy Metal-Contaminated Soil. Ecotoxicol. Environ. Saf. 2022, 248, 114316. [Google Scholar] [CrossRef]
  12. Jun, L.; Wei, H.; Aili, M.; Juan, N.; Hongyan, X.; Jingsong, H.; Yunhua, Z.; Cuiying, P. Effect of Lychee Biochar on the Remediation of Heavy Metal-Contaminated Soil Using Sunflower: A Field Experiment. Environ. Res. 2020, 188, 109886. [Google Scholar] [CrossRef] [PubMed]
  13. Lin, L.; Li, Z.; Liu, X.; Qiu, W.; Song, Z. Effects of Fe-Mn Modified Biochar Composite Treatment on the Properties of As-Polluted Paddy Soil. Environ. Pollut. 2019, 244, 600–607. [Google Scholar] [CrossRef] [PubMed]
  14. Zhang, J.; Jiang, Y.; Ding, C.; Wang, S.; Zhao, C.; Yin, W.; Wang, B.; Yang, R.; Wang, X. Remediation of Lead and Cadmium Co-Contaminated Mining Soil by Phosphate-Functionalized Biochar: Performance, Mechanism, and Microbial Response. Chemosphere 2023, 334, 138938. [Google Scholar] [CrossRef] [PubMed]
  15. Shao, P.; Yin, H.; Li, Y.; Cai, Y.; Yan, C.; Yuan, Y.; Dang, Z. Remediation of Cu and As Contaminated Water and Soil Utilizing Biochar Supported Layered Double Hydroxide: Mechanisms and Soil Environment Altering. J. Environ. Sci. (China) 2023, 126, 275–286. [Google Scholar] [CrossRef]
  16. Sun, T.; Yang, W.; Xu, Y.; Wang, L.; Liang, X.; Huang, Q.; Sun, Y. Effect of Ca–Modified Biochar Coupling with Low–Cd Accumulation Maize Cultivars on Remediation of Cd Contaminated Soils and Microbial Community Composition. Soil Tillage Res. 2023, 232, 105765. [Google Scholar] [CrossRef]
  17. Ali, M.U.; Chand, S.; Latif, M.U. Seed Ball Technology and Its Significance Available online: https://timesagriculture.com/.
  18. USDA Forest Service.
  19. Maiti, S.K. Ecorestoration of the Coalmine Degraded Lands; Springer, 2012; ISBN 9788132208501.
  20. EPA 9045D EPA Method 9045D; 2004; pp. 1–3.
  21. Maiti, S.K. Ecorestoration of the Coalmine Degraded Lands; Springer Science & Business Media, 2012; ISBN 9788578110796.
  22. EPA 9081 Cation Exchange Capacity of Soils (Sodium Acetate); 1986; Vol. 9, pp. 123–128.
  23. Hoogsteen, M.J.J.; Lantinga, E.A.; Bakker, E.J.; Groot, J.C.J.; Tittonell, P.A. Estimating Soil Organic Carbon through Loss on Ignition: Effects of Ignition Conditions and Structural Water Loss. Eur. J. Soil Sci. 2015, 66, 320–328. [Google Scholar] [CrossRef]
