Submitted:
09 July 2023
Posted:
11 July 2023
You are already at the latest version
Abstract
Keywords:
1. Introduction
1.1. Surface roughness
1.2. Form-induced dispersive stress
1.3. Outline
2. Numerical Methods
2.1. Large eddy simulation (LES)
2.2. Near-surface model
3. Results, and Discussions
3.1. Simulation setup
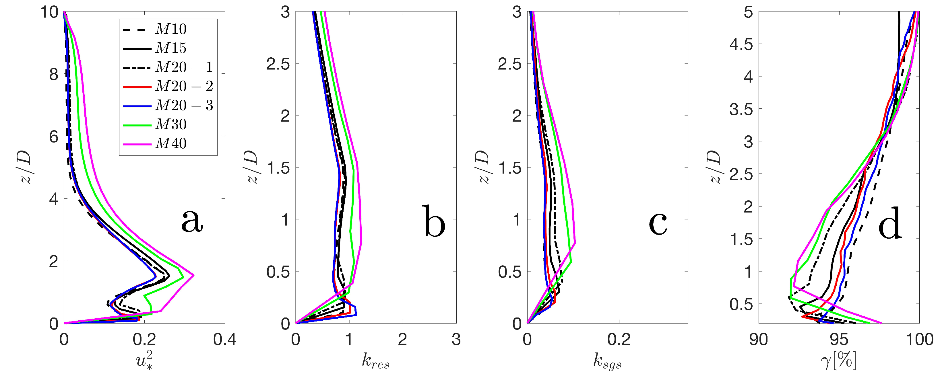
3.2. Effect of mesh resolution
3.2.1. Mean profiles and turbulence
3.2.2. Effects of resolution on the power output of the wind farm
3.3. Effect of vertical mixing on wind farms in complex terrain
3.4. Relation between power and drag coefficient
3.5. Dispersive stress analysis
4. Conclusion
References
- Churchfield, M.J.; Lee, S.; Michalakes, J.; Moriarty, P.J. A numerical study of the effects of atmospheric and wake turbulence on wind turbine dynamics. Journal of turbulence 2012, 13, N14. [Google Scholar] [CrossRef]
- Vanderwende, B.; Lundquist, J.K. Could crop height affect the wind resource at agriculturally productive wind farm sites? Boundary-Layer Meteorology 2016, 158, 409–428. [Google Scholar] [CrossRef]
- Pan, Y.; Archer, C.L. A Hybrid Wind-Farm Parametrization for Mesoscale and Climate Models. Boundary-Layer Meteorology 2018, 168, 469–495. [Google Scholar] [CrossRef]
- Porté-Agel, F.; Bastankhah, M.; Shamsoddin, S. Wind-turbine and wind-farm flows: a review. Boundary-Layer Meteorology 2020, 174, 1–59. [Google Scholar] [CrossRef]
- Alfredsson, P.H.; Segalini, A. Introduction Wind farms in complex terrains: an introduction, 2017.
- Tian, W.; Ozbay, A.; Yuan, W.; Sarakar, P.; Hu, H.; Yuan, W. An experimental study on the performances of wind turbines over complex terrain. 51st Am Inst Aeronaut Astronaut Aerospace Sci. Mtg, Grapevine, Texas, USA, 2013. [Google Scholar]
- Yang, X.; Pakula, M.; Sotiropoulos, F. Large-eddy simulation of a utility-scale wind farm in complex terrain. Applied energy 2018, 229, 767–777. [Google Scholar] [CrossRef]
- Liu, L.; Stevens, R.J. Enhanced wind-farm performance using windbreaks. Physical review fluids 2021, 6, 074611. [Google Scholar] [CrossRef]
- Zhang, Z.; Huang, P.; Bitsuamlak, G.; Cao, S. Large-eddy simulation of wind-turbine wakes over two-dimensional hills. Physics of Fluids 2022, 34. [Google Scholar] [CrossRef]
- Calaf, M.; Meneveau, C.; Meyers, J. Large eddy simulation study of fully developed wind-turbine array boundary layers. Physics of fluids 2010, 22, 015110. [Google Scholar] [CrossRef]
- Tobin, N.; Chamorro, L.P. Windbreak effects within infinite wind farms. Energies 2017, 10, 1140. [Google Scholar] [CrossRef]
- Mahrer, Y. An improved numerical approximation of the horizontal gradients in a terrain-following coordinate system. Monthly weather review 1984, 112, 918–922. [Google Scholar] [CrossRef]
- Lundquist, K.A.; Chow, F.K.; Lundquist, J.K. An Immersed Boundary Method for the Weather Research and Forecasting Model. Monthly Weather Review 2010, 138, 796–817. [Google Scholar] [CrossRef]
- Lundquist, K.A.; Chow, F.K.; Lundquist, J.K. An immersed boundary method enabling large-eddy simulations of flow over complex terrain in the WRF model. Monthly Weather Review 2012, 140, 3936–3955. [Google Scholar] [CrossRef]
- Arthur, R.S.; Mirocha, J.D.; Lundquist, K.A.; Street, R.L. Using a canopy model framework to improve large-eddy simulations of the neutral atmospheric boundary layer in the Weather Research and Forecasting Model. Monthly Weather Review 2019, 147, 31–52. [Google Scholar] [CrossRef]
