1. Introduction
Citrus fruits are the most widely produced fruit crops in the world. In Morocco, the citrus fruits cover an area of 129,000 ha and an average production of around 2.4 million T/year [
1,
2].
During the last few years, citrus plantations have increased due to increasing demands of local consumption and export, which expected to bloom in the future. Unfortunately, the citrus productivity in Morocco is low (19T/ha) as compared to other countries such as Spain, Turkey and Egypt (20-34T/ha) [
1,
2]. In fact, most of the current fertilization programs are based either on very old local recommendations which are no longer suitable for new variety-rootstock associations, or come from other countries whose citrus growing conditions differ from those of Moroccan orchards. Such extensions in acreage are preferred to be accompanied by more studies regarding the optimum nutrient fertilizer management and the best citrus rootstock for gaining the highest yield and optimal citrus fruit quality.
Citrus is a nutrient loving and requires adequate nutrition for proper growth and development [
3]. The bearing trees consume considerable amount of nutrients from the soil and these must be replenished to maintain soil fertility and get high yields of good quality fruits. The feeding of macro and micronutrients has gained much importance due to their impact on the fruit yield.
Nutrient management is one of the largest shares of cost with its impact on potential yield and crop quality. Perennial fruit crops are heavy feeders of plant nutrients and high yields can only be sustained through the application of optimal doses in balanced proportion [
4].
Adequate supply of Nitrogen (N), Phosphorus (P) and Potassium (K) is important for citrus tree growth [
5]. Nitrogen is the key component in mineral fertilizers applied to citrus groves; it has more influence on tree growth, appearance and fruit production/quality than any other element [
6]. In young trees, N fertilizers can promote vegetative growth and decrease flower induction [
7]. Excess nitrogen application enhances vegetative tree growth and may cause groundwater contamination if leached with excess irrigation and/or rainfall [
8]. However, it affects the absorption and distribution of practically all other elements [
9].
The nitrogen deficiency leads to decrease plant growth. The typical symptom is observed on the old leaves due to the translocation of nitrogen from the old to the developing young leaves [
10,
11]. The old leaves, therefore, become yellow and fall off in the time, so the branches become dry and die from the top. This causes poor production of a small-size fruits of citrus [
12,
13].
Nitrogen (N) is the most important nutrient in the plant. It is a crucial and primary element of amino acid, proteins, enzyme and chlorophyll [
12,
14,
15,
16,
17,
18,
19,
20,
21,
22].Several studies have been reported that the nitrogen supply has a significant effect on citrus fruits quality [
14,
15,
17,
23,
24,
25,
26,
27,
28,
29].
Yield and fruit quality as well as physical and chemical properties of various cultivars of citrus trees were positively affected by using balanced program for NPK fertilization applied via sol [
23,
30,
31,
32,
33].The benefit of finding out an optimum NPK fertilization for gaining an optimal yield was recently supported by the results of Omari et
al., [
23] and Huang et
al., [
34].The results obtained in previous research, reported that varying citrus rootstocks affected yield and fruit quality of different citrus scions [
23,
24,
35,
36,
37,
38,
39,
40].
In this particular context, more research is needed to assess the current nutritional status of citrus orchards and develop appropriate fertilization recommendations adapted to local soil and climate conditions. Therefore, more studies should be conducted to evaluate the effect of fertilization on clementine and orange citrus varieties. The objective of this study is to find out an efficient N fertilizer program for producing an optimal yield and fruits quality of Nules clementine trees grown onto Flhorag and Carrizo citrange rootstocks in field conditions and conducted during long-term experimentation in the Gharb region (Morocco).
2. Materials and Methods
2.1. Plant material and growth conditions
A field experiment was conducted in the Experimental station of Sidi Allal Tazi, INRA Morocco (34° 31’ 07.8” N, 006° 14’ 42.0” W) on Nules trees budded on Flhorag and Carrizo citrange rootstock planted at 5.0×3.0m spacing with 667 trees/ha and planted in 2010. The soil of the experimental site of Nules is clay (
Table 1). Standard cultural practices for Nules trees were used with drip irrigation and chemical weed control. Water pH was 7.84, while electrical conductivity was 0.964 mS.cm
–1.
The experiment was carried out using a split-plot design with three blocs replications, including the N doses as the main plot (with three levels of N doses: T0, T1, T2) and the rootstock in the subplot (with two levels rootstocks: Flhorag and Carrizo citrange). Three fertilization treatments based on the rates of nitrogen were applied to citrus tree in field condition over five seasons (2016-2017, 2017-2018, 2018-2019, 2019-2020, and 2020-2021), namely T0: Control (native nutrient), T1: 270, T2: 540 (in g/tree/year). Nitrogen, phosphorus and potassium were applied as Ammonium nitrate (33.5%), TripleSuper Phosphate (TSP) (0-45-0) and Potassium Sulphate (0-48-50%), respectively.
The measured parameters are: tree growth, canopy volume, canopy projectional unit area, diameter of the rootstock and trunk of the variety,TCSA (trunk cross sectional area) variety, TCSA rootstock, SPAD, fruit size, fruit weight and fruit quality (juice content, sugar content, acidity, fruit color and ripening index), fruit yield, yield/canopy projectional unit area and Cumulative yield.
2.2. Fruit quality characteristics
Fruit quality was determined for the 2016-2017 until 2020-2021 harvests.
-Juice content (%) is obtained by a rotary extractor. The juice content expressed as a percentage by weight is given by the formula:
Juice content (%) = Weight of juice extracted from 10 fruits × 100/Total Weight of 10 fruits
-Solid soluble content (SSC) determined by a digital refractometer, which reports the amount of sugar in °Brix.
-Acidity of juiceis obtained according to the following formula: A = Vs/10 (Vs: Volume of solution of the NaOH (ml) used for the titration and 10: Volume (ml) of juice used).
-Ripening index (RI) was calculated as the ratio of Solid soluble content (°Brix)/titratable acidity (%).
2.3. Agronomic and morphological characters
-Mean fruit weight (g) is determined by measuring total weight of the 10 fruits per tree.
-Fruit diameter (mm), average diameter of ten fruits was recorded.
-Citrus Color Index: The fruit color was evaluatedat the harvest time using a Chromameter 400/410 Minolta, (Japan). Thus, three replicates of five fruit per treatment were measured and three different readings were obtained along the equatorial circumference of each fruit.The CIE l*a*b* color scale was adopted (McGuire)[
41] and the citrus color index (CCI) was calculated according to Jiménez- Cuesta et
al. [
42]:

where, CCI = citrus color index, a* = red-green color value, b* = yellow-blue color value, l* = lightness.
The CCI is a comprehensive indicator for color impression with positive values for red, negative values for blue-green, and 0 for an intermediate mixture of red, yellow, and blue-green (Zhou et
al., 2010). Lightness (l*) value ranges from 0 to 100 in which higher values indicate lighter color intensity (McGuire) [
41].
-
Trunk cross sectional area (TCSA) of the trees at the height of 20 cm above the soil level was measured at the beginning of the experiment and at fall. The relative TCSA growth was measured according to Forey et
al., [
43].
-
Canopy volume: Tree height, canopy diameter, trunk girth at 15cm above and below the budding union were measured for all the trees and scion/stock ratio was calculated. Canopy volume was calculated using Turrell’s formula [
44].
-Fruit yield (kg/tree): Total weight of the tree in kg. In November, each tree was harvested. Yield (kg.tree–1) was monitored over a five-year period (2016-2017 until 2020-2021).
-Cumulative yield (kg. tree–1) was calculated for 2016-2017 through 2020-2021 (five-year cumulative yield).
