Submitted:
29 May 2023
Posted:
31 May 2023
You are already at the latest version
Abstract
Keywords:
1. Introduction: industrial scenario
1.1. Scope of this work
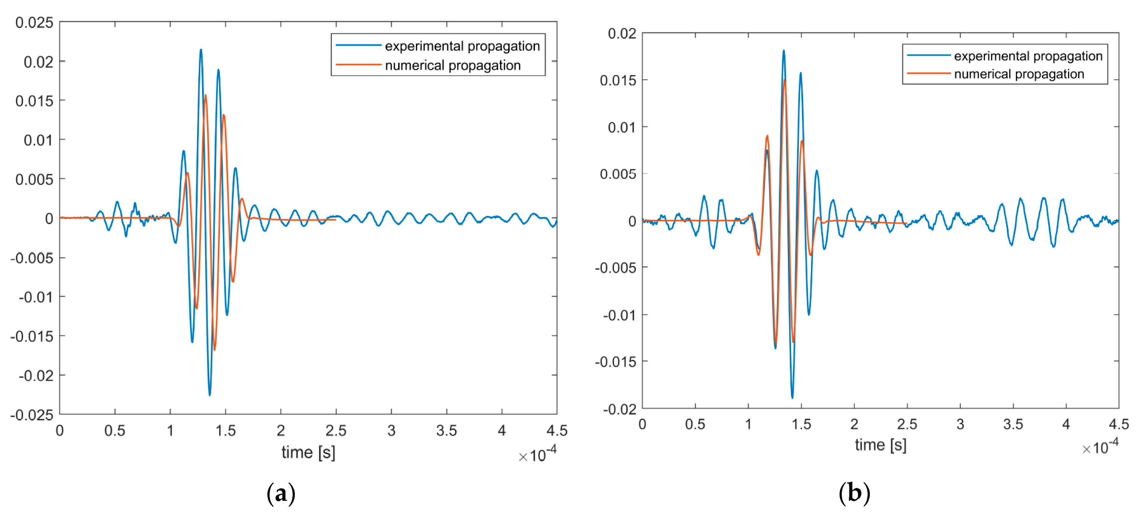
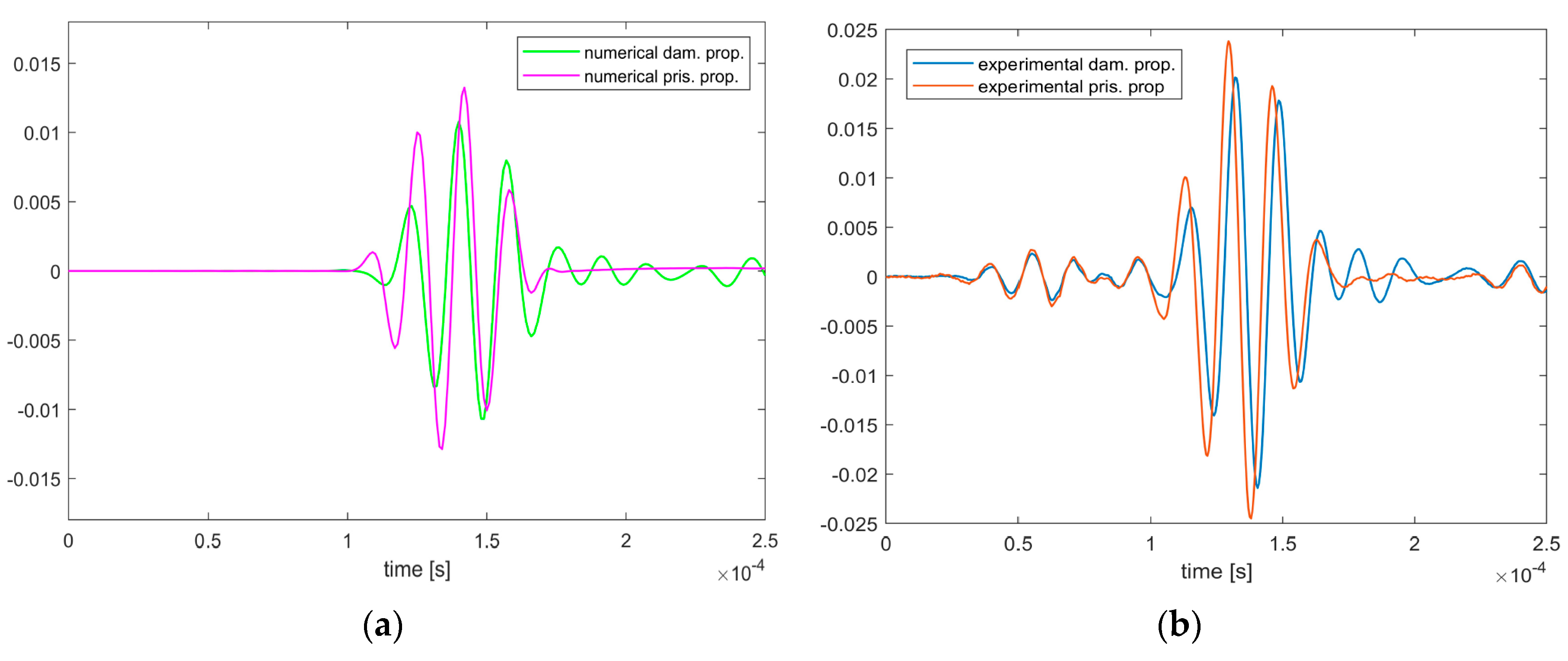
2. Material and Model building
- Degradation of mechanical properties.
