Submitted:
20 April 2023
Posted:
21 April 2023
You are already at the latest version
Abstract

Keywords:
1. Introduction
2. Results
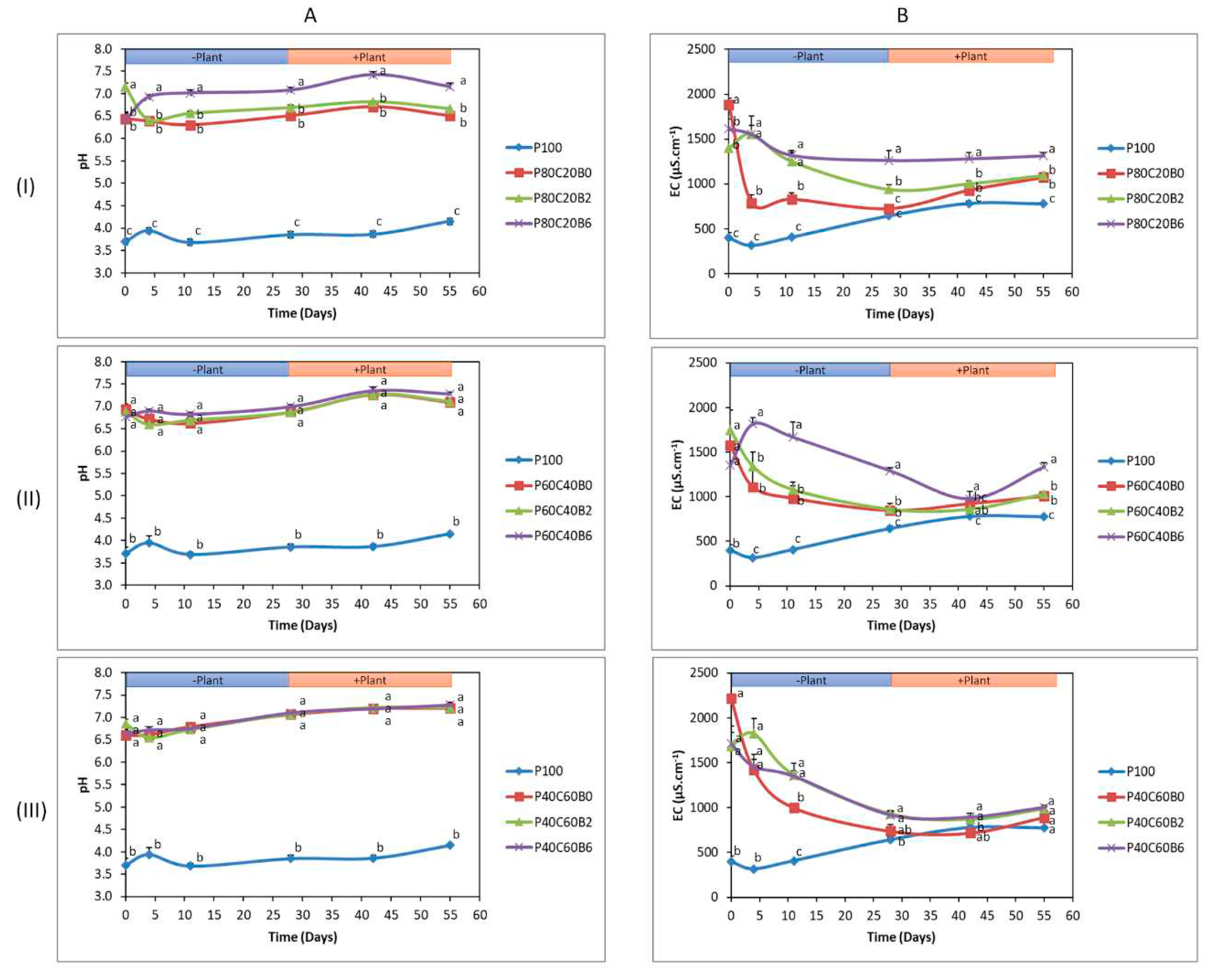
2.1. Evaluation of the SPW pH and EC
2.2. As and Pb Concentration in SPW
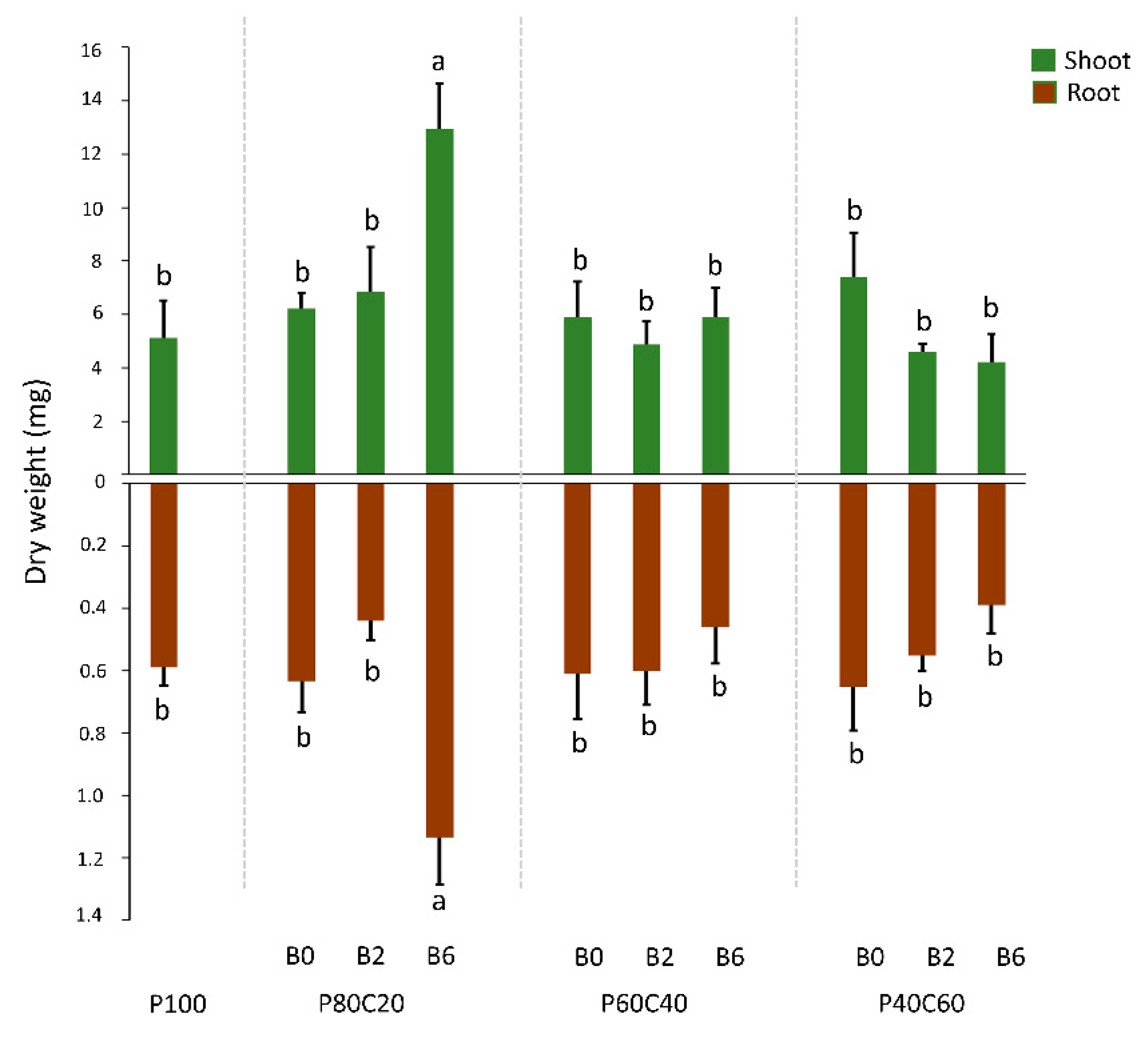
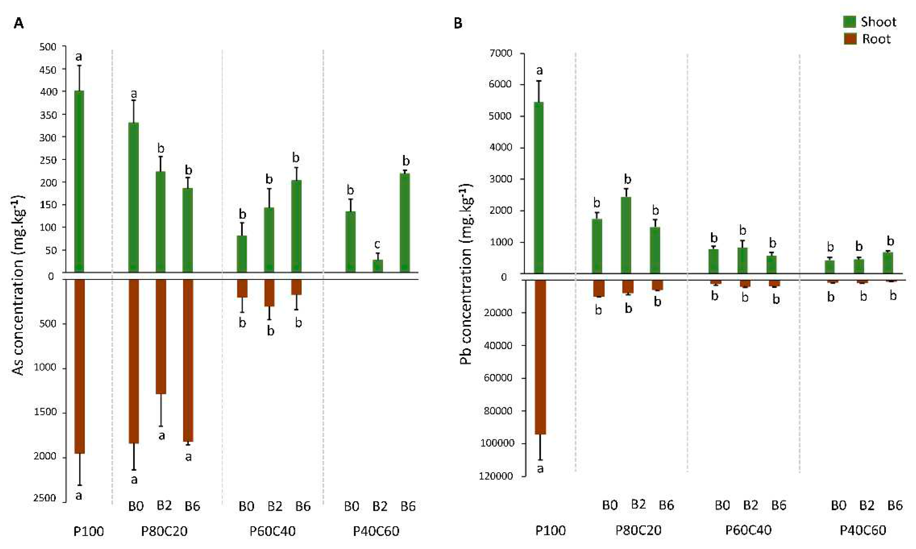
2.3. Plant dry Weight and Metal(loid) Concentration
3. Discussion
4. Materials and Methods
4.1. Soil and Amendments
4.2. Experimental Design
4.3. Growth Conditions
4.4. Soil Pore Water Collection and Analysis
4.5. Plant Dry Weight and Metal(loid)s Concentration
4.6. Statistical Analysis
5. Conclusions
Author Contributions
Conflicts of Interest
References
- Khalid, S.; Shahid, M.; Niazi, N.K.; Murtaza, B.; Bibi, I.; Dumat, C. A Comparison of Technologies for Remediation of Heavy Metal Contaminated Soils. Journal of Geochemical Exploration 2017, 182, 247–268. [Google Scholar] [CrossRef]
- Ding, Z.; Li, Y.; Sun, Q.; Zhang, H. Trace Elements in Soils and Selected Agricultural Plants in the Tongling Mining Area of China. IJERPH 2018, 15, 202. [Google Scholar] [CrossRef]