-
SPAD (portable chlorophyll meter): The SPAD-502 meter is used as a rapid, inexpensive, and non-destructive method for the assessment of leaf chlorophyll content. The SPAD-502 meter consists of two light-emitting diodes (LEDs) and a silicon photodiode receptor. It measures leaf transmittance in the red region (650 nm) and infrared region (940 nm) of the electromagnetic spectrum. A relative SPAD-502 meter value (ranging from 0–99) is derived from the transmittance values, which is proportional to the chlorophyll content in the sample [
45,
46].From each tree, 10 leaves were selected for measurements. Every leaf measurement was an average of 10 SPAD-502 readings.
2.4. Statistical analysis
The results were expressed as means ± standard errors (SE). Data were analyzed using the proc GLM procedure in a split-split-plot design (three-way ANOVA) with year (seasons) is the main factor (main plots with 5 levels) and a treatment (N application rate) is the second factor (subplots with 3 levels) and the third factor is the rootstock genotype (sub-subplots with 2 levels), using SAS (Statistical Analysis System version 9.1) software. Differences between treatments means were compared using Duncan’s multiple-range test at P ≤ 0.05. Relationships between parameters were fitted to linear regressions. The relationship between quality and yield variables was examined using a bilateral Pearson correlation.
4. Discussion
Vegetative growth
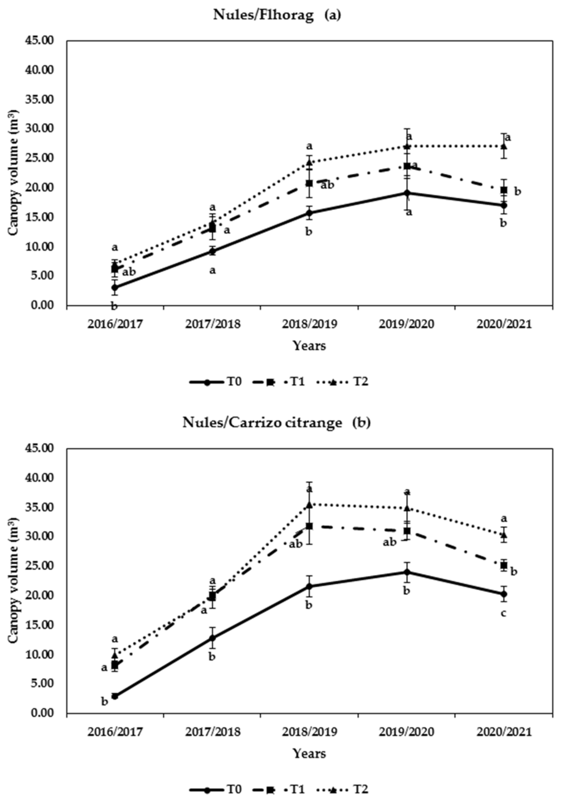
The vegetative growth of Nules clementine was affected by the nitrogen rate and citrus rootstock genotype. The results show a significant effect on tree height, canopy diameter, canopy volume, diameter of the rootstock, diameter of the variety, TCSA (Trunk cross-section area) rootstock, TCSA variety, Canopy projectional unit area and SPAD.
Varying macro fertilization (N) was followed by significant differences on vegetative growth parameters. There was a gradual promotion on all parameters with increasing levels of N. Significant differences on such parameters were observed between treatments.
TCSA (trunk cross sectional area) is usually considered to be highly correlated with tree height and canopy volume [
47]. Carrizo citrange trees received T
2 (540 N g/tree) treatment had the highest TCSA-rootstock and TCSA-variety. Similar TCSA values were obtained on
C. volkameriana with ‘Clementine’ mandarin [
48].
These results concerning the effect of nitrogen fertilizer rate and rootstocks are nearly in the same line with those obtained in a previous study [
49]. Bassal [
49] reported that the trees budded on Carrizo citrange and ‘Swingle’ citrumelo were taller than those grafted on Cleopatra mandarin. Similar results were obtained by Kaplankiran et
al., [
50]. These results may be explained by the greater canopy volume of trees grafted on Carrizo citrange when compared to those of other rootstock tested.
Yield
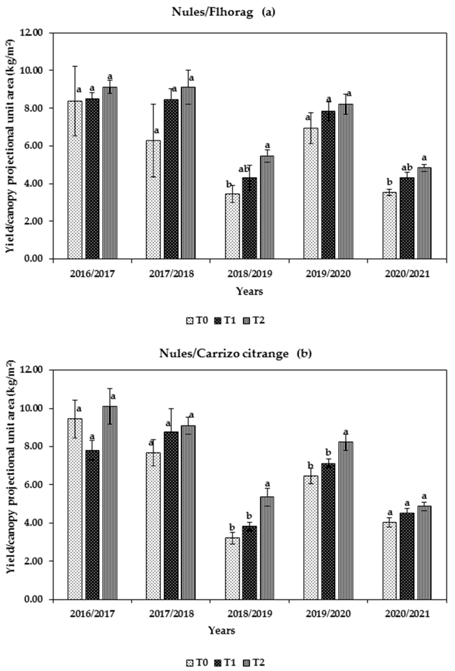
For the cumulative yield based on a five-year period, Carrizo citrange had significantly greater yield on the trees fertilized with T2 (540 N g/tree) than Flhorag in Nules.
Yield was progressively increased with increasing levels of N. The application of the treatment T2 (540 N g/tree) was very beneficial for improving yield than other treatment. Carrizo citrange had the greatest yields for 2016 to 2020 and Yield/canopy projectional unit area.
These results regarding the effect of N fertilization on fruit yield are in harmony with those obtained by other studies [
23,
24,
32,
51,
52]. This can be explained by the significant and positive correlation founded between N fertilization rate and total fruit yield. Increasing the N rate improve the fruit set of citrus trees and, consequently, the number of fruits produced per canopy volume unit. The data presented are in agreement with those reported by Du Plessis and Koen [
53] who’s observed that the maximum fruit yield of orange trees was attained at 225kg.ha
–1 of N and 310kg.ha
–1 of K.
Previous studies showed that fruit yield of Coorg mandarin improved with the increase in the level of N supply in trees grafted on Rangpur lime and trifoliate stocks. The application of 668g N/tree for Coorg mandarin/Rangpur lime and 623g N/tree for Coorg mandarin/trifoliate stocks trees is optimum for increasing fruit yield.The NPK recommended fertilizer rate to obtain higher yields with good fruits quality was 670g N-100g P-400g K (per tree) for citrus scion budded on vigorous rootstocks and 625g N-100g P-400g K (per tree) for those grafted on dwarf rootstocks [
54].
Results regarding the effect of citrus rootstocks on yield clearly show that yield was varied according to rootstockgenotype. Nules clementine trees grown on Carrizo citrange rootstock produced higher yield than the trees on Flhorag rootstock. Georgiou [
55] reported that sour orange had higher cumulative yields when compared to Carrizo and Troyer citranges. In the present study, Flhorag had less cumulative yield than Carrizo citrange. In a two-year study by Temiz [
56], the highest yield was recorded from the Carrizo citrange for Nova. Reese and Koo [
57] demonstrated that the highest yield of oranges varieties grafted on Rough lemon rootstock was observed at N rate of 202 kg·ha
−1.
In the present study, Nules was grafted on Flhorag and Carrizo citrange rootstock; therefore, the positive response to increasing N fertilization rate could be related to the differential nutrient need according to rootstock genotype, as recently reported [
58,
59]. Mattos [
58] observed that sweet orange trees budded on Cleopatra rootstockhas a significantly and higher response to N fertilization supply than those grafted on Rangpur lime rootstock [
59,
60]. This may explain that rootstock genotype probably plays an important role in determining the response of citrus trees to nitrogen fertilization than citrus cultivars.
A significant relationship between canopy volume and fruit yield was demonstrated. Citrus trees require nutrients for growth and increasingly for fruit yield. Fruit yield increase with canopy volume for both Flhorag and Carrizo citrange rootstock and with nitrogen rate. The fruit yield has a significant linear response to N rate as observed.This last observation is important to establish the best fertilization management of citrus orchards to achieve an optimal fruits yield and quality. Mattos [
58] observed that fruit yield increased with increasing fertilizer rates of N and K on trees either budded on Rangpur lime or Cleopatra mandarin rootstocks.
