Submitted:
14 June 2023
Posted:
16 June 2023
You are already at the latest version
Abstract
Keywords:
1. Introduction
- The implementation of single-stage convex stochastic programs, that require no additional software implementations, whose results are expected to be global optimum.
- The uncertainty is modeled using a probabilistic approach, based on data available. Its implementation in the optimization problem is done with continuous logistic distribution functions. With this approach, other distribution functions can be used to calculate probabilities, as long as they can be formulated as concave expressions. With this, the formulation of the optimization problem is more flexible to different probability distributions that might fit better the data.
- The implementation of mathematical expressions for probabilities are tailored to follow the sense of the optimization and the nature of the random variable.
- The results show that the deterministic case (based on expected values) represent a less likely case. On the other hand, both proposed approaches are more likely, thus estimating better the long-term expected behavior.
2. Methods
2.1. Notation
2.2. AC-OPF formulations
2.3. Objective function
2.3.1. Energy Losses
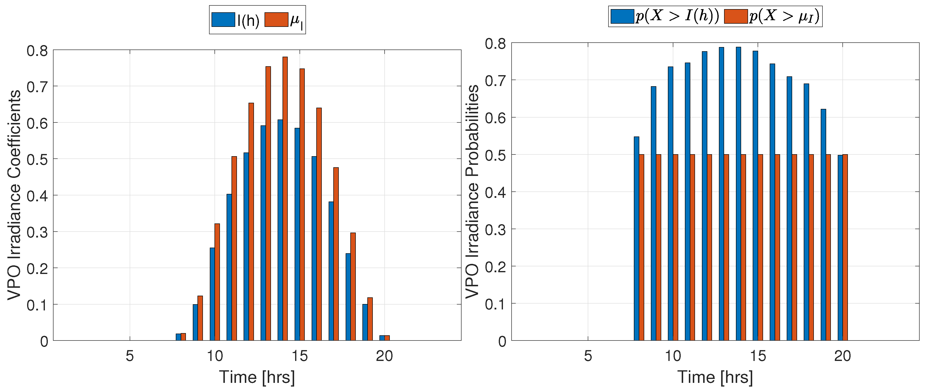
2.3.2. Probabilities
2.4. DER and Demand modelling
2.4.1. PV Location modelling
2.4.2. PV-Capacity-Irradiance interface
2.5. Test systems
2.6. Deterministic AC-OPF model
2.7. Stochastic AC-OPF model
2.8. Computational Implementation
3. Results
3.1. Results for the I33 system
3.1.1. Deterministic AC-OPF
3.1.2. Stochastic OPF
3.2. Results for the J23 system
3.2.1. Deterministic AC-OPF
3.2.2. Stochastic OPF
4. Discussion
5. Conclusions
Author Contributions
Funding
Data Availability Statement
Acknowledgments
Conflicts of Interest
Abbreviations
| AC-OPF | AC-Optimal Power Flow |
| AOA | Arithmetic Optimization Algorithm |
| BIM | Bus-Injection Model |
| CDF | Cumulative Probability Function |
| DER | Distributed Energy Resources |
| EM&D | Electrical Machines And Drives |
| GWO | Grey Wolf Optimizer |
| HHO | Harris Hawks Optimizer |
| hHHO-AOA | Hybrid HHO-AOA |
| I33 | IEEE 33-bus system |
| IDEAM | Instituto de Hidrología, Meteorología y Estudios Ambientales |
| IoT | Internet of Things |
| IT | Information Technologies |
| J23 | Juan 23 Distribution Network |
| MIGWO | Mutation Improved Grey Wolf Optimizer |
| MI-SOCP | Mixed-Integer Second Order Conic Program |
| PCI | PV-Capacity-Irradiance interface |
| Probability Density Function | |
| PF | Power Flow |
| PV | Photovoltaic Energy |
| QCQP | Quadratically Constrained Quadratic Problem |
| RPO | Range Probability Optimization |
| SOC | Second Order Conic |
| SOS2 | Special Ordered Set 2 |
| VPO | Value-Probability Optimization |
Appendix A
Appendix A.1
| h | ||||
|---|---|---|---|---|
| 1 | 0.1196 | 0.0567 | 0 | 0 |