- Guemiza, K.; Coudert, L.; Metahni, S.; Mercier, G.; Besner, S.; Blais, J.-F. Treatment Technologies Used for the Removal of As, Cr, Cu, PCP and/or PCDD/F from Contaminated Soil: A Review. Journal of Hazardous Materials 2017, 333, 194–214. [Google Scholar] [CrossRef] [PubMed]
- Galende, M.A.; Becerril, J.M.; Barrutia, O.; Artetxe, U.; Garbisu, C.; Hernández, A. Field Assessment of the Effectiveness of Organic Amendments for Aided Phytostabilization of a Pb–Zn Contaminated Mine Soil. Journal of Geochemical Exploration 2014, 145, 181–189. [Google Scholar] [CrossRef]
- Rizwan, M.S.; Imtiaz, M.; Zhu, J.; Yousaf, B.; Hussain, M.; Ali, L.; Ditta, A.; Zahid Ihsan, M.; Huang, G.; Ashraf, M.; et al. Immobilization of Pb and Cu by Organic and Inorganic Amendments in Contaminated Soil. Geoderma 2021, 385, 114803. [Google Scholar] [CrossRef]
- Tang, J.; Zhang, L.; Zhang, J.; Ren, L.; Zhou, Y.; Zheng, Y.; Luo, L.; Yang, Y.; Huang, H.; Chen, A. Physicochemical Features, Metal Availability and Enzyme Activity in Heavy Metal-Polluted Soil Remediated by Biochar and Compost. Science of The Total Environment 2020, 701, 134751. [Google Scholar] [CrossRef] [PubMed]
- Lwin, C.S.; Seo, B.-H.; Kim, H.-U.; Owens, G.; Kim, K.-R. Application of Soil Amendments to Contaminated Soils for Heavy Metal Immobilization and Improved Soil Quality—a Critical Review. Soil Science and Plant Nutrition 2018, 64, 156–167. [Google Scholar] [CrossRef]