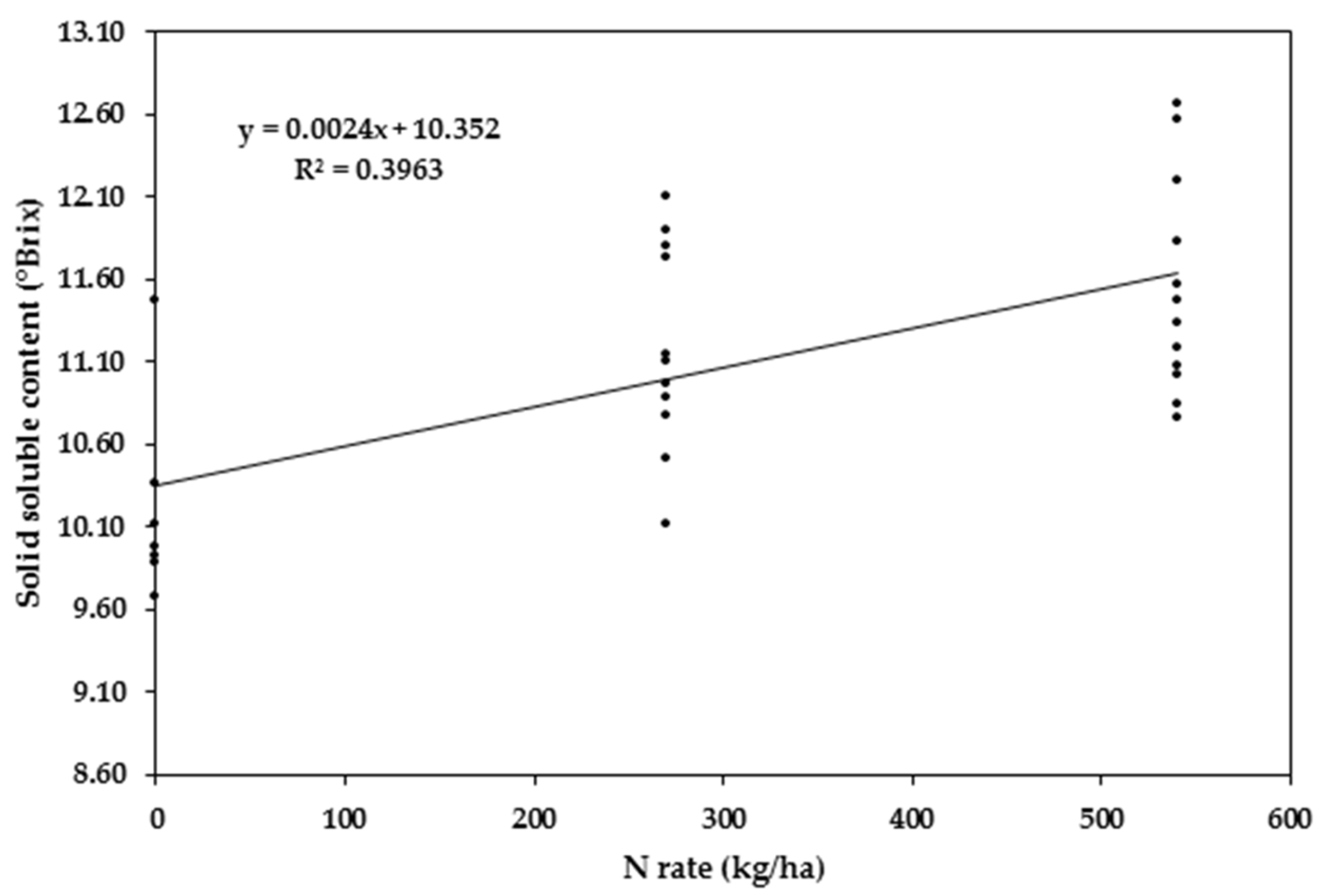
Fruit quality variables
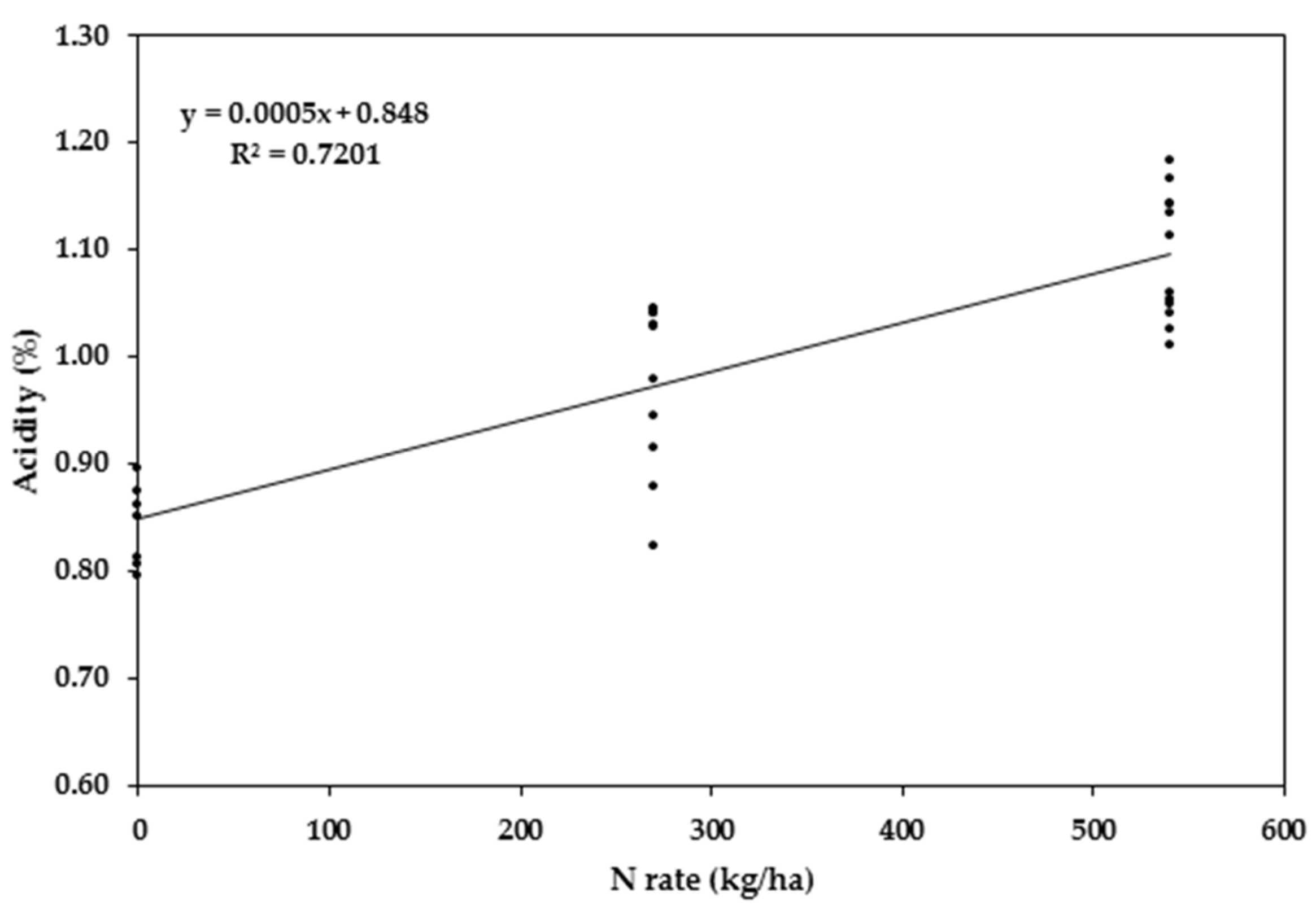
The fruit quality variables were affected by the N rate and rootstock genotype in Nules clementine. Application of 540 N g/tree was very effective in improving size, weight and fruit quality (juice content, total acidity, Solid soluble content, Ripening Index and fruit color CCI).They have a significant linear response of Acidity (%) and Solid soluble content (SSC) to N fertilization rate. A significant effect on fruits quality was obtained with the treatment (T
2). Application of T
2 (540 N-135 P
2O
5-270 K
2O in g/tree) gave an improved fruit quality of Nules clementine under both two rootstocks. The important role of N, P and K on the biosynthesis and translocation of carbohydrates that leads to enhance fruit maturity could explain the present results. The improving effect of NPK on citrus fruits quality was supported by other researchers [
23,
24,
33,
34].These results are in the same line of those obtained by Huchche et
al., [
61]. Several studies were reported that the Total Soluble Solids (TSS) content of oranges was significantly improved as the nitrogen (N) rate increased [
57,
62,
63,
64], while other researchers observed the opposite trends [
65,
66,
67].