| 2 | 0.1165 | 0.0551 | 0 | 0 |
| 3 | 0.1152 | 0.0541 | 0 | 0 |
| 4 | 0.1138 | 0.0534 | 0 | 0 |
| 5 | 0.1151 | 0.0541 | 0 | 0 |
| 6 | 0.1181 | 0.0573 | 0 | 0 |
| 7 | 0.1321 | 0.0704 | 0 | 0 |
| 8 | 0.2111 | 0.1248 | 0.0197 | 0.0082 |
| 9 | 0.4919 | 0.2152 | 0.1228 | 0.0311 |
| 10 | 0.8634 | 0.1519 | 0.3214 | 0.0646 |
| 11 | 1.0000 | 0.1208 | 0.5064 | 0.0963 |
| 12 | 0.9578 | 0.1064 | 0.6537 | 0.1102 |
| 13 | 0.7464 | 0.1427 | 0.7540 | 0.1243 |
| 14 | 0.5029 | 0.1902 | 0.7804 | 0.1315 |
| 15 | 0.6278 | 0.1950 | 0.7478 | 0.1304 |
| 16 | 0.8580 | 0.1220 | 0.6398 | 0.1256 |
| 17 | 0.8989 | 0.1170 | 0.4761 | 0.1060 |
| 18 | 0.8428 | 0.1346 | 0.2965 | 0.0713 |
| 19 | 0.6953 | 0.1918 | 0.1180 | 0.0370 |
| 20 | 0.5249 | 0.1938 | 0.0135 | 0.0068 |
| 21 | 0.2884 | 0.1268 | 0 | 0 |
| 22 | 0.1706 | 0.0833 | 0 | 0 |
| 23 | 0.1397 | 0.0669 | 0 | 0 |
| 24 | 0.1237 | 0.0592 | 0 | 0 |
| i | j | ||||
|---|---|---|---|---|---|
| 1 | 2 | 0.16715 | 0.10971 | 0.03129 | 0.01425 |
| 2 | 3 | 0.03768 | 0.02472 | 0.03129 | 0.01425 |
| 3 | 4 | 0.01704 | 0.01118 | 0.03129 | 0.01425 |
| 4 | 5 | 0.02891 | 0.01897 | 0.02086 | 0.00950 |
| 5 | 6 | 0.01808 | 0.01186 | 0.03129 | 0.01425 |
| 6 | 7 | 0.02551 | 0.01674 | 0 | 0 |
| 7 | 8 | 0.01723 | 0.01130 | 0.04694 | 0.02138 |
| 8 | 9 | 0.02391 | 0.01569 | 0.03129 | 0.01425 |
| 11 | 10 | 0.01067 | 0.00700 | 0 | 0 |
| 7 | 11 | 0.02905 | 0.01906 | 0.03129 | 0.01425 |
| 10 | 12 | 0.01181 | 0.00775 | 0.03129 | 0.01425 |
| 12 | 13 | 0.01027 | 0.00674 | 0.04694 | 0.02138 |
| 13 | 14 | 0.01506 | 0.00988 | 0.04694 | 0.02138 |
| 14 | 15 | 0.02613 | 0.01715 | 0.03129 | 0.01425 |
| 15 | 16 | 0.00610 | 0.00400 | 0 | 0 |
| 16 | 17 | 0.00528 | 0.00346 | 0.03129 | 0.01425 |
| 17 | 18 | 0.00278 | 0.00182 | 0 | 0 |
| 18 | 19 | 0.01193 | 0.00783 | 0.04694 | 0.02138 |
| 19 | 20 | 0.00741 | 0.00486 | 0.04694 | 0.02138 |
| 16 | 21 | 0.00827 | 0.00543 | 0.04694 | 0.02138 |
| 23 | 22 | 0.21027 | 0.13798 | 0.04694 | 0.02138 |
| 18 | 23 | 0.03503 | 0.02298 | 0.04694 | 0.02138 |
| 23 | 24 | 0.01012 | 0.00664 | 0.03129 | 0.01425 |
| 24 | 25 | 0.00371 | 0.00243 | 0 | 0 |
| 25 | 26 | 0.02282 | 0.01497 | 0.02086 | 0.00950 |
| 26 | 27 | 0.01808 | 0.01186 | 0 | 0 |
| 25 | 28 | 0.01047 | 0.00687 | 0.04694 | 0.02138 |
| 28 | 29 | 0.01921 | 0.01261 | 0.04694 | 0.02138 |
| 29 | 30 | 0.00544 | 0.00357 | 0.01877 | 0.00855 |
| 29 | 31 | 0.00751 | 0.00493 | 0.06259 | 0.02850 |
| 31 | 32 | 0.00699 | 0.00459 | 0.04694 | 0.02138 |
| 27 | 33 | 0.00699 | 0.00459 | 0.04694 | 0.02138 |
| 27 | 34 | 0.03341 | 0.02193 | 0.03129 | 0.01425 |
| 37 | 35 | 0.00931 | 0.00611 | 0.03129 | 0.01425 |
| 35 | 36 | 0.01037 | 0.00680 | 0.03129 | 0.01425 |
| 34 | 37 | 0.01782 | 0.01169 | 0 | 0 |
| 37 | 38 | 0.00618 | 0.00405 | 0.03129 | 0.01425 |
| 38 | 39 | 0.01395 | 0.00915 | 0.02086 | 0.00950 |
| 39 | 40 | 0.00917 | 0.00602 | 0.04694 | 0.02138 |
| 40 | 41 | 0.02503 | 0.01643 | 0 | 0 |