- Garau, G.; Porceddu, A.; Sanna, M.; Silvetti, M.; Castaldi, P. Municipal Solid Wastes as a Resource for Environmental Recovery: Impact of Water Treatment Residuals and Compost on the Microbial and Biochemical Features of As and Trace Metal-Polluted Soils. Ecotoxicology and Environmental Safety 2019, 174, 445–454. [Google Scholar] [CrossRef]
- Medyńska-Juraszek, A.; Bednik, M.; Chohura, P. Assessing the Influence of Compost and Biochar Amendments on the Mobility and Uptake of Heavy Metals by Green Leafy Vegetables. IJERPH 2020, 17, 7861. [Google Scholar] [CrossRef]
- Mukhopadhyay, S.; Masto, R.E.; Singh, A.K.; Singh, P.K. Impact of the Combined Application of Biochar and Compost on Mine Soil Quality and Growth of Lady’s Finger (Abelmoschus Esculentus). Bull Environ Contam Toxicol 2022, 108, 396–402. [Google Scholar] [CrossRef]
- Lebrun, M.; Nandillon, R.; Miard, F.; Bourgerie, S.; Morabito, D. Chapter 4 - Biochar Assisted Phytoremediation for Metal(Loid) Contaminated Soils. In Assisted Phytoremediation; Pandey, V., Ed.; Elsevier, 2022; pp. 101–130 ISBN 978-0-12-822893-7.