Citrus rootstock genotype significantly influence on various chemical characteristics of citrus fruits. The fruit quality parameters of Nules clementine budded on Carrizo citrange rootstock were better than those grafted on Flhorag rootstock. These results were confirmed by the findings of Castle et
al, [
36]. Demirkeser et
al.,[
68] on Nova mandarin and Mendilcioglu [
69] on Satsuma founded that Troyer and Carrizo citrange had higher fruits size and weight as compared to sour orange rootstock.
The fruit color of Nules was affected by the rootstock genotype and the nitrogen rate. The CCI* fruits of Nules trees fertilizer under T
2 (540 N g/tree) and grafted on Carrizo citrange and Flhorag rootstocks has the highest CCI* value (7.01 ± 0.52 and 7.21 ± 0.48), previous research reported that the best color of Lane late fruit is found on trees grafted on
Citrus macrophylla and
Citrus volkameriana [
70,
71].
However, other studies reported no differences in juice quality of Fallglo and Sunburst mandarin cultivars regarding to rootstocks genotype. Also they reported that fruit weight and juice content of both mandarin cultivars were not influenced by the rootstocks [
72]. These results are consistent with the previous findings of Mourao Filho et
al., [73] and Demirkeser et
al., [
68], in which the fruit weight of Satsuma mandarin [
68] and Robinson mandarin [
72] was not affected by rootstock genotype.
Figure 1.
Effect of N rates and citrus rootstocks (Flhorag (a), Carrizo citrange (b)) on tree height of Nules clementine.
Figure 1.
Effect of N rates and citrus rootstocks (Flhorag (a), Carrizo citrange (b)) on tree height of Nules clementine.
Figure 2.
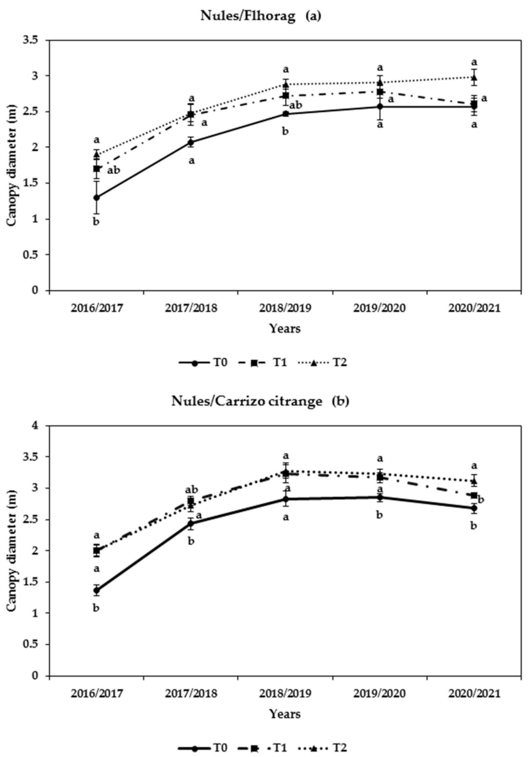
Effect of N rates and citrus rootstocks (Flhorag (a), Carrizo citrange (b)) on canopy diameter of Nules clementine.
Figure 2.
Effect of N rates and citrus rootstocks (Flhorag (a), Carrizo citrange (b)) on canopy diameter of Nules clementine.
Figure 3.
Effect of N rates and citrus rootstocks (Flhorag (a), Carrizo citrange (b)) on canopy volume of Nules clementine.
Figure 3.
Effect of N rates and citrus rootstocks (Flhorag (a), Carrizo citrange (b)) on canopy volume of Nules clementine.
Figure 4.
Effect of N rates and citrus rootstocks (Flhorag (a), Carrizo citrange (b)) on canopy projectional unit area of Nules clementine.
Figure 4.
Effect of N rates and citrus rootstocks (Flhorag (a), Carrizo citrange (b)) on canopy projectional unit area of Nules clementine.
Figure 5.
The cumulative yield of Nules clementine trees on two rootstocks (Flhorag, Carrizo citrange) (2016/2017-2020/2021).
Figure 5.
The cumulative yield of Nules clementine trees on two rootstocks (Flhorag, Carrizo citrange) (2016/2017-2020/2021).
Figure 6.
Yield/canopy projectional unit area (kg/m2) of Nules clementine trees on two rootstocks (Flhorag (a), Carrizo citrange (b)) (2016/2017-2020/2021).
Figure 6.
Yield/canopy projectional unit area (kg/m2) of Nules clementine trees on two rootstocks (Flhorag (a), Carrizo citrange (b)) (2016/2017-2020/2021).
Figure 7.
Fruit yield of Nules clementine trees on two rootstocks related to canopy volume (B1: Flhorag and B2: Carrizo citrange rootstock).
Figure 7.
Fruit yield of Nules clementine trees on two rootstocks related to canopy volume (B1: Flhorag and B2: Carrizo citrange rootstock).
Figure 8.
Fruit yield of Nules clementine trees related to canopy volume (T0: Control (native nutrient). T1: 270. T2: 540 of N g/tree/year).
Figure 8.
Fruit yield of Nules clementine trees related to canopy volume (T0: Control (native nutrient). T1: 270. T2: 540 of N g/tree/year).
Figure 9.
Fruit yield of Nules clementine trees related to Nitrogen rate.
Figure 9.
Fruit yield of Nules clementine trees related to Nitrogen rate.
Figure 10.
Acidity (%) of Nules clementine fruits related to Nitrogen rate.
Figure 10.
Acidity (%) of Nules clementine fruits related to Nitrogen rate.
Figure 11.
Solid soluble content (SSC) of Nules clementine fruits related to Nitrogen rate.
Figure 11.
Solid soluble content (SSC) of Nules clementine fruits related to Nitrogen rate.
Table 1.
Soil characteristics of the Experimental station of Sidi Allal Tazi, INRA Morocco.
Table 1.
Soil characteristics of the Experimental station of Sidi Allal Tazi, INRA Morocco.
| Depth |
pH (water) |
pH (KCl 1 N) |
Organicmatter (%) |
P2O5 (ppm) |
K2O (ppm) |
CE (dS/m) |
| 0-60 |
8.87 |
8.28 |
2.15 |
35.55 |
983.60 |
0.245 |
Table 2.
Effect of N rate and citrus rootstocks on diameter of the rootstock and diameter of the variety of Nules clementine.
Table 2.