  24. EPA 3051A Microwave Assiststed Acid Digestion of Sedmients, Sludges, Soils, and Oils; 2007; pp. 1–30.
  25. Lindsay, W.L.; Norvell, W.A. Equilibrium Relationships of Zn2+, Fe3+, Ca2+, and H+ with EDTA and DTPA in Soils. Soil Sci. Soc. Am. J. 1969, 33, 62–68. [Google Scholar] [CrossRef]
  26. Roberge, M.R. Methodology of Enzymes Determination and Extraction. In ‘Soil enzymes’; (Ed. RG Burns); Academic Press: New York, 1978; pp. 341–352. [Google Scholar]
  27. Turner, B.L.; Hopkins, D.W.; Haygarth, P.M.; Ostle, N. Β-Glucosidase Activity in Pasture Soils. Appl. Soil Ecol. 2002, 20, 157–162. [Google Scholar] [CrossRef]
  28. Kandeler, E.; Gerber, H. Short-Term Assay of Soil Urease Activity Using Colorimetric Determination of Ammonium. Biol. Fertil. Soils 1988, 6, 68–72. [Google Scholar] [CrossRef]
  29. Medha, I.; Chandra, S.; Bhattacharya, J.; Samal, B.; Vanapalli, K.R. Development of Rice Straw-Derived Biochar-Bentonite Composite and Its Application for in Situ Sequestration of Ammonium and Phosphate Ions in the Degraded Mine Soil. Environ. Manage. 2023. [Google Scholar] [CrossRef]
  30. Sun, H.; Liu, S.; Chen, K.; Li, G. Spectrophotometric Determination of Chlorophylls in Different Solvents Related to the Leaf Traits of the Main Tree Species in Northeast China. IOP Conf. Ser. Earth Environ. Sci. 2021, 836. [Google Scholar] [CrossRef]
  31. Banerjee, R.; Goswami, P.; Pathak, K.; Mukherjee, A. Vetiver Grass : An Environment Clean-up Tool for Heavy Metal Contaminated Iron Ore Mine-Soil. Ecol. Eng. 2016, 90, 25–34. [Google Scholar] [CrossRef]
  32. Wu, Q.; Wang, S.; Thangavel, P.; Li, Q.; Zheng, H.; Bai, J.; Qiu, R. Phytostabilization Potential of Jatropha Curcas l. in Polymetallic Acid Mine Tailings. Int. J. Phytoremediation 2011, 13, 788–804. [Google Scholar] [CrossRef] [PubMed]
  33. Sahoo, S.; Awasthi, J.P.; Sunkar, R.; Panda, S.K. Determining Glutathione Levels in Plants. Methods Mol. Biol. 2017, 1631, 273–277. [Google Scholar] [CrossRef] [PubMed]
  34. Ábrahám, E.; Hourton-Cabassa, C.; Erdei, L.; Szabados, L. Methods for Determination of Proline in Plants. In Plant Stress Tolerance, Methods in Molecular Biology; 2010; Vol. 639, pp. 1–14 ISBN 978-1-60761-701-3.
  35. Shrestha, R.K.; Lal, R. Changes in Physical and Chemical Properties of Soil after Surface Mining and Reclamation. Geoderma 2011, 161, 168–176. [Google Scholar] [CrossRef]
  36. Chandra, S.; Medha, I.; Bhattacharya, J.; Vanapalli, K.R.; Samal, B. Effect of the Co-Application of Eucalyptus Wood Biochar and Chemical Fertilizer for the Remediation of Multimetal (Cr, Zn, Ni, and Co) Contaminated Soil. Sustain. 2022, 14. [Google Scholar] [CrossRef]
  37. Manirakiza, E.; Ziadi, N.; St. Luce, M.; Hamel, C.; Antoun, H.; Karam, A. Nitrogen Mineralization and Microbial Biomass Carbon and Nitrogen in Response to Co-Application of Biochar and Paper Mill Biosolids. Appl. Soil Ecol. 2019, 142, 90–98. [Google Scholar] [CrossRef]
  38. Joseph, U.E.; Toluwase, A.O.; Kehinde, E.O.; Omasan, E.E.; Tolulope, A.Y.; George, O.O.; Zhao, C.; Hongyan, W. Effect of Biochar on Soil Structure and Storage of Soil Organic Carbon and Nitrogen in the Aggregate Fractions of an Albic Soil. Arch. Agron. Soil Sci. 2020, 66, 1–12. [Google Scholar] [CrossRef]
  39. Jing, Y.; Zhang, Y.; Han, I.; Wang, P.; Mei, Q.; Huang, Y. Effects of Different Straw Biochars on Soil Organic Carbon, Nitrogen, Available Phosphorus, and Enzyme Activity in Paddy Soil. Sci. Rep. 2020, 10, 1–12. [Google Scholar] [CrossRef]
  40. Kharel, G.; Sacko, O.; Feng, X.; Morris, J.R.; Phillips, C.L.; Trippe, K.; Kumar, S.; Lee, J.W. Biochar Surface Oxygenation by Ozonization for Super High Cation Exchange Capacity. ACS Sustain. Chem. Eng. 2019, 7, 16410–16418. [Google Scholar] [CrossRef]
