Submitted:
21 June 2023
Posted:
22 June 2023
You are already at the latest version
Abstract
Keywords:
1. Introduction
2. Materials and Methods
2.1. Chemicals
2.2. Microsomes containing recombinant human cytochromes P450
2.3. Pooled human liver microsomes
2.4. High-throughput assay of P450-dependent demethylation.
2.5. Methods of data analysis
2.6. S-ketamine demethylation assays with LC-MS/MS technique.
3. Results and Discussion
3.1. Developing a method for high-throughput assay of cytochrome P450-dependent demethylation reactions.
3.1.1. Selecting the method for formaldehyde detection.
3.1.2. Elaborating a method for detecting cytochrome-P450 dependent generation of formaldehyde with the AAA reagent
3.1.2. High-throughput implementation of the AAA method.
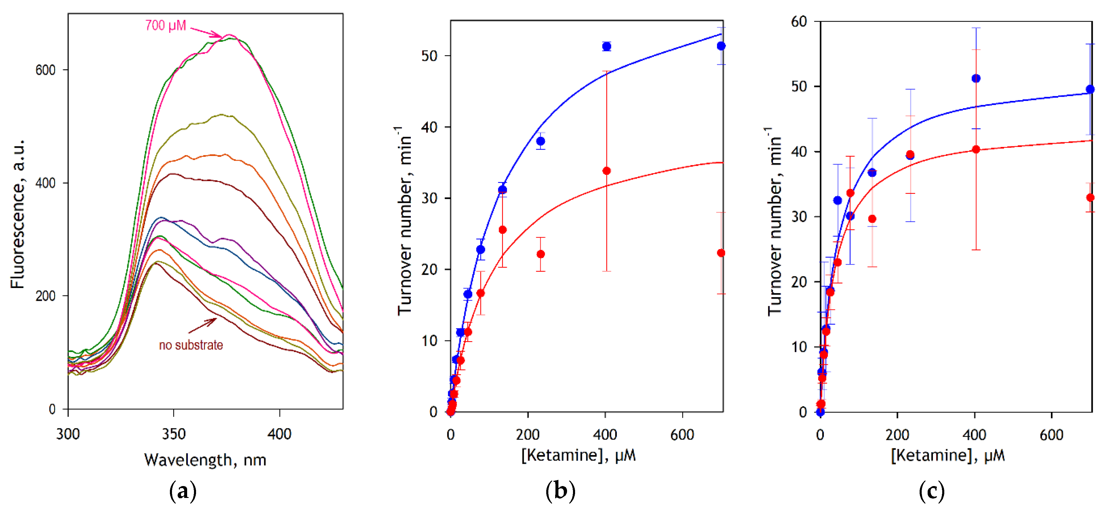
3.2. Applying AAA-based technique to study ketamine demethylation by human cytochrome P450 species.
3.2.1. Setting up and validation of the AAA method as applied to ketamine demethylation.
3.2.2. Metabolism of ketamine by major human cytochrome P450 species
3.2.3. N-Demethylation of S-ketamine by human liver microsomes
4. Conclusion
Author Contributions
Funding
Data Availability Statement
Conflicts of Interest
References
- Mak, K.K.; Epemolu, O.; Pichika, M.R. The role of DMPK science in improving pharmaceutical research and development efficiency. Drug Discovery Today 2022, 27, 705–729. [Google Scholar] [CrossRef]
- Davydov, D.R.; Prasad, B. Assembling the P450 puzzle: on the sources of nonadditivity in drug metabolism. Trends in Pharmacol. Sci. 2021, 42, 988–997. [Google Scholar] [CrossRef] [PubMed]
- Guengerich, F.P. Common and uncommon cytochrome P450 reactions related to metabolism and chemical toxicity. Chem. Res. Toxicol. 2001, 14, 611–650. [Google Scholar] [CrossRef] [PubMed]
- Lewis, D.F.V. Human cytochromes P450 associated with the phase 1 metabolism of drugs and other xenobioties: A compilation of substrates and inhibitors of the CYP1, CYP2 and CYP3 families. Curr. Med. Chem. 2003, 10, 1955–1972. [Google Scholar] [CrossRef] [PubMed]
- Rendic, S. Summary of information on human CYP enzymes: Human P450 metabolism data. Drug Metab. Reviews 2002, 34, 83–448. [Google Scholar] [CrossRef]
- Nash, T. The colorimetric estimation of formaldehyde by means of the Hantzsch reaction. Biochem. J. 1953, 55, 416–421. [Google Scholar] [CrossRef]
- Heni, N. Decrease of cytochrome P450 after incubation with carbon tetrachloride in a NADPH regenerating system and partial conversion to cytochrome P-420. Experientia (Basel) 1971, 27, 777–778. [Google Scholar] [CrossRef]