Effect of N rate and citrus rootstocks on diameter of the rootstock and diameter of the variety of Nules clementine.
| |
Diameter of the Rootstock (mm ) |
Diameter of the Variety (mm ) |
| Nules/Flhorag |
Nules/Flhorag |
| T0
|
T1
|
T2
|
T0
|
T1
|
T2
|
| 2016/17 |
17.50 ± 2.25 |
20.80 ± 1.62 |
23.00 ± 0.70 |
15.17 ± 1.33 |
21.70 ± 1.55 |
22.50 ± 0.96 |
| 2017/18 |
66.40 ± 3.84 |
72.73 ± 3.79 |
90.60 ± 4.38 |
56.08 ± 6.62 |
68.95 ± 5.33 |
76.92 ± 1.78 |
| 2018/19 |
79.51 ± 1.50 |
89.79 ± 7.09 |
96.22 ± 3.87 |
63.97 ± 4.96 |
73.82 ± 6.17 |
83.17 ± 4.06 |
| 2019/20 |
85.25 ± 6.04 |
91.86 ± 2.52 |
101.55 ± 3.41 |
71.68 ± 4.04 |
79.13 ± 1.10 |
84.39 ± 2.16 |
| 2020/21 |
84.88 ± 4.88 |
90.19 ± 2.29 |
95.70 ± 1.67 |
74.17 ± 6.83 |
81.57 ± 1.77 |
82.15 ± 3.47 |
| Mean |
66.71 ± 6.99 a |
73.07 ± 5.75 a |
81.41 ± 5.61 a |
56.21 ± 6.06 a |
65.03 ± 4.77 a |
69.82 ± 4.56 a |
| |
Nules/Carrizo citrange |
Nules/Carrizo citrange |
| |
T0 |
T1 |
T2 |
T0 |
T1 |
T2 |
| 2016/17 |
18.17 ± 1.01 |
26.17 ± 0.71 |
26.33 ± 2.24 |
16.67 ± 0.33 |
23.75 ± 1.41 |
26.83 ± 2.31 |
| 2017/18 |
77.85 ± 3.92 |
78.57 ± 2.70 |
88.08 ± 2.86 |
65.60 ± 2.22 |
71.42 ± 2.33 |
81.05 ± 3.99 |
| 2018/19 |
93.60 ± 4.42 |
108.10 ± 3.69 |
111.94 ± 6.28 |
79.24 ± 5.98 |
87.69 ± 3.95 |
88.34 ± 4.28 |
| 2019/20 |
95.06 ± 1.32 |
107.87 ± 5.27 |
111.83 ± 3.05 |
80.97 ± 6.18 |
88.78 ± 2.04 |
92.71 ± 3.41 |
| 2020/21 |
103.45 ± 4.80 |
105.67 ± 2.81 |
108.10 ± 6.05 |
83.50 ± 7.22 |
85.75 ± 3.85 |
100.09 ± 6.14 |
| Mean |
80.17 ± 7.59 a |
85.27 ± 6.03 a |
89.26 ± 6.34 a |
67.20 ± 6.43 a |
71.48 ± 4.74 a |
77.80 ± 5.18 a |
Table 3.
Effect of N rate and citrus rootstocks on TCSA (Trunk cross-sectional area) rootstock and TCSA variety of Nules clementine.
Table 3.
Effect of N rate and citrus rootstocks on TCSA (Trunk cross-sectional area) rootstock and TCSA variety of Nules clementine.
| |
TCSA (Trunk Cross-Sectional Area) Rootstock (cm2) |
TCSA Variety (cm2) |
| Nules/Flhorag |
Nules/Flhorag |
| T0
|
T1
|
T2
|
T0
|
T1
|
T2
|
| 2016/17 |
2.49 ± 0.58 |
3.48 ± 0.54 |
4.17 ± 0.26 |
1.83 ± 0.30 |
3.77 ± 0.50 |
4.01 ± 0.34 |
| 2017/18 |
34.86 ± 4.03 |
42.00 ± 4.23 |
65.21 ± 6.25 |
25.39 ± 5.49 |
38.23 ± 6.34 |
46.60 ± 2.18 |
| 2018/19 |
49.69 ± 1.86 |
64.91 ± 9.89 |
73.30 ± 5.73 |
32.52 ± 5.08 |
44.00 ± 7.15 |
54.97 ± 5.18 |
| 2019/20 |
57.66 ± 7.81 |
66.47 ± 3.64 |
81.44 ± 5.21 |
40.61 ± 4.43 |
49.21 ± 1.38 |
56.11 ± 2.90 |
| 2020/21 |
56.96 ± 6.32 |
64.04 ± 3.25 |
72.04 ± 2.48 |
43.94 ± 7.63 |
52.35 ± 2.32 |
53.48 ± 4.61 |
| Mean |
40.33 ± 5.82 b |
48.18 ± 5.37 ab |
59.23 ± 5.54 a |
28.86 ± 4.45 b |
37.51 ± 4.01 ab |
43.03 ± 3.95 a |
| |
Nules/Carrizo citrange |
Nules/Carrizo citrange |
| |
T0 |
T1 |
T2 |
T0 |
T1 |
T2 |
| 2016/17 |
2.61 ± 0.29 |
5.40 ± 0.28 |
5.64 ± 0.98 |
2.18 ± 0.09 |
4.51 ± 0.56 |
5.86 ± 1.09 |
| 2017/18 |
47.84 ± 4.76 |
48.77 ± 3.28 |
61.26 ± 4.00 |
33.88 ± 2.26 |
40.27 ± 2.64 |
52.22 ± 5.17 |
| 2018/19 |
69.11 ± 6.4 |
92.30 ± 6.30 |
99.96 ± 11.46 |
49.88 ± 7.53 |
61.01 ± 5.46 |
62.00 ± 6.22 |
| 2019/20 |
71.01 ± 1.96 |
92.48 ± 8.79 |
98.59 ± 5.28 |
52.39 ± 7.85 |
62.06 ± 2.72 |
67.96 ± 4.87 |
| 2020/21 |
84.60 ± 7.79 |
88.00 ± 4.51 |
93.21 ± 10.17 |
55.98 ± 9.03 |
58.33 ± 5.38 |
80.16 ± 9.36 |
| Mean |
57.71 ± 7.31 a |
65.39 ± 6.74 a |
71.73 ± 7.36 a |
40.67 ± 5.56 a |
45.24 ± 4.36 a |
53.64 ± 5.35 a |
Table 4.
Effect of N rate and citrus rootstocks on SPAD of Nules clementine.
Table 4.
Effect of N rate and citrus rootstocks on SPAD of Nules clementine.
| Nules/Flhorag |
Nules/Carrizo citrange |
| |
T0
|
T1
|
T2
|
T0
|
T1
|
T2
|
| 2016/17 |
44.27 ± 3.74 |
58.92 ± 3.79 |
61.05 ± 1.68 |
39.97 ± 1.08 |
51.82 ± 3.99 |
59.43 ± 2.73 |
| 2017/18 |
66.40 ± 1.54 |
71.40 ± 1.96 |
73.00 ± 1.88 |
68.30 ± 1.33 |
73.53 ± 3.34 |
77.07 ± 2.19 |
| 2018/19 |
50.60 ± 3.11 |
68.52 ± 0.96 |
75.17 ± 1.90 |
53.83 ± 1.59 |
71.95 ± 2.36 |
75.02 ± 1.48 |
| 2019/20 |
59.73 ± 1.02 |
67.86 ± 2.70 |
72.60 ± 1.53 |
65.33 ± 2.82 |
70.12 ± 2.56 |
76.48 ± 1.54 |
| 2020/21 |
59.67 ± 4.80 |
66.86 ± 3.76 |
70.43 ± 2.16 |
60.08 ± 3.60 |
65.62 ± 1.56 |
74.98 ± 1.09 |
| Mean |
56.13 ± 2.03 b |
66.71 ± 1.47 a |
70.45 ± 1.19 a |
57.44 ± 2.56 c |
66.61 ± 1.93 b |
72.6 ± 1.46 a |
Table 5.
The annual yield of Nules clementine trees on two rootstocks (Flhorag (a), Carrizo citrange (b)) (2016/2017-2020/2021).
Table 5.
