Submitted:
07 June 2023
Posted:
07 June 2023
You are already at the latest version
Abstract
Keywords:
1. Introduction
2. Experimental
2.1. Materials and Agents
2.2. LDH Preparation and Modification
2.3. LDH Characterization
2.4. Coating Preparation
2.5. Coating Characterization
3. Results and Discussion
3.1. Characterization of the Synthesized LDH Powders
3.2. Corrosion Protection Ability of the Synthesized LDH Powders in 0.02 M NaCl Solution
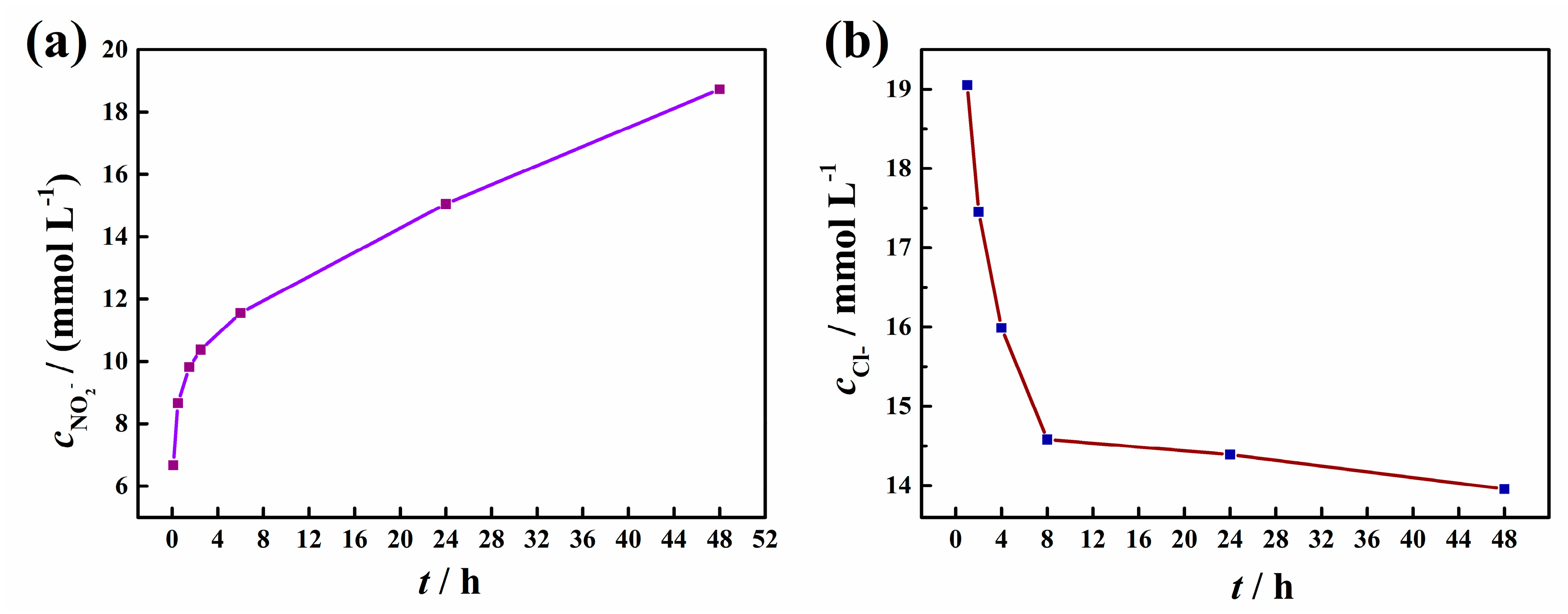
3.3. The Release Curve of NO2- and the Chloride Concentration Decreasing Curve
3.4. Corrosion Protection Ability of Epoxy Coatings with the Synthesized LDH Powders in 3.5 wt.% NaCl Solution
3.5. Coating Morphology Characterization
3.6. The Morphology and Corrosion Product Characterization of the Scratched Coating Samples after Salt Spray Test
3.7. Self-Healing Performance of the Coatings
3.8. Corrosion Protection Mechanism
4. Conclusions
Acknowledgments
References
- Zhang, M., et al., A smart anti-corrosion coating based on triple functional fillers. Chemical Engineering Journal, 2022. 446: p. 137078. [CrossRef]
- Zhang, F., et al., Self-healing mechanisms in smart protective coatings: A review. Corrosion Science, 2018. 144: p. 74-88. [CrossRef]
- Zheludkevich, M.L., J. Tedim, and M.G.S. Ferreira, “Smart” coatings for active corrosion protection based on multi-functional micro and nanocontainers. Electrochimica Acta, 2012. 82: p. 314-323. [CrossRef]
- Cui, M., et al., Anticorrosive performance of waterborne epoxy coatings containing water-dispersible hexagonal boron nitride (h-BN) nanosheets. Applied Surface Science, 2017. 397: p. 77-86. [CrossRef]
- Wu, Y., et al., ZnAl-LDH@MXene modified by inhibitor as a nanofiller applied on Mg alloys coating protection. Carbon, 2023. 204: p. 36-49. [CrossRef]
- Li, C., et al., Cataphoretic deposition of an epoxy coating with the incorporation of Ti3C2Tx@Mg-Al layered double hydroxide for long-term active corrosion protection effect. Progress in Organic Coatings, 2023. 175: p. 107333. [CrossRef]
- Haddadi, S.A., et al., Sodium lignosulfonate-loaded ZnAl-layered double hydroxide decorated graphene oxide nanolayers; toward fabrication of sustainable nanocomposite for smart corrosion prevention. Journal of Cleaner Production, 2022. 374: p. 133980. [CrossRef]
- Ren, L., et al., Facile preparation of wear-resistant and anti-corrosion films on magnesium alloy. Surface Engineering, 2022. 38(1): p. 22-29. [CrossRef]
- Maia, F., et al., Corrosion protection of AA2024 by sol–gel coatings modified with MBT-loaded polyurea microcapsules. Chemical Engineering Journal, 2016. 283: p. 1108-1117. [CrossRef]
- Xing, X., et al., Synthesis and inhibition behavior of acid stimuli-responsive Ca-Na2MoO4-HNTs nanocomposite. Colloids and Surfaces A: Physicochemical and Engineering Aspects, 2018. 553: p. 305-311. [CrossRef]
- Xing, X., et al., A novel acid-responsive HNTs-based corrosion inhibitor for protection of carbon steel. Colloids and Surfaces A: Physicochemical and Engineering Aspects, 2018. 553: p. 295-304. [CrossRef]