- Bhuiyan, M.A.S.; Alam, J.M. Scale-adaptive turbulence modeling for LES over complex terrain. Engineering with Computers 2020, 1–13. [Google Scholar] [CrossRef]
- Alam, J. Interaction of vortex stretching with wind power fluctuations. Physics of Fluids 2022, 34, 075132. [Google Scholar] [CrossRef]
- Stevens, R.; Meneveau, C. Flow structure and turbulence in wind farms. Annu. Rev. Fluid Mech 2017, 49, 311–339. [Google Scholar] [CrossRef]
- Xie, S.; Archer, C.L. A numerical study of wind-turbine wakes for three atmospheric stability conditions. Boundary-Layer Meteorology 2017, 165, 87–112. [Google Scholar] [CrossRef]
- Abedi, H. Assessment of flow characteristics over complex terrain covered by the heterogeneous forest at slightly varying mean flow directions:(A case study of a Swedish wind farm). Renewable Energy 2023, 202, 537–553. [Google Scholar] [CrossRef]
- Bao, J.; Chow, F.K.; Lundquist, K.A. Large-eddy simulation over complex terrain using an improved immersed boundary method in the Weather Research and Forecasting Model. Monthly Weather Review 2018, 146, 2781–2797. [Google Scholar] [CrossRef]
- Moeng, C.H. A large-eddy-simulation model for the study of planetary boundary-layer turbulence. Journal of the Atmospheric Sciences 1984, 41, 2052–2062. [Google Scholar] [CrossRef]
- Moeng, C.H.; Sullivan, P.P. A comparison of shear-and buoyancy-driven planetary boundary layer flows. Journal of Atmospheric Sciences 1994, 51, 999–1022. [Google Scholar] [CrossRef]
- Porté-Agel, F.; Meneveau, C.; Parlange, M.B. A scale-dependent dynamic model for large-eddy simulation: application to a neutral atmospheric boundary layer. Journal of Fluid Mechanics 2000, 415, 261–284. [Google Scholar] [CrossRef]
- Bose, S.T.; Park, G.I. Wall-modeled large-eddy simulation for complex turbulent flows. Annual review of fluid mechanics 2018, 50, 535–561. [Google Scholar] [CrossRef] [PubMed]
- Chow, F.K.; Schär, C.; Ban, N.; Lundquist, K.A.; Schlemmer, L.; Shi, X. Crossing Multiple Gray Zones in the Transition from Mesoscale to Microscale Simulation over Complex Terrain. Atmosphere 2019, 10. [Google Scholar] [CrossRef]
- Goodfriend, E.; Katopodes Chow, F.; Vanella, M.; Balaras, E. Large-Eddy Simulation of Flow Through an Array of Cubes with Local Grid Refinement. Boundary-Layer Meteorology 2016, 159, 285–303. [Google Scholar] [CrossRef]
- Mason, P.J.; Thomson, D.J. Stochastic backscatter in large-eddy simulations of boundary layers. Journal of Fluid Mechanics 1992, 242, 51–78. [Google Scholar] [CrossRef]
- Senocak, I.; Ackerman, A.S.; Kirkpatrick, M.P.; Stevens, D.E.; Mansour, N.N. Study of near-surface models for large-eddy simulations of a neutrally stratified atmospheric boundary layer. Boundary-layer meteorology 2007, 124, 405–424. [Google Scholar] [CrossRef]
- Johnson, P.L. On the role of vorticity stretching and strain self-amplification in the turbulence energy cascade. Journal of Fluid Mechanics 2021, 922, A3. [Google Scholar] [CrossRef]
- Hossen, M.K.; Mulayath-Variyath, A.; Alam, J. Statistical Analysis of Dynamic Subgrid Modeling Approaches in Large Eddy Simulation, 2021. [CrossRef]
- Garratt, J. The Atmospheric Boundary Layer; Cambridge University Press, 1994. [Google Scholar]
- Stull, R.B.; Ahrens, C.D.; et al. Meteorology for scientists and engineers; Brooks/Cole, 2000. [Google Scholar]