| 41 | 42 | 0.01629 | 0.01069 | 0.04694 | 0.02138 |
| 41 | 43 | 0.01463 | 0.00960 | 0.03129 | 0.01425 |
| 10 | 43 | 0.01384 | 0.00908 | 0.03129 | 0.01425 |
| h |
|
|
|
|
|---|---|---|---|---|
| 1 | 0.1050 | 0.5000 | 1.0000 | 1.0000 |
| 2 | 0.1052 | 0.5000 | 1.0000 | 1.0000 |
| 3 | 0.1060 | 0.5000 | 1.0000 | 1.0000 |
| 4 | 0.1061 | 0.5000 | 1.0000 | 1.0000 |
| 5 | 0.1059 | 0.5000 | 1.0000 | 1.0000 |
| 6 | 0.1026 | 0.5000 | 1.0000 | 1.0000 |
| 7 | 0.0935 | 0.5000 | 1.0000 | 1.0000 |
| 8 | 0.0843 | 0.5000 | 0.1195 | 0.5000 |
| 9 | 0.1137 | 0.5000 | 0.1950 | 0.5000 |
| 10 | 0.2766 | 0.5000 | 0.2436 | 0.5000 |
| 11 | 0.3915 | 0.5000 | 0.2570 | 0.5000 |
| 12 | 0.4219 | 0.5000 | 0.2882 | 0.5000 |
| 13 | 0.2556 | 0.5000 | 0.2943 | 0.5000 |
| 14 | 0.1314 | 0.5000 | 0.2888 | 0.5000 |
| 15 | 0.1596 | 0.5000 | 0.2790 | 0.5000 |
| 16 | 0.3375 | 0.5000 | 0.2493 | 0.5000 |
| 17 | 0.3662 | 0.5000 | 0.2209 | 0.5000 |
| 18 | 0.3031 | 0.5000 | 0.2050 | 0.5000 |
| 19 | 0.1792 | 0.5000 | 0.1580 | 0.5000 |
| 20 | 0.1346 | 0.5000 | 0.0990 | 0.5000 |
| 21 | 0.1131 | 0.5000 | 1.0000 | 1.0000 |
| 22 | 0.1020 | 0.5000 | 1.0000 | 1.0000 |
| 23 | 0.1040 | 0.5000 | 1.0000 | 1.0000 |
| 24 | 0.1040 | 0.5000 | 1.0000 | 1.0000 |
| 4.3037 | 12.0000 | 2.8975* | 6.5* | |
| 0.1793 | 0.5000 | 0.2228* | 0.5* |
| h |
|
|
||
|---|---|---|---|---|
| 1 | 0.1613 | 0.1240 | 0 | 1 |
| 2 | 0.1570 | 0.1242 | 0 | 1 |
| 3 | 0.1547 | 0.1248 | 0 | 1 |
| 4 | 0.1528 | 0.1249 | 0 | 1 |
| 5 | 0.1546 | 0.1248 | 0 | 1 |
| 6 | 0.1608 | 0.1219 | 0 | 1 |
| 7 | 0.1875 | 0.1141 | 0 | 1 |
| 8 | 0.310 | 0.1063 | 0.0253 | 0.1368 |
| 9 | 0.6238 | 0.1314 | 0.1375 | 0.2064 |
| 10 | 0.9001 | 0.2839 | 0.3473 | 0.2528 |
| 11 | 1.0184 | 0.3960 | 0.5436 | 0.2656 |
| 12 | 0.9745 | 0.4262 | 0.6917 | 0.2958 |
| 13 | 0.7914 | 0.2642 | 0.7946 | 0.3018 |
| 14 | 0.6166 | 0.1474 | 0.8229 | 0.2959 |
| 15 | 0.7236 | 0.1731 | 0.7921 | 0.2869 |
| 16 | 0.8848 | 0.3436 | 0.6886 | 0.2583 |
| 17 | 0.9207 | 0.3714 | 0.5224 | 0.2310 |
| 18 | 0.8734 | 0.3097 | 0.3333 | 0.2157 |
| 19 | 0.7701 | 0.1910 | 0.1388 | 0.1718 |
| 20 | 0.6282 | 0.1500 | 0.0186 | 0.1188 |
| 21 | 0.3736 | 0.1311 | 0 | 1 |
| 22 | 0.2323 | 0.1214 | 0 | 1 |
| 23 | 0.1890 | 0.1232 | 0 | 1 |
| 24 | 0.1674 | 0.1232 | 0 | 1 |
| 4.6529 | 3.0383* | |||
| 0.1938 | 0.2337* |
| h | ||||
|---|---|---|---|---|
| 1 | 0.2731 | 0.9373 | 0 | 1 |
| 2 | 0.2675 | 0.9391 | 0 | 1 |
| 3 | 0.2645 | 0.9403 | 0 | 1 |
| 4 | 0.2620 | 0.9411 | 0 | 1 |
| 5 | 0.2644 | 0.9404 | 0 | 1 |
| 6 | 0.2726 | 0.9366 | 0 | 1 |
| 7 | 0.3054 | 0.9212 | 0 | 1 |
| 8 | 0.4319 | 0.8542 | 0.0181 | 0.5472 |
| 9 | 0.7025 | 0.7268 | 0.0990 | 0.6821 |
| 10 | 1.0613 | 0.7862 | 0.2553 | 0.7355 |
| 11 | 1.1890 | 0.8269 | 0.4025 | 0.7462 |
| 12 | 1.1455 | 0.8537 | 0.5164 | 0.7765 |
| 13 | 0.9625 | 0.8196 | 0.5910 | 0.7876 |
| 14 | 0.7426 | 0.7790 | 0.6072 | 0.7885 |
| 15 | 0.8557 | 0.7628 | 0.5844 | 0.7776 |