The annual yield of Nules clementine trees on two rootstocks (Flhorag (a), Carrizo citrange (b)) (2016/2017-2020/2021).
| |
|
Nules/Flhorag |
Nules/Carrizo citrange |
| |
|
T0
|
T1
|
T2
|
T0
|
T1
|
T2
|
| Yield (kg/tree) |
2016/2017 |
31.67 ± 4.41 b |
45.00 ± 2.74 a |
54.17 ± 2.01 a |
40.00 ± 2.89 b |
48.33 ± 2.11 b |
62.50 ± 4.43 a |
| 2017/2018 |
40.00 ± 11.55 b |
65.40 ± 6.57 a |
70.00 ± 5.16 a |
58.33 ± 4.41 a |
75.83 ± 8.98 a |
77.83 ± 4.32 a |
| 2018/2019 |
26.67 ± 3.33 b |
37.00 ± 6.24 ab |
49.17 ± 2.39 a |
28.33 ± 1.67 b |
38.33 ± 1.67 b |
55.00 ± 4.47 a |
| 2019/2020 |
55.00 ± 2.89 b |
68.00 ± 3.74 ab |
75.00 ± 5.48 a |
57.50 ± 2.50 c |
70.83 ± 3.27 b |
83.33 ± 4.22 a |
| 2020/2021 |
28.33 ± 1.67 c |
35.00 ± 1.58 b |
45.00 ± 1.29 a |
33.75 ± 2.39 b |
40.83 ± 2.39 ab |
47.50 ± 2.14 a |
| Average Yield (Kg/tree) |
36.33 ± 2.85 c |
50.08 ± 2.48 b |
58.44 ± 2.17 a |
44.37 ± 1.14 c |
54.83 ± 2.36 b |
65.23 ± 1.84 a |
Table 6.
The effects of N fertilization and two citrus rootstocks on pomological characters: fruit weight and fruit diameter of Nules clementine (2016–2020).
Table 6.
The effects of N fertilization and two citrus rootstocks on pomological characters: fruit weight and fruit diameter of Nules clementine (2016–2020).
| |
Fruit weight (g) |
Fruit diameter (mm) |
| Nules/Flhorag |
Nules/Flhorag |
| T0
|
T1
|
T2
|
T0
|
T1
|
T2
|
| 2016/17 |
92.99 ± 1.71 |
112.29 ± 4.17 |
134.00 ± 2.31 |
57.42 ± 2.26 |
61.31 ± 0.15 |
64.51 ± 0.81 |
| 2017/18 |
81.00 ± 0.84 |
83.52 ± 2.35 |
85.42 ± 2.50 |
55.17 ± 0.58 |
56.81 ± 0.18 |
58.47 ± 0.43 |
| 2018/19 |
118.33 ± 4.41 |
131.00 ± 4.64 |
137.25 ± 5.22 |
63.15 ± 1.73 |
64.98 ± 0.98 |
68.18 ± 0.97 |
| 2019/20 |
118.33 ± 3.33 |
122.00 ± 3.74 |
127.50 ± 4.61 |
64.03 ± 0.17 |
65.3 ± 0.7 |
66.67 ± 0.87 |
| 2020/21 |
103.2 ± 5.14 |
127.94 ± 2.80 |
138.38 ± 6.17 |
59.17 ± 1.00 |
69.5 ± 1.34 |
74.41 ± 1.32 |
| Mean |
102.77 ± 4.10 b |
118.67 ± 3.80 a |
128.21 ± 4.12 a |
59.79 ± 1.04 c |
64.44 ± 0.98 b |
67.69 ± 1.10 a |
| |
Nules/Carrizo citrange |
Nules/Carrizo citrange |
| |
T0 |
T1 |
T2 |
T0 |
T1 |
T2 |
| 2016/17 |
101.14 ± 3.13 |
124.39 ± 0.78 |
168.77 ± 9.23 |
61.24 ± 1.98 |
61.25 ± 0.45 |
62.16 ± 0.21 |
| 2017/18 |
82.76 ± 0.76 |
84.71 ± 1.11 |
88.29 ± 3.47 |
56.58 ± 0.51 |
58.52 ± 0.24 |
61.07 ± 0.94 |
| 2018/19 |
124.50 ± 3.23 |
133.50 ± 6.55 |
140.83 ± 2.71 |
63.86 ± 1.87 |
66.85 ± 1.18 |
70.45 ± 0.66 |
| 2019/20 |
112.50 ± 5.20 |
126.67 ± 5.11 |
135.00 ± 3.65 |
63.76 ± 1.17 |
65.39 ± 0.51 |
67.49 ± 0.64 |
| 2020/21 |
118.43 ± 3.91 |
128.62 ± 6.15 |
139.08 ± 2.58 |
65.60 ± 2.04 |
66.32 ± 1.11 |
78.79 ± 2.35 |
| Mean |
109.63 ± 3.75 c |
123.33 ± 3.94 b |
135.86 ± 4.60 a |
62.57 ± 0.98 b |
64.61 ± 0.72 b |
69.59 ± 1.42 a |
Table 7.
The effects of N fertilization and two citrus rootstocks on juice content, total acidity of Nules clementine (2016-2020).
Table 7.
The effects of N fertilization and two citrus rootstocks on juice content, total acidity of Nules clementine (2016-2020).
| |
Juice content (%) |
Acidity (%) |
| Nules/Flhorag |
Nules/Flhorag |
| T0
|
T1
|
T2
|
T0
|
T1
|
T2
|
| 2016/17 |
39.79 ± 2.36 |
42.10 ± 0.4 |
46.85 ± 0.62 |
0.64 ± 0.02 |
0.86 ± 0.01 |
0.93 ± 0.01 |
| 2017/18 |
40.53 ± 1.02 |
41.37 ± 0.51 |
44.19 ± 1.18 |
0.94 ± 0.01 |
1.08 ± 0.02 |
1.19 ± 0.04 |
| 2018/19 |
44.69 ± 2.32 |
46.59 ± 0.65 |
48.42 ± 1.19 |
0.9 ± 0.03 |
0.96 ± 0.03 |
1.05 ± 0.03 |
| 2019/20 |
42.20 ± 1.54 |
45.08 ± 1.24 |
51.64 ± 1.37 |
0.79 ± 0.00 |
0.94 ± 0.02 |
1.09 ± 0.03 |
| 2020/21 |
43.76 ± 0.38 |
45.75 ± 0.46 |
50.24 ± 1.11 |
0.75 ± 0.01 |
0.85 ± 0.01 |
0.97 ± 0.02 |
| Mean |
42.20 ± 0.81 c |
44.64 ± 0.54 b |
48.95 ± 0.72 a |
0.81 ± 0.03 c |
0.93 ± 0.02 b |
1.04 ± 0.02 a |
| |
Nules/Carrizo citrange |
Nules/Carrizo citrange |
| |
T0 |
T1 |
T2 |
T0 |
T1 |
T2 |
| 2016/17 |
42.96 ± 1.02 |
46.12 ± 0.74 |
52.02 ± 2.31 |
0.67 ± 0.01 |
0.89 ± 0.01 |
0.96 ± 0.05 |
| 2017/18 |
42.38 ± 0.48 |
43.26 ± 1.04 |
45.96 ± 0.10 |
1.02 ± 0.01 |
1.12 ± 0.01 |
1.29 ± 0.01 |
| 2018/19 |
45.29 ± 0.80 |
48.56 ± 0.34 |
51.28 ± 1.05 |
0.94 ± 0.01 |
1.18 ± 0.01 |
1.28 ± 0.04 |
| 2019/20 |
43.35 ± 0.87 |
48.00 ± 1.02 |
52.57 ± 1.18 |
0.95 ± 0.03 |
1.06 ± 0.02 |
1.21 ± 0.01 |
| 2020/21 |
45.68 ± 0.97 |
47.61 ± 0.66 |
54.04 ± 0.94 |
0.76 ± 0.01 |
0.90 ± 0.02 |
0.96 ± 0.02 |
| Mean |
44.07 ± 0.47 c |
47.22 ± 0.47 b |
51.72 ± 0.7 a |
0.87 ± 0.03 c |
1.04 ± 0.03 b |
1.15 ± 0.03a |
Table 8.