- Nebert, D.W.; Robinson, J.R.; Kon, H. Further studies on genetically mediated differences in monooxygenase activities and spin state of cytochrome P-450 iron from rabbit rat and mouse liver. J. Biol. Chem. 1973, 248, 7637–7647. [Google Scholar] [CrossRef]
- Hladová, M.; Martinka, J.; Rantuch, P.; Nečas, A. Review of Spectrophotometric Methods for Determination of Formaldehyde. Research Papers Faculty of Materials Science and Technology Slovak University of Technology 2019, 27, 105–120. [Google Scholar] [CrossRef]
- Xu, Z.; Chen, J.; Hu, L.-L.; Tan, Y.; Liu, S.-H.; Yin, J. Recent advances in formaldehyde-responsive fluorescent probes. Chinese Chemical Letters 2017, 28, 1935–1942. [Google Scholar] [CrossRef]
- Hurth, K.P.; Jaworski, A.; Thomas, K.B.; Kirsch, W.B.; Rudoni, M.A.; Wohlfarth, K.M. The Reemergence of Ketamine for Treatment in Critically Ill Adults. Critical Care Medicine 2020, 48, 899–911. [Google Scholar] [CrossRef]
- Garel, N.; McAnulty, C.; Greenway, K.T.; Lesperance, P.; Miron, J.-P.; Rej, S.; Richard-Devantoy, S.; Jutras-Aswad, D. Efficacy of ketamine intervention to decrease alcohol use, cravings, and withdrawal symptoms in adults with problematic alcohol use or alcohol use disorder: A systematic review and comprehensive analysis of mechanism of actions. Drug and Alcohol Dependence 2022, 239. [Google Scholar] [CrossRef] [PubMed]
- Long, D.; Long, B.; Koyfman, A. The emergency medicine management of severe alcohol withdrawal. American Journal of Emergency Medicine 2017, 35, 1005–1011. [Google Scholar] [CrossRef] [PubMed]
- Kryst, J.; Kawalec, P.; Pilc, A. Efficacy and safety of intranasal esketamine for the treatment of major depressive disorder. Expert Opinion on Pharmacotherapy 2020, 21, 9–20. [Google Scholar] [CrossRef] [PubMed]
- Davydova, N.Y.; Dangi, B.; Maldonado, M.A.; Vavilov, N.E.; Zgoda, V.G.; Davydov, D.R. Toward a systems approach to cytochrome P450 ensemble: interactions of CYP2E1 with other P450 species and their impact on CYP1A2. Biochem. J. 2019, 476, 3661–3685. [Google Scholar] [CrossRef]
- Davydov, D.R.; Deprez, E.; Hui Bon Hoa, G.; Knyushko, T.V.; Kuznetsova, G.P.; Koen, Y.M.; Archakov, A.I. High-pressure-induced transitions in microsomal cytochrome P450 2B4 in solution - evidence for conformational inhomogeneity in the oligomers. Arch. Biochem. Biophys. 1995, 320, 330–344. [Google Scholar] [CrossRef]
- Davydov, D.R. SpectraLab Software. Available online: http://cyp3a4.chem.wsu.edu/spectralab.html (accessed on May 30).