| 16 | 1.0581 | 0.8373 | 0.5064 | 0.7430 |
| 17 | 1.0912 | 0.8380 | 0.3819 | 0.7086 |
| 18 | 1.0395 | 0.8115 | 0.2395 | 0.6899 |
| 19 | 0.8941 | 0.7381 | 0.0996 | 0.6214 |
| 20 | 0.7339 | 0.7461 | 0.0135 | 0.4977 |
| 21 | 0.5057 | 0.8471 | 0 | 1 |
| 22 | 0.3584 | 0.9049 | 0 | 1 |
| 23 | 0.3079 | 0.9251 | 0 | 1 |
| 24 | 0.2810 | 0.9343 | 0 | 1 |
| 20.5486 | 9.1023* | |||
| 0.8561 | 0.7001* |
| h |
|
|
||
|---|---|---|---|---|
| 1 | 0.1615 | 0.1240 | 0 | 1 |
| 2 | 0.1572 | 0.1242 | 0 | 1 |
| 3 | 0.1549 | 0.1248 | 0 | 1 |
| 4 | 0.1530 | 0.1249 | 0 | 1 |
| 5 | 0.1548 | 0.1248 | 0 | 1 |
| 6 | 0.1611 | 0.1219 | 0 | 1 |
| 7 | 0.1879 | 0.1141 | 0 | 1 |
| 8 | 0.3157 | 0.1063 | 0.0253 | 0.1368 |
| 9 | 0.6415 | 0.1317 | 0.1374 | 0.2064 |
| 10 | 0.9149 | 0.2846 | 0.3333 | 0.2503 |
| 11 | 1.0295 | 0.3968 | 0.5419 | 0.2657 |
| 12 | 0.9820 | 0.4267 | 0.6904 | 0.2958 |
| 13 | 0.7985 | 0.2644 | 0.7946 | 0.3018 |
| 14 | 0.7209 | 0.1383 | 0.8888 | 0.2804 |
| 15 | 0.7338 | 0.1733 | 0.7777 | 0.2861 |
| 16 | 0.8925 | 0.3439 | 0.6666 | 0.2566 |
| 17 | 0.9294 | 0.3720 | 0.5208 | 0.2310 |
| 18 | 0.8849 | 0.3103 | 0.3286 | 0.2159 |
| 19 | 0.7902 | 0.1916 | 0.1385 | 0.1718 |
| 20 | 0.6448 | 0.1503 | 0.0186 | 0.1188 |
| 21 | 0.3773 | 0.1312 | 0 | 1 |
| 22 | 0.2332 | 0.1214 | 0 | 1 |
| 23 | 0.1894 | 0.1232 | 0 | 1 |
| 24 | 0.1677 | 0.1232 | 0 | 1 |
| 4.6490 | 3.0180* | |||
| 0.1937 | 0.2321* |
| h | ||||
|---|---|---|---|---|
| 1 | 0.2790 | 0.9431 | 0 | 1 |
| 2 | 0.2732 | 0.9447 | 0 | 1 |
| 3 | 0.2700 | 0.9457 | 0 | 1 |
| 4 | 0.2673 | 0.9464 | 0 | 1 |
| 5 | 0.2698 | 0.9458 | 0 | 1 |
| 6 | 0.2786 | 0.9425 | 0 | 1 |
| 7 | 0.3137 | 0.9293 | 0 | 1 |
| 8 | 0.4536 | 0.8745 | 0.0181 | 0.5477 |
| 9 | 0.7675 | 0.7825 | 0.0986 | 0.6850 |
| 10 | 1.1220 | 0.8457 | 0.2221 | 0.8227 |
| 11 | 1.2378 | 0.8773 | 0.3968 | 0.7572 |
| 12 | 1.1827 | 0.8922 | 0.4444 | 0.8698 |
| 13 | 1.0004 | 0.8556 | 0.5554 | 0.8316 |
| 14 | 0.7765 | 0.8081 | 0.6667 | 0.7035 |
| 15 | 0.9014 | 0.8026 | 0.5850 | 0.7769 |
| 16 | 1.0970 | 0.8762 | 0.5019 | 0.7498 |
| 17 | 1.1335 | 0.8813 | 0.3767 | 0.7186 |
| 18 | 1.0912 | 0.8634 | 0.2221 | 0.7395 |
| 19 | 0.9682 | 0.8057 | 0.0989 | 0.6259 |
| 20 | 0.7985 | 0.8040 | 0.0135 | 0.4983 |
| 21 | 0.5322 | 0.8722 | 0 | 1 |
| 22 | 0.3701 | 0.9163 | 0 | 1 |
| 23 | 0.3159 | 0.9329 | 0 | 1 |
| 24 | 0.2874 | 0.9406 | 0 | 1 |
| 21.2298 | 9.3271* | |||
| 0.8845 | 0.7174* |




References
- Kazacos Winter, D.; Khatri, R.; Schmidt, M. Decentralized Prosumer-Centric P2P Electricity Market Coordination with Grid Security. Energies 2021, 14. [Google Scholar] [CrossRef]
- Naughton, J.; Wang, H.; Riaz, S.; Cantoni, M.; Mancarella, P. Optimization of multi-energy virtual power plants for providing multiple market and local network services. Electric Power Systems Research 2020, 189, 106775. [Google Scholar] [CrossRef]