- Blom, J.; Wartena, L. The influence of changes in surface roughness on the development of the turbulent boundary layer in the lower layers of the atmosphere. Journal of the Atmospheric Sciences 1969, 26, 255–265. [Google Scholar] [CrossRef]
- Nickerson, E.C.; Smiley, V.E. Surface layer and energy budget parameterizations for mesoscale models. Journal of Applied Meteorology (1962-1982) 1975, 297–300. [Google Scholar] [CrossRef]
- Ye, C.; Liu, X.n.; Wang, X.k. Effects of roughness elements distribution on overland flow resistance. Journal of Mountain Science 2015, 12, 1145–1156. [Google Scholar] [CrossRef]
- Tani, I.; Sato, H. Boundary-layer transition by roughness element. Journal of the Physical Society of Japan 1956, 11, 1284–1291. [Google Scholar] [CrossRef]
- Irwin, J.S. A theoretical variation of the wind profile power-law exponent as a function of surface roughness and stability. Atmospheric Environment (1967) 1979, 13, 191–194. [Google Scholar] [CrossRef]
- Essa, K.S.; Embaby, M.; Etman, S.M. A notional variation of the wind profile power-law exponent as a function of surface roughness and stability. 2004.
- Cao, S.; Wang, T.; Ge, Y.; Tamura, Y. Numerical study on turbulent boundary layers over two-dimensional hills—effects of surface roughness and slope. Journal of wind engineering and industrial aerodynamics 2012, 104, 342–349. [Google Scholar] [CrossRef]
- De Paepe, W.; Pindado, S.; Bram, S.; Contino, F. Simplified elements for wind-tunnel measurements with type-III-terrain atmospheric boundary layer. Measurement 2016, 91, 590–600. [Google Scholar] [CrossRef]
- Finnigan, J.; Ayotte, K.; Harman, I.; Katul, G.; Oldroyd, H.; Patton, E.; Poggi, D.; Ross, A.; Taylor, P. Boundary-layer flow over complex topography. Boundary-Layer Meteorology 2020, 177, 247–313. [Google Scholar] [CrossRef]
- Tobin, N.; Hamed, A.M.; Chamorro, L.P. Fractional flow speed-up from porous windbreaks for enhanced wind-turbine power. Boundary-Layer Meteorology 2017, 163, 253–271. [Google Scholar] [CrossRef]
- Zhang, Y. GROUND SURFACE EFFECTS IN WIND FARMS: A MICRO WIND FARM MODEL STUDY. PhD thesis, Johns Hopkins University, 2018. [Google Scholar]
- Mattuella, J.; Loredo-Souza, A.; Oliveira, M.; Petry, A. Wind tunnel experimental analysis of a complex terrain micrositing. Renewable and Sustainable Energy Reviews 2016, 54, 110–119. [Google Scholar] [CrossRef]
- Cheng, S.; Elgendi, M.; Lu, F.; Chamorro, L.P. On the wind turbine wake and forest terrain interaction. Energies 2021, 14, 7204. [Google Scholar] [CrossRef]
- Yang, D.; Meneveau, C.; Shen, L. Large-eddy simulation of offshore wind farm. Physics of Fluids 2014, 26, 025101. [Google Scholar] [CrossRef]
- Modesti, D.; Pirozzoli, S.; Orlandi, P.; Grasso, F. On the role of secondary motions in turbulent square duct flow. Journal of Fluid Mechanics 2018, 847. [Google Scholar] [CrossRef]
- Moltchanov, S.; Shavit, U. A phenomenological closure model of the normal dispersive stresses. Water Resources Research 2013, 49, 8222–8233. [Google Scholar] [CrossRef]
- Raupach, M.R.; Shaw, R. Averaging procedures for flow within vegetation canopies. Boundary-layer meteorology 1982, 22, 79–90. [Google Scholar] [CrossRef]
- Raupach, M.; Coppin, P.; Legg, B. Experiments on scalar dispersion within a model plant canopy part I: The turbulence structure. Boundary-Layer Meteorology 1986, 35, 21–52. [Google Scholar] [CrossRef]
- Böhm, M.; Finnigan, J.; Raupach, M. Dispersive fluxes and canopy flows: Just how important are they? 2000.