- Karami, Z., et al., Epoxy/layered double hydroxide (LDH) nanocomposites: Synthesis, characterization, and excellent cure feature of nitrate anion intercalated Zn-Al LDH. Progress in Organic Coatings, 2019. 136: p. 105218-105224. [CrossRef]
- Kopeć, M., et al., Self-healing epoxy coatings loaded with inhibitor-containing polyelectrolyte nanocapsules. Progress in Organic Coatings, 2015. 84: p. 97-106. [CrossRef]
- Ouyang, Y., et al., A self-healing coating based on facile pH-responsive nanocontainers for corrosion protection of magnesium alloy. Journal of Magnesium and Alloys, 2020. [CrossRef]
- Yan, D., et al., A double-layered self-healing coating system based on the synergistic strategy of cysteine and iron polyacrylate for corrosion protection. Chemical Engineering Journal, 2023. 451: p. 138995. [CrossRef]
- Jia, Y., et al., Preparation of pH responsive smart nanocontainer via inclusion of inhibitor in graphene/halloysite nanotubes and its application in intelligent anticorrosion protection. Applied Surface Science, 2020. 504: p. 144496. [CrossRef]
- Mohammadi, I., et al., Enhanced epoxy coating based on cerium loaded Na-montmorillonite as active anti-corrosive nanoreservoirs for corrosion protection of mild steel: Synthesis, characterization, and electrochemical behavior. Progress in Organic Coatings, 2019. 131: p. 119-130. [CrossRef]
- Guo, X., et al., Layered double hydroxide films: synthesis, properties and applications. Chemical Communications, 2010. 46(29): p. 5197-210. [CrossRef]
- Cao, Y., et al., Layered double hydroxide (LDH) for multi-functionalized corrosion protection of metals: A review. Journal of Materials Science & Technology, 2022. 102: p. 232-263. [CrossRef]
- Chen, Y., et al., Synergistic effect of graphene oxide/ ternary Mg-Al-La layered double hydroxide for dual self-healing corrosion protection of micro-arc oxide coating of magnesium alloy. Colloids and Surfaces A: Physicochemical and Engineering Aspects, 2022. 655: p. 130339. [CrossRef]
- Chen, Y., et al., Development of metal-organic framework (MOF) decorated graphene oxide/MgAl-layered double hydroxide coating via microstructural optimization for anti-corrosion micro-arc oxidation coatings of magnesium alloy. Journal of Materials Science & Technology, 2022. 130: p. 12-26. [CrossRef]
- Shulha, T., et al., Corrosion Inhibitors Intercalated into Layered Double Hydroxides Prepared In Situ on AZ91 Magnesium Alloys: Structure and Protection Ability. ACS Appl Mater Interfaces, 2023. 15(4): p. 6098-6112. [CrossRef]
- Tabish, M., et al., Improving the corrosion protection ability of epoxy coating using CaAl LDH intercalated with 2-mercaptobenzothiazole as a pigment on steel substrate. Progress in Organic Coatings, 2022. 165: p. 106765. [CrossRef]
- Wu, L., et al., Corrosion Resistance of the GO/ZIF-8 Hybrid Loading Benzotriazole as a Multifunctional Composite Filler-Modified MgAlY Layered Double Hydroxide Coating. Langmuir, 2022. 38(33): p. 10338-10350. [CrossRef]