  41. Domingues, R.R.; Sánchez-Monedero, M.A.; Spokas, K.A.; Melo, L.C.A.; Trugilho, P.F.; Valenciano, M.N.; Silva, C.A. Enhancing Cation Exchange Capacity Ofweathered Soils Using Biochar: Feedstock, Pyrolysis Conditions and Addition Rate. Agronomy 2020, 10, 1–17. [Google Scholar] [CrossRef]
  42. Khadem, A.; Raiesi, F.; Besharati, H.; Khalaj, M.A. The Effects of Biochar on Soil Nutrients Status, Microbial Activity and Carbon Sequestration Potential in Two Calcareous Soils. Biochar 2021, 3, 105–116. [Google Scholar] [CrossRef]
  43. Kalu, S.; Simojoki, A.; Karhu, K.; Tammeorg, P. Long-Term Effects of Softwood Biochar on Soil Physical Properties, Greenhouse Gas Emissions and Crop Nutrient Uptake in Two Contrasting Boreal Soils. Agric. Ecosyst. Environ. 2021, 316, 107454. [Google Scholar] [CrossRef]
  44. Pandey, B.; Suthar, S.; Chand, N. Effect of Biochar Amendment on Metal Mobility, Phytotoxicity, Soil Enzymes, and Metal-Uptakes by Wheat (Triticum Aestivum) in Contaminated Soils. Chemosphere 2022, 307, 135889. [Google Scholar] [CrossRef]
  45. Ali, A.; Guo, D.; Arockiam Jeyasundar, P.G.S.; Li, Y.; Xiao, R.; Du, J.; Li, R.; Zhang, Z. Application of Wood Biochar in Polluted Soils Stabilized the Toxic Metals and Enhanced Wheat (Triticum Aestivum) Growth and Soil Enzymatic Activity. Ecotoxicol. Environ. Saf. 2019, 184, 109635. [Google Scholar] [CrossRef]
  46. Tanzeem-Ul-haq, H.S.; Rasool, B.; Ehtisham-Ul-haque, S.; Saif, S.; Zafar, S.; Younis, T.; Akhtar, I.; Jafri, L.; Iqbal, N.; Masood, N.; et al. Chitosan with Bentonite and Biochar in Ni-Affected Soil Reduces Grain Ni Concentrations, Improves Soil Enzymes and Grain Quality in Lentil. Minerals 2021, 11, 1–19. [Google Scholar] [CrossRef]
  47. Wang, L.; Bolan, N.S.; Tsang, D.C.W.; Hou, D. Green Immobilization of Toxic Metals Using Alkaline Enhanced Rice Husk Biochar: Effects of Pyrolysis Temperature and KOH Concentration. Sci. Total Environ. 2020, 720, 137584. [Google Scholar] [CrossRef]
  48. Wang, Y.Y.; You, L.C.; Lyu, H.H.; Liu, Y.X.; He, L.L.; Hu, Y. Di; Luo, F.C.; Yang, S.M. Role of Biochar–Mineral Composite Amendment on the Immobilization of Heavy Metals for Brassica Chinensis from Naturally Contaminated Soil. Environ. Technol. Innov. 2022, 28. [Google Scholar] [CrossRef]
  49. Vrînceanu, N.O.; Motelică, D.M.; Dumitru, M.; Calciu, I.; Tănase, V.; Preda, M. Assessment of Using Bentonite, Dolomite, Natural Zeolite and Manure for the Immobilization of Heavy Metals in a Contaminated Soil: The Copșa Mică Case Study (Romania). Catena 2019, 176, 336–342. [Google Scholar] [CrossRef]
  50. Alaboudi, K.A.; Ahmed, B.; Brodie, G. Effect of Biochar on Pb, Cd and Cr Availability and Maize Growth in Artificial Contaminated Soil. Ann. Agric. Sci. 2019, 64, 95–102. [Google Scholar] [CrossRef]
  51. Gonzaga, M.I.S.; de Jesus Santos, J.C.; Ganassali Junior, L.F.; Fontes, P.T.N.; Araújo, J. da S.; Gonzaga, T.A.S. Copper Uptake, Physiological Response, and Phytoremediation Potential of Brassica Juncea under Biochar Application. Int. J. Phytoremediation 2022, 24, 474–482. [Google Scholar] [CrossRef] [PubMed]
  52. Wu, D.; Peng, W.; Bao, L.; Yu, X.; Dong, X.; Lai, M.; Liang, Z.; Xie, S.; Jacobs, D.F.; Zeng, S. Biochar Alleviating Heavy Metals Phytotoxicity in Sludge-Amended Soil Varies with Plant Adaptability. Environ. Res. 2022, 215, 114248. [Google Scholar] [CrossRef] [PubMed]
  53. Dar, M.I.; Naikoo, M.I.; Rehman, F.; Naushin, F.; Khan, F.A. Proline Accumulation in Plants: Roles in Stress Tolerance and Plant Development. In Osmolytes and Plants Acclimation to Changing Environment: Emerging Omics Technologies; 2016; pp. 155–166.
