Submitted:
19 July 2023
Posted:
20 July 2023
You are already at the latest version
Abstract
Keywords:
1. Introduction
2. Geographical and Geological Settings
2.1. Pulang Mining Area
2.2. Yujiashan Study Area
3. Materials and Methods
3.1. Migration Column Experiment
3.1.2. Migration Micro-Column Experiment
3.2. Analysis on the Mobile Forms of Metal
3.3. Multifractal Theory
4. Results and Discussion
4.1. Migration Column Experiment
4.1.1. Characteristics of Element Migration
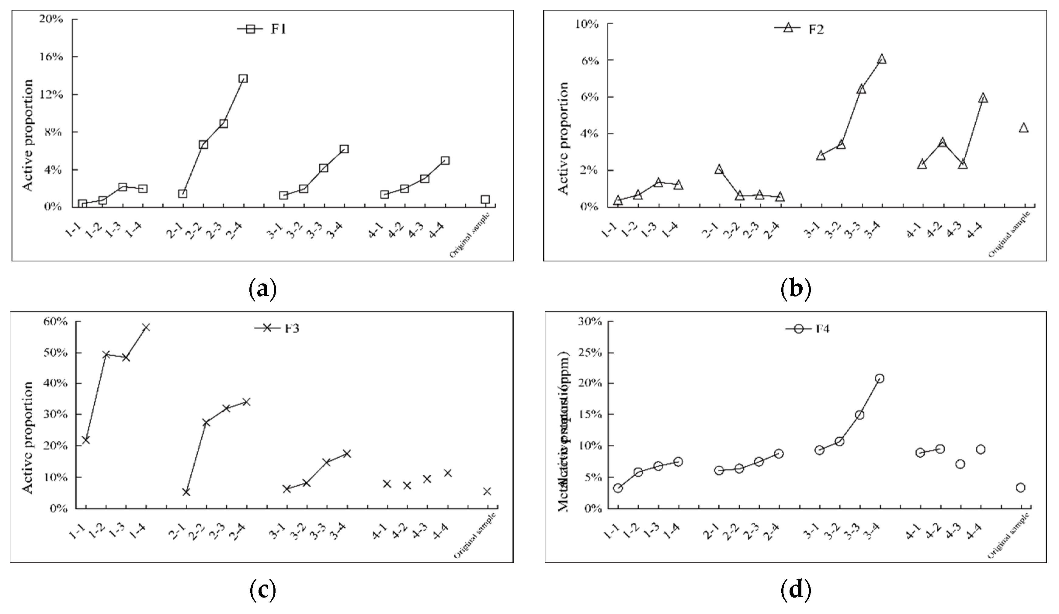
4.1.2. Analysis of Metal Activity
4.2. Migration Micro-Column Experiment
4.2.1. Test Tube Migration Experiment of Ore-Forming Elements Based on Soil in Covered Areas
4.2.2. Vertical Migration Characteristics of Cu in Soil Samples with Different Physical and Chemical Backgrounds

4.3. Nonlinear Analysis of Long Range Migration Characteristics of Metal Activity
5. Conclusion
References
- Anand R R, Robertson I. The role of mineralogy and geochemistry in forming anomalies on interfaces and in areas of deep basin cover: implications for exploration. Geochemistry: Exploration, Environment, Analysis. 2012, 12, 45–66. [CrossRef]
- Anand R R, Aspandiar M F, Noble R. A review of metal transfer mechanisms through transported cover with emphasis on the vadose zone within the Australian regolith. Ore Geology Reviews 2016, 73, 394–416. [Google Scholar] [CrossRef]
- Arai, E. State-of-the-art geophysics for metal exploration. Resource Geology 2021, 71, 470–491. [Google Scholar] [CrossRef]
- Basta N T, Ryan J A, Chaney R L. Trace element chemistry in residual – treated soil: key concepts and metal bioavailability. Journal of Environmental Quality 2005, 34, 49–63. [Google Scholar] [CrossRef] [PubMed]
- Baudeta E, Gilesa D, Tiddya, C et al. Evaluation of cover sequence geochemical exploration sample media through assessment of element migration processes. Ore Geology Reviews 2018, 102, 449–473. [Google Scholar] [CrossRef]
- Butt C, Lintern M J, Anand R R. Evolution of regoliths and landscapes in deeply weathered terrain - implications for geochemical exploration. Ore Geology Reviews 2000, 16, 167–183. [Google Scholar] [CrossRef]
- Cameron E M, Hamilton S M, Leybourne M I, et al. Finding deeply buried deposits using geochemistry. Geochemistry Exploration Environment Analysis 2004, 4, 7–32. [Google Scholar] [CrossRef]
- Cao J, Liu C, Qin X, et al. Particles carried by ascending gas flow at the Tongchanghe copper mine, Guizhou Province, China. Science China 2010, 53, 1647–1654. [Google Scholar] [CrossRef]
- Cao J, Hu R, Liang Z, et al. TEM observation of geogas - carried particles from the Changkeng concealed gold deposit, Guangdong Province, South China. Journal of Geochemical Exploration 2009, 101, 247–253. [Google Scholar] [CrossRef]
- Chen Y, Wu W. Mapping mineral prospectivity using an extreme learning machine regression. Ore Geology Reviews 2017, 80, 200–213. [Google Scholar] [CrossRef]
- Cheng Q, Agterberg F. Multifractal modeling and spatial statistics. Mathematical Geology 1996, 28, 1–16. [Google Scholar] [CrossRef]