- Liang, J.; Yang, Z.; Tang, L.; Zeng, G.; Yu, M.; Li, X.; Wu, H.; Qian, Y.; Li, X.; Luo, Y. Changes in Heavy Metal Mobility and Availability from Contaminated Wetland Soil Remediated with Combined Biochar-Compost. Chemosphere 2017, 181, 281–288. [Google Scholar] [CrossRef] [PubMed]
- Wang, P.; Tang, L.; Wei, X.; Zeng, G.; Zhou, Y.; Deng, Y.; Wang, J.; Xie, Z.; Fang, W. Synthesis and Application of Iron and Zinc Doped Biochar for Removal of P-Nitrophenol in Wastewater and Assessment of the Influence of Co-Existed Pb(II). Applied Surface Science 2017, 392, 391–401. [Google Scholar] [CrossRef]
- Simiele, M.; Sferra, G.; Lebrun, M.; Renzone, G.; Bourgerie, S.; Scippa, G.S.; Morabito, D.; Scaloni, A.; Trupiano, D. In-Depth Study to Decipher Mechanisms Underlying Arabidopsis Thaliana Tolerance to Metal(Loid) Soil Contamination in Association with Biochar and/or Bacteria. Environmental and Experimental Botany 2021, 182, 104335. [Google Scholar] [CrossRef]
- Fischer, Daniel; Bruno Glaser Synergisms between Compost and Biochar for Sustainable Soil Amelioration. In <i>Management of organic, waste</i>; 2012, *!!! REPLACE !!!*; Vol. 1, pp. Fischer Daniel; Bruno Glaser Synergisms between Compost and Biochar for Sustainable Soil Amelioration. In Management of organic waste; 2012; Vol. 1, pp. 167–198.
- Huang, M.; Zhu, Y.; Li, Z.; Huang, B.; Luo, N.; Liu, C.; Zeng, G. Compost as a Soil Amendment to Remediate Heavy Metal-Contaminated Agricultural Soil: Mechanisms, Efficacy, Problems, and Strategies. Water Air Soil Pollut 2016, 227, 359. [Google Scholar] [CrossRef]
- Mackie, K.A.; Marhan, S.; Ditterich, F.; Schmidt, H.P.; Kandeler, E. The Effects of Biochar and Compost Amendments on Copper Immobilization and Soil Microorganisms in a Temperate Vineyard. Agriculture, Ecosystems & Environment 2015, 201, 58–69. [Google Scholar] [CrossRef]
- Beesley, L.; Inneh, O.S.; Norton, G.J.; Moreno-Jimenez, E.; Pardo, T.; Clemente, R.; Dawson, J.J.C. Assessing the Influence of Compost and Biochar Amendments on the Mobility and Toxicity of Metals and Arsenic in a Naturally Contaminated Mine Soil. Environmental Pollution 2014, 186, 195–202. [Google Scholar] [CrossRef] [PubMed]
- Borchard, N.; Prost, K.; Kautz, T.; Moeller, A.; Siemens, J. Sorption of Copper (II) and Sulphate to Different Biochars before and after Composting with Farmyard Manure. European Journal of Soil Science 2012, 63, 399–409. [Google Scholar] [CrossRef]
- Beesley, L.; Moreno-Jiménez, E.; Gomez-Eyles, J.L. Effects of Biochar and Greenwaste Compost Amendments on Mobility, Bioavailability and Toxicity of Inorganic and Organic Contaminants in a Multi-Element Polluted Soil. Environmental Pollution 2010, 158, 2282–2287. [Google Scholar] [CrossRef]
- Liu, J.; Schulz, H.; Brandl, S.; Miehtke, H.; Huwe, B.; Glaser, B. Short-term Effect of Biochar and Compost on Soil Fertility and Water Status of a Dystric Cambisol in NE Germany under Field Conditions. Z. Pflanzenernähr. Bodenk. 2012, 175, 698–707. [Google Scholar] [CrossRef]