  54. Adejumo, S.A.; Owoseni, O.; Mur, L.A.J. Low Light Intensity and Compost Modified Biochar Enhanced Maize Growth on Contaminated Soil and Minimized Pb Induced Oxidative Stress. J. Environ. Chem. Eng. 2021, 9, 104764. [Google Scholar] [CrossRef]
  55. Bashir, M.A.; Wang, X.; Naveed, M.; Mustafa, A.; Ashraf, S.; Samreen, T.; Nadeem, S.M.; Jamil, M. Biochar Mediated-Alleviation of Chromium Stress and Growth Improvement of Different Maize Cultivars in Tannery Polluted Soils. Int. J. Environ. Res. Public Health 2021, 18, 1–24. [Google Scholar] [CrossRef]
Figure 1. Graphical representation of the study area.
Figure 1. Graphical representation of the study area.
Preprints 80175 g001
Figure 2. Effect of the application of the variation of biochar and clay fractions in the seed balls on (a) pH; (b) NH4-N content; (c) organic matter; and (d) CEC of the treated and cultivated soil.
Figure 2. Effect of the application of the variation of biochar and clay fractions in the seed balls on (a) pH; (b) NH4-N content; (c) organic matter; and (d) CEC of the treated and cultivated soil.
Preprints 80175 g002
Figure 3. Effect of application of biochar composite and kaolinite-based seed balls: (a) variations in exchangeable K; (b) variations in Exchangeable Ca; (c) variations in Exchangeable Mg; and (d) available P compared to control study and within the sub-groups of the experimental design.
Figure 3. Effect of application of biochar composite and kaolinite-based seed balls: (a) variations in exchangeable K; (b) variations in Exchangeable Ca; (c) variations in Exchangeable Mg; and (d) available P compared to control study and within the sub-groups of the experimental design.
Preprints 80175 g003
Figure 4. Effect of application of biochar composite and kaolinite-based seed balls: (a) variations in soil catalase; (b) variations in β-glucosidase; (c) variations in soil urease; and (d) soil fertility index compared to control study and within the sub-groups of the experimental design.
Figure 4. Effect of application of biochar composite and kaolinite-based seed balls: (a) variations in soil catalase; (b) variations in β-glucosidase; (c) variations in soil urease; and (d) soil fertility index compared to control study and within the sub-groups of the experimental design.
Preprints 80175 g004
Figure 5. Concentrations of DTPA-extractable heavy metals in the pot-cultured soil with the application of seed balls having varying fractions of biochar composite and kaolinite: (a) variations in the DTPA-extractable concentrations of Ni; (b) DTPA-extractable Cu; (c) DTPA-extractable Zn; (d) DTPA-extractable Co; (e) DTPA-extractable Pb; (f) DTPA-extractable Pb; and DTPA-extractable Cd.
Figure 5. Concentrations of DTPA-extractable heavy metals in the pot-cultured soil with the application of seed balls having varying fractions of biochar composite and kaolinite: (a) variations in the DTPA-extractable concentrations of Ni; (b) DTPA-extractable Cu; (c) DTPA-extractable Zn; (d) DTPA-extractable Co; (e) DTPA-extractable Pb; (f) DTPA-extractable Pb; and DTPA-extractable Cd.
Preprints 80175 g005
Figure 6. Effect of seed balls application on the (a) Plant shoot length; (b) Root length; (c) Shoot biomass; and (d) Root biomass in the pot-culture study.