- Wu, Q.; Xue, F.; Lu, S.; Jiang, L.; Huang, T.; Wang, X.; Sang, Y. Integrated network partitioning and DERs allocation for planning of Virtual Microgrids. Electric Power Systems Research 2023, 216, 109024. [Google Scholar] [CrossRef]
- León, L.M.; Romero-Quete, D.; Merchán, N.; Cortés, C.A. Optimal design of PV and hybrid storage based microgrids for healthcare and government facilities connected to highly intermittent utility grids. Applied Energy 2023, 335, 120709. [Google Scholar] [CrossRef]
- Silva, J.A.A.; López, J.C.; Guzman, C.P.; Arias, N.B.; Rider, M.J.; da Silva, L.C. An IoT-based energy management system for AC microgrids with grid and security constraints. Applied Energy 2023, 337, 120904. [Google Scholar] [CrossRef]
- Stekli, J.; Bai, L.; Cali, U.; Halden, U.; Dynge, M.F. Distributed energy resource participation in electricity markets: A review of approaches, modeling, and enabling information and communication technologies. Energy Strategy Reviews 2022, 43, 100940. [Google Scholar] [CrossRef]
- Sánchez, S.B.; Franco, J.F.G.; Agudelo, J.P.; Lemoine, C.A.; Quintero, S.X.C. Methodology for characterization and planning of electricity demand in an isolated zone: Mitú Approach. Transactions on Energy Systems and Engineering Applications 2022, 3, 1–11. [Google Scholar] [CrossRef]
- Bouhorma, N.; Martín, H.; de la Hoz, J.; Coronas, S. A Comprehensive Methodology for the Statistical Characterization of Solar Irradiation: Application to the Case of Morocco. Applied Sciences (Switzerland) 2023, 13. [Google Scholar] [CrossRef]
- Alassery, F.; Alzahrani, A.; Khan, A.I.; Irshad, K.; Kshirsagar, S.R. An artificial intelligence-based solar radiation prophesy model for green energy utilization in energy management system. Sustainable Energy Technologies and Assessments 2022, 52, 102060. [Google Scholar] [CrossRef]
- Mendoza, D.; Garcia, J.R. Multi-Objective Optimization of a Microgrid Considering MBESS Efficiencies, the Initial State of Charge, and Storage Capacity. International Review of Electrical Engineering (IREE) 2022, 17, 273. [Google Scholar] [CrossRef]
- Noori, S.M.; Scott, P.; Mahmoodi, M.; Attarha, A. Data-driven adjustable robust solution to voltage-regulation problem in PV-rich distribution systems. International Journal of Electrical Power and Energy Systems 2022, 141, 108118. [Google Scholar] [CrossRef]
- Tarife, R.; Nakanishi, Y.; Chen, Y.; Zhou, Y.; Estoperez, N.; Tahud, A. Optimization of Hybrid Renewable Energy Microgrid for Rural Agricultural Area in Southern Philippines. Energies 2022, 15, 2251. [Google Scholar] [CrossRef]
- Anestis, A.; Georgios, V. Economic benefits of Smart Microgrids with penetration of DER and mCHP units for non-interconnected islands. Renewable Energy 2019, 142, 478–486. [Google Scholar] [CrossRef]
- Pham, A.T.; Lovdal, L.; Zhang, T.; Craig, M.T. A techno-economic analysis of distributed energy resources versus wholesale electricity purchases for fueling decarbonized heavy duty vehicles. Applied Energy 2022, 322. [Google Scholar] [CrossRef]