- Sigua, G.C.; Novak, J.M.; Watts, D.W.; Ippolito, J.A.; Ducey, T.F.; Johnson, M.G.; Spokas, K.A. Phytostabilization of Zn and Cd in Mine Soil Using Corn in Combination with Biochars and Manure-Based Compost. Environments 2019, 6, 69. [Google Scholar] [CrossRef]
- Zeng, G.; Wu, H.; Liang, J.; Guo, S.; Huang, L.; Xu, P.; Liu, Y.; Yuan, Y.; He, X.; He, Y. Efficiency of Biochar and Compost (or Composting) Combined Amendments for Reducing Cd, Cu, Zn and Pb Bioavailability, Mobility and Ecological Risk in Wetland Soil. RSC Adv. 2015, 5, 34541–34548. [Google Scholar] [CrossRef]
- Seehausen, M.; Gale, N.; Dranga, S.; Hudson, V.; Liu, N.; Michener, J.; Thurston, E.; Williams, C.; Smith, S.; Thomas, S. Is There a Positive Synergistic Effect of Biochar and Compost Soil Amendments on Plant Growth and Physiological Performance? Agronomy 2017, 7, 13. [Google Scholar] [CrossRef]
- Benhabylès, L.; Djebbar, R.; Miard, F.; Nandillon, R.; Morabito, D.; Bourgerie, S. Biochar and Compost Effects on the Remediative Capacities of Oxalis Pes-Caprae L. Growing on Mining Technosol Polluted by Pb and As. Environ Sci Pollut Res 2020, 27, 30133–30144. [Google Scholar] [CrossRef] [PubMed]
- ATSDR Substance Priority List | ATSDR Available online:. Available online: https://www.atsdr.cdc.gov/spl/index.html (accessed on 24 March 2023).
- Yang, W.; Luo, L.; Bostick, B.C.; Wiita, E.; Cheng, Y.; Shen, Y. Effect of Combined Arsenic and Lead Exposure on Their Uptake and Translocation in Indian Mustard. Environmental Pollution 2021, 274, 116549. [Google Scholar] [CrossRef] [PubMed]
- Cobbett, C.S.; Meagher, R.B. Arabidopsis and the Genetic Potential for the Phytoremediation of Toxic Elemental and Organic Pollutants. Arabidopsis Book 2002, 1, e0032. [Google Scholar] [CrossRef] [PubMed]
- Lebrun, M.; Miard, F.; Nandillon, R.; Léger, J.-C.; Hattab-Hambli, N.; Scippa, G.S.; Bourgerie, S.; Morabito, D. Assisted Phytostabilization of a Multicontaminated Mine Technosol Using Biochar Amendment: Early Stage Evaluation of Biochar Feedstock and Particle Size Effects on As and Pb Accumulation of Two Salicaceae Species (Salix Viminalis and Populus Euramericana). Chemosphere 2018, 194, 316–326. [Google Scholar] [CrossRef] [PubMed]
- Lebrun, M.; Van Poucke, R.; Miard, F.; Scippa, G.S.; Bourgerie, S.; Morabito, D.; Tack, F.M.G. Effects of Carbon-based Materials and Redmuds on Metal(Loid) Immobilization and Growth of Salix Dasyclados Wimm. on a Former Mine Technosol Contaminated by Arsenic and Lead. Land Degrad Dev 2021, 32, 467–481. [Google Scholar] [CrossRef]
- Nandillon, R.; Lebrun, M.; Miard, F.; Gaillard, M.; Sabatier, S.; Villar, M.; Bourgerie, S.; Morabito, D. Capability of Amendments (Biochar, Compost and Garden Soil) Added to a Mining Technosol Contaminated by Pb and As to Allow Poplar Seed (Populus Nigra L.) Germination. Environ Monit Assess 2019, 191, 465. [Google Scholar] [CrossRef]
- Lebrun, M.; Miard, F.; Nandillon, R.; Hattab-Hambli, N.; Scippa, G.S.; Bourgerie, S.; Morabito, D. Eco-Restoration of a Mine Technosol According to Biochar Particle Size and Dose Application: Study of Soil Physico-Chemical Properties and Phytostabilization Capacities of Salix Viminalis. J Soils Sediments 2018, 18, 2188–2202. [Google Scholar] [CrossRef]