The effects of N fertilization and two citrus rootstocks on Solid soluble contentand Ripening Index of Nules clementine (2016-2020).
Table 8.
The effects of N fertilization and two citrus rootstocks on Solid soluble contentand Ripening Index of Nules clementine (2016-2020).
| |
Solid soluble content (SSC) |
Ripening Index (RI) |
| Nules/Flhorag |
Nules/Flhorag |
| T0
|
T1
|
T2
|
T0
|
T1
|
T2
|
| 2016/17 |
8.40 ± 0.26 |
9.10 ± 0.12 |
8.90 ± 0.26 |
13.20 ± 0.39 |
10.58 ± 0.25 |
9.58 ± 0.39 |
| 2017/18 |
9.73 ± 0.03 |
10.33 ± 0.26 |
10.40 ± 0.17 |
10.37 ± 0.08 |
9.59 ± 0.41 |
8.72 ± 0.17 |
| 2018/19 |
10.03 ± 0.26 |
10.94 ± 0.27 |
11.33 ± 0.24 |
11.12 ± 0.24 |
11.49 ± 0.53 |
10.83 ± 0.39 |
| 2019/20 |
10.10 ± 0.06 |
10.6 ± 0.09 |
11.13 ± 0.15 |
12.74 ± 0.11 |
11.35 ± 0.29 |
10.21 ± 0.26 |
| 2020/21 |
10.97 ± 0.19 |
11.72 ± 0.28 |
12.68 ± 0.14 |
14.55 ± 0.22 |
13.85 ± 0.39 |
13.15 ± 0.33 |
| Mean |
9.85 ± 0.23 b |
10.7 ± 0.20 a |
11.2 ± 0.25 a |
12.40 ± 0.41 a |
11.62 ± 0.35 ab |
10.83 ± 0.34 b |
| |
Nules/Carrizo citrange |
Nules/Carrizo citrange |
| |
T0 |
T1 |
T2 |
T0 |
T1 |
T2 |
| 2016/17 |
8.57 ± 0.09 |
9.70 ± 0.17 |
9.47 ± 0.15 |
12.72 ± 0.14 |
10.89 ± 0.27 |
9.88 ± 0.51 |
| 2017/18 |
10.13 ± 0.07 |
10.53 ± 0.18 |
11.13 ± 0.13 |
9.95 ± 0.07 |
9.41 ± 0.21 |
8.61 ± 0.02 |
| 2018/19 |
10.70 ± 0.30 |
11.30 ± 0.16 |
11.68 ± 0.29 |
11.45 ± 0.40 |
9.57 ± 0.19 |
9.15 ± 0.29 |
| 2019/20 |
10.13 ± 0.32 |
11.20 ± 0.11 |
11.57 ± 0.18 |
10.77 ± 0.62 |
10.57 ± 0.24 |
9.55 ± 0.19 |
| 2020/21 |
11.75 ± 0.26 |
12.58 ± 0.11 |
12.98 ± 0.19 |
15.51 ± 0.29 |
14.02 ± 0.46 |
13.57 ± 0.42 |
| Mean |
10.36 ± 0.26 b |
11.3 ± 0.20 a |
11.63 ± 0.24 a |
12.16 ± 0.50 a |
11.08 ± 0.39 ab |
10.38 ± 0.41 b |
Table 9.
The effects of N fertilization and two citrus rootstocks on the fruit coloration (CCI) of Nules clementine.
Table 9.
The effects of N fertilization and two citrus rootstocks on the fruit coloration (CCI) of Nules clementine.
| |
Fruit Color Index |
| Nules/Flhorag |
Nules/Carrizo citrange |
| Variable |
T0
|
T1
|
T2
|
T0
|
T1
|
T2
|
| l* |
57.56 ± 1.84 b |
59.40 ± 0.96 ab |
61.13 ± 0.61 a |
61.07 ± 0.94 a |
61.39 ± 0.69 a |
61.91 ± 0.52 a |
| a* |
10.67 ± 4.54 b |
15.64 ± 2.95 b |
26.02 ± 1.7 a |
19.52 ± 3.17 a |
22.82 ± 2.27 a |
25.94 ± 2.02 a |
| b* |
49.90 ± 3.13 b |
53.42 ± 1.87 ab |
57.60 ± 1.01 a |
56.49 ± 1.64 a |
57.40 ± 1.25 a |
58.52 ± 0.93 a |
| CCI* |
2.23 ± 1.52 b |
4.15 ± 0.98 b |
7.21 ± 0.48 a |
5.32 ± 0.80 a |
6.13 ± 0.62 a |
7.01 ± 0.52 a |
Table 10.
Pearson product moment correlations (r value) between vegetative growth, quality and yield variables of ‘Nules’ clementine.
Table 10.
Pearson product moment correlations (r value) between vegetative growth, quality and yield variables of ‘Nules’ clementine.
| |
(1) |
(2) |
(3) |
(4) |
(5) |
(6) |
(7) |
(8) |
(9) |
(10) |
(11) |
(12) |
(13) |
(14) |
(15) |
(16) |
(17) |
(18) |
(19) |
(20) |
|
| (1) N rate |
1.00 |
|
|
|
|
|
|
|
|
|
|
|
|
|
|
|
|
|
|
|
|
| (2) Tree height |
0.63 |
1.00 |
|
|
|
|
|
|
|
|
|
|
|
|
|
|
|
|
|
|
|
| (3) Canopy diameter |
0.57 |
0.85 |
1.00 |
|
|
|
|
|
|
|
|
|
|
|
|
|
|
|
|
|
|
| (4) SPAD |
0.89 |
0.56 |
0.54 |
1.00 |
|
|
|
|
|
|
|
|
|
|
|
|
|
|
|
|
|
| (5) Canopy projectional unit area |
0.57 |
0.85 |
1.00 |
0.54 |
1.00 |
|
|
|
|
|
|
|
|
|
|
|
|
|
|
|
|
| (6) Diameter of the variety |
0.45 |
0.76 |
0.71 |
0.45 |
0.71 |
1.00 |
|
|
|
|
|
|
|
|
|
|
|
|
|
|
|
| (7) Diameter of the rootstock |
0.37 |
0.79 |
0.73 |
0.35 |
0.73 |
0.92 |
1.00 |
|
|
|
|
|
|
|
|
|
|
|
|
|
|
| (8) TCSA variety |
0.44 |
0.75 |
0.70 |
0.45 |
0.70 |
0.99 |
0.92 |
1.00 |
|
|
|
|
|
|
|
|
|
|
|
|
|
| (9) TCSA rootstock |
0.38 |
0.79 |
0.73 |
0.37 |
0.73 |
0.90 |
0.99 |
0.92 |
1.00 |
|
|
|
|
|
|
|
|
|
|
|
|
| (10) Yield |
0.83 |
0.73 |
0.70 |
0.78 |
0.70 |
0.64 |
0.60 |
0.64 |
0.61 |
1.00 |
|
|
|
|
|
|
|
|
|
|
|
| (11) Canopy volume |
0.59 |
0.92 |
0.97 |
0.54 |
0.97 |
0.70 |
0.74 |
0.71 |
0.75 |
0.72 |
1.00 |
|
|
|
|
|
|
|
|
|
|
| (12) Yield/canopy projectional unit area |
0.68 |
0.36 |
0.19 |
0.64 |
0.19 |
0.31 |
0.27 |
0.33 |
0.29 |
0.82 |
0.27 |
1.00 |
|
|
|
|
|
|
|
|
|
| (13) Fruit weight |
0.75 |
0.65 |
0.71 |
0.70 |
0.71 |
0.53 |
0.48 |
0.50 |
0.46 |
0.75 |
0.69 |
0.46 |
1.00 |
|
|
|
|
|
|
|
|
| (14) Fruit diameter |
0.73 |
0.65 |
0.71 |
0.65 |
0.71 |
0.47 |
0.41 |
0.44 |
0.40 |
0.65 |
0.72 |
0.33 |
0.85 |
1.00 |
|
|
|
|
|
|
|
| (15) Juice content |
0.84 |
0.81 |
0.78 |
0.74 |
0.78 |
0.66 |
0.64 |
0.67 |
0.65 |
0.87 |
0.83 |
0.60 |
0.76 |
0.79 |
1.00 |
|
|
|
|
|
|
| (16) Acidity |
0.85 |
0.76 |
0.75 |
0.79 |
0.75 |
0.64 |
0.61 |
0.65 |
0.63 |
0.86 |
0.78 |
0.60 |
0.72 |
0.62 |
0.88 |
1.00 |
|
|
|
|
|
| (17) Solid soluble content (°Brix) |
0.63 |
0.73 |
0.84 |
0.62 |
0.84 |
0.56 |
0.55 |
0.53 |
0.52 |
0.66 |
0.82 |
0.24 |
0.78 |
0.88 |
0.80 |
0.64 |
1.00 |
|
|
|
|
| (18) Ripening Index |
-0.60 |
-0.36 |
-0.26 |
-0.53 |
-0.26 |
-0.33 |
-0.30 |
-0.36 |
-0.34 |
-0.57 |
-0.31 |
-0.58 |
-0.28 |
-0.06 |
-0.46 |
-0.76 |
0.00 |
1.00 |
|
|
|
| (19) Fruit Color Index (CCI) |
0.40 |
0.44 |
0.32 |
0.34 |
0.32 |
0.34 |
0.39 |
0.34 |
0.40 |
0.45 |
0.38 |
0.42 |
0.36 |
0.28 |
0.54 |
0.42 |
0.44 |
-0.17 |
1.00 |
|
| (20) Cumulative yield |
0.72 |
0.51 |
0.56 |
0.65 |
0.56 |
0.34 |
0.28 |
0.37 |
0.32 |
0.85 |
0.59 |
0.75 |
0.60 |
0.50 |
0.67 |
0.74 |
0.45 |
-0.57 |
0.25 |
1.00 |
Table 11.