- Rapoport, R.; Hanukoglu, I.; Sklan, D. A fluorimetric assay for hydrogen peroxide, suitable for NAD(P)H-dependent superoxide generating redox systems. Anal. Biochem. 1994, 218, 309–313. [Google Scholar] [CrossRef]
- Yamaori, S.; Yamazaki, H.; Suzuki, A.; Yamada, A.; Tani, H.; Kamidate, T.; Fujita, K.; Kamataki, T. Effects of cytochrome b(5) on drug oxidation activities of human cytochrome P450 (CYP) 3As: similarity of CYP3A5 with CYP3A4 but not CYP3A7. Biochem. Pharmacol. 2003, 66, 2333–2340. [Google Scholar] [CrossRef]
- Dickinson, R.G.; Jacobsen, N.W. A New Sensitive and Specific Test for the Detection of Aldehydes: Formation of 6- Mercapto-3-substituted-s-triazolo[4,3-b]-tetrazines. J. Chem. Soc. D: Chem. Commun. 1970, 1970, 1719–1720. [Google Scholar] [CrossRef]
- Li, R.-J.; Xu, J.-H.; Yin, Y.-C.; Wirth, N.; Ren, J.-M.; Zeng, B.-B.; Yu, H.-L. Rapid probing of the reactivity of P450 monooxygenases from the CYP116B subfamily using a substrate-based method. New Journal of Chemistry 2016, 40, 8928–8934. [Google Scholar] [CrossRef]
- van Rensburg, G.J.; Bervoets, L.; Smit, N.J.; Wepener, V.; van Vuren, J. Biomarker Responses in the Freshwater Shrimp Caridina nilotica as Indicators of Persistent Pollutant Exposure. Bulletin of Environmental Contamination and Toxicology 2020, 104, 193–199. [Google Scholar] [CrossRef] [PubMed]
- Liu, C.; Cheng, A.W.; Xia, X.K.; Liu, Y.F.; He, S.W.; Guo, X.; Sun, J.Y. Development of a facile and sensitive fluorimetric derivatization reagent for detecting formaldehyde. Analytical Methods 2016, 8, 2764–2770. [Google Scholar] [CrossRef]
- Wu, Y.; Zheng, Z.M.; Wen, J.; Li, H.J.; Sun, S.G.; Xu, Y.Q. Imaging of formaldehyde in live cells and plants utilizing small molecular probes with large stokes shifts. Sensors and Actuators B: Chemical 2018, 260, 937–944. [Google Scholar] [CrossRef]
- Dong, B.; Song, X.; Tang, Y.; Lin, W. A rapid and facile fluorimetric method for detecting formaldehyde. Sensors and Actuators B: Chemical 2016, 222, 325–330. [Google Scholar] [CrossRef]
- Jiang, L.R.; Hu, Q.; Chen, T.H.; Min, D.Y.; Yuan, H.Q.; Bao, G.M. Highly sensitive and rapid responsive fluorescence probe for determination of formaldehyde in seafood and in vivo imaging application. Spectrochimica Acta Part a-Molecular and Biomolecular Spectroscopy 2020, 228. [Google Scholar] [CrossRef]
- Li, Q.; Sritharathikhum, P.; Oshima, M.; Motomizu, S. Development of novel detection reagent for simple and sensitive determination of trace amounts of formaldehyde and its application to flow injection spectrophotometric analysis. Analyt. Chim. Acta 2008, 612, 165–172. [Google Scholar] [CrossRef]
- Li, Q.; Sritharathikhun, P.; Motomizu, S. Development of novel reagent for Hantzsch reaction for the determination of formaldehyde by spectrophotometry and fluorometry. Analyt. Sci. 2007, 23, 413–417. [Google Scholar] [CrossRef]
- Abcam. ab133084 – Formaldehyde Assay Kit. Available online: https://www.abcam.co.jp/ps/products/133/ab133084/documents/ab133084%20Formaldehyde%20Assay%20Kit%20protocol%20 (accessed on 30 May 2023).