- Cheng Q. Singularity theory and methods for mapping geochemical anomalies caused by buried sources and for predicting undiscovered mineral deposits in covered areas. Journal of Geochemical Exploration 2012, 122, 55–70. [Google Scholar] [CrossRef]
- Cheng, Q. Ideas and methods for mineral resources integrated prediction in covered areas. Earth Science 2012, 37, 1109–1125. [Google Scholar]
- Cohen D R, Kelley D L, Anand R, et al. Major advances in exploration geochemistry, 1998-2007. Geochemistry Exploration Environment Analysis. 2010, 10, 3–16. [CrossRef]
- Cohen D R, Bowell R J. 13.24 - Exploration Geochemistry. Treatise on Geochemistry 2014, 17, 623–650. [Google Scholar] [CrossRef]
- Dobretsov N L, Pokhilenko N P. Mineral resources and development in the Russian Arctic. Russian Geology & Geophysics 2010, 51, 98–111. [Google Scholar] [CrossRef]
- Dunn C, E. Biogeochemistry in mineral exploration. Economic Geology 2007, 102, 1354–1354. [Google Scholar] [CrossRef]
- Farahbakhsh E, Hezarkhani A, Eslamkish T, et al. Three-dimensional weights of evidence modelling of a deep-seated porphyry Cu deposit. Geochemistry:exploration, environment, analysis. 2020, 20, 480–495. [CrossRef]
- Forstner U, Patchineelam S R. Chemical associations of heavy metals in polluted sediments from the Lower Rhine River. Particulates in Water 1980, 0189, 177–193. [Google Scholar] [CrossRef]
- Gambrell R, P. Trace and toxic metals in Wetlands- A Review. Journal of Environmental Quality 1994, 23, 883–891. [Google Scholar] [CrossRef] [PubMed]
- Griepink, B. An account of the improvement and harmonization of extraction techniques undertaken under the BCR. Speciation of Heavy Metals in Soils and Sediments 1993, 51, 135–151. [Google Scholar] [CrossRef]
- Hammarstrom J M, Mihalasky M J, Ludington S, et al. Undiscovered porphyry copper resources in the Urals- A probabilistic mineral resource assessment. Ore Geology Reviews 2017, 85, 181–203. [Google Scholar] [CrossRef]
- Kelly D L, Hall G M, Closs L G, et al. The use of partial extraction geochemistry for copper exploration in northern Chile. Geochemistry: Exploration, Environment, Analysis 2003, 3, 85–104. [CrossRef]
- Kong, M. A tentative discussion on geochemical exploration in forest-swamp terrain, northeastern china. Geophysical & Geochemical Exploration 2003, 3, 165–166. [Google Scholar] [CrossRef]
- Leleyter L, Probst J L. A new sequential extraction procedure for the speciation of particulate trace elements in river sediments. International Journal of Environmental Analytical Chemistry 1999, 73, 109–128. [Google Scholar] [CrossRef]
- Li T, Shouting Z, Liang W, et al. Exploration of concealed fluorite deposit in shallow overburden areas: A case study in Elimutai, Inner Mongolia, China. Earth Science Frontiers 2021, 28, 208, (In Chinese with English abstract). [Google Scholar] [CrossRef]
- 27. Liu X, Cao J, Li Y, et al. A study of metal-bearing nanoparticles from the Kangjiawan Pb-Zn deposit and their prospecting significance. Ore Geology Reviews 2019, 105, 375–386. [CrossRef]
- Liu Y, Cheng Q, Xia Q, et al. Identification of REE mineralization-related geochemical anomalies using fractal/multifractal methods in the Nanling belt, South China. Environmental Earth Sciences 2014, 72, 5159–5169. [Google Scholar] [CrossRef]