- do Carmo, L.I.; Bursztyn Fuentes, A.L.; de los Ríos, A.; Fabrizio de Iorio, A.; Rendina, A.E. Effects of Green Waste Compost Addition to Dredged Sediments of the Matanza-Riachuelo River (Argentina) on Heavy Metal Extractability and Bioaccumulation in Lettuce (Lactuca Sativa). Water Air Soil Pollut 2021, 232, 200. [Google Scholar] [CrossRef]
- Sylvain, B.; Mikael, M.-H.; Florie, M.; Emmanuel, J.; Marilyne, S.; Sylvain, B.; Domenico, M. Phytostabilization of As, Sb and Pb by Two Willow Species (S. Viminalis and S. Purpurea) on Former Mine Technosols. CATENA 2016, 136, 44–52. [Google Scholar] [CrossRef]
- Lebrun, M.; Miard, F.; Nandillon, R.; Scippa, G.S.; Bourgerie, S.; Morabito, D. Biochar Effect Associated with Compost and Iron to Promote Pb and As Soil Stabilization and Salix Viminalis L. Growth. Chemosphere 2019, 222, 810–822. [Google Scholar] [CrossRef] [PubMed]
- Chintala, R.; Mollinedo, J.; Schumacher, T.E.; Malo, D.D.; Julson, J.L. Effect of Biochar on Chemical Properties of Acidic Soil. Archives of Agronomy and Soil Science 2014, 60, 393–404. [Google Scholar] [CrossRef]
- Lomaglio, T.; Hattab-Hambli, N.; Bret, A.; Miard, F.; Trupiano, D.; Scippa, G.S.; Motelica-Heino, M.; Bourgerie, S.; Morabito, D. Effect of Biochar Amendments on the Mobility and (Bio) Availability of As, Sb and Pb in a Contaminated Mine Technosol. Journal of Geochemical Exploration 2017, 182, 138–148. [Google Scholar] [CrossRef]
- Li, H.; Dong, X.; da Silva, E.B.; de Oliveira, L.M.; Chen, Y.; Ma, L.Q. Mechanisms of Metal Sorption by Biochars: Biochar Characteristics and Modifications. Chemosphere 2017, 178, 466–478. [Google Scholar] [CrossRef] [PubMed]
- Karami, N.; Clemente, R.; Moreno-Jiménez, E.; Lepp, N.W.; Beesley, L. Efficiency of Green Waste Compost and Biochar Soil Amendments for Reducing Lead and Copper Mobility and Uptake to Ryegrass. Journal of Hazardous Materials 2011, 191, 41–48. [Google Scholar] [CrossRef] [PubMed]
- Beesley, L.; Moreno-Jiménez, E.; Gomez-Eyles, J.L.; Harris, E.; Robinson, B.; Sizmur, T. A Review of Biochars’ Potential Role in the Remediation, Revegetation and Restoration of Contaminated Soils. Environmental Pollution 2011, 159, 3269–3282. [Google Scholar] [CrossRef] [PubMed]
- Paz-Ferreiro, J.; Lu, H.; Fu, S.; Méndez, A.; Gascó, G. Use of Phytoremediation and Biochar to Remediate Heavy Metal Polluted Soils: A Review. Solid Earth 2014, 5, 65–75. [Google Scholar] [CrossRef]
- Mujtaba, G.; Hayat, R.; Hussain, Q.; Ahmed, M. Physio-Chemical Characterization of Biochar, Compost and Co-Composted Biochar Derived from Green Waste. Sustainability 2021, 13, 4628. [Google Scholar] [CrossRef]
- Lebrun, M.; Miard, F.; Renouard, S.; Nandillon, R.; Scippa, G.S.; Morabito, D.; Bourgerie, S. Effect of Fe-Functionalized Biochar on Toxicity of a Technosol Contaminated by Pb and As: Sorption and Phytotoxicity Tests. Environ Sci Pollut Res 2018, 25, 33678–33690. [Google Scholar] [CrossRef]