- Yanagihara, Y.; Kariya, S.; Ohtani, M.; Uchino, K.; Aoyama, T.; Yamamura, Y.; Iga, T. Involvement of CYP2B6 in N-demethylation of ketamine in human liver microsomes. Drug Metab. Disp. 2001, 29, 887–890. [Google Scholar]
- Portmann, S.; Kwan, H.Y.; Theurillat, R.; Schmitz, A.; Mevissen, M.; Thormann, W. Enantioselective capillary electrophoresis for identification and characterization of human cytochrome P450 enzymes which metabolize ketamine and norketamine in vitro. J. Chromatogr. A 2010, 1217, 7942–7948. [Google Scholar] [CrossRef] [PubMed]
- Wang, P.F.; Neiner, A.; Kharasch, E.D. Stereoselective Ketamine Metabolism by Genetic Variants of Cytochrome P450 CYP2B6 and Cytochrome P450 Oxidoreductase. Anesthesiology 2018, 129, 756–768. [Google Scholar] [CrossRef]
- Hijazi, Y.; Boulieu, R. Contribution of CYP3A4, CYP2B6, and CYP2C9 isoforms to N-demethylation of ketamine in human liver microsomes. Drug Metab. Disp. 2002, 30, 853–858. [Google Scholar] [CrossRef] [PubMed]
- Dangi, B.; Davydova, N.Y.; Maldonado, M.A.; Ahire, D.; Prasad, B.; Davydov, D.R. Probing functional interactions between cytochromes P450 with principal component analysis of substrate saturation profiles and targeted proteomics. Arch. Biochem. Biophys. 2021, 708. [Google Scholar] [CrossRef] [PubMed]





| Parameter | CYP3A4 | CYP2B6 | ||
|---|---|---|---|---|
| FA detection | LC-MS/MS | FA detection | LC-MS/MS | |
| VMAX, min-1 | 62.8 ± 2.2 | 40.6 ± 3.6 | 50.9 ± 2.9 | 43.9 ± 2.7 |
| KM, µM | 136.4 ± 13.2 | 107.3 ± 23.4 | 47.5 ± 10.6 | 36.9 ± 7.5 |
| P450 Species | This study | Yanagihara et al., 2001 [30] | Portmann et al., 2010 [31] | ||||
|---|---|---|---|---|---|---|---|
| KM, µM | VMAX, min-1 | CLint, µM-1min-1 | KM, µM | VMAX, min-1 | KM, µM | VMAX, min-1 | |
| CYP2B6 | 53.9 ± 14.4 | 50.6 ± 8.0 | 0.938 | 44.0 ± 9.6 | 33.0 ± 3.0 | 11.9 | 26.0 |
| CYP2C19 | 19.3 ± 6.6 | 13.9 ± 7.1 | 0.719 | ||||
| CYP3A4 | 113 ± 18 | 44.0 ± 7.7 | 0.390 | 399 ± 48 | 42.0 ± 14.0 | 61.2 | 39.0 |
| CYP3A5 | 103 ± 22 | 27.5 ± 3.7 | 0.267 | ||||
| CYP2D6 | 685 ± 124 | 68.0 ± 24.3 | 0.099 | ||||
| CYP2A6 | 78.6 ± 29.9 | 5.6 ± 1.6 | 0.071 | ||||
| CYP1A2 | 236 ± 48 | 9.5 ± 0.6 | 0.040 | ||||
| CYP2C8 | 152 ± 49 | 5.6 ± 0.4 | 0.037 | ||||
| CYP2C9 | 250 ± 76 | 6.2 ± 2.0 | 0.025 | 756 ± 85 | 43.0 ± 16.0 | ||
| CYP2E1 | 457 ± 182 | 5.3 ± 2.1 | 0.012 | ||||
| HLM lot identifier | KM1, µM | KM2. µM | Vmax (total), min-1 | Fraction of the low-affinity component, % |
|---|---|---|---|---|
| EGW | 225 ± 21 | 7.6 ± 0.3 | 100 | |
| CDN | 159 ± 18 | 19.0 ± 0.9 | 100 | |
| DNJ | 30.4 ± 14.0 | 298 ± 23 | 26.5 ± 1.3 | 86.3 ± 1.6 |
| XEN263 | 31.5 ± 9.5 | 683 ± 84 | 35.8 ± 2.6 | 73.5 ± 7.0 |
| FVT | 33.0 ± 18.7 | 648 ± 40 | 64.9 ± 3.0 | 92 ± 1.2 |
Disclaimer/Publisher’s Note: The statements, opinions and data contained in all publications are solely those of the individual author(s) and contributor(s) and not of MDPI and/or the editor(s). MDPI and/or the editor(s) disclaim responsibility for any injury to people or property resulting from any ideas, methods, instructions or products referred to in the content. |
© 2023 by the authors. Licensee MDPI, Basel, Switzerland. This article is an open access article distributed under the terms and conditions of the Creative Commons Attribution (CC BY) license (http://creativecommons.org/licenses/by/4.0/).