Submitted:
01 June 2023
Posted:
02 June 2023
You are already at the latest version
Abstract
Keywords:
0. Introduction
1. Analysis of influence of drawing shear factor
2. Analysis of paste structure characteristics
2.1. The material source of debris flow slurry
2.2. Analysis of slurry composition of debris flow
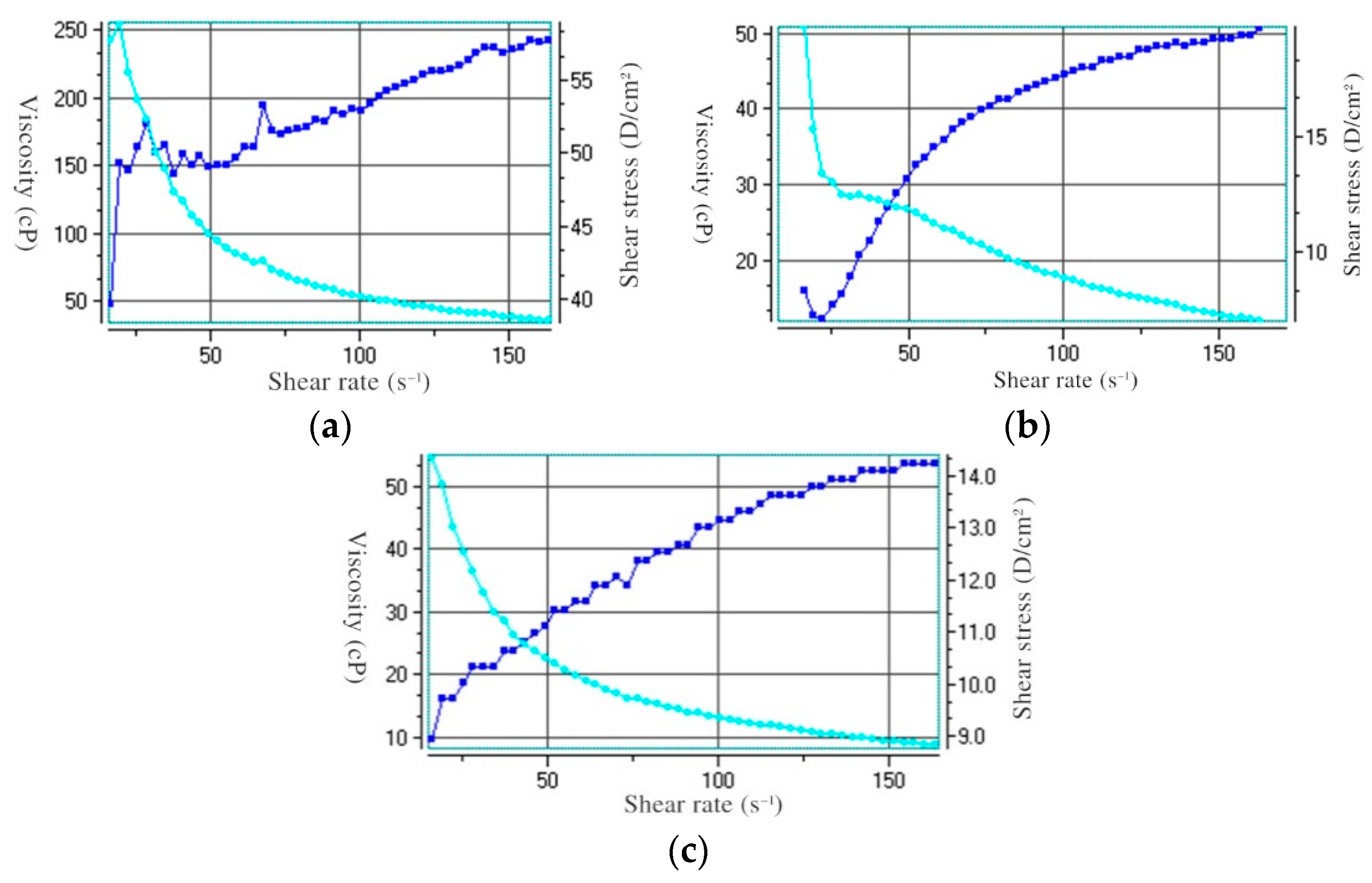
2.3. Rheological characteristics of debris flow slurry
2.4. Analysis on thixotropy of mud-rock flow slurry
3. Effect of ore drawing shear on underground debris flow
4. Conclusions
Author Contributions
Funding
Data Availability Statement
Conflicts of Interest
References
- LI Zhijun, NIU Xiangdong, ZENG Qingtian, et al. Experimental study on critical threshold value of rainfall induced by natural caving method for underground debris flow [J]. Nonferrous Metals(Mining Section), 2022, 74(05):79-85.
