Submitted:
26 June 2023
Posted:
30 June 2023
You are already at the latest version
Abstract
Keywords:
Introduction
Materials and Methods
Study design and patients
Study outcomes
Statistical analysis
Role of the funding sources
Results
Study population and patient characteristics
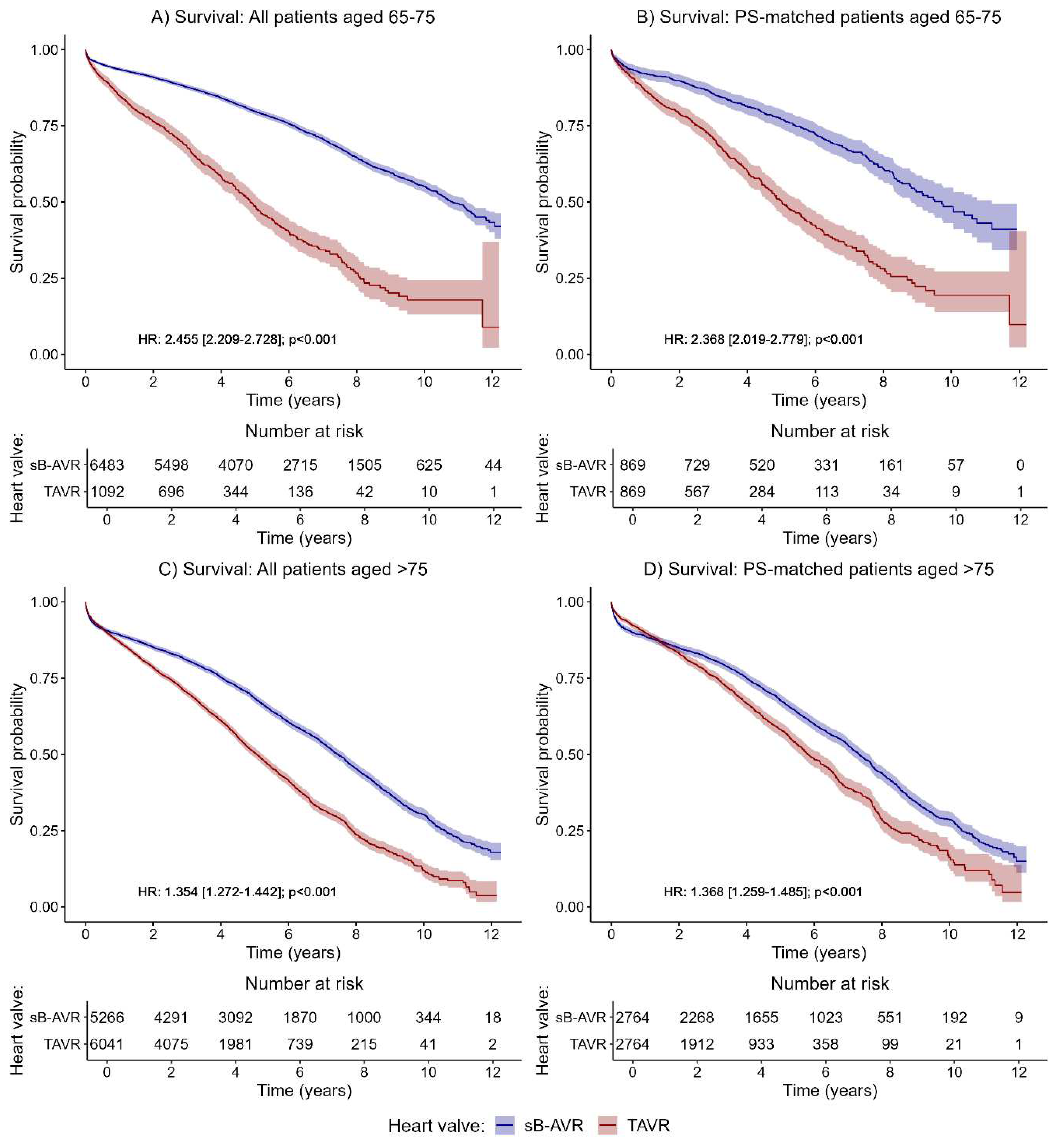
All-cause mortality
Secondary outcomes
Discussion
Supplementary Materials
Funding
Data Availability Statement
Acknowledgments
Conflicts of Interest
References
- Traxler D, Krotka P, Laggner M, et al. Mechanical aortic valve prostheses offer a survival benefit in 50-65 year olds: AUTHEARTVISIT study. Eur J Clin Invest 2022;52:e13736. https://doi.org/10.1111/eci.13736. [CrossRef]
- Vahanian A, Beyersdorf F, Praz F, et al. 2021 ESC/EACTS Guidelines for the management of valvular heart disease. Eur Heart J 2022;43:561-632. https://doi.org/10.1093/eurheartj/ehab395. [CrossRef]
- Carroll JD, Mack MJ, Vemulapalli S, et al. STS-ACC TVT Registry of Transcatheter Aortic Valve Replacement. Ann Thorac Surg 2021;111:701-722. https://doi.org/10.1016/j.athoracsur.2020.09.002. [CrossRef]
- Ahmad Y, Howard JP, Arnold AD, et al. Transcatheter versus surgical aortic valve replacement in lower-risk and higher-risk patients: a meta-analysis of randomized trials. Eur Heart J 2023;44:836-852. https://doi.org/10.1093/eurheartj/ehac642. [CrossRef]
- Barili F, Brophy JM, Ronco D, et al. Risk of Bias in Randomized Clinical Trials Comparing Transcatheter and Surgical Aortic Valve Replacement: A Systematic Review and Meta-analysis. JAMA Netw Open 2023;6:e2249321. https://doi.org/10.1001/jamanetworkopen.2022.49321. [CrossRef]
- Friedman LM, Furberg CD, D.L. Fundamentals of Clinical Trials; 1996.
- US Food and Drug Administration. Framework for FDA's Real World Evidence Program. . https://www.fda.gov/media/120060/download (January 31, 2019).
- Eichler HG, Pignatti F, Schwarzer-Daum B, et al. Randomized Controlled Trials Versus Real World Evidence: Neither Magic Nor Myth. Clin Pharmacol Ther 2021;109:1212-1218. https://doi.org/10.1002/cpt.2083. [CrossRef]
- Bennett CL, Schwarz B, Marberger M. Health care in Austria. Universal access, national health insurance, and private health care. JAMA 1993;269:2789-2794. doi:.
- McCaffrey DF, Ridgeway G, Morral AR. Propensity score estimation with boosted regression for evaluating causal effects in observational studies. Psychol Methods 2004;9:403-425. https://doi.org/10.1037/1082-989X.9.4.403. [CrossRef]