- Liu Y, Zhou K, Cheng Q. A new method for geochemical anomaly separation based on the distribution patterns of singularity indices. Computers & Geosciences 2017, 105, 139–147. [Google Scholar] [CrossRef]
- Mann A, W. Strong versus weak digestions: ligand-based soil extraction geochemistry. Geochemistry Exploration Environment Analysis 2010, 10, 17–26. [Google Scholar] [CrossRef]
- McKenna I M, Chaney R L, Williams F M. The effects of cadmium and zinc interactions on the accumulation and tissue distribution of zinc and cadmium in lettuce and spinach. Environmental Pollution 1993, 79, 113–120. [Google Scholar] [CrossRef] [PubMed]
- Mohammadi N M, Hezarkhani A, Saljooghi B S. Separation of a geochemical anomaly from background by fractal and U-statistic methods, a case study: Khooni district, Central Iran. Chemie der Erde - Geochemistry - Interdisciplinary Journal for Chemical Problems of the Geosciences and Geoecology 2016, 76, 491–499. [Google Scholar] [CrossRef]
- Morris, P. A. Fine fraction regolith chemistry from the East Wongatha area, Western Australia: tracing bedrock and mineralization through thick cover. Geochemistry Exploration Environment Analysis 2013, 13, 21–40. [Google Scholar] [CrossRef]
- Parsa M, Maghsoudi A, Yousefi M, et al. Recognition of significant multi-element geochemical signatures of porphyry Cu deposits in Noghdouz area, NW Iran. Journal of Geochemical Exploration 2016, 165, 111–124. [Google Scholar] [CrossRef]
- Ronen-Eliraz G, Russak A, Nitzan I, et al. Investigating geochemical aspects of managed aquifer recharge by column experiments with alternating desalinated water and groundwater. Science of The Total Environment 2017, 574, 1174–1181. [Google Scholar] [CrossRef]
- Salama W, Anand R, Schoneveld L, et al. Significance of ferruginous pisoliths and interface sampling for gold exploration in the covered terrains. Journal of Geochemical Exploration 2021, 106794. [Google Scholar] [CrossRef]
- Schumacher, D “Deet”. Surface geochemical exploration for oil and gas: New life for an old technology. The Leading Edge 2000, 19, 258–261. [Google Scholar] [CrossRef]
- Smee B, W. A new theory to explain the formation of soil geochemical responses over deeply covered gold mineralization in arid environments. Journal of Geochemical Exploration 1998, 61, 149–172. [Google Scholar] [CrossRef]
- Sun T, Liu L. Delineating the complexity of Cu-Mo mineralization in a porphyry intrusion by computational and fractal modeling: A case study of the Chehugou deposit in the Chifeng district, Inner Mongolia, China. Journal of Geochemical Exploration 2014, 144, 128–143. [Google Scholar] [CrossRef]
- Tessier, A. Sequential extraction procedure for the speciation of particle trace metals. Analytical chemistry 1979, 51, 844–851. [Google Scholar] [CrossRef]
- Wang, M. From exploration geochemistry to applied geochemistry:a review of the 21th international geochemical exploration symposium. Geophysical & Geochemical Exploration 2005, 96–100, (In Chinese with English abstract). [Google Scholar]