- Saini, P.; Gidwani, L. An environmental based techno-economic assessment for battery energy storage system allocation in distribution system using new node voltage deviation sensitivity approach. International Journal of Electrical Power and Energy Systems 2021, 128. [Google Scholar] [CrossRef]
- Wang, Y.; Rousis, A.O.; Qiu, D.; Strbac, G. A stochastic distributed control approach for load restoration of networked microgrids with mobile energy storage systems. International Journal of Electrical Power and Energy Systems 2023, 148, 108999. [Google Scholar] [CrossRef]
- Osorio, D.M.; Garcia, J.R. Optimization of Distributed Energy Resources in Distribution Networks: Applications of Convex Optimal Power Flow Formulations in Distribution Networks. International Transactions on Electrical Energy Systems 2023, 2023, 1–16. [Google Scholar] [CrossRef]
- Mendoza, D. A Review in Bess Optimization for Power Systems. TecnoLógicas 2023, 26. [Google Scholar] [CrossRef]
- Abualigah, L.; Diabat, A.; Mirjalili, S.; Elaziz, M.A.; Gandomi, A.H. The Arithmetic Optimization Algorithm. Computer Methods in Applied Mechanics and Engineering 2021, 376, 113609. [Google Scholar] [CrossRef]
- Cetinbas, I.; Tamyurek, B.; Demirtas, M. The Hybrid Harris Hawks Optimizer-Arithmetic Optimization Algorithm: A New Hybrid Algorithm for Sizing Optimization and Design of Microgrids. IEEE Access 2022, 10, 19254–19283. [Google Scholar] [CrossRef]
- Sidea, D.; Picioroaga, I.; Bulac, C. Optimal Battery Energy Storage System Scheduling Based on Mutation-Improved Grey Wolf Optimizer Using GPU-Accelerated Load Flow in Active Distribution Networks. IEEE Access 2021, 9, 13922–13937. [Google Scholar] [CrossRef]
- Huang, S.; Filonenko, K.; Veje, C.T. A Review of The Convexification Methods for AC Optimal Power Flow; A Review of The Convexification Methods for AC Optimal Power Flow. 2019 IEEE Electrical Power and Energy Conference (EPEC) 2019. [Google Scholar]
- Chen, Y.; Xia, B.; Xu, C.; Chen, Q.; Shi, Z.; Huang, S. A Second-Order Cone Relaxation Based Method for Optimal Power Flow of Meshed Networks. 2022 5th International Conference on Energy, Electrical and Power Engineering (CEEPE) 2022, pp. 280–285. [Google Scholar] [CrossRef]
- Ma, M.; Fan, L.; Miao, Z.; Zeng, B.; Ghassempour, H. A sparse convex AC OPF solver and convex iteration implementation based on 3-node cycles. Electric Power Systems Research 2020, 180. [Google Scholar] [CrossRef]
- Rahiminejad, A.; Ghafouri, M.; Atallah, R.; Lucia, W.; Debbabi, M.; Mohammadi, A. Resilience enhancement of Islanded Microgrid by diversification, reconfiguration, and DER placement/sizing. International Journal of Electrical Power and Energy Systems 2023, 147. [Google Scholar] [CrossRef]