- Leon MB, Smith CR, Mack MJ, et al. Transcatheter or Surgical Aortic-Valve Replacement in Intermediate-Risk Patients. N Engl J Med 2016;374:1609-1620. https://doi.org/10.1056/NEJMoa1514616. [CrossRef]
- Reardon MJ, Van Mieghem NM, Popma JJ, et al. Surgical or Transcatheter Aortic-Valve Replacement in Intermediate-Risk Patients. N Engl J Med 2017;376:1321-1331. https://doi.org/10.1056/NEJMoa1700456. [CrossRef]
- Mack MJ, Leon MB, Thourani VH, et al. Transcatheter Aortic-Valve Replacement with a Balloon-Expandable Valve in Low-Risk Patients. N Engl J Med 2019;380:1695-1705. https://doi.org/10.1056/NEJMoa1814052. [CrossRef]
- Popma JJ, Deeb GM, Yakubov SJ, et al. Transcatheter Aortic-Valve Replacement with a Self-Expanding Valve in Low-Risk Patients. N Engl J Med 2019;380:1706-1715. https://doi.org/10.1056/NEJMoa1816885. [CrossRef]
- Thyregod HG, Steinbruchel DA, Ihlemann N, et al. Transcatheter Versus Surgical Aortic Valve Replacement in Patients With Severe Aortic Valve Stenosis: 1-Year Results From the All-Comers NOTION Randomized Clinical Trial. J Am Coll Cardiol 2015;65:2184-2194. https://doi.org/10.1016/j.jacc.2015.03.014. [CrossRef]
- Kolkailah AA, Doukky R, Pelletier MP, et al. Transcatheter aortic valve implantation versus surgical aortic valve replacement for severe aortic stenosis in people with low surgical risk. Cochrane Database Syst Rev 2019;12:CD013319. https://doi.org/10.1002/14651858.CD013319.pub2. [CrossRef]
- Siontis GCM, Overtchouk P, Cahill TJ, et al. Transcatheter aortic valve implantation vs. surgical aortic valve replacement for treatment of symptomatic severe aortic stenosis: an updated meta-analysis. Eur Heart J 2019;40:3143-3153. https://doi.org/10.1093/eurheartj/ehz275. [CrossRef]
- Jadad AR, Enkin MW. Randomized Controlled Trials: Questions, Answers and Musings. 2nd ed; 2007.
- Wang SV, Schneeweiss S, Initiative R-D, et al. Emulation of Randomized Clinical Trials With Nonrandomized Database Analyses: Results of 32 Clinical Trials. JAMA 2023;329:1376-1385. https://doi.org/10.1001/jama.2023.4221. [CrossRef]
- Juni P, Altman DG, Egger M. Systematic reviews in health care: Assessing the quality of controlled clinical trials. BMJ 2001;323:42-46. https://doi.org/10.1136/bmj.323.7303.42. [CrossRef]
- Mansournia MA, Higgins JP, Sterne JA, Hernan MA. Biases in Randomized Trials: A Conversation Between Trialists and Epidemiologists. Epidemiology 2017;28:54-59. https://doi.org/10.1097/EDE.0000000000000564. [CrossRef]