- Bolan, N.; Kunhikrishnan, A.; Thangarajan, R.; Kumpiene, J.; Park, J.; Makino, T.; Kirkham, M.B.; Scheckel, K. Remediation of Heavy Metal(Loid)s Contaminated Soils – To Mobilize or to Immobilize? Journal of Hazardous Materials 2014, 266, 141–166. [Google Scholar] [CrossRef] [PubMed]
- Moreno-Jiménez, E.; Clemente, R.; Mestrot, A.; Meharg, A.A. Arsenic and Selenium Mobilisation from Organic Matter Treated Mine Spoil with and without Inorganic Fertilisation. Environmental Pollution 2013, 173, 238–244. [Google Scholar] [CrossRef] [PubMed]
- Zheng, R.-L.; Cai, C.; Liang, J.-H.; Huang, Q.; Chen, Z.; Huang, Y.-Z.; Arp, H.P.H.; Sun, G.-X. The Effects of Biochars from Rice Residue on the Formation of Iron Plaque and the Accumulation of Cd, Zn, Pb, As in Rice (Oryza Sativa L.) Seedlings. Chemosphere 2012, 89, 856–862. [Google Scholar] [CrossRef] [PubMed]
- Beesley, L.; Marmiroli, M.; Pagano, L.; Pigoni, V.; Fellet, G.; Fresno, T.; Vamerali, T.; Bandiera, M.; Marmiroli, N. Biochar Addition to an Arsenic Contaminated Soil Increases Arsenic Concentrations in the Pore Water but Reduces Uptake to Tomato Plants (Solanum Lycopersicum L.). Science of The Total Environment 2013, 454–455, 598–603. [Google Scholar] [CrossRef]
- Wilson, S.C.; Lockwood, P.V.; Ashley, P.M.; Tighe, M. The Chemistry and Behaviour of Antimony in the Soil Environment with Comparisons to Arsenic: A Critical Review. Environmental Pollution 2010, 158, 1169–1181. [Google Scholar] [CrossRef]
- Norini, M.-P.; Thouin, H.; Miard, F.; Battaglia-Brunet, F.; Gautret, P.; Guégan, R.; Le Forestier, L.; Morabito, D.; Bourgerie, S.; Motelica-Heino, M. Mobility of Pb, Zn, Ba, As and Cd toward Soil Pore Water and Plants (Willow and Ryegrass) from a Mine Soil Amended with Biochar. Journal of Environmental Management 2019, 232, 117–130. [Google Scholar] [CrossRef]
- Glaser, B.; Lehr, V.-I. Biochar Effects on Phosphorus Availability in Agricultural Soils: A Meta-Analysis. Sci Rep 2019, 9, 9338. [Google Scholar] [CrossRef]
- Nandillon, R.; Lebrun, M.; Miard, F.; Gaillard, M.; Sabatier, S.; Morabito, D.; Bourgerie, S. Contrasted Tolerance of Agrostis Capillaris Metallicolous and Non-Metallicolous Ecotypes in the Context of a Mining Technosol Amended by Biochar, Compost and Iron Sulfate. Environ Geochem Health 2021, 43, 1457–1475. [Google Scholar] [CrossRef]
- Hossain, M.Z.; Bahar, M.M.; Sarkar, B.; Donne, S.W.; Ok, Y.S.; Palansooriya, K.N.; Kirkham, M.B.; Chowdhury, S.; Bolan, N. Biochar and Its Importance on Nutrient Dynamics in Soil and Plant. Biochar 2020, 2, 379–420. [Google Scholar] [CrossRef]
- Rondon, M.A.; Lehmann, J.; Ramírez, J.; Hurtado, M. Biological Nitrogen Fixation by Common Beans (Phaseolus Vulgaris L.) Increases with Bio-Char Additions. Biol Fertil Soils 2007, 43, 699–708. [Google Scholar] [CrossRef]
- Stamatiadis, S.; Werner, M.; Buchanan, M. Field Assessment of Soil Quality as Affected by Compost and Fertilizer Application in a Broccoli Field (San Benito County, California). Applied Soil Ecology 1999, 12, 217–225. [Google Scholar] [CrossRef]