- García-Muñoz, F.; Díaz-González, F.; Corchero, C. A novel algorithm based on the combination of AC-OPF and GA for the optimal sizing and location of DERs into distribution networks. Sustainable Energy, Grids and Networks 2021, 27. [Google Scholar] [CrossRef]
- Chen, C.; Shen, X.; Guo, Q.; Sun, H. Robust planning-operation co-optimization of energy hub considering precise model of batteries’ economic efficiency. Energy Procedia 2019, 158, 6496–6501. [Google Scholar] [CrossRef]
- Mahmood, D.; Javaid, N.; Ahmed, G.; Khan, S.; Monteiro, V. A review on optimization strategies integrating renewable energy sources focusing uncertainty factor – Paving path to eco-friendly smart cities. Sustainable Computing: Informatics and Systems 2021, 30, 100559. [Google Scholar] [CrossRef]
- Liao, X.; Liu, K.; Le, J.; Zhu, S.; Huai, Q.; Li, B.; Zhang, Y. Extended affine arithmetic-based global sensitivity analysis for power flow with uncertainties. International Journal of Electrical Power and Energy Systems 2020, 115, 105440. [Google Scholar] [CrossRef]
- Yu, X.; Dong, X.; Pang, S.; Zhou, L.; Zang, H. Energy storage sizing optimization and sensitivity analysis based on wind power forecast error compensation. Energies 2019, 12. [Google Scholar] [CrossRef]
- Yi, Y.; Verbič, G. Fair operating envelopes under uncertainty using chance constrained optimal power flow. Electric Power Systems Research 2022, 213. [Google Scholar] [CrossRef]
- Claessens, B.; Engels, J.; Deconinck, G. Combined stochastic optimization of frequency control and self-consumption with a battery. IEEE Transactions on Smart Grid 2019, 10, 1971–1981. [Google Scholar] [CrossRef]
- Vahid-Ghavidel, M.; Shafie-khah, M.; Javadi, M.S.; Santos, S.F.; Gough, M.; Quijano, D.A.; Catalao, J.P. Hybrid IGDT-stochastic self-scheduling of a distributed energy resources aggregator in a multi-energy system. Energy 2023, 265. [Google Scholar] [CrossRef]
- Moradi, S.; Zizzo, G.; Favuzza, S.; Massaro, F. A stochastic approach for self-healing capability evaluation in active islanded AC/DC hybrid microgrids. Sustainable Energy, Grids and Networks 2023, 33, 100982. [Google Scholar] [CrossRef]
- Singh, V.; Moger, T.; Jena, D. Uncertainty handling techniques in power systems: A critical review. Electric Power Systems Research 2022, 203, 107633. [Google Scholar] [CrossRef]
- Gil-González, W.; Garces, A.; Montoya, O.D.; Hernández, J.C. A mixed-integer convex model for the optimal placement and sizing of distributed generators in power distribution networks. Applied Sciences (Switzerland) 2021, 11, 1–15. [Google Scholar] [CrossRef]
- Ding, T.; Lu, R.; Yang, Y.; Blaabjerg, F. A Condition of Equivalence between Bus Injection and Branch Flow Models in Radial Networks. IEEE Transactions on Circuits and Systems II: Express Briefs 2020, 67, 536–540. [Google Scholar] [CrossRef]