- Franklin JM, Glynn RJ, Suissa S, Schneeweiss S. Emulation Differences vs. Biases When Calibrating Real-World Evidence Findings Against Randomized Controlled Trials. Clin Pharmacol Ther 2020;107:735-737. https://doi.org/10.1002/cpt.1793. [CrossRef]
- Sheldrick RC. Randomized Trials vs Real-world Evidence: How Can Both Inform Decision-making? JAMA 2023;329:1352-1353. https://doi.org/10.1001/jama.2023.4855. [CrossRef]
- Deeb GM, Reardon MJ, Chetcuti S, et al. 3-Year Outcomes in High-Risk Patients Who Underwent Surgical or Transcatheter Aortic Valve Replacement. J Am Coll Cardiol 2016;67:2565-2574. https://doi.org/10.1016/j.jacc.2016.03.506. [CrossRef]
- Smith CR, Leon MB, Mack MJ, et al. Transcatheter versus surgical aortic-valve replacement in high-risk patients. N Engl J Med 2011;364:2187-2198. https://doi.org/10.1056/NEJMoa1103510. [CrossRef]
- Adams DH, Popma JJ, Reardon MJ, et al. Transcatheter aortic-valve replacement with a self-expanding prosthesis. N Engl J Med 2014;370:1790-1798. https://doi.org/10.1056/NEJMoa1400590. [CrossRef]
- Mack MJ, Leon MB, Smith CR, et al. 5-year outcomes of transcatheter aortic valve replacement or surgical aortic valve replacement for high surgical risk patients with aortic stenosis (PARTNER 1): a randomised controlled trial. Lancet 2015;385:2477-2484. https://doi.org/10.1016/S0140-6736(15)60308-7. [CrossRef]
- Makkar RR, Thourani VH, Mack MJ, et al. Five-Year Outcomes of Transcatheter or Surgical Aortic-Valve Replacement. N Engl J Med 2020;382:799-809. https://doi.org/10.1056/NEJMoa1910555. [CrossRef]
- Siontis GC, Praz F, Pilgrim T, et al. Transcatheter aortic valve implantation vs. surgical aortic valve replacement for treatment of severe aortic stenosis: a meta-analysis of randomized trials. Eur Heart J 2016;37:3503-3512. https://doi.org/10.1093/eurheartj/ehw225. [CrossRef]
- Thourani VH, Kodali S, Makkar RR, et al. Transcatheter aortic valve replacement versus surgical valve replacement in intermediate-risk patients: a propensity score analysis. Lancet 2016;387:2218-2225. https://doi.org/10.1016/S0140-6736(16)30073-3. [CrossRef]
- Thyregod HGH, Ihlemann N, Jorgensen TH, et al. Five-Year Clinical and Echocardiographic Outcomes from the Nordic Aortic Valve Intervention (NOTION) Randomized Clinical Trial in Lower Surgical Risk Patients. Circulation 2019. https://doi.org/10.1161/CIRCULATIONAHA.118.036606. [CrossRef]