- Wang X, Zhang B, Lin X, et al. Geochemical challenges of diverse regolithcovered terrains for mineral exploration in China. Ore Geology Reviews 2016, 73, 417–431, (In Chinese with English abstract). [Google Scholar] [CrossRef]
- Wen X, Duan C, Zhang D. Effect of simulated acid rain and rare earth contamination on soil enzyme activities in rare earth ming area, South Jiangxi, China. Advanced Materials Research 2012, 610–613, 2954–2958. [CrossRef]
- Wen X, Duan C, Zhang D. Effect of simulated acid rain on soil acidification and rare earth elements leaching loss in soils of rare earth mining area in southern Jiangxi Province of China. Environmental Earth Sciences 2013, 69, 843–853. [Google Scholar] [CrossRef]
- Xie S, Cheng Q, Zhang S, et al. Assessing microstructures of pyrrhotites in basalts by multifractal analysis. Nonlinear Processes in Geophysics 2010, 17, 319–327. [Google Scholar] [CrossRef]
- Xie X, Lu Y, Yao W, et al. Further study on deep penetrating geochemistry over the Spence porphyry copper deposit, Chile. Geoscience Frontiers 2011, 2, 303–311. [Google Scholar] [CrossRef]
- Zou Y, Yu X, Lu X, et al. Vertical migration and distribution of added dissolved iron in Carex lasiocarpa marsh soil. Ecological Engineering 2012, 44, 43. [Google Scholar] [CrossRef]
- 48. Zuo R, Wang J. Fractal/multifractal modeling of geochemical data: A review. Journal of Geochemical Exploration 2016, 33–41. [CrossRef]
- Chen Y, Lu L, Li X. Kernel Mahalanobis Distance for Multivariate Geochemical Anomaly Recognition. Journal of Jilin University 2014, 44, 396–408, (In Chinese with English abstract). [Google Scholar] [CrossRef]
- Cheng Q. Multifractal and geostatistic methods for characterizing local structure and singularity properties of exploration geochemical anomalies. Earth Science-journal of China University of Geosciences 2001, 26, 161–166, (In Chinese with English abstract). [Google Scholar] [CrossRef]
- Cheng Q M. Singularity-generalized self-similarity-fractal spectrum (3S) models. Diqiu Kexue - Zhongguo Dizhi Daxue Xuebao/Earth Science - Journal of China University of Geosciences 2006, 31, 337–348. [Google Scholar] [CrossRef]
- Ge L, Tong C, He Z, et al. The character of geogas anomaly on concealed faults and its mechanism. Journal of Chengdu University of Technology 1997, 24, 29–35, (In Chinese with English abstract). [Google Scholar]
- Han Z, Liao J, Zhang Y, et al. Review of Deep-Penetrating Geochemical Exploration Methods. Advances in Earth Science 2017, 32, 828–838, (In Chinese with English abstract). [Google Scholar] [CrossRef]
- Hao L B, Tian M, Zhao X Y, et al. The application of projection pursuit model combined with RAGA to identifying stream sediment geochemical anomalies: A case study of a Zn-Pb deposit in Hunan Province. Geophysical and Geochemical Exploration 2016, 40, 1151–1156, (In Chinese with English abstract). [Google Scholar] [CrossRef]
- He F, Zhang Z, Wang S. Modeling vertical migration characteristics of polycyclic aromatic hydrocarbons in soil columns by leaching. Huanjing Kexue Xuebao / Acta Scientiae Circumstantiae 2009, 29, 988–996. [Google Scholar] [CrossRef]