- Low, S.H. Convex relaxation of optimal power flow: A tutorial. Proceedings of IREP Symposium: Bulk Power System Dynamics and Control - IX Optimization, Security and Control of the Emerging Power Grid, IREP 2013 2013, pp. 1–15. [Google Scholar] [CrossRef]
- Venzke, A.; Chatzivasileiadis, S.; Molzahn, D.K. Inexact convex relaxations for AC optimal power flow: Towards AC feasibility. Electric Power Systems Research 2020, 187. [Google Scholar] [CrossRef]
- Montoya, O.D.; Gil-González, W.; Grisales-Noreña, L.F. An exact MINLP model for optimal location and sizing of DGs in distribution networks: A general algebraic modeling system approach. Ain Shams Engineering Journal 2020, 11, 409–418. [Google Scholar] [CrossRef]
- Diamond, S.; Boyd, S. CVXPY: A Python-Embedded Modeling Language for Convex Optimization, 2016.
- Agrawal, A.; Verschueren, R.; Diamond, S.; Boyd, S. A rewriting system for convex optimization problems. Journal of Control and Decision 2018, 5, 42–60. [Google Scholar] [CrossRef]
- Anaconda Software Distribution, 2016.
- ApS, M. MOSEK Optimizer API for Python manual. Version 10.0.40, 2023.










| Analysis | [MW] | [MWh/day] | [p.u.] | [p.u.] | |
|---|---|---|---|---|---|
| PF () | - | - | 1.5155 | 0.9037 | 1.0000 |
| OPF | 8 | 1.9999 | 1.0325 | 0.9319 | 1.0070 |
| Analysis | [MW] | [MWh/day] | [p.u.] | [p.u.] | |
|---|---|---|---|---|---|
| PF () | - | - | 1.5155 | 0.9037 | 1.0000 |
| PF () | - | - | 1.7702 | 0.9018 | 1.0000 |
| RPO-OPF | 17 | 1.7777 | 1.4168 | 0.9270 | 1.0487 |
| Analysis | [MW] | [MWh/day] | [p.u.] | [p.u.] | |
|---|---|---|---|---|---|
| PF () | - | - | 1.5155 | 0.9037 | 1.0000 |
| PF () | - | - | 2.6283 | 0.8834 | 1.0000 |
| VPO-OPF | 12 | 1.9992 | 1.9124 | 0.9121 | 1.0000 |
| Analysis | [MW] | [MWh/day] | [p.u.] | [p.u.] | |
|---|---|---|---|---|---|
| PF () | - | - | 0.3372 | 0.9964 | 1.0000 |
| OPF | 36 | 0.7992 | 0.2344 | 0.9973 | 1.0000 |
| Analysis | [MW] | [MWh/day] | [p.u.] | [p.u.] | |
|---|---|---|---|---|---|
| PF () | - | - | 0.3372 | 0.9964 | 1.0000 |
| PF () | - | - | 0.3874 | 0.9963 | 1.0000 |
| RPO-OPF | 20 | 0.2222 | 0.2668 | 0.9967 | 1.0000 |
| Analysis | [MW] | [MWh/day] | [p.u.] | [p.u.] | |
|---|---|---|---|---|---|
| PF () | - | - | 0.3372 | 0.9964 | 1.0000 |
| PF () | - | - | 0.5004 | 0.9956 | 1.0000 |
| VPO-OPF | 25 | 0.2222 | 0.3479 | 0.9959 | 1.0000 |
Disclaimer/Publisher’s Note: The statements, opinions and data contained in all publications are solely those of the individual author(s) and contributor(s) and not of MDPI and/or the editor(s). MDPI and/or the editor(s) disclaim responsibility for any injury to people or property resulting from any ideas, methods, instructions or products referred to in the content. |
© 2023 by the authors. Licensee MDPI, Basel, Switzerland. This article is an open access article distributed under the terms and conditions of the Creative Commons Attribution (CC BY) license (http://creativecommons.org/licenses/by/4.0/).