- Wassef AWA, Rodes-Cabau J, Liu Y, et al. The Learning Curve and Annual Procedure Volume Standards for Optimum Outcomes of Transcatheter Aortic Valve Replacement: Findings From an International Registry. JACC Cardiovasc Interv 2018;11:1669-1679. https://doi.org/10.1016/j.jcin.2018.06.044. [CrossRef]
- Auffret V, Puri R, Urena M, et al. Conduction Disturbances After Transcatheter Aortic Valve Replacement: Current Status and Future Perspectives. Circulation 2017;136:1049-1069. https://doi.org/10.1161/CIRCULATIONAHA.117.028352. [CrossRef]
- Greason KL, Lahr BD, Stulak JM, et al. Long-Term Mortality Effect of Early Pacemaker Implantation After Surgical Aortic Valve Replacement. Ann Thorac Surg 2017;104:1259-1264. https://doi.org/10.1016/j.athoracsur.2017.01.083. [CrossRef]
- Dvir D. First look at long-term durability of transcatheter heart valves: assessment of valve function up to 10 years after implantation. In. EuroPCR 2016. Paris, France; 2016.
- Senage T, Paul A, Le Tourneau T, et al. The role of antibody responses against glycans in bioprosthetic heart valve calcification and deterioration. Nat Med 2022;28:283-294. https://doi.org/10.1038/s41591-022-01682-w. [CrossRef]
- Veraar C, Koschutnik M, Nitsche C, et al. Inflammatory immune response in recipients of transcatheter aortic valves. JTCVS Open 2021;6:85-96. https://doi.org/10.1016/j.xjon.2021.02.012. [CrossRef]
- Auer J, Weber T, Berent R, et al. Genetic polymorphisms in cytokine and adhesion molecule genes in coronary artery disease. Am J Pharmacogenomics 2003;3:317-328. https://doi.org/10.2165/00129785-200303050-00003. [CrossRef]
- Auer JW, Berent R, Weber T, Eber B. Immunopathogenesis of atherosclerosis. Circulation 2002;105:E64-64. doi:.
- Sulzenko J, Tousek P, Kocka V, et al. Degenerative changes and immune response after transcatheter aortic valve implantation. Comparison with surgical aortic valve replacement. J Cardiol 2017;69:483-488. https://doi.org/10.1016/j.jjcc.2016.03.009. [CrossRef]



![]()
|
![]()
|
Disclaimer/Publisher’s Note: The statements, opinions and data contained in all publications are solely those of the individual author(s) and contributor(s) and not of MDPI and/or the editor(s). MDPI and/or the editor(s) disclaim responsibility for any injury to people or property resulting from any ideas, methods, instructions or products referred to in the content. |
© 2023 by the authors. Licensee MDPI, Basel, Switzerland. This article is an open access article distributed under the terms and conditions of the Creative Commons Attribution (CC BY) license (http://creativecommons.org/licenses/by/4.0/).