- Gunes A, Demirdag S, Demirbas E. O, et al. Investigating the Usability of Pyrotechnic Rock Breaker Materials in Natural Stone Quarrying [J]. Journal of Mining Science, 2023, 58(06):973-991. [CrossRef]
- ZHANG Jianhua, CHENG Xiaojiao, WEN Hu, et al. Prediction and Control of Coal Spontaneous Combustion in a Multi-fault Fully Mechanized Top Coal Caving Face at the Mine Field Boundary [J]. Combustion Science and Technology, 2022, 194(09):1895-1913. [CrossRef]
- Pal Roy Pijush, Sawmliana Chhangte, Singh Rakesh Kumar. Design of blasting patterns to induce effective caving in continuous miner depillaring panel – a case study [J]. Mining Technology, 2021, 130(04):209-220. [CrossRef]
- NIU Xiangdong, HOU Kepeng, SUN Huafen, et al. Experimental study on the flow mechanism of fine-grained moraine in the process of uniform ore drawing[J]. Journal of Mining And Strata Control Engineering, 2023. [CrossRef]
- HUANG Huatao, LUO Genping, WANG Huan, et al. Research and application of mud inrush control in stope of Block Caving Method[J]. World Nonferrous Metals, 2020(10):55-56.
- NIU Xiangdong, XIE Jinyi, HOU Kepeng, et al. Experimental study on rainfall threshold and outbreak time of downhole debris flow induced by the Prang Copper Mine[J]. Nonferrous Metals Engineering, 2020, 10(07):100-106.
- DENG Junping. Study on the cause and prevention of mud bursting accident in a mine based on accident causation theory [J]. Mining Technology, 2019, 19(5):98-101.
- SONG Weidong, WANG Yanhui, DU Jianhua, et al. Study on the indicator system of influencing factors on the underground debris flow [J]. Metal Mine, 2009, (9):155-159.
- DU Jianhua, KUANG Zhongxiang, SONG Weidong, et al. Numerical simulation study occurrence mechanism of underground Mud-Rock Slides [J]. Metal Mine, 2008, (4):18-22.
- PORMANDO Silalahi, DANNY Satrio Wicaksono, IWAN Sriyanto, et al. Geological aspects for the wet muck material forming at the deep ore zone (DOZ) block cave mine, Papua, Indonesia[J]. Deep Ore Zone Block Caving Production Mine Geologis, 2012.
- LI Xingyue, ZHAO Jidong. Numerical simulation of dam break by a coupled CFD-DEM approach [J]. Japanese Geotechnical Society Special Publication, 2016, 2(18):691-696. [CrossRef]
- ZHANG Chuanhu, CHEN Songgui, SUN Qicheng, et al. Free-surface Simulations of Newtonian and Non-Newtonian Fluids with the Lattice Boltzmann Method [J]. Free-surface Simulations of Newtonian and Non-Newtonian Fluids with the Lattice Boltzmann Method, 2016, 90(03):2999-1010. [CrossRef]
- Perrine FREYDIER, Guillaume CHAMBON, Mohamed NAAIM. Internal Dynamics of a Free-Surface Viscoplastic Flow Down an Inclined Channel [J]. International Journal of Erosion Control Engineering, 2016, 9(03):101-106. [CrossRef]
- DENG Zhao, CHEN Shengshui, ZHONG Qiming, et al. Research on the numerical model for the routing of viscous debris flow considering the interface [J]. European Journal of Environmental and Civil Engineering, 2021, 25(03):468-484. [CrossRef]
- Schippa Leonardo, Doghieri Ferruccio, Pellegrino Anna Maria, et al. Thixotropic Behavior of Reconstituted Debris-Flow Mixture [J]. Water, 2021, 13(02):153-164. [CrossRef]