- Poggi, D.; Katul, G.; Albertson, J. A note on the contribution of dispersive fluxes to momentum transfer within canopies. Boundary-layer meteorology 2004, 111, 615–621. [Google Scholar] [CrossRef]
- Coceal, O.; Thomas, T.; Castro, I.; Belcher, S. Mean flow and turbulence statistics over groups of urban-like cubical obstacles. Boundary-Layer Meteorology 2006, 121, 491–519. [Google Scholar] [CrossRef]
- Giménez-Curto, L.A.; Lera, M.A.C. Oscillating turbulent flow over very rough surfaces. Journal of Geophysical Research: Oceans 1996, 101, 20745–20758. [Google Scholar] [CrossRef]
- Cheng, H.; Castro, I.P. Near wall flow over urban-like roughness. Boundary-Layer Meteorology 2002, 104, 229–259. [Google Scholar] [CrossRef]
- Santiago, J.L.; Martilli, A.; Martín, F. CFD simulation of airflow over a regular array of cubes. Part I: Three-dimensional simulation of the flow and validation with wind-tunnel measurements. Boundary-layer meteorology 2007, 122, 609–634. [Google Scholar] [CrossRef]
- Pokrajac, D.; Campbell, L.J.; Nikora, V.; Manes, C.; McEwan, I. Quadrant analysis of persistent spatial velocity perturbations over square-bar roughness. Experiments in fluids 2007, 42, 413–423. [Google Scholar] [CrossRef]
- Manes, C.; Pokrajac, D.; Coceal, O.; McEWAN, I. On the significance of form-induced stress in rough wall turbulent boundary layers. Acta Geophysica 2008, 56, 845–861. [Google Scholar] [CrossRef]
- Jelly, T.O.; Busse, A. Reynolds number dependence of Reynolds and dispersive stresses in turbulent channel flow past irregular near-Gaussian roughness. International Journal of Heat and Fluid Flow 2019, 80, 108485. [Google Scholar] [CrossRef]
- Toussaint, D.; Chedevergne, F.; Léon, O. Analysis of the different sources of stress acting in fully rough turbulent flows over geometrical roughness elements. Physics of Fluids 2020, 32, 075107. [Google Scholar] [CrossRef]
- Alam, J.M.; Fitzpatrick, L.P. Large eddy simulation of flow through a periodic array of urban-like obstacles using a canopy stress method. Computers & Fluids 2018, 171, 65–78. [Google Scholar]
- Borue, V.; Orszag, S.A. Local energy flux and subgrid-scale statistics in three-dimensional turbulence. Journal of Fluid Mechanics 1998, 366, 1–31. [Google Scholar] [CrossRef]
- Johnson, P.L. Energy Transfer from Large to Small Scales in Turbulence by Multiscale Nonlinear Strain and Vorticity Interactions. Phys. Rev. Lett. 2020, 124, 104501. [Google Scholar] [CrossRef]
- Wurps, H.; Steinfeld, G.; Heinz, S. Grid-resolution requirements for large-eddy simulations of the atmospheric boundary layer. Boundary-Layer Meteorology 2020, 1–23. [Google Scholar] [CrossRef]
- Sullivan, P.P.; McWilliams, J.C.; Moeng, C.H. A subgrid-scale model for large-eddy simulation of planetary boundary-layer flows. Boundary-Layer Meteorology 1994, 71, 247–276. [Google Scholar] [CrossRef]
- Basu, S.; Lacser, A. A cautionary note on the use of Monin-Obukhov similarity theory in very high-resolution large-eddy simulations. Boundary-Layer Meteorology: an international journal of physical and biological processes in the atmospheric boundary layer 2017, 163, 351–355. [Google Scholar] [CrossRef]
- Pope, S.B. Turbulent flows; IOP Publishing, 2001. [Google Scholar]
- Pope, S.B. Ten questions concerning the large-eddy simulation of turbulent flows. New journal of Physics 2004, 6, 35. [Google Scholar] [CrossRef]
- Schumann, U. Subgrid scale model for finite difference simulations of turbulent flows in plane channels and annuli. Journal of computational physics 1975, 18, 376–404. [Google Scholar] [CrossRef]