- Sanaei, Z., A. Shamsipur, and B. Ramezanzadeh, Trisodium phosphate-loaded hierarchically ordered meso-nanoporous ZIF-67/ZIF-8 metal-organic frameworks assembled rGO-Zn-Al-LDH: A multi-level pH-triggered nano-vehicle for epoxy coating long-lasting self-repairing/barrier properties improvement. Chemical Engineering Journal, 2023. 451: p. 138872. [CrossRef]
- Cao, Y., et al., A Comparative Study of Chloride Adsorption Ability and Corrosion Protection Effect in Epoxy Coatings of Various Layered Double Hydroxides. Coatings, 2022. 12(11): p. 1631. [CrossRef]
- Zheludkevich, M.L., et al., Active protection coatings with layered double hydroxide nanocontainers of corrosion inhibitor. Corrosion Science, 2010. 52(2): p. 602-611. [CrossRef]
- Zhang, Y., et al., Fabrication of inhibitor anion-intercalated layered double hydroxide host films on aluminum alloy 2024 and their anticorrosion properties. Journal of Coatings Technology and Research, 2015. 12(2): p. 293-302. [CrossRef]
- Shkirskiy, V., et al., Factors Affecting MoO42–Inhibitor Release from Zn2Al Based Layered Double Hydroxide and Their Implication in Protecting Hot Dip Galvanized Steel by Means of Organic Coatings. ACS Applied Materials & Interfaces, 2015. 7(45): p. 25180-25192. [CrossRef]
- Zeng, R., et al., Corrosion of molybdate intercalated hydrotalcite coating on AZ31 Mg alloy. Journal of Materials Chemistry A, 2014. 2(32): p. 13049-13057. [CrossRef]
- Wang, Y. and D. Zhang, Synthesis, characterization, and controlled release anticorrosion behavior of benzoate intercalated Zn–Al layered double hydroxides. Materials Research Bulletin, 2011. 46(11): p. 1963-1968. [CrossRef]
- Cao, Y., et al., Multifunctional inhibition based on layered double hydroxides to comprehensively control corrosion of carbon steel in concrete. Corrosion Science, 2017. 126: p. 166-179. [CrossRef]
- Cao, Y., et al., A composite corrosion inhibitor of MgAl layered double hydroxides co-intercalated with hydroxide and organic anions for carbon steel in simulated carbonated concrete pore solutions. Journal of The Electrochemical Society, 2019. 166(11): p. C3106-C3113. [CrossRef]
- Xu, T., et al., Composite nanocontainers synthesized by in-situ growth of metal organic frameworks on layered double hydroxides having both passive and active protecting capabilities. Progress in Organic Coatings, 2022. 164: p. 106695. [CrossRef]














Disclaimer/Publisher’s Note: The statements, opinions and data contained in all publications are solely those of the individual author(s) and contributor(s) and not of MDPI and/or the editor(s). MDPI and/or the editor(s) disclaim responsibility for any injury to people or property resulting from any ideas, methods, instructions or products referred to in the content. |
© 2023 by the authors. Licensee MDPI, Basel, Switzerland. This article is an open access article distributed under the terms and conditions of the Creative Commons Attribution (CC BY) license (http://creativecommons.org/licenses/by/4.0/).