- Brandvold Allison, S. , AlChaar Ghassan K., Kriven Waltraud M. Isolating the effects of thixotropy in geopolymer pastes [J]. Journal of the American Ceramic Society, 2023, 106(05):2797-2807. [CrossRef]
- GUO Liping, HAN Xue, FENG Tao. Study on the prediction method of thixotropy of water-in-oil waxy crude oil emulsions [J]. Petroleum Science and Technology, 2023, 41(11):1218-1230. [CrossRef]












| Date of occurrence | Time of occurrence | Outlet that occurs | Flow rate of debris flow / m3 | Effect of ore drawing |
|---|---|---|---|---|
| 2019.7.25 | 01:15 | S6-E16 | 1300 | The next outlet is being mined. |
| 2019.8.1 | 00:10 | S8-E21 | 2200 | The next outlet is being mined. |
| 2019.8.18 | 00:20 | S7-E13 | 280 | The next outlet is being mined. |
| 2019.8.20 | 21:10 | S6-E11 | 120 | The next outlet is being mined. |
| 2019.9.9 | 23:00 | S8-E14 | 500 | — |
| 2019.10.11 | 22:30 | S7-E18, S8-E13 | 500 | — |
| 2020.8.17 | 00:40 | S6-E27, S5-E28 | 1400 | The next outlet is being mined. |
| 2020.9.30 | 13:30 | S5-E29 | 1500 | — |
| 2021.9.5 | 03:20 | S1-E28 | 10000 | The next outlet is being mined. |
| 2022.7.2 | 16:12 | N1-W2 | 1984 | The outlet just finished the ore, the opposite outlet just occurred when the ore. |
| Name of mineral | Average mineral content(%) | |||
|---|---|---|---|---|
| Primordial surface moraine samples | Down-hole debris flow sample 1 | Down-hole debris flow sample 2 | Down-hole debris flow sample 3 | |
| Quartz | 44.2 | 50.5 | 60.0 | 50.0 |
| Chlorite | 20.8 | 7.5 | 7.0 | 9.0 |
| Potassium feldspar | 14.2 | 5.3 | 8.5 | 11.0 |
| Plagioclase | 12.5 | 21.2 | 12.0 | 14.0 |
| Mica | 5.3 | 12.5 | 8.5 | 13.0 |
| Amphibole | 3.0 | 3.0 | 4.0 | 3.0 |
| Sample number | Number of revolutions(r/min) | 600 | 300 | 200 | 100 | 6 | 3 |
|---|---|---|---|---|---|---|---|
| Shear rate γ(s−1) | 1021.8 | 510.9 | 340.6 | 170.3 | 10.22 | 5.11 | |
| Sample 1 | Number of cells | 41 | 33 | 29 | 24 | 17 | 16 |
| Shear stress τ(Pa) | 209.51 | 168.63 | 148.19 | 122.64 | 86.87 | 81.76 | |
| Sample 2 | Number of cells | 21 | 14 | 12 | 9 | 6 | 5 |
| Shear stress τ(Pa) | 107.31 | 71.54 | 61.32 | 45.99 | 30.66 | 25.55 | |
| Sample 3 | Number of cells | 11 | 7 | 5 | 4 | 2 | 1.5 |
| Shear stress τ(Pa) | 56.21 | 35.77 | 25.55 | 20.44 | 10.22 | 7.665 |
| Sample number | Moisture Content w | Constitutive equation of fluid | Rheological index n | Consistency index K |
|---|---|---|---|---|
| Sample 1 | 63.81% | τ=59.141γ0.166, R2=0.951 | 0.166 | 59.141 |
| Sample 2 | 71.07% | τ=16.661γ0.238, R2=0.930 | 0.238 | 16.661 |
| Sample 3 | 78.11% | τ=4.318γ0.336, R2=0.955 | 0.336 | 4.318 |
Disclaimer/Publisher’s Note: The statements, opinions and data contained in all publications are solely those of the individual author(s) and contributor(s) and not of MDPI and/or the editor(s). MDPI and/or the editor(s) disclaim responsibility for any injury to people or property resulting from any ideas, methods, instructions or products referred to in the content. |
© 2023 by the authors. Licensee MDPI, Basel, Switzerland. This article is an open access article distributed under the terms and conditions of the Creative Commons Attribution (CC BY) license (http://creativecommons.org/licenses/by/4.0/).