- Bhuiyan, M.; Samad, A.; Alam, J.M. Large Eddy Simulation of Turbulent Flow Over a Hill Using a Canopy Stress Model. In Proceedings of the International Conference on Applied Mathematics, Modeling and Computational Science; Springer, 2017; pp. 151–160. [Google Scholar]
- Singh, J.; Alam, J. Dynamic modelling of near-surface turbulence in large eddy simulation of wind farms. arXiv preprint 2022, arXiv:2205.00352 2022. [Google Scholar]
- Medici, D.; Ivanell, S.; Dahlberg, J.Å.; Alfredsson, P.H. The upstream flow of a wind turbine: blockage effect. Wind Energy 2011, 14, 691–697. [Google Scholar] [CrossRef]
- Simley, E.; Angelou, N.; Mikkelsen, T.; Sjöholm, M.; Mann, J.; Pao, L.Y. Characterization of wind velocities in the upstream induction zone of a wind turbine using scanning continuous-wave lidars. Journal of Renewable and Sustainable Energy 2016, 8, 013301. [Google Scholar] [CrossRef]
- Strickland, J.M.; Stevens, R.J. Investigating wind farm blockage in a neutral boundary layer using large-eddy simulations. European Journal of Mechanics-B/Fluids 2022, 95, 303–314. [Google Scholar] [CrossRef]
- Chow, F.K.; Moin, P. A further study of numerical errors in large-eddy simulations. Journal of Computational Physics 2003, 184, 366–380. [Google Scholar] [CrossRef]
- Celik, I.; Cehreli, Z.; Yavuz, I. Index of resolution quality for large eddy simulations. 2005.
- Stevens, R.J.A.M.; Martínez-Tossas, L.A.; Meneveau, C. Comparison of wind farm large eddy simulations using actuator disk and actuator line models with wind tunnel experiments. Renewable energy 2018, 116, 470–478. [Google Scholar] [CrossRef]
- Wu, Y.T.; Porté-Agel, F. Modeling turbine wakes and power losses within a wind farm using LES: An application to the Horns Rev offshore wind farm. Renewable Energy 2015, 75, 945–955. [Google Scholar] [CrossRef]
- Frandsen, S.; Barthelmie, R.; Pryor, S.; Rathmann, O.; Larsen, S.; Højstrup, J.; Thøgersen, M. Analytical modelling of wind speed deficit in large offshore wind farms. Wind Energy: An International Journal for Progress and Applications in Wind Power Conversion Technology 2006, 9, 39–53. [Google Scholar] [CrossRef]
- Tennekes, H.; Lumley, J.L.; Lumley, J.L.; et al. A first course in turbulence; MIT press, 1972. [Google Scholar]















| Cases | ||||
|---|---|---|---|---|
| 10 | 10 | 10 | ||
| 15 | 6 | 6 | ||
| -1 | 20 | 5 | 5 | |
| -2 | 10 | 5 | 10 | |
| -3 | 8 | 5 | 12 | |
| 30 | 3 | 3 | ||
| 40 | 2 | 2 |
| Cases | Classification | ||
|---|---|---|---|
| A | sea | ||
| B | beaches,morass | ||
| C | grass prairie | ||
| D | airports,heather | ||
| E | low crops | ||
| F | high crops | ||
| G | scattered obstacles | ||
| H | trees,hedgerows | ||
| I | mixed farm fields | ||
| J | suburban houses,regular coverage of obstacles |
Disclaimer/Publisher’s Note: The statements, opinions and data contained in all publications are solely those of the individual author(s) and contributor(s) and not of MDPI and/or the editor(s). MDPI and/or the editor(s) disclaim responsibility for any injury to people or property resulting from any ideas, methods, instructions or products referred to in the content. |
© 2023 by the authors. Licensee MDPI, Basel, Switzerland. This article is an open access article distributed under the terms and conditions of the Creative Commons Attribution (CC BY) license (http://creativecommons.org/licenses/by/4.0/).