Figure 6. Effect of seed balls application on the (a) Plant shoot length; (b) Root length; (c) Shoot biomass; and (d) Root biomass in the pot-culture study.
Preprints 80175 g006
Figure 7. Effect of biochar-composite-based seed balls within the test groups on (a) Bioaccumulation factor in shoot part; (b) bioaccumulation of heavy metals in root part; and (c) translocation factor (TF).
Figure 7. Effect of biochar-composite-based seed balls within the test groups on (a) Bioaccumulation factor in shoot part; (b) bioaccumulation of heavy metals in root part; and (c) translocation factor (TF).
Preprints 80175 g007
Figure 8. Effect of variation of the biochar composite in the seed balls on (a) Proline content in the plant cells; (b) Glutathione content in the plant cells; and (c) Total chlorophyll content.
Figure 8. Effect of variation of the biochar composite in the seed balls on (a) Proline content in the plant cells; (b) Glutathione content in the plant cells; and (c) Total chlorophyll content.
Preprints 80175 g008
Table 1. Initial Physicochemical Characteristics of mine soil.
Table 1. Initial Physicochemical Characteristics of mine soil.
Soil parameter Values
Particle size Sand 47.50 % Silt Loam Texture
Silt 45.79 %
Clay 6.71 %
pH 6.16 ± 0.11
EC (µS cm-1) 102.87 ± 5.24
Total organic carbon (%) 0.722 ± 0.08
Organic Matter (%) 1.24 ± 0.11
Exchangeable Na (mg/kg) 122.89 ± 4.19
Exchangeable K (mg/kg) 83.26 ± 2.30
Exchangeable Ca (mg/kg) 131.42 ± 3.79
Exchangeable Mg (mg/kg) 24.86 ± 0.91
Available P (mg/kg) 0.72 ± 0.02
Available N (mg/kg) 152.38 ± 5.01
Cation exchange capacity, CEC (cmol/kg) 5.83 ± 0.24
Manganese, Mn (mg/kg) 291.90 ± 8.05
Nickel, Ni (mg/kg) 49.97 ± 1.55
Copper, Cu (mg/kg) 20.30 ± 0.56
Zinc, Zn (mg/kg) 62.19 ± 1.72
Cobalt, Co (mg/kg) 22.11 ± 0.86
Lead, Pb (mg/kg) 24.82 ± 1.02
Chromium. Cr (mg/kg) 133.82 ± 5.13
Cadmium, Cd (mg/kg) 1.14 ± 0.03
DTPA- extractable Mn (mg/kg) 75.66 ± 3.83
DTPA- extractable Ni (mg/kg) 9.49 ± 0.36
DTPA- extractable Cu (mg/kg) 5.19 ± 0.21
DTPA- extractable Zn (mg/kg) 19.20 ± 1.53
DTPA- extractable Co (mg/kg) 5.01 ± 0.17
DTPA- extractable Pb (mg/kg) 5.43 ± 0.21
DTPA- extractable Cr (mg/kg) 41.83 ± 1.23
DTPA- extractable Cd (mg/kg) 0.30 ± 0.03
Soil catalase (0.1 mol KMnO4 g-1 of soil) 0.432 ± 0.015
β – glucosidase (mol PNF g-1 h-1) 0.539 ± 0.014
Urease (µg N-NH4 kg-1 h-1) 0.231 ± 0.077
Disclaimer/Publisher’s Note: The statements, opinions and data contained in all publications are solely those of the individual author(s) and contributor(s) and not of MDPI and/or the editor(s). MDPI and/or the editor(s) disclaim responsibility for any injury to people or property resulting from any ideas, methods, instructions or products referred to in the content.
Copyright: This open access article is published under a Creative Commons CC BY 4.0 license, which permit the free download, distribution, and reuse, provided that the author and preprint are cited in any reuse.
Prerpints.org logo

Preprints.org is a free preprint server supported by MDPI in Basel, Switzerland.

Subscribe

Disclaimer

Terms of Use

Privacy Policy

Privacy Settings

© 2026 MDPI (Basel, Switzerland) unless otherwise stated