- Detachments of plies in the damaged zones.
- Both material degradation and ply detachments.
3. Signal Acquisition
4. Signal Analysis for Damage Detection: GW-based and the Cross-correlation methods
4.1. GW-based DI formualtion
- signals matrix reading by csv file. This matrix was provided directly by the acquisition system (oscilloscope or National Instrument NI 6366 USB board) and consists of n columns of which the first is the time vector, the second the source vector and all the other the receivers vectors;
- Short Time Fourier Transform and the Fourier Transform calculation of the source signal and receivers signals;
- determination of source and receivers maximum point;
- Time of Flight (TOF) and group velocities determination.
- source frequency;
- signal length (time history length);
- size of STFT window;
- actuator/receiver distance.
4.2. Cross-correlation based DI formulation
- signals matrix reading by txt file consisting in columns of which the first is the time vector, the second the source vector and all the other the receivers’ vectors (as for the GW-based approach);
- Cross-correlation calculation of the receivers’ signals pairs;
- Pick track time lag estimation.
- generating for growing values of the radius circular domains centred on the light bulbs;
- counting the ratio of light bulbs over total dots falling in the current circular region; this value is unitary for small radii, since the centre of the circles is constituted by light bulbs; on the contrary, the farther one is away from the centre, the higher the probability is of finding neutral dots and, thus, the ratio tends to diminish; this trend is represented by the plot on the top of Figure 16;
- averaging the ratios computed at the previous step to find a unique function; the least square polynomial of this curve is then computed (see black line in the plot on the top of Figure 16). Similarly, to the single curves of the dot ratio, also this line is characterized by a peak very close to the null value of the area; then, after a fall the asymptotic region starts;
- Estimating the 1st derivative (slope) of the curve and its curvature (see the plots on the middle and on the bottom of Figure 16). The minimum of the slope and of the curvature closest to the origin identify the first part of the fall and consequently the boundary of the damaged area in which there is an higher concentration of light bulbs;
- Determining of the position of the centre of the damage; to this scope the barycentre of the light bulbs is computed;
- Determining the approximate shape of the damaged area. This operation is performed considering the boundary of region built by Delaunay triangulation of the light bulbs. This region is represented by the blue lines in Figure 17b. The boundary is computed by the homonymous MATLAB function, also handling concave hulls. The perimeter of the boundary is computed and scaled down up to achieve regions of the same shape but with the areas equal to the ones previously identified at the middle and bottom plots of Figure 16. These two regions, that is to say, the damage area at minimum curvature and slope and their mean value are represented in Figure 17b by the pink, the green and the cyan patches.
5. Results
6. Conclusions
Author Contributions
Funding
Institutional Review Board Statement
Informed Consent Statement
Data Availability Statement
Acknowledgments
Conflicts of Interest
References
- Smart Intelligent Aircraft Structures (SARISTU), Proceedings of the Final Project Conference - Piet Christof Wölcken • Michael Papadopoulos Editors.
- 2. R Zhu, G L Huang and F G Yuan, Fast damage imaging using the time-reversal technique in the frequency–wavenumber domain, SMART MATERIALS AND STRUCTURES 22 (2013) 075028 (11pp). [CrossRef]
- N. D. Boffa, L. Lecce, E. Monaco, F. Ricci, Application of the beam-forming technique for damage detection in composite plate - American Society of Mechanical Engineers, Noise Control and Acoustics Division (Publication) NCAD - pp. 489-495 - August 2012.
- Radojicic, A., Bailey, S. and Brühwiler, E. (1999) Consideration of the serviceability limit state in a time dependant probabilistic cost model, Application of Statistics and Probability, Balkema, Rotterdam, Netherlands, Vol.2, 605–612.
- Glisic, B. and Inaudi, D. (2003) Components of structural monitoring process and selection of monitoring system, PT 6th International Symposium on Field Measurements in GeoMechanics (FMGM 2003), Oslo, Norway, 755–761. R. Do, C. Haynes, M. Todd, W. Gregory, C. Key, Efficient Detection Methods on a Composite Plate with Interior Embedded Fiber Optic Sensors via Impact Test, Proc. International Workshop on Structural Health Monitoring, 2013, Stanford University. [CrossRef]
- Monaco E, Boffa N D, Memmolo V, Ricci F, Testoni N, Marchi L D, Marzani A, Hettler J, Tabatabaeipour M, Delrue S and Koen V D A 2016 Methodologies for guided wave-based SHM system implementation on composite wing panels: Results and perspectives from SARISTU Scenario 5 in Smart Intelligent Aircraft Structures (SARISTU) (Springer International Publishing) 495–527.