- Stewart, D.P.C.; Cameron, K.C.; Cornforth, I.S.; Main, B.E. Release of Sulphate, Potassium, Calcium and Magnesium from Spent Mushroom Compost under Laboratory Conditions. Biology and Fertility of Soils 1997, 26, 146–151. [Google Scholar] [CrossRef]
- Prost, K.; Borchard, N.; Siemens, J.; Kautz, T.; Séquaris, J.-M.; Möller, A.; Amelung, W. Biochar Affected by Composting with Farmyard Manure. J. Environ. Qual. 2013, 42, 164–172. [Google Scholar] [CrossRef]
- Steiner, C.; Das, K.C.; Melear, N.; Lakly, D. Reducing Nitrogen Loss during Poultry Litter Composting Using Biochar. J. environ. qual. 2010, 39, 1236–1242. [Google Scholar] [CrossRef]
- Pietikäinen, J.; Kiikkilä, O.; Fritze, H. Charcoal as a Habitat for Microbes and Its Effect on the Microbial Community of the Underlying Humus. Oikos 2000, 89, 231–242. [Google Scholar] [CrossRef]
- Tuomela, M. Biodegradation of Lignin in a Compost Environment: A Review. Bioresource Technology 2000, 72, 169–183. [Google Scholar] [CrossRef]
- Vamerali, T.; Bandiera, M.; Coletto, L.; Zanetti, F.; Dickinson, N.M.; Mosca, G. Phytoremediation Trials on Metal- and Arsenic-Contaminated Pyrite Wastes (Torviscosa, Italy). Environmental Pollution 2009, 157, 887–894. [Google Scholar] [CrossRef]
- Gupta, D.K.; Huang, H.G.; Corpas, F.J. Lead Tolerance in Plants: Strategies for Phytoremediation. Environ Sci Pollut Res 2013, 20, 2150–2161. [Google Scholar] [CrossRef]
- Mahdavian, K.; Ghaderian, S.M.; Torkzadeh-Mahani, M. Accumulation and Phytoremediation of Pb, Zn, and Ag by Plants Growing on Koshk Lead–Zinc Mining Area, Iran. J Soils Sediments 2017, 17, 1310–1320. [Google Scholar] [CrossRef]
- Sharma, P.; Dubey, R.S. Lead Toxicity in Plants. Braz. J. Plant Physiol. 2005, 17, 35–52. [Google Scholar] [CrossRef]
- Bhattacharya, P.; Samal, A.C.; Majumdar, J.; Santra, S.C. Accumulation of Arsenic and Its Distribution in Rice Plant (Oryza Sativa L.) in Gangetic West Bengal, India. Paddy Water Environ 2010, 8, 63–70. [Google Scholar] [CrossRef]





| Group | Abbreviation | Soil mixtures |
| Control | P100 | 100% Pontgibaud |
| 1 | P80C20B0 | 80% Pontgibaud; 20% compost |
| P80C20B2 | 80% Pontgibaud; 20% compost; 2% biochar | |
| P80C20B6 | 80% Pontgibaud; 20% compost; 6% biochar | |
| 2 | P60C40B0 | 60% Pontgibaud; 40% compost |
| P60C40B2 | 60% Pontgibaud; 40% compost; 2% biochar | |
| P60C40B6 | 60% Pontgibaud; 40% compost; 6% biochar | |
| 3 | P40C60B0 | 40% Pontgibaud; 60% compost |
| P40C60B2 | 40% Pontgibaud; 60% compost; 2% biochar | |
| P40C60B6 | 40% Pontgibaud; 60% compost; 6% biochar |
Disclaimer/Publisher’s Note: The statements, opinions and data contained in all publications are solely those of the individual author(s) and contributor(s) and not of MDPI and/or the editor(s). MDPI and/or the editor(s) disclaim responsibility for any injury to people or property resulting from any ideas, methods, instructions or products referred to in the content. |
© 2023 by the authors. Licensee MDPI, Basel, Switzerland. This article is an open access article distributed under the terms and conditions of the Creative Commons Attribution (CC BY) license (http://creativecommons.org/licenses/by/4.0/).