- Hu B, Liang D L, Zhao W L, et al. Transformation and influences of copper and selenium fractions on heavy metals bioavailability in co-contaminated soil. Environmental Science 2012, 33, 2817–2824, (In Chinese with English abstract). [Google Scholar]
- Bin J I, Zhou T, Yuan F, et al. A method for identifying geochemical anomalies based on spatial autocorrelation. Science of Surveying and Mapping 2017, 42, 24–27, (In Chinese with English abstract). [Google Scholar] [CrossRef]
- Shukui L E, Duan Y. Determination of Heavy Metal Elements in Soil by ICP-MS. Chinese Journal of Inorganic Analytical Chemistry. 2015, 5, 16–19, (In Chinese with English abstract). [CrossRef]
- Chun-Hua L I, Lai-Jun L U. The Combination of Geochemistry Elements in Space Quantitative of Different Model and Its Application. Journal of Jilin University(Earth Science Edition) 2010, 40, 461–468, (In Chinese with English abstract). [Google Scholar] [CrossRef]
- Liu Y H, Ren T X, Wang M Q. Application of underground nano-size matter to mineral resources exploration. Bulletin of Mineralogy Petrology and Geochemistry 1997, 16, 250–253, (In Chinese with English abstract). [Google Scholar]
- Song C, Song W, Ding R, et al. Phytogeochemical Characteristics of Seriphidium terrae-albae(Krasch) Poljak in the Metallic Ore Deposits in North Part of East Junggar Desert Area,Xinjiang and their Prospecting Significance. Geotectonica et Metallogenia 2017, 41, 122–132, (In Chinese with English abstract). [Google Scholar] [CrossRef]
- Wang X, Xie X, Lu Y. Dynamic Collection of Geogas and its Preliminary Application in Search for Concealed Deposits. Geophysical And Geochemical Exploration 1995, 19, 161–171, (In Chinese with English abstract). [Google Scholar]
- 63. Wang X Q, YE Rong. Findings of Nanoscale Metal Particles: Evidence for Deep-penetrating Geochemistry. Acta Geoscientica Sinica 2011, 7–12, (In Chinese with English abstract). [CrossRef]
- Wang X Q, Zhang B M, Liu X M. Nanogeochemistry: deep-penetrating geochemical exploration through cover. Earth Science Frontiers 2012, 19, 101–112, (In Chinese with English abstract). [Google Scholar]
- Xie S Y, Jiao Y, Yan M, et al. Geochemical Vertical Transportation along Soil Profiles in Baiyinnuoer Pb-Zn Deposit Areas,Mongolia,China. earth science(journal of china university of geosciences) 2012, 40-48. (In Chinese with English abstract).
- Xie S, Bao Z. Multifractal and Geochemical Element Distribution Patterns. Geology-geochemistry 2003, 31, 97–102, (In Chinese with English abstract). [Google Scholar] [CrossRef]
- Yu T. The transport of heavy metals in soils with different initial redox potentialⅠ:Single Cd, Cu, Zn in the soil column experiments. Acta Pedologica Sinica 2012, 49, 688–697, (In Chinese with English abstract). [Google Scholar]
- Zhang B M, Wang X Q, Rong Y E, et al. Fine-grained soil prospecting method for mineral exploration in loess covered areas and discussion on the origin of geochemical anomalies. Journal of Guilin University of Technology 2019, 39, 301–310, (In Chinese with English abstract). [Google Scholar]

















| Number | Mineral Source | Soil | Quantity | Method |
|---|---|---|---|---|