p-value from ANOVA about vegetative growth, quality and yield variables of ‘Nules’ clementine.
Table 11.
p-value from ANOVA about vegetative growth, quality and yield variables of ‘Nules’ clementine.
| |
(1) |
(2) |
(3) |
(4) |
(5) |
(6) |
(7) |
(8) |
(9) |
(10) |
(11) |
(12) |
(13) |
(14) |
(15) |
(16) |
(17) |
(18) |
(19) |
(20) |
| (1) N rate |
|
|
|
|
|
|
|
|
|
|
|
|
|
|
|
|
|
|
|
|
| (2) Tree height |
0.0002 |
|
|
|
|
|
|
|
|
|
|
|
|
|
|
|
|
|
|
|
| (3) Canopy diameter |
0.0010 |
<0.0001 |
|
|
|
|
|
|
|
|
|
|
|
|
|
|
|
|
|
|
| (4) SPAD |
<0.0001 |
0.0012 |
0.0023 |
|
|
|
|
|
|
|
|
|
|
|
|
|
|
|
|
|
| (5) Canopy projectional unit area |
0.0010 |
<0.0001 |
<0.0001 |
0.0023 |
|
|
|
|
|
|
|
|
|
|
|
|
|
|
|
|
| (6) Diameter of the variety |
0.0135 |
<0.0001 |
<0.0001 |
0.0124 |
<0.0001 |
|
|
|
|
|
|
|
|
|
|
|
|
|
|
|
| (7) Diameter of the rootstock |
0.0459 |
<0.0001 |
<0.0001 |
0.0577 |
<0.0001 |
<0.0001 |
|
|
|
|
|
|
|
|
|
|
|
|
|
|
| (8) TCSA variety |
0.0141 |
<0.0001 |
<0.0001 |
0.0136 |
<0.0001 |
<0.0001 |
<0.0001 |
|
|
|
|
|
|
|
|
|
|
|
|
|
| (9) TCSA rootstock |
0.0385 |
<0.0001 |
<0.0001 |
0.0458 |
<0.0001 |
<0.0001 |
<0.0001 |
<0.0001 |
|
|
|
|
|
|
|
|
|
|
|
|
| (10) Yield |
<0.0001 |
<0.0001 |
<0.0001 |
<0.0001 |
<0.0001 |
0.0001 |
0.0004 |
0.0001 |
0.0004 |
|
|
|
|
|
|
|
|
|
|
|
| (11) Canopy volume |
0.0005 |
<0.0001 |
<0.0001 |
0.0021 |
<0.0001 |
<0.0001 |
<0.0001 |
<0.0001 |
<0.0001 |
<0.0001 |
|
|
|
|
|
|
|
|
|
|
| (12) Yield/canopy projectional unit area |
<0.0001 |
0.0489 |
0.3088 |
0.0001 |
0.3089 |
0.1009 |
0.1519 |
0.0784 |
0.1264 |
<0.0001 |
0.1531 |
|
|
|
|
|
|
|
|
|
| (13) Fruit weight |
<0.0001 |
<0.0001 |
<0.0001 |
<0.0001 |
<0.0001 |
0.0024 |
0.0069 |
0.0048 |
0.0102 |
<0.0001 |
<0.0001 |
0.0101 |
|
|
|
|
|
|
|
|
| (14) Fruit diameter |
<0.0001 |
<0.0001 |
<0.0001 |
0.0001 |
<0.0001 |
0.0093 |
0.0229 |
0.0158 |
0.0307 |
0.0001 |
<0.0001 |
0.0788 |
<0.0001 |
|
|
|
|
|
|
|
| (15) Juice content |
<0.0001 |
<0.0001 |
<0.0001 |
<0.0001 |
<0.0001 |
<0.0001 |
0.0002 |
<0.0001 |
0.0001 |
<0.0001 |
<0.0001 |
0.0005 |
<0.0001 |
<0.0001 |
|
|
|
|
|
|
| (16) Acidity |
<0.0001 |
<0.0001 |
<0.0001 |
<0.0001 |
<0.0001 |
0.0001 |
0.0003 |
0.0001 |
0.0002 |
<0.0001 |
<0.0001 |
0.0004 |
<0.0001 |
0.0002 |
<0.0001 |
|
|
|
|
|
| (17) Solid soluble content (°Brix) |
0.0001 |
<0.0001 |
<0.0001 |
0.0002 |
<0.0001 |
0.0012 |
0.0018 |
0.0028 |
0.0029 |
<0.0001 |
<0.0001 |
0.1926 |
<0.0001 |
<0.0001 |
<0.0001 |
0.0001 |
|
|
|
|
| (18) Ripening Index |
0.0004 |
0.0503 |
0.1623 |
0.0023 |
0.1623 |
0.0753 |
0.1055 |
0.0482 |
0.0629 |
0.0011 |
0.0969 |
0.0009 |
0.1203 |
0.7462 |
0.0094 |
<0.0001 |
0.9841 |
|
|
|
| (19) Fruit Color Index (CCI) |
0.0276 |
0.0157 |
0.0808 |
0.0682 |
0.0808 |
0.0638 |
0.0338 |
0.0631 |
0.0300 |
0.0119 |
0.0370 |
0.0195 |
0.0520 |
0.1337 |
0.0023 |
0.0218 |
0.0146 |
0.3798 |
|
|
| (20) Cumulative yield |
<0.0001 |
0.0036 |
0.0013 |
0.0001 |
0.0013 |
0.0679 |
0.1325 |
0.0466 |
0.0863 |
<0.0001 |
0.0007 |
<0.0001 |
0.0004 |
0.0048 |
<0.0001 |
<0.0001 |
0.0116 |
0.0009 |
0.1793 |
|