- Marzani, A., Testoni, N., De Marchi, L., Monaco, E., Sharif Khodaei, Z., Aliabadi, M. H., & Viana, J. (2016). Implementation of a Structural Health Monitoring system for a Composite Wing Box skin. In Smart Intelligent Aircraft Structures (SARISTU) Proceedings of the Final Project Conference (pp. 883-908). Springer International Publishing. [CrossRef]
- Marzani, A., Testoni, N., De Marchi, L., Messina, M., Monaco, E., & Apicella, A. (2020). An open database for benchmarking guided waves structural health monitoring algorithms on a composite full-scale outer wing demonstrator. Structural Health Monitoring, 19(5), 1524-1541. [CrossRef]
- Guo N and Cawley P. The interaction of Lamb waves with delaminations in composite laminates. J Acoust Soc Am 1993; 94(4): 2240–2246. [CrossRef]
- Su Z and Ye L. Identification of damage using Lamb waves (Lecture notes in applied and computational mechanics). London: Springer, 2009. [CrossRef]
- Ricci, F., Mal, A. K., Monaco, E., Maio, L., Boffa, N. D., Di Palma, M., Lecce L., "Guided waves in layered plate with delaminations, EWSHM 7th European workshop on structural health monitoring, Nantes, France, July 8-11, 2014.
- P.D. Wilcox, M.J.S. Lowe, P. Cawley, Mode and Transducer Selection for Long Range Lamb Wave Inspection, Journal of Intelligent Material Systems and Structures. 12, 8; 2001, 553–565. [CrossRef]
- V. Giurgiutiu, J. Bao, W. Zhao, Piezoelectric wafer active sensor embedded ultrasonics in beams and plates, Experimental Mechanics. 43, 4; 2003, 428–449. [CrossRef]
- Fabrizio Ricci, E. Monaco, N.D. Boffa, L. Maio, V. Memmolo, Guided waves for structural health monitoring in composites: A review and implementation strategies, February 2022 Progress in Aerospace Sciences 129(1–2):100790. [CrossRef]
- M. Ciminello; B. Galasso; A. Concilio; L. Pellone; U. Mercurio; G. Apuleo; A. Cozzolino; S. Shoham; D. Bardenstein; I. Kressel. Cross-Correlation Based Algorithm for SHM De-bonding Analysis of Typical Aeronautical Structures via OFDR. EWSHM 2022 Conference. [CrossRef]
- M. Ciminello, Distributed Fiber Optic for Structural Health Monitoring System Based on Auto-Correlation of the First-Order Derivative of Strain, IEEE Sensors Journal (Volume:19 , Issue:14, July 15, 2019). [CrossRef]
- Ciminello M., Concilio A., Pellone L., Mercurio U., Apuleo G., Cozzolino A., Shoham S., Bardenstein D., Kressel I.: Cross-Correlation Based Algorithm for SHM De-bonding Analysis of Typical Aeronautical Structures via OFDR. In book: European Workshop on Structural Health Monitoring (pp.254-263). [CrossRef]
- Ciminello M., Ameduri S., Romano F., Concilio A.: Impact area and debonding line detection assessment by cross-correlation analysis and distributed sensing. In: Optical Fiber Technology. 58. 102245. [CrossRef]



















| Material | Density | E1 | E2 | G12 = G23 = G31 |
|---|---|---|---|---|
| 5harness | 1.77 g cm3 | 65 000MPa | 65 000MPa | 3600MPa |
| Biaxial | 1.79 g cm3 | 81 000MPa | 81 000MPa | 4100MPa |
| Uniaxial | 1.79 g cm3 | 152 000MPa | 8800MPa | 4100MPa |
| Material | Density | E1 | E2 | G12 = G23 = G31 |
|---|---|---|---|---|
| 5harness | 1.77 g cm3 | 105 000MPa | 65 000MPa | 3600MPa |
| Biaxial | 1.79 g cm3 | 81 000MPa | 81 000MPa | 4100MPa |
| Uniaxial | 1.79 g cm3 | 132 000MPa | 8800MPa | 4100MPa |
| 5harness damaged | 1.77 g cm3 | 63 000MPa | 39 000MPa | 2160MPa |
| Biaxial damaged | 1.79 g cm3 | 48 600MPa | 48 600MPa | 2460MPa |
| Uniaxial damaged | 1.79 g cm3 | 79 200MPa | 5280MPa | 2460MPa |
| Damagebarycentre | XG; YG [mm] | ErrorXG; YG % |
|---|---|---|
| Real position | 231; 190 | ------- |
| DI_GW | 227; 195 | -1,7; 2,6 |
| DI_CC | 219.6; 190.2 | -4.9; 0.1 |
Disclaimer/Publisher’s Note: The statements, opinions and data contained in all publications are solely those of the individual author(s) and contributor(s) and not of MDPI and/or the editor(s). MDPI and/or the editor(s) disclaim responsibility for any injury to people or property resulting from any ideas, methods, instructions or products referred to in the content. |
© 2023 by the authors. Licensee MDPI, Basel, Switzerland. This article is an open access article distributed under the terms and conditions of the Creative Commons Attribution (CC BY) license (http://creativecommons.org/licenses/by/4.0/).