| 0Y-1...0Y-9 | Yujia soil | Yujia soil | 9 | pXRF, Tessier Classification, ICP-MS |
| 0P-1...0P-9 | Pulang soil | Pulang soil | ||
| CuY-1...CuY-9 | Natural Cu powder | Yujia soil | ||
| CuP-1...CuP-9 | Natural Cu powder | Pulang soil | ||
| PY-1...PY-9 | Pulang ore powder | Yujia soil | ||
| PP-1...PP-9 | Pulang ore powder | Pulang soil |
| Samples | The First Batch | The Second Batch | The Third Batch | The Fourth Batch |
|---|---|---|---|---|
| Original sample | 25 | 25 | 25 | 25 |
| Sample point I | 32 | 35 | 42 | 38 |
| Sample point II | 34 | 45 | 47 | 45 |
| Sample point III | 53 | 81 | 56 | 61 |
| Sample point IV | 100 | 101 | 68 | 73 |
| Samples | F1 | F2 | F3 | F4 | F5 |
|---|---|---|---|---|---|
| Original sample | 0.164 | 0.885 | 1.074 | 0.686 | 17.541 |
| 1-1 | 0.109 | 0.110 | 6.750 | 1.019 | 23.183 |
| 1-2 | 0.190 | 0.172 | 12.967 | 1.530 | 11.483 |
| 1-3 | 0.986 | 0.616 | 22.328 | 3.147 | 19.197 |
| 1-4 | 1.050 | 0.648 | 31.301 | 4.047 | 16.970 |
| 2-1 | 0.246 | 0.899 | 1.078 | 0.365 | 15.175 |
| 2-2 | 2.198 | 9.095 | 2.115 | 0.206 | 19.569 |
| 2-3 | 3.553 | 12.784 | 3.002 | 0.258 | 20.536 |
| 2-4 | 6.038 | 15.069 | 0.920 | 0.237 | 19.072 |
| 3-1 | 0.357 | 0.826 | 1.783 | 2.741 | 23.741 |
| 3-2 | 0.532 | 0.954 | 2.280 | 3.008 | 21.297 |
| 3-3 | 1.635 | 2.561 | 5.727 | 5.941 | 23.815 |
| 3-4 | 2.928 | 3.894 | 8.357 | 9.998 | 23.001 |
| 4-1 | 0.279 | 0.490 | 1.665 | 1.871 | 16.774 |
| 4-2 | 0.768 | 1.369 | 2.836 | 3.700 | 30.313 |
| 4-3 | 1.760 | 1.358 | 5.484 | 4.154 | 45.617 |
| 4-4 | 1.950 | 2.391 | 4.463 | 3.794 | 27.371 |
| Samples | Cu (mg/kg) | Samples | Cu (mg/kg) | Samples | Cu (mg/kg) |
|---|---|---|---|---|---|
| PP-1 | 360 | CuP-1 | 470 | 0P-1 | 356 |
| PP-2 | 366 | CuP-2 | 407 | 0P-2 | 346 |
| PP-3 | 377 | CuP-3 | 417 | 0P-3 | 356 |
| PP-4 | 407 | CuP-4 | 441 | 0P-4 | 344 |
| PP-5 | 361 | CuP-5 | 390 | 0P-5 | 363 |
| PP-6 | 352 | CuP-6 | 396 | 0P-6 | 353 |
| PP-7 | 371 | CuP-7 | 487 | 0P-7 | 341 |
| PP-8 | 394 | CuP-8 | 413 | 0P-8 | 348 |
| PP-9 | 343 | CuP-9 | 389 | 0P-9 | 329 |
| Samples | Active state | R | ||
|---|---|---|---|---|
| PP | F1 | 0.4652 | 0.9292 | 0.2147 |
| F2 | 0.2117 | 0.5426 | 0.2471 | |
| F3 | 0.0883 | 0.1972 | -0.0547 | |
| F4 | 0.0222 | 0.0614 | 0.0798 | |
| CuP | F1 | 0.6249 | 0.7638 | -0.1447 |
| F2 | 0.555 | 0.7441 | -0.0973 | |
| F3 | 0.5401 | 0.5417 | -0.1479 | |
| F4 | 0.4472 | 0.6528 | -0.104 | |
| CuY | F1 | 0.6968 | 0.81 | -0.3527 |
| F2 | 0.8324 | 0.982 | -0.3051 | |
| F3 | 0.8662 | 0.9826 | -0.1655 | |
| F4 | 0.6247 | 0.9844 | -0.3597 |
Disclaimer/Publisher’s Note: The statements, opinions and data contained in all publications are solely those of the individual author(s) and contributor(s) and not of MDPI and/or the editor(s). MDPI and/or the editor(s) disclaim responsibility for any injury to people or property resulting from any ideas, methods, instructions or products referred to in the content. |
© 2023 by the authors. Licensee MDPI, Basel, Switzerland. This article is an open access article distributed under the terms and conditions of the Creative Commons Attribution (CC BY) license (http://creativecommons.org/licenses/by/4